Development, Designing and Testing of a New Test Rig for Studying Innovative Polycrystalline Diamond Bearings
Abstract
1. Introduction
1.1. Polycrystalline Diamond Technology
1.2. Applications
2. Materials and Methods
2.1. Methodology
2.2. PCD Test Rig Design
2.3. Mechanical Design
2.4. Cooling System Design



2.5. Acquisition Data System Design
2.6. Signal Elaboration Workflow
2.6.1. Reference System Rotation
2.6.2. Steady-State Signal Ranging
2.6.3. Filtering
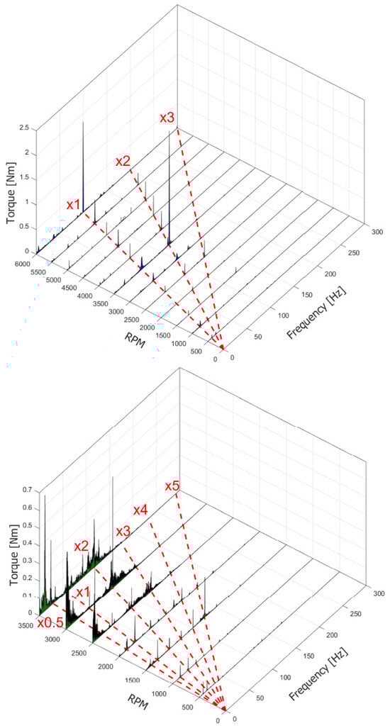
3. Experimental Results and Discussions
3.1. Comparison of Horizontal “Baseline” vs. Vertical “Baseline”
3.1.1. Time-Domain Analysis
3.1.2. Frequency-Domain Analysis
3.2. Comparison of Vertical “Baseline”, “Low” and “High”
3.2.1. Time-Domain Analysis
3.2.2. Frequency-Domain Analysis
4. Conclusions and Future Developments
4.1. Horizontal Baseline vs. Vertical Baseline
4.2. Vertical Baseline vs Vertical Low vs. Vertical High
Author Contributions
Funding
Institutional Review Board Statement
Informed Consent Statement
Data Availability Statement
Acknowledgments
Conflicts of Interest
References
- Barnard, A.S. The Diamond Formula: Diamond Synthesis: A Gemmological Perspective; Butter-worth-Heinemann: Oxford, MA, USA, 2000. [Google Scholar]
- Donoghue, M. Gems: Their Sources, Descriptions and Identification; Butterworth-Heinemann: Oxford, MA, USA, 2006. [Google Scholar]
- Spear, K. Synthetic Diamond: Emerging CVD Science and Technology; Wiley: New York, NY, USA, 1994. [Google Scholar]
- US Synthetic (CHAMPION X), PCD Drilling Tools. Available online: https://www.championx.com/products-and-solutions/drilling-technologies/diamond-bearings (accessed on 5 June 2024).
- Lingwall, B.; Sexton, T.; Cooley, C. Polycrystalline diamond bearing testing for marine hydrokinetic application. Wear 2013, 302, 1514–1519. [Google Scholar] [CrossRef]
- Knuteson, C.; Sexton, T.; Cooley, C. Wear-in behavior of polycrystalline diamond thrust bearings. Wear 2011, 271, 2106–2110. [Google Scholar] [CrossRef]
- Sexton, T.; Cooley, C. Polycrystalline diamond thrust bearings for down-hole oil and gas drilling tools. Wear 2009, 267, 1041–1045. [Google Scholar] [CrossRef]
- Bromaghin, A.; Ali, M.; Ravens, T.; Petersen, T.; Hoffman, J. Experimental study of abrasion characteristics for critical sliding components for use in hydrokinetic devices. Renew. Energy 2014, 66, 205–214. [Google Scholar] [CrossRef]
- Cooley, C.; Khonsari, M.; Lingwall, B. The Development of Open Water-Lubricated Polycrystalline Diamond (PCD) Thrust Bearings for Use in Marine Hydrokinetic (MHK) Energy Machines; Technical Report; US Synthetic Bearings: The Woodlands, TX, USA, 2012. [Google Scholar]
- Dykas, B.; Bruckner, R.; DellaCorte, C.; Edmonds, B.; Prahl, J. Design, Fabrication, and Performance of Foil Gas Thrust Bearings for Microturbomachinery Applications. J. Eng. Gas Turbines Power 2008, 131, 012301. [Google Scholar] [CrossRef]
- Andrés, L.S.; Phillips, S.; Childs, D. A Water-Lubricated Hybrid Thrust Bearing: Measurements and Predictions of Static Load Performance. J. Eng. Gas Turbines Power 2016, 139, 022506. [Google Scholar] [CrossRef]
- Norrbin, C.S.; Childs, D.W. Lateral Equilibrium Position Analysis Program with Applications to Electric Submersible Pumps. J. Eng. Gas Turbines Power 2018, 140, 38482. [Google Scholar] [CrossRef]
- Norrbin, C.S.; Childs, D.W.; Phillips, S. Including Housing–Casing Fluid in a Lateral Rotordynamics Analysis on Electric Submersible Pumps. J. Eng. Gas Turbines Power 2017, 139, 062505. [Google Scholar] [CrossRef]
- Gilardi, G.; Sharf, I. Literature survey of contact dynamics modelling. Mech. Mach. Theory 2002, 37, 1213–1239. [Google Scholar] [CrossRef]
- Machado, M.; Moreira, P.; Flores, P.; Lankarani, H.M. Compliant contact force models in multibody dynamics: Evolution of the Hertz contact theory. Mech. Mach. Theory 2012, 53, 99–121. [Google Scholar] [CrossRef]
- Skrinjar, L.; Slavič, J.; Boltežar, M. A review of continuous contact-force models in multibody dynamics. Int. J. Mech. Sci. 2018, 145, 171–187. [Google Scholar] [CrossRef]





























| Property | Value |
|---|---|
| Density | 4–4.35 × 106 [kg/m3] |
| Young’s Modulus | 850–1000 [GPa] |
| Poisson Ratio | 0.1 |
| Hardness | 50–100 [GPa Knoop] |
| Thermal Conductivity | 500–2000 [W/mK] |
| Melting Point | 4000 [°C] |
| Sonic Velocity | 18,000 [m/s] |
| Coefficient of Thermal Expansion | 1.1 × 10−6 [1/K] |
| Optical Index Refraction | 2.42 |
| Coefficient of Friction | 0.01–0.07 |
| Biologically Compatible | Pure carbon |
| Requirements | Magnetic Joint | Elastic Joint |
|---|---|---|
| Representativeness of the solution | Transmission without physical contact. | System able to “decouple” quite effectively. |
| Constructive simplicity | Simple and space-saving configuration. | Overall dimensions greater than the magnetic coupling. |
| TRL | Custom component (low TRL). | Known and referenced component. |
| Time and costs | High, custom product. | Low, standard product. |
| Parameter | HB | VB | VL | VH | |
|---|---|---|---|---|---|
| Rotor Mass | [kg] | 55 | 61 | 63 | 63 |
| Rotor Polar Inertia | [kg·m2] | 1.26 | 1.31 | 1.34 | 1.34 |
| Rotor Diametral Inertia | [kg·m2] | 0.66 | 0.72 | 0.77 | 0.77 |
| Radial Clearance | [µm] | 50 | 50 | 40 | 200 |
| PCD Statoric Mass | [kg] | 0.517 | 0.517 | 3.103 | 3.103 |
| Pad Rows Distance | [m] | 0.029 | 0.029 | 0.029 | 0.029 |
| Rotor–Stator Interface Radius | [m] | 0.039 | 0.039 | 0.052 | 0.052 |
| Female PCD Ring Pad Number | [−] | 22 | 22 | 31 | 31 |
| Male PCD Ring Pad Number | [−] | 21 | 21 | 30 | 30 |
Disclaimer/Publisher’s Note: The statements, opinions and data contained in all publications are solely those of the individual author(s) and contributor(s) and not of MDPI and/or the editor(s). MDPI and/or the editor(s) disclaim responsibility for any injury to people or property resulting from any ideas, methods, instructions or products referred to in the content. |
© 2024 by the authors. Licensee MDPI, Basel, Switzerland. This article is an open access article distributed under the terms and conditions of the Creative Commons Attribution (CC BY) license (https://creativecommons.org/licenses/by/4.0/).
Share and Cite
Cascino, A.; Amedei, A.; Meli, E.; Rindi, A. Development, Designing and Testing of a New Test Rig for Studying Innovative Polycrystalline Diamond Bearings. Eng 2024, 5, 1615-1640. https://doi.org/10.3390/eng5030085
Cascino A, Amedei A, Meli E, Rindi A. Development, Designing and Testing of a New Test Rig for Studying Innovative Polycrystalline Diamond Bearings. Eng. 2024; 5(3):1615-1640. https://doi.org/10.3390/eng5030085
Chicago/Turabian StyleCascino, Alessio, Andrea Amedei, Enrico Meli, and Andrea Rindi. 2024. "Development, Designing and Testing of a New Test Rig for Studying Innovative Polycrystalline Diamond Bearings" Eng 5, no. 3: 1615-1640. https://doi.org/10.3390/eng5030085
APA StyleCascino, A., Amedei, A., Meli, E., & Rindi, A. (2024). Development, Designing and Testing of a New Test Rig for Studying Innovative Polycrystalline Diamond Bearings. Eng, 5(3), 1615-1640. https://doi.org/10.3390/eng5030085

