Mechanical Characterization of Cemented Paste Backfill
Abstract
:1. Introduction
2. Materials and Methods
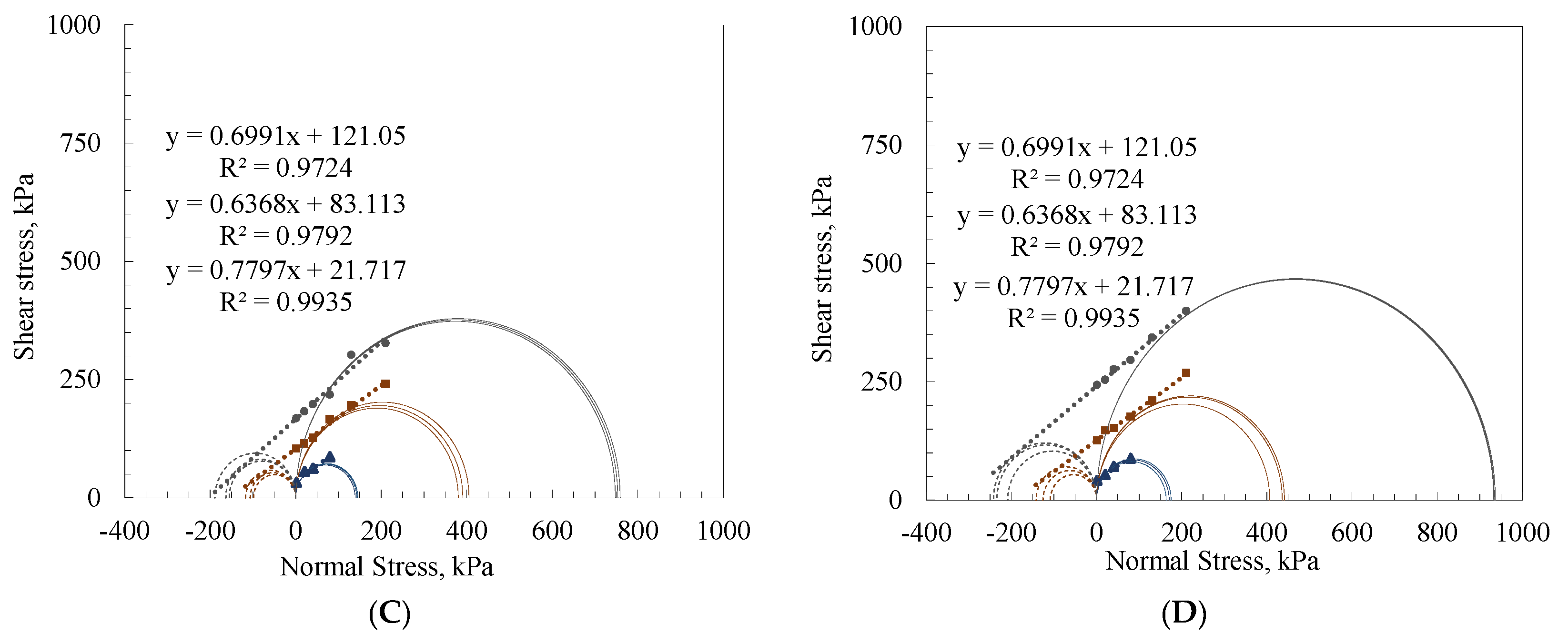
3. Results and Discussion
4. Conclusions
Author Contributions
Funding
Data Availability Statement
Acknowledgments
Conflicts of Interest
References
- Hassani, F.; Archibald, J. Mine Backfill; Canadian Institute of Mining, Metallurgy and Petroleum: Montreal, QC, Canada, 1998. [Google Scholar]
- Paterson & Cooke Canada Inc. Mine Backfill Design & Operation Course; Patterson & Cooke: Sudbury, ON, Canada, 2019. [Google Scholar]
- Le Roux, K.; Bawden, W.F.; Grabinsky, M.F. Field properties of cemented paste backfill at the Golden Giant mine. Min. Technol. 2005, 114, 65–80. [Google Scholar] [CrossRef]
- Kesimal, A.; Yilmaz, E.; Ercikdi, B.; Alp, I.; Deveci, H. Effect of properties of tailings and binder on the short-and long-term strength and stability of cemented paste backfill. Mater. Lett. 2005, 59, 3703–3709. [Google Scholar] [CrossRef]
- Raffaldi, M.J.; Seymour, J.B.; Richardson, J.; Zahl, E.; Board, E. Cemented Paste Backfill Geomechanics at a Narrow-Vein Underhand Cut-and-Fill Mine. Rock Mech. Rock Eng. 2019, 52, 4925–4940. [Google Scholar] [CrossRef] [PubMed]
- Mitchell, R.J.; Olsen, R.S.; Smith, J.D. Model studies on cemented tailings used in mine backfill. Can. Geotech. J. 1982, 19, 14–28. [Google Scholar] [CrossRef]
- Fall, M.; Benzaazoua, M.; Ouellet, S. Experimental characterization of the influence of tailings fineness and density on the quality of cemented paste backfill. Miner. Eng. 2005, 18, 41–44. [Google Scholar] [CrossRef]
- Pakalnis, R.; Caceres, C.; Clapp, K.; Morin, M.; Brady, T.; Williams, T.; Blake, W.; MacLaughlin, M. Design Spans—Underhand Cut and Fill Mining. In Proceedings of the 107th Canadian Institute of Mining Annual General Meeting, Toronto, ON, Canada, 1–9 April 2005. [Google Scholar]
- De Souza, E.; Archibald, J.F.; Dirige, A.P. Underground Backfill Practices in Canadian Mines. In Proceedings of the 6th North America Rock Mechanics Symposium (NARMS), Houston, TX, USA, 6–9 June 2004. [Google Scholar]
- Keita, A.M.T.; Jahanbakhshzadeh, A.; Li, L. Numerical analysis of the failure mechanisms of sill mats made of cemented backfill. Int. J. Geotech. Eng. 2021, 7, 802–814. [Google Scholar] [CrossRef]
- Skrzypkowski, K. 3D Numerical Modelling of the Application of Cemented Paste Backfill on Displacements around Strip Excavations. Energies 2021, 14, 7750. [Google Scholar] [CrossRef]
- Fall, M.; Belem, T.; Samb, S.; Benzaazoua, M. Experimental characterization of the stress–strain behaviour of cemented paste backfill in compression. J. Mater. Sci. 2007, 42, 3914–3922. [Google Scholar] [CrossRef]
- Tikou, B.; Benzaazoua, M.; Bussière, B. Mechanical behaviour of cemented paste backfill. In Proceedings of the 53rd Canadian Geotechnical Conference, Montreal, QC, Canada, 15–18 October 2000. [Google Scholar]
- Jafari, M.; Shahsavari, M.; Grabinsky, M. Drained Triaxial Compressive Shear Response of Cemented Paste Backfill (CPB). Rock Mech. Rock Eng. 2021, 54, 3309–3325. [Google Scholar] [CrossRef]
- Guo, L.; Peng, X.; Zhao, Y.; Liu, G.; Tang, G.; Pan, A. Experimental Study on Direct Tensile Properties of Cemented Paste Backfill. Front. Mater. 2022, 9, 864264. [Google Scholar] [CrossRef]
- Mitchell, R. Sill mat evaluation using centrifuge models. Min. Sci. Technol. 1991, 13, 301–313. [Google Scholar] [CrossRef]
- Grabinsky, M.; Jafari, M.; Pan, A. Cemented Paste Backfill (CPB) Material Properties for Undercut Analysis. Mining 2022, 2, 103–122. [Google Scholar] [CrossRef]
- Veenstra, R.L. A Design Procedure for Determining the In Situ Stresses of Early Age Cemented Paste Backfill. Doctoral Thesis, University of Toronto, Toronto, ON, Canada, 2013. [Google Scholar]
- Johnson, J.C.; Seymour, J.B.; Martin, L.A.; Stepan, M.; Arkoosh, A.; Emery, T. Strength and Elastic Properties of Paste Backfill at the Lucky Friday Mine, Mullan, Idaho. In Proceedings of the 49th U.S. Rock Mechanics/Geomechanics Symposium, San Francisco, CA, USA, 1 July 2015. [Google Scholar]
- Pan, A.N.; Grabinsky, M.W.F. Tensile Strength of Cemented Paste Backfill. Geotech. Test. J. 2021, 44, 1886–1897. [Google Scholar] [CrossRef]
- Jafari, M. Experimental Study of Physical and Mechanical Properties of a Cemented Mine Tailings. Ph.D. Thesis, University of Toronto, Toronto, ON, Canada, 2020. [Google Scholar]
- ASTM-D7928; Standard Test Method for Particle-Size Distribution (Gradation) of Fine-Grained Soils Using the Sedimentation (Hydrometer) Analysis. ASTM International: West Conshohocken, PA, USA, 2017.
- Klein, K.; Simon, D. Effect of specimen composition on the strength development in cemented paste backfill. Can. Geotech. J. 2016, 43, 310–324. [Google Scholar] [CrossRef]
- ASTM D2166-06; Standard Test Method for Unconfined Compressive Strength of Cohesive Soil. ASTM International: West Conshohocken, PA, USA, 2010.
- Pan, A.N.; Grabinsky, M.W.F.; Guo, L. Shear Properties of Cemented Paste Backfill under Low Confining Stress. Adv. Civ. Eng. 2021, 2021, 7561977. [Google Scholar] [CrossRef]
- Thompson, B.D.; Grabinsky, M.; Veenstra, R.; Bawden, W. In situ pressures in cemented paste backfill—A review of fieldwork from three mines. In Proceedings of the 14th International Seminar on Paste and Thickened Tailings, Australian Centre for Geomechanics (Paste 2011), Perth, Australia, 5–7 April 2011; pp. 491–503. [Google Scholar] [CrossRef]
- Nasir, O.; Fall, M. Shear behaviour of cemented pastefill-rock interfaces. Eng. Geol. 2008, 101, 146–153. [Google Scholar] [CrossRef]
- Grabinsky, M.; Pan, A. Cemented paste backfill failure envelope at low confining stress. In Proceedings of the 13th International Symposium on Mining with Backfill, Katowice, Poland, 28 May 2021. [Google Scholar]
- Terzaghi, K. Theoretical Soil Mechanics; John Wiley & Sons: Hoboken, NJ, USA, 1943. [Google Scholar]









| Tailing Composition | SiO2 | Al2O3 | CaO | MgO | K2O | Na2O | Fe2O3 | S | TiO2 | P2O5 | Ba |
|---|---|---|---|---|---|---|---|---|---|---|---|
| Content (wt.%) | 59.8 | 12.2 | 3.6 | 3.5 | 3.4 | 3.2 | 2.4 | 0.6 | 0.4 | 0.2 | 0.1 |
| Binder composition | CaO | SiO2 | SO3 | Al2O3 | MgO | Fe2O3 | K2O | Na2O | |||
| Content (wt.%) | 64.2 | 20.0 | 4.1 | 3.9 | 3.1 | 3.0 | 0.5 | 0.2 | |||
| Minerology | Content (w.t. %) |
|---|---|
| Tricalcium silicate | 63 |
| Dicalcium silicate or belite | 11 |
| Tricalcium aluminate | 9 |
| Tetracalcium aluminoferrite | 7 |
| Binder Content, % | Binder Type | Curing Time, Days | Number of Trials | Number of Samples | Bulk Density, g/cm3 |
|---|---|---|---|---|---|
| 4.2 | 100% NPC | 3, 7, 14, 28 | 3 | 9 | 1.884 |
| 6.9 | 100% NPC | 3, 7, 14, 28 | 3 | 9 | 1.897 |
| 9.7 | 100% NPC | 3, 7, 14, 28 | 3 | 9 | 1.911 |
Disclaimer/Publisher’s Note: The statements, opinions and data contained in all publications are solely those of the individual author(s) and contributor(s) and not of MDPI and/or the editor(s). MDPI and/or the editor(s) disclaim responsibility for any injury to people or property resulting from any ideas, methods, instructions or products referred to in the content. |
© 2023 by the authors. Licensee MDPI, Basel, Switzerland. This article is an open access article distributed under the terms and conditions of the Creative Commons Attribution (CC BY) license (https://creativecommons.org/licenses/by/4.0/).
Share and Cite
Pan, A.; Grabinsky, M. Mechanical Characterization of Cemented Paste Backfill. Eng 2023, 4, 738-747. https://doi.org/10.3390/eng4010044
Pan A, Grabinsky M. Mechanical Characterization of Cemented Paste Backfill. Eng. 2023; 4(1):738-747. https://doi.org/10.3390/eng4010044
Chicago/Turabian StylePan, Andrew, and Murray Grabinsky. 2023. "Mechanical Characterization of Cemented Paste Backfill" Eng 4, no. 1: 738-747. https://doi.org/10.3390/eng4010044
APA StylePan, A., & Grabinsky, M. (2023). Mechanical Characterization of Cemented Paste Backfill. Eng, 4(1), 738-747. https://doi.org/10.3390/eng4010044

