Next Article in Journal
Assessment of the Type of Paint on Performance of Rendering Mortars
Next Article in Special Issue
Numerical Modeling and Analysis of Strengthened Steel–Concrete Composite Beams in Sagging and Hogging Moment Regions
Previous Article in Journal
Investigation of Resonant Signal Timing Plans through Comprehensive Evaluation of Various Optimization Approaches
Previous Article in Special Issue
Recent Advances in Corrosion Assessment Models for Buried Transmission Pipelines
 
 
Font Type:
Arial Georgia Verdana
Font Size:
Aa Aa Aa
Line Spacing:
Column Width:
Background:
Review

Eco-Friendly Geopolymer Composites Prepared from Agro-Industrial Wastes: A State-of-the-Art Review

by
Asiya Alawi
1,
Abdalrhman Milad
1,*,
Diego Barbieri
2,
Moad Alosta
1,
George Uwadiegwu Alaneme
3 and
Qadir Bux alias Imran Latif
1,*
1
Department of Civil and Environmental Engineering, College of Engineering, University of Nizwa, P.O. Box 33, Nizwa 616, Oman
2
Department of Civil and Environmental Engineering, Norwegian University of Science and Technology, Høgskoleringen 7A, Trøndelag, 7491 Trondheim, Norway
3
Department of Civil Engineering, Kampala International University, Kampala 20000, Uganda
*
Authors to whom correspondence should be addressed.
CivilEng 2023, 4(2), 433-453; https://doi.org/10.3390/civileng4020025
Submission received: 2 March 2023 / Revised: 28 March 2023 / Accepted: 11 April 2023 / Published: 19 April 2023
(This article belongs to the Special Issue Feature Papers in CivilEng)

Abstract

Portland cement (PC) is a common material used in civil infrastructure engineering. Cement production emits roughly 2.2 billion tons of CO2 per year, contributing 8% of global emissions in 2016. This contributes to almost half of the calcination process, and together with thermal combustion, clinker generation could be responsible for 90% of the sector’s emissions. One effective technique for dealing with these industrial by-product wastes is to employ them to make cement replacements such as concrete and mortar, which can be used in a variety of applications. As a result, the purpose of this research is to review the current advancements, challenges, and future perspectives on the utilization of agro-industrial waste (AIW) produced around the world in cement-based products. Geopolymers (GPs), on the other hand, reduce carbon dioxide emissions and have the potential to be a complete or partial replacement for PC in the construction sector. The GP technology enables the use of AIW in combination with an alumina–silicate (A–S) phase with minimal environmental impact. GP-cement is mostly produced by activating alkali silicates or alkali sols with secondary raw materials such as calcined clays, fly ash (FA), zeolite, metakaolin, etc. Mixing various resource materials, including additives, A–S, and alkali sols, alkali concentrations, optimizing the curing temperature, the SiO2/Na2O ratio, microstructural behavior, and other factors, results in GP-cement with outstanding mechanical and durability characteristics. The review concludes that AIW-based geopolymer composites have shown promising results in terms of their mechanical properties, durability, and environmental sustainability, which makes them emerge as promising future building materials with applications in a wide range of industries.

1. Introduction

GP is an inorganic material usually produced from aluminosilicates or ceramics that creates non-crystalline or amorphous, long-range, covalently bonded networks with its temperature-dependent microstructure when mixed with an alkaline activator solution. It can be considered as a green cement that has superb mechanical characteristics, low energy in its production, and releases less carbon dioxide for the life cycle global warming intensity of concrete [1]. Furthermore, applications of GP may be used for coatings and adhesives, high-temp ceramics, medicinal applications, geotechnical for the purpose of soil stabilization, the construction of asphalt pavement, and new types of cement for concrete [2,3,4]. GP usage has more advantages than the ordinary PC since it can protect the environment and provide materials that can save energy used for construction works, which include wastes as a sustainable resource that allows the reuse and recycling of agricultural and industrial waste and its by-products, for instance as biomass ash, FA, cement kiln, and mine tailings [5]. GP contains superb characteristics, such as corrosion and fire resistance to chemical (sulfate and salt) accidents, and low thermal conductivity features with improved ability to restrain dangerous toxic wastes that are not environmentally sustainable. Additionally, currently, demolition and construction residues have created raw materials for GPs owing to the availability and high contents of silica and oxide [6]. However, the consumption of PCs will cause environmental pollution because of CO2 emissions. Hence, alternative materials have been utilized to substitute PC in the concrete. PC, which is usually used as the pozzolanic binder in many civil construction works, emits greenhouse gases [7]. Concrete is a composite material that combines aggregates and binders to form a versatile building material that is used in many structural construction projects and has a global consumption of around 30 billion tons per year. Hence, there is a reduction in the amount of PC that is used as a fundamental binder to create conventional concrete [8]. Furthermore, the production of PC is related to harmful environmental issues such as carbon dioxide emissions and the severe usage of natural resources [9]. A cumulative amount of 1.5 tons of raw materials is needed to mix with approximately 1 ton of PC to generate 0.55 tons of carbon gases, with the burning fuel producing approximately 0.4 tons of CO2 that sum up from 0.85 to 1.1 tons of carbon gas emissions [10]. Moreover, industrial cement production is related to burning approximately 12 to 15 percent of fossil fuels in the kiln or furnace, de-carbonation of limestone, and using electrical energy. Since the past decade, there has been an increase in awareness related to environmental issues due to the production of PCs [11,12]. As a result, professionals and researchers in the construction industry have been searching for viable alternative approaches to generating sustainable green materials for construction in order to achieve zero carbon emissions by recycling solid wastes and their by-products by replacing conventional concrete materials [13]. The principal advantage of using GP-cement is low fuel usage and decreasing the emission of carbon dioxide since chemical procedures produce zero carbon dioxide and can cause an 80% to 90% reduction in carbon dioxide emissions. Other benefits are shown in Figure 1. First of all, the low carbon footprint of geopolymer cement has a lower carbon footprint than traditional Portland cement, making it an environmentally friendly choice for construction projects. Secondly, the durability of geopolymer cement is highly durable and can withstand extreme weather conditions. Third, the cost-effectiveness of geopolymer cement is higher than that of traditional cement, as it requires less energy and materials to produce. Forth is strength. Geopolymer cement is stronger than traditional Portland cement and can withstand higher temperatures and pressures. Moreover, geopolymer cement has a higher fire resistance than traditional cement, making it an ideal choice for construction projects that need to be more fire-resistant. Hence, geopolymer cement requires less maintenance than traditional cement, making it easier and more cost-effective to maintain. Finally, geopolymer cement can be used in a wide range of construction projects, from roads to bridges to buildings [3].
The deployment of eco-friendly and sustainable practices in the development of agro-industrial waste-based geopolymers has significant environmental, social, and economic benefits. By utilizing waste materials as a resource, we can reduce waste, conserve natural resources, and reduce greenhouse gas emissions while also creating new economic opportunities [14].
Foregoing research has demonstrated that the use of industrial residues and their derivatives for substituting PC, for instance, ground-granulated blast-furnace slag (GGBFS) and FA, can minimize the emission of greenhouse gases caused by the production of cement by about 10% to 20% [15,16]. The usage of alkali-activated (AA) binders in the construction sector has gained considerable attention in the past decades as excellent binders that can be developed without PC. AA binder systems are useful for managing waste as they can integrate and recycle industrial agro-waste and its products, namely palm bunch, residual ashes from rice husk, thermal power plants (FA), slag from steel plants, wood wastes, and bagasse [17]. In 2016, Assi et al. [18] carried out research on the initial and final compressive strengths improved by FA-based GP concrete at room temp. However, the results show that compressive strength obtained without external heat could be enhanced through PC usage as a partial ratio of FA. Moreover, the permeable void ratio is influenced by the PC ratio, which increases due to the significant reduction [19].
Additionally, in 2018, Reddy et al. [20] carried out investigative research that showed that GP-cement is more homogeneous and well bonded to the aggregate, notably with less surface failure than PC. Based on that, long-term durability and corrosion-based enhanced-crack resistance are achieved using GP-cement. The influence of age on GP strengths of the GP mixtures varies from those of PC. The GP-cements have higher compressive strengths, ranging from 29.7 MPa (8 M) to 56.2 MPa (14 M) on the 7th day and from 40 MPa (8 M) to 60.2 MPa (14 M) on the 28th day, while for the concrete mixture with PC, the values were 22 at 7 days and 33 MP at 28 days. These findings denote an increase in strength between the 7 and 28 days, with 15% (8 M) and 7% (14 M) for the GP-cements. As for PC, there was an increase of 33% from the 7 to 28 days. GP-cement has consistently higher splitting-tensile strength compared to PC. Furthermore, in their experimental studies, Zerfu and Jaya [21] noted that GP concrete using FA has significant engineering, environmental, and economic benefits compared to conventional PC concrete. The literature review noted that GP has better compressive strength and is more economical compared to PC concrete, for instance, in terms of resistance to corrosion and environmental pollution. This review aimed to investigate the usage of an agro-industrial by-product, for instance, FA, rice-husk ash, saw dust ash, etc., as a resource material that contains A–Ss to produce green GP concrete by utilizing metallic alkali activators. The information obtained from this review will provide the required knowledge to integrate and recycle waste that is generally disposed into the environment to obtain eco-friendly and sustainable materials for construction. Moreover, to assess the effect of industrial agro-waste on the performance of AA binders according to mechanical strength and durability, green concrete is created using various molar concentrations and kinds of activators. Furthermore, this review will explore the latest research on the synthesis and properties of geopolymer composites derived from agro-industrial wastes, with a particular focus on their potential applications in sustainable construction materials [22].

2. GP Elements (Composition)

Geo polymerization is an advancement in technology that alters pozzolanic materials that contain A–S by a chemical procedure using the alkaline solution to create beneficial GP materials, as displayed in Equation (1). It is vital to ensure this procedure takes place at either room or slightly raised temp. [23].
Alumina–silicate + Alkali (NaOH or KOH) = GP Paste
During the geo polymerization process, the following two basic procedures are observed: First, use sodium–hydroxide to dissolve the A–Ss obtained from the pozzolanic ash materials to get small ions of reactive silica and alumina. Next, the polycondensation process forms amorphous to semi-crystalline polymers [24]. Inorganic materials containing A–S will react chemically with alkaline sols, which leads to the polycondensation process to create GPs that have three basic structures depending on the ratio of alumina to silica [25]. The three basic structures are namely poly (sialate), poly (sialate–siloxy), and poly (si-alate–disiloxo), as shown in Figure 2.
Due to the activation of alkali in the aluminosilicates in FA industrial residue, GP, which is an inorganic polymer, is obtained with the chemical structure presented in Equation (2) [26].
M k { ( SiO 2 ) q AlO 2 } k
where M denotes the alkali cation, k denotes the polycondensation degree, and q denotes the alumina-to-silica ratio. Under alkaline conditions, a 3-D polymeric chain structure is generated during the chemical process, whereby inorganic synthetic GP is obtained. The microstructural and mechanical characteristics of the developed GP are influenced by the composition of the raw materials and the alkaline solution concentration [27]. Generally, GPs are produced by mixing source pozzolanic materials and alkaline sols. These A–S materials are mixed with a suitable molarity concentration of metallic hydroxide alkalis solution to produce sodium silicates and GPs [28]. Figure 3 displays what takes place throughout the FA polymerization process.
The AA is usually milled together and reduced to fine-grain mixture particles that are similar to PC. This mixture is created using different amounts of water, as displayed in Figure 4 [29].
Geo polymerization of FA and alkali solution, which serves as the resource material for A–S, produces a chainlike structure and 3-D polymeric ring with Si-O-Al-O bonds that are produced in ambient temp. and is an energy-efficient cleaning procedure. Firstly, the geo-polymerization process involves dissolving Si and Al atoms using hydroxide ions. Next, the source material ions will be converted into monomers. Finally, the developed monomers will go through polycondensation into polymeric structures [30,31]. These stages of geo-polymerization might take place simultaneously or in an overlapping manner. During the second stage of polymerization, water is eliminated, but water is consumed during PC hydration. Furthermore, due to the varying sizes and densities of the ionic charges, different cations from the alkali solution affect the growth and nucleation of A–S chains in different ways. Hence, the rate and extent of polymerization that takes place change. For example, potassium cation (1.33 Ả), which is larger in size and possesses a lower density charge compared to sodium cation (0.97 Ả), generates a GP matrix with a much higher level of polymerization [32].

2.1. Fly Ash FA

FA, also known as flue ash, is a spherical and glassy element that forms grey powder and is generated by steam-generating plants and coal-fired power stations’ waste. It has pozzolanic characteristics that denote the rich presence of aluminum and silicate oxides, referred to as supplementary cement-based materials. Additionally, FA as an IW is very suitable for various engineering apps, for example, landfills, mines, flowable fills, and GP concrete [33]. Generally, FA is described as a by-product of coal power plant combustion that forms fine particles that soar upwards with flue gases, but the bottom ash will not rise. It is a heterogeneous material that has a chemical composition made of mainly Al2O3, ferric oxide, and silicon [34]. FA is a common ingredient used in the production of geopolymer concrete, which is a sustainable alternative to traditional Portland cement-based concrete. However, the quality of FA can significantly impact the performance and properties of the resulting geopolymer concrete, such as improving its mechanical and workability behavior while reducing shrinkage, environmental impact, and the risk of alkali–silica reaction (ASR) [35,36]. Overall, using high-quality FA in geopolymer concrete can lead to a more durable, workable, and sustainable construction material. Careful selection and testing of FA can ensure that geopolymer concrete meets the necessary standards and specifications for a reliable and long-lasting building material [37].
Many studies have been carried out to explore viable alternatives to minimize the dependence on PC in the civil construction field by developing sustainable green technologies by the use of FA [38]. GP concrete production using FA looks promising in providing materials that can substitute cement binders to reduce and stop carbon gas emissions [39]. These materials are vital components of AA green concrete because there are plenty of the required raw materials containing sufficient amounts of calcium, alumina, and SiO2 in reactive form. Environmental pollution has become an issue since approximately 60 percent of FA is used haphazardly as a landfill [40]. Nuaklong et al. [41] have done a study on the mechanical and fire resistance characteristics of FA, which has a rich content of calcium oxides, to create an AA concrete mixture with rice-husk ash that is an eco-friendly and sustainable construction material.
Their findings revealed that the compressive strength of GP at 28 days’ hydration was between 36 and 38.1 N/mm2 because of the requirement for enhanced density and microstructure in the blended matrix. Moreover, adding rice-husk ash to silica had a negative influence on the residue’s fire resistance strength characteristic. Wong et al. [24] stated that FA, which is rich in calcium when mixed with brick powder, generated 44.21 N/mm2 after being cured for 28 days. Furthermore, laboratory findings revealed that replacing the brick powder with more than 10 percent indicated an inhomogeneous microstructure in the concrete matrix. The chemical composition and relevant app of FA in the alkaline-activated binder are displayed in Table 1 and Table 2.

2.2. Acid-Based Agro-Industrial Waste-Based Geopolymer Concrete

Acid-based agro-industrial waste-based geopolymer concrete is a type of concrete that is made from agro-industrial waste materials and a mixture of acid and alkali solutions [51]. The acid-based approach involves using an acid, such as hydrochloric acid or sulfuric acid, to dissolve the silica and alumina from the agro-industrial waste material, which is then mixed with an alkali solution, such as sodium hydroxide or potassium hydroxide, to form a geopolymer binder [52]. The chemical reactions involved in the production of acid-based agro-industrial waste-based geopolymer concrete are complex and involve several steps [53]. The following is a simplified overview of the chemical reactions that occur during the production of geopolymer concrete using acid-based agro-industrial waste:
  • Activation of the waste material: The agro-industrial waste source materials are first activated using an acid solution, typically hydrochloric acid or sulfuric acid. The acid reacts with the silica and alumina in the waste material, forming soluble silicates and aluminates [54];
  • Formation of the geopolymer gel: The activated waste material is then mixed with an alkaline solution, typically sodium hydroxide or potassium hydroxide. This causes a chemical reaction between the soluble silicates and aluminates, resulting in the formation of a geopolymer gel. The gel binds together the waste particles, forming a solid material with cement-like properties [55];
  • Solidification of the geopolymer concrete: The geopolymer concrete is then cast into the desired shape and left to solidify. During this process, the geopolymer gel continues to harden and strengthen, resulting in a final product that is strong, durable, and resistant to acid and alkali attack [56].
The chemical reactions involved in the production of acid-based agro-industrial waste-based geopolymer concrete are similar to those involved in traditional cement-based concrete but with some notable differences [57]. Geopolymer concrete does not require the high-temperature kiln firing that is necessary for the production of cement-based concrete, which results in a significant reduction in carbon dioxide emissions. Additionally, the use of waste materials as raw materials for geopolymer concrete promotes sustainability and helps to reduce waste sent to landfills [58]. The use of acid-based agro-industrial waste-based geopolymer concrete has several benefits, including:
  • Sustainable use of waste materials: The use of agro-industrial waste materials as raw materials for geopolymer concrete helps to reduce waste and promote sustainability. Agro-industrial waste materials such as rice-husk ash, sugarcane bagasse ash, and coconut shell ash can be used to make geopolymer concrete, which reduces the amount of waste that goes to landfills [59];
  • Lower carbon footprint: The production of acid-based agro-industrial waste-based geopolymer concrete results in significantly lower carbon dioxide emissions compared to traditional cement production. This is because the production of geopolymer concrete does not require high-temperature kiln firing, which is responsible for a significant portion of the carbon dioxide emissions associated with cement production [60];
  • Improved durability: Acid-based agro-industrial waste-based geopolymer concrete has been found to have better durability compared to traditional concrete. This is because geopolymer concrete has a higher resistance to acid and alkali attacks, as well as a lower permeability, which helps to prevent the penetration of water and other harmful substances [61];
  • Cost-effective: The use of agro-industrial waste materials as raw materials for geopolymer concrete can be cost-effective, as these waste materials are often inexpensive and readily available. Additionally, the production of geopolymer concrete can help reduce costs associated with traditional cement production, as well as reduce energy and transportation costs associated with waste disposal [62].
Overall, acid-based agro-industrial waste-based geopolymer concrete is a sustainable and cost-effective alternative to traditional cement-based concrete. By utilizing waste materials as a resource and reducing the carbon footprint of the construction industry, acid-based agro-industrial waste-based geopolymer concrete can help promote environmental sustainability and economic development [63].

3. Methodology

This literature review aimed to examine the ability of various industrial agro-waste and their derivatives (ash) in the production of AA binder concrete to create eco-friendly and cost-effective construction materials [64]. The use of agro-industrial waste-based geopolymer composites has gained significant attention due to their potential to reduce waste and create sustainable materials. However, the literature on this topic is scattered, making it difficult to obtain a comprehensive understanding of the current state of research. This systematic review aims to synthesize the existing research on agro-industrial waste-based geopolymer composites using the Preferred Reporting Items for Systematic Reviews and Meta-Analyses (PRISMA) guidelines [65,66]. A systematic search was carried out in four electronic databases (Scopus, Web of Science, ScienceDirect, and PubMed) to identify relevant studies published from 1995 to 2022, as shown in Figure 5. The search was performed using a combination of keywords related to agro-industrial waste-based geopolymer composites. Studies that met the inclusion criteria were evaluated for their quality using the Bias tool [67,68]. The initial search yielded 1455 studies, of which 135 were considered eligible for inclusion in this review. The studies were published between 2001 and 2022, and the majority of them were experimental and review studies. The studies investigated the effects of various parameters, such as the composition of the waste, the alkaline activator used, and curing conditions, on the microstructural durability and mechanical behavior of the composites. The schematic diagram of this methodological process is shown in Figure 6. In line with the foregoing, related and relevant literature studies on industrial agro-waste ashes, for instance, FA, sugarcane bagasse ash (SBA), palm oil fuel ash (POA), rice-husk ash (RH–SiO2), sawdust (SA), and GGBFS, were discovered in this search and screening process [69,70]. Suitable keywords or subjects, for instance, A–Ss and geo polymerization, alkalis, AA binder, material science, potassium–hydroxide (KOH), sodium–carbonates (Na2CO3), sodium silicates (SS) and sodium–hydroxide (NaOH) were utilized to search in the research databases [71,72].

4. Geo Polymerization Overview

In 1978, the idea of GP was introduced by Davidovits to include A–S materials created by SiO2 (silica) and amorphous Al2O3; dissolved in a highly AA medium at room temp. Furthermore, strong alkalis such as sodium and potassium-hydroxide are very suitable for dissolving SiO2 and Al2O3; to produce A–S items [73]. This chemical reaction is highly influenced by the characteristics of the raw materials, the duration, and temp. of curing, and the concentration of AA. Several studies have revealed that silica and Al2O3; sources are found in abundance in agricultural waste materials and their by-products, whereas alkalis can be obtained from the industrial chemical market [74]. Moreover, many industries, for instance, power plants, steel, aluminum, and biomass, have different ways to save their waste and by-products. Cement and steel manufacturing IW contain plenty of calcium and silica minerals that can be utilized for formulating different types of calcium silicates, while the IW used in the aluminum manufacturing sector, for example, red mud, kaolinite, and laterite kondalite, contains chemical content that is suitable for geo polymerization [75]. Additionally, agricultural waste biomass, namely bagasse, cassava peels, rice husk, palm bunch, and Bambara nutshell, contain approximately 80–90% SiO2 in amorphous form and are used as a GP process cost-cutter [76,77,78,79]. Moreover, residue from power plants, for instance, FA and bottom ash, contains good pozzolanic features that can be utilized in the production of concrete to partially reduce the usage of PC by up to 30% by weight. On the other hand, 100% of geo polymerization FA is utilized as construction material. This method of replacing cement with industrial or agricultural residues is a synergistic approach that encourages waste recycling to obtain sustainable construction materials and minimizes emissions of greenhouse gases [80,81]. The mechanical characteristics of GP binder depend upon the cement-supplementary cement-based materials replacement ratio, type and mineralogical composition of waste materials, and mixture design methodology [82]. Moreover, in terms of GP-embodied energy, the FA GP mixture requires approximately 40% energy in comparison to PC-based concrete material. Nevertheless, the alkaline activator chemical components used approximately 39% energy for sodium-hydroxide but 49% energy for sodium silicates. Hence, finding alkaline alternatives for liquid residue is necessary to produce a more economical GP. Therefore, a low-cost solution for the production of GP is required to provide AAs through an industrial liquid residue [83,84]. The Bayer liquid solution acquired from Al2O3; offers a cost-effective solution since it contains a sufficient amount of A–S needed to create GP source material. Besides the availability of raw materials and construction materials for the new green building, the waste management and control mechanisms render GP crucial for accomplishing sustainable and eco-efficient infrastructural development [85]. Hence, it is vital to study carefully and evaluate the mechanical and chemical characteristics and financial benefits of various kinds of GP-cement produced utilizing agricultural and IW to determine the research gaps. The literature review is projected to recommend guidelines for contractors, engineers, project managers, and industrial sectors, besides assisting in the development of new sustainable construction materials created through the GP technique [86].

4.1. Parameters for the Mixture of GP

Alkaline-activated material is a huge classification of materials that combines different kinds of binder products obtained from chemical reactions involving alkaline metal sources, whether in the solid or solution state and A–S powder. The alkaline sources, namely carbonate, sulfates, alkali–hydroxides, Al2O3, SiO2, and cations, are able to increase the pH and act as a catalyst or speed up the solid solution of the source material. Alkali silicates and hydroxides are generally used as AAs, in which the characteristics of the activators play a vital role in the activation process [87,88].

4.2. Effects of Potential Hydrogen (PH)

The main role of the alkaline activator is to facilitate the dissolution of the A–Ss and catalyze the reaction, normally at a higher pH level. Silicates and alkali-hydroxides produce the highest pH values, followed by carbonates and sulfates, which create the moderate alkaline condition. Normally, a pH higher than 11 is a prerequisite for activating sols. It is noted that the maximum pH level for GGBFS or the FA is approximately 13 to 13.6 [89]. Furthermore, the effect of pH on the activation of pozzolanic materials depends significantly on the kind of activator because the solubility of calcium decreases at higher pH levels, but the solubility of SiO2 and aluminum increases. Nevertheless, the sodium hydroxide (NaOH) solution activation occurs at a higher pH level than Na2SiO3 sols with similar alkali concentrations. Hence, the quantity of reacting pozzolanic substances compared to the presence of various types of activators will help in developing better performance in the mechanical strength of silicates than those activated with NaOH. This is caused by calcium–silicate–hydrate (C-S-H) gel that is created when the additional silica reacts with the calcium ions derived from the dissolved ash materials [90,91]. Normally, the activators utilized for A–Ss activations with low content of calcium are those with a pH similar to 8 M of NaOH solution. A decrease in the alkaline level will have a negative influence on the mechanical strength of the cement because the generated ionic bonding in the activator’s binding system is not high enough to sufficiently hydrolyze the aluminum and SiO2 in the resource material [92]. Studies have indicated that mixture design range and methodology parameters affect the mechanical strength and rheological properties of GP concrete incorporating FA. Ling et al. [25] studied the importance of four design factors, liquid/FA ratio, SiO2/Na2O ratio, temp. of concrete curing, and the concentration of AA in the time setting and strength of GP concrete mixed with FA with high content of calcium oxide. The findings revealed that the SiO2/Na2O ratio was noted to accelerate the setting time of the blended FA-GP concrete and decrease the strength response as the ratio increased. It was observed that an increase in the concentration of the AA led to a prolonged setting time for the combination containing SiO2/Na2O with a ratio of 1:1.5, but when the SiO2/Na2O ratio was raised to 2.0, the setting time was shorter. However, the compressive strength of these GP mixes has improved. Moreover, laboratory findings noted that higher temp. applied for hydration of the concrete resulted in an increase in the compressive strength of the blended concrete [93]. Zhang and Feng [26] noted that water, temp., and molar concentration of AA (NaOH) significantly affect the development of the mechanical features of FA GPs, which are rich in calcium oxides. Furthermore, Abdullah et al. [23] noted that mixed design parameters, for instance, the Na2SiO3/NaOH ratio, the alkaline activator/fly ratio, and temp. of concrete hydration affect the compressive strength of FA GP concrete. The experiments carried out in the laboratory revealed that for 12 M of NaOH solution, the masses of 2.5 and 2 for the Na2SiO3/NaOH and FA/alkaline activator ratios, respectively, created maximum compressive strength results. The findings from relevant literature studies [94,95] noted that an FA/alkaline activator ratio in the range of 3.3–4 is required to produce GP concrete with improved and better compressive strength performance. Moreover, Sathonsaowaphak et al. [30] noted that FA-GPs concrete in the range of 1.4 to 2.3 FA/alkaline activators ratio produced compressive strengths in the range of 42 to 52 N/mm2. Nevertheless, the findings also noted that the optimum Na2SiO3/NaOH ratio is 1.5.

5. Properties of Agro-Industrial Waste (AIW) Ashes

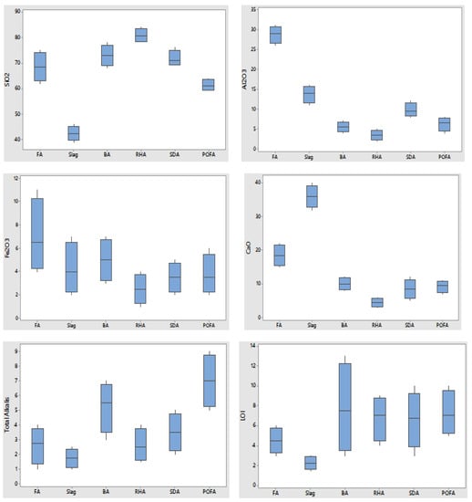
AIW ashes are utilized as source materials in the AA binder concrete, as they contain an adequate amount of silica and alumina that basically influence its binding ability. The outcomes of GP binders or the blending products depend on the condition of curing, type of metallic alkali, and source materials [96,97,98]. These elements influence the performance of green concrete. Thus, it is very crucial to note the mineralogical elements of the precursors during the alkali activation GP process. The source materials are usually classified into low-calcium and high-calcium source materials with high contents of A–S. The elemental components of varying AIW ashes include GGBFS, FA, rice-husk ash (RH–SiO2), POA, SBA, and sawdust ash (SA), as noted by several researchers and presented in Figure 7. From the plotted graph, it can be observed that RH–SiO2 possesses a maximum SiO2 content of 80% to 85%, followed by SBA, SA, and FA, while GGBFS possesses a minimum content of 40% to 45% [99,100].
FA was noted to contain a maximum content of Al2O3 of approximately 26–32%, but GGBFS only contained 12–16%. Meanwhile, agro-waste ashes contained the least alumina, ranging from 3% to 10%. When the source materials were combined with the metallic alkaline solution, the product obtained was sodium A–S hydrate gel. However, when combined with lime (CaO), the product obtained was calcium A–S hydrate gel [101]. However, GGBFS was observed to contain maximum lime content of approximately 35 to 39%, while FA produced approximately 15 to 23% lime, and the agro-waste ashes produced minimum lime content with RH–SiO2 of approximately 2 to 5%. Furthermore, FA was noted to contain a maximum amount of ferrite (Fe2O3) of approximately 4–10%, but agro-waste ashes and GGBFS contain similar quantities [102,103]. However, FA and GGBFS produced the minimum content of total alkalis at approximately 1% to 4%, while the agro-waste ashes contain higher total alkalis, with POA producing the maximum at approximately 6% to 9%. This is attributed to the higher content of potassium oxide in the agro-waste ashes, whereas ions, for instance, metallic sodium, can help to balance the negative charges in the form of SiO4 and AlO4 [104]. Furthermore, the agro-waste ashes were noted to yield a higher LOI, and SBA has a maximum content of approximately 4% when compared to IW ashes, which have a minimum GGBFS of 1.5–2.5%. LOI revealed that the waste ashes contain unburnt carbon that can cause unpleasant performance in the AA binder (AAB) concrete. A large amount of unburnt biomass particles can trigger a larger LOI, which in turn causes uncontrolled burning [105].
Specific gravity is an important factor that influenced the mixing, proportioning, and workability of the ingredients used in the concrete and also affected the performance of the waste ash-based AA binder. Mixing source materials with a minimum specific gravity adds a greater amount of powder to AAB at higher levels of replacement. GGBFS produced the highest specific gravity outcome at approximately 2.8 to 2.95, followed by FA at 2.2 to 2.5, whereas the agro-waste ashes generated minimum results of at least 1.9 to 2.1 with SBA, as illustrated in Figure 8. It can be observed from the graph that the reduction in the values of the LOI is possible because of the removal of fibrous biomass elements, which caused an increase in the source material waste ash samples’ specific gravity response. This is improved by focusing on the incineration or processing methods to obtain an adequate level of relative density and suitable fineness [106,107,108].

5.1. Industrial-Agro-Waste Ashes-Based AAB Microstructural Properties

The microstructural properties of industrial-agro-waste ash-based AAB (alkali-activated binders) depend largely on the type of waste material used. Different types of industrial-agro-waste ashes have various amounts of alkali-soluble silica, alumina, and calcium that can be used to create the AAB. In addition, the microstructural features of the AAB, such as the particle size, porosity, and chemical composition, will also be affected by the type of industrial-agro-waste ashes used [107]. The physical characteristics and behaviors of AIW ashes appeared to be the same. Nevertheless, they possessed different morphological and microstructural features. Fresh or hardened properties of AA binder concrete were notably influenced by the morphology, surface area, and reactive nature of the waste by-products [109]. Microstructural assessment has been conducted in several recent studies by utilizing various microscopic tools, such as the scanning electron microscope (SEM), optical microscope, and scanning probe microscope (SPM), which are the most commonly used methods for morphological investigations. Figure 9 depicts the findings from relevant literature studies; the effects of various AIW on GP revealed solid and hollow spherical-shaped particles of various sizes, including cenospheres and plerospheres for FA [110,111]. FA particles of various round shapes significantly improved the workability of FA-based AA binder concrete, allowing it to achieve an acceptable mechanical strength. The findings illustrated in the micrograph plot revealed that SBA contained varying carbon and silica-rich particles in the shapes of fibrous, dumbbell, spherical, irregular, and prismatic. These microstructural particulars notably decreased the practicality and increased the demand for the water/binder ratio. The dumbbell-shaped particles in the SBA samples are noted as phytoliths scattered among the granular fibrous particles. Cordeiro et al. [93] have studied the impact of color, temp., and reactivity on LOI. Beyond 800 °C, recrystallization of amorphous silica to tridymite and cristobalite occurred, and more prism-shaped particles were observed in the micrograph of calcined SBA samples. In addition, the microstructural properties of RH–SiO2, as displayed in Figure 9, revealed that the particles contained porous, angular, cellular, and irregular shapes and textures [112,113]. The reactive amorphous silica can have a cellular structure; the samples that were cellular and porous contained greater surface area, thereby having greater water-absorption features. Furthermore, the POA morphological features indicated irregularly porous cellular particles with pedospheres that are similar to FA. On the other hand, the SA micrograph revealed irregular particles with fibrous and rough surfaces. Moreover, the GGBFS micrograph revealed particles that are irregular, quadrilateral, and angular [114,115,116].

5.2. Industrial-Agro-Waste Ashes-Based AAB Mechanical Strength Properties

The influence of activators in the processes of activating alkali and industrial agro-waste ashes is very important in the geo-polymerization reaction to obtain green concrete. Different metallic alkalis at varying concentrations are utilized, such as sodium carbonate (Na2CO3), sodium-hydroxide (NH), sodium silicate (SS), sodium sulfate (Na2SO4), sodium silicate and sodium-hydroxide combination (NH+SS), and potassium hydroxide (KOH) [117]. The literature review revealed that the metallic alkalis NH, SS, and NH+SS were noted as the most commonly used activators for AA binder concrete. Their influence on the compressive strength responses after curing for 28 days was studied using the AIW ash source materials. The GGBFS source material activated with SS (2 M) generated the highest strength result of approximately 80 MPa, as illustrated in Figure 10, which is attributed to the homogenous structure of the blended mix paste morphology in the early phases compared to the NH activator [118,119]. The strength of the outcome generated was greater than the response when NH (4 M) was utilized, and this is equated to the influence of CO3-2 anions. POA mixed with SS AA binder produced concrete with higher compressive strength. FA specimens have a lower compressive strength characteristic than GGBFS-based AA combinations, but with the addition of NH+SS, the highest strength was obtained by the FA combination [120,121]. In addition, when FA and 25% of GGBFS were replaced by SBA and SA combinations, respectively, similar results were obtained. Hence, in terms of AIWs-based AA concrete combinations, NH+SS was noted to be the best metallic alkaline activator to produce increased mechanical strength characteristics. Furthermore, when KOH alkalis are added to SBA source material, a higher initial strength is produced because of the existence of potassium ions in SBA [122,123]. The greater the quantity of alkali metal cations present in the solution, the larger the quantity of Al-O-Si bonds available in the A–S gels and sols. Furthermore, an increase in the quantity of the cations affects the Si and reaction product redistribution, leading to the formation of greater amounts of silicate reactants. The presence of potassium in the solution mix can help the silicates dissolve since it is a larger cation than sodium in the metal electrochemical series. Thus, it helps in geo polymerization that enables an earlier gain in strength than the NaOH-based AA binder samples [124,125].

6. Conclusions

This review assessed the potential of AIW ashes that can be utilized as source materials in AA binder GP concretes to obtain eco-friendly, green, and cost-effective construction materials. The following are the main conclusions that were obtained:
  • RH–SiO2 was noted to contain the maximum silica content, whereas other agro-waste ashes that were studied had silica contents greater than 55%. SA was noted to contain the highest alumina content of approximately 10% for agro-waste ashes. Industrial ashes (GGBFS and FA) contain more alumina and less silica when compared to agro-waste ashes;
  • The agro-waste ashes were noted to contain greater reactions in terms of LOI due to fibers present in the ash specimens. Hence, proper procedures for refining and sieving were utilized in helping to reduce LOI. Among the AIW ashes, specific gravity variation features were noted to be important to SBA and hence create a minimum reaction, while POA and FA have similar results ranging from 2.2 to 2.5;
  • The AIW ashes contain different microstructural features varying from fibrous, spherical, irregular, and prismatic particles, as detected in the micrographs of GGBFS, SA, and SBA. RH–SiO2 and POA had cellularly irregular porous structures, whereas FA had solid and hollow spherical-shaped particles of varying sizes;
  • The influence of metallic alkaline activators was evaluated, with NH+SS being the most effective once mixed with AIW ash source materials. Additionally, the compressive strength rises significantly with the increase in molar concentration from 8 to 10 M for GGBFS, FA, SA, and SBA. Nevertheless, a decrease in strength was noticeable with an increase in molar concentration at approximately 10 M for the POA source material;
  • However, the review also identified some challenges associated with the production of agro-industrial waste-based geopolymer concrete, including the variability in the chemical composition of the waste material and the potential environmental and health hazards associated with the acid activation process. Further research is needed to optimize the production process and improve the long-term durability and sustainability of agro-industrial waste-based geopolymer concrete;
  • The expensive barrier of the activators was also a major limitation in the apps of AA binder concrete, paving the way for the development of cost-effective materials. Moreover, identifying locally sourced AIW for GP concrete and the definition of mixture proportion standardization for certain materials are the main issues in assessing the feasibility at industrial scales. Additionally, more research is needed to fully understand the long-term durability and sustainability of geopolymer concrete, standardization, and industrial-scale production;
  • Furthermore, the use of agro-industrial waste-based geopolymer concrete has emerged as a promising and sustainable solution to traditional cement-based concrete. The review study examined the literature on the use of AIW materials in geopolymer concrete production;
  • Further research is required to optimize the AIW ashes incorporation into AA binder GP concretes and to investigate the long-term performance of the materials.

Author Contributions

Conceptualization, A.A., A.M. and G.U.A.; methodology, A.M.; software, M.A.; validation, A.M. and D.B.; formal analysis, A.M.; investigation, A.M.; resources, A.A.; data curation, A.M.; writing—original draft preparation, G.U.A. and A.A.; writing—review and editing, G.U.A. and D.B.; visualization, D.B.; supervision, A.M., Q.B.a.I.L. and D.B.; project administration, A.M. and Q.B.a.I.L.; funding acquisition, Q.B.a.I.L. All authors have read and agreed to the published version of the manuscript.

Funding

The Article Processing Charges (APC) of this project are funded by the TRC research project BFP/RGP/EI/21/041 University of Nizwa, OMAN.

Data Availability Statement

Data supporting reported results is in the manuscript.

Conflicts of Interest

The authors declare no conflict of interest.

References

  1. Komnitsas, K.; Zaharaki, D. Geopolymerisation: A review and prospects for the minerals industry. Miner. Eng. 2007, 20, 1261–1277. [Google Scholar] [CrossRef]
  2. Qaidi, S.; Najm, H.M.; Abed, S.M.; Ahmed, H.U.; Al Dughaishi, H.; Al Lawati, J.; Sabri, M.M.; Alkhatib, F.; Milad, A. Fly Ash-Based Geopolymer Composites: A Review of the Compressive Strength and Microstructure Analysis. Materials 2022, 15, 7098. [Google Scholar] [CrossRef] [PubMed]
  3. Srividya, T.; Kannan Rajkumar, P.R.; Sivasakthi, M.; Sujitha, A.; Jeyalakshmi, R. A state-of-the-art on development of geopolymer concrete and its field applications. Case Stud. Constr. Mater. 2022, 16, e00812. [Google Scholar]
  4. Arafa, S.; Milad, A.; Yusoff, N.I.M.; Al-Ansari, N.; Yaseen, Z.M. Investigation into the permeability and strength of pervious geopolymer concrete containing coated biomass aggregate material. J. Mater. Res. Technol. 2021, 15, 2075–2087. [Google Scholar] [CrossRef]
  5. Umar, T.; Tahir, A.; Umeokafor, N.; Nawarathna, A.; Zia, A.; Honnur Vali, M.S. An experimental investigation on strength characteristics of concrete using Wastepaper Sludge Ash (WPSA). In Proceedings of the Twelth International Conference on Construction in the 21st Century (CITC-12), Amman, Jordan, 16–19 May 2022. [Google Scholar]
  6. Alaneme, G.U.; Iro, U.I.; Milad, A.; Olaiya, B.C.; Otu, O.N.; Chibuisi, U.P.; Agada, J. Mechanical Properties Optimization and Simulation of Soil–Saw Dust Ash Blend Using Extreme Vertex Design (EVD) Method. Int. J. Pavement Res. Technol. 2023, 16, 1–27. [Google Scholar] [CrossRef]
  7. Milad, A.; Ali, A.S.B.; Babalghaith, A.M.; Memon, Z.A.; Mashaan, N.S.; Arafa, S.; Md. Yusoff, N.I. Utilisation of Waste-Based Geopolymer in Asphalt Pavement Modification and Construction—A Review. Sustainability 2021, 13, 3330. [Google Scholar] [CrossRef]
  8. Qaidi, S.; Najm, H.M.; Abed, S.M.; Özkılıç, Y.O.; Al Dughaishi, H.; Alosta, M.; Sabri, M.M.S.; Alkhatib, F.; Milad, A. Concrete Containing Waste Glass as an Environmentally Friendly Aggregate: A Review on Fresh and Mechanical Characteristics. Materials 2022, 15, 6222. [Google Scholar] [CrossRef]
  9. Feuerborn, H.-J. Calcareous ash in Europe-a reflection on technical and legal issues. In Proceedings of the 2nd Hellenic Conference on Utilization of Industrial By-Products in Construction, Aiani Kozani, Greece, 1 June 2009. [Google Scholar]
  10. Pavithra, P.; Reddy, M.S.; Dinakar, P.; Rao, B.H.; Satpathy, B.K.; Mohanty, A.N. A mix design procedure for geopolymer concrete with fly ash. J. Clean. Prod. 2016, 133, 117–125. [Google Scholar] [CrossRef]
  11. Umar, T.; Egbu, C.; Tahir, A.; Honnurvali, M.S.; Saidani, M.; Al-Bayati, A.J. Developing a Sustainable Concrete using Ceramic Waste Powder. In Proceedings of the 11th International Conference on Construction in the 21st Century (CITC-11), London, UK, 9–11 September 2019. [Google Scholar]
  12. Agor, C.D.; Mbadike, E.M.; Alaneme, G.U. Evaluation of sisal fiber and aluminum waste concrete blend for sustainable construction using adaptive neuro-fuzzy inference system. Sci. Rep. 2023, 13, 2814. [Google Scholar] [CrossRef]
  13. Mahmoodi, O.; Siad, H.; Lachemi, M.; Dadsetan, S.; Sahmaran, M. Development of normal and very high strength geopolymer binders based on concrete waste at ambient environment. J. Clean. Prod. 2021, 279, 123436. [Google Scholar] [CrossRef]
  14. da Silva Fernandes, F.A.; de Oliveira Costa, D.D.S.; Rossignolo, J.A. Influence of Sintering on Thermal, Mechanical and Technological Properties of Glass Foams Produced from Agro-Industrial Residues. Materials 2022, 15, 6669. [Google Scholar] [CrossRef]
  15. Ibe Iro, U.; Alaneme, G.U.; Milad, A.; Olaiya, B.C.; Otu, O.N.; Isu, E.U.; Amuzie, M.N. Optimization and Simulation of Saw Dust Ash Concrete Using Extreme Vertex Design Method. Adv. Mater. Sci. Eng. 2022, 2022, 5082139. [Google Scholar] [CrossRef]
  16. Gan, V.J.L.; Cheng, J.C.P.; Lo, I.M.C.; Chan, C.M. Developing a CO2-e accounting method for quantification and analysis of embodied carbon in high-rise buildings. J. Clean. Prod. 2017, 141, 825–836. [Google Scholar] [CrossRef]
  17. Chi, M.; Liu, Y.; Huang, R. Mechanical and microstructural characterization of alkali-activated materials based on fly ash and slag. Int. J. Eng. Technol. 2015, 7, 59. [Google Scholar] [CrossRef]
  18. Assi, L.N.; Carter, K.; Deaver, E.; Ziehl, P. Review of availability of source materials for geopolymer/sustainable concrete. J. Clean. Prod. 2020, 263, 121477. [Google Scholar] [CrossRef]
  19. Li, N.; Shi, C.; Zhang, Z.; Wang, H.; Liu, Y. A review on mixture design methods for geopolymer concrete. Compos. Part B. Eng. 2019, 178, 107490. [Google Scholar] [CrossRef]
  20. Reddy, M.S.; Dinakar, P.; Rao, B.H. Mix design development of fly ash and ground granulated blast furnace slag based geopolymer concrete. J. Build. Eng. 2018, 20, 712–722. [Google Scholar] [CrossRef]
  21. Kefiyalew, Z.; Ekaputri, J.J. Review on Alkali-Activated Fly Ash Based Geopolymer Concrete. Mater. Sci. Forum 2016, 841, 162–169. [Google Scholar]
  22. Alaneme, G.U.; Attah, I.C.; Mbadike, E.M.; Dimonyeka, M.U.; Usanga, I.N.; Nwankwo, H.F. Mechanical strength optimization and simulation of cement kiln dust concrete using extreme vertex design method. Nanotechnol. Environ. Eng. 2022, 7, 467–490. [Google Scholar] [CrossRef]
  23. Wongsa, A.; Wongkvanklom, A.; Tanangteerapong, D.; Chindaprasirt, P. Comparative study of fire-resistant behaviors of high-calcium fly ash geopolymer mortar containing zeolite and mullite. J. Sustain. Cem. Based Mater. 2020, 9, 307–321. [Google Scholar] [CrossRef]
  24. Wong, C.L.; Mo, K.H.; Alengaram, U.J.; Yap, S.P. Mechanical strength and permeation properties of high calcium fly ash-based geopolymer containing recycled brick powder. J. Build. Eng. 2020, 32, 101655. [Google Scholar] [CrossRef]
  25. Ling, Y.; Wang, K.; Wang, X.; Hua, S. Effects of mix design parameters on heat of geopolymerization, set time, and compressive strength of high calcium fly ash geopolymer. Constr. Build. Mater. 2019, 228, 116763. [Google Scholar] [CrossRef]
  26. Zhang, J.; Feng, Q. The making of Class C fly ash as high-strength precast construction material through geopolymerization. Min. Metall. Explor. 2020, 37, 1603–1616. [Google Scholar] [CrossRef]
  27. Abdullah, M.M.A.B.; Kamarudin, H.; Bnhussain, M.; Khairul Nizar, I.; Rafiza, A.R.; Zarina, Y. The relationship of NaOH molarity, Na2SiO3/NaOH ratio, fly ash/alkaline activator ratio, and curing temperature to the strength of fly ash-based Geopolymer. In Advanced Materials Research; Trans Tech Publications Ltd.: Geneva, Switzerland, 2011. [Google Scholar]
  28. Palomo, A.; Grutzeck, M.; Blanco, M. Alkali-activated fly ashes: A cement for the future. Cem. Concr. Res. 1999, 29, 1323–1329. [Google Scholar] [CrossRef]
  29. Swanepoel, J.; Strydom, C. Utilisation of fly ash in a geopolymeric material. Appl. Geochem. 2002, 17, 1143–1148. [Google Scholar] [CrossRef]
  30. Sathonsaowaphak, A.; Chindaprasirt, P.; Pimraksa, K. Workability and strength of lignite bottom ash geopolymer mortar. J. Hazard. Mater. 2009, 168, 44–50. [Google Scholar] [CrossRef]
  31. Ogbonna, C.; Mbadike, E.M.; Alaneme, G.U. Effects of Cassava-Peel-Ash on Mechanical Properties of Concrete. Umudike J. Eng. Technol. (UJET) 2020, 6, 61–75. [Google Scholar]
  32. Kuun Reddy, S.R.; Bala Murugan, S. Experimental and microstructural assessment of ternary blended geopolymer concrete with different Na2SiO3-to-NaOH volume ratios. Innov. Infrastruct. Solut. 2020, 5, 33. [Google Scholar] [CrossRef]
  33. Mansour, M.A.; Ismail, M.H.B.; Imran Latif, Q.B.a.; Alshalif, A.F.; Milad, A.; Bargi, W.A.A. A Systematic Review of the Concrete Durability Incorporating Recycled Glass. Sustainability 2023, 15, 3568. [Google Scholar] [CrossRef]
  34. Hardjito, D.; Rangan, B.V. Development and Properties of Low Calcium Fly Ash Based Geopolymer Concrete; Research Report GC 1; Curtin University of Technology: Perth, Australia, 2005. [Google Scholar]
  35. Winnefeld, F.; Leemann, A.; Lucuk, M.; Svoboda, P.; Neuroth, M. Assessment of phase formation in alkali activated low and high calcium fly ashes in building materials. Construct. Build. Mater. 2010, 24, 1086–1093. [Google Scholar] [CrossRef]
  36. Rattanasak, U.; Chindaprasirt, P. Influence of NaOH solution on the synthesis of fly ash geopolymer. Miner. Eng. 2009, 22, 1073–1078. [Google Scholar] [CrossRef]
  37. Hardjito, D.; Wallah, S.E. On the development of fly ash-based geopolymer concrete. Mater. J. 2004, 101, 467–472. [Google Scholar]
  38. Alaneme, G.U.; Mbadike, E.M. Experimental investigation of Bambara nut shell ash in the production of concrete and mortar. Innov. Infrastruct. Solut. 2021, 6, 66. [Google Scholar] [CrossRef]
  39. Mishra, A.; Choudhary, D.; Jain, N.; Kumar, M.; Sharda, N.; Dutt, D. Effect of concentration of alkaline liquid and curing time on strength and water absorption of geopolymer concrete. ARPN J. Eng. Appl. Sci. 2008, 3, 14–18. [Google Scholar]
  40. Dzunuzovic, N.; Komljenovic, M.; Nikolic, V.; Ivanovic, T. External sulfate attack on alkali-activated fly ash-blast furnace slag composite. Construct. Build. Mater. 2017, 157, 737–747. [Google Scholar] [CrossRef]
  41. Nuaklong, P.; Jongvivatsakul, P.; Pothisiri, T.; Sata, V.; Chindaprasirt, P. Influence of rice husk ash on mechanical properties and fire resistance of recycled aggregate high-calcium fly ash geopolymer concrete. J. Clean. Prod. 2020, 252, 119797. [Google Scholar] [CrossRef]
  42. Dineshkumar, M.; Umarani, C. Effect of Alkali Activator on the Standard Consistency and Setting Times of Fly Ash and GGBS-Based Sustainable Geopolymer Pastes. Adv. Civ. Eng. 2020, 2020, 2593207. [Google Scholar] [CrossRef]
  43. Ewa, D.E.; Ukpata, J.O.; Otu, O.N.; Memon, Z.A.; Alaneme, G.U.; Milad, A. Scheffe’s Simplex Optimization of Flexural Strength of Quarry Dust and Sawdust Ash Pervious Concrete for Sustainable Pavement Construction. Materials 2023, 16, 598. [Google Scholar] [CrossRef]
  44. Wardhono, A.; Gunasekara, C.; Law, D.W.; Setunge, S. Comparison of long term performance between alkali activated slag and fly ash geopolymer concretes. Constr. Build. Mater. 2017, 143, 272–279. [Google Scholar] [CrossRef]
  45. Ramujee, K.; PothaRaju, M. Mechanical properties of geopolymer concrete composites. Mater. Today Proc. 2017, 4, 2937–2945. [Google Scholar] [CrossRef]
  46. Wallah, S.E. Creep behaviour of fly ash-based geopolymer concrete. Civ. Eng. Dimens. 2010, 12, 73–78. [Google Scholar]
  47. Xie, T.; Ozbakkaloglu, T. Behavior of low-calcium fly and bottom ash-based geopolymer concrete cured at ambient temperature. Ceram. Int. 2015, 41, 5945–5958. [Google Scholar] [CrossRef]
  48. Jiang, X.; Zhang, Y.; Xiao, R.; Polaczyk, P.; Zhang, M.; Hu, W.; Bai, Y.; Huang, B. A comparative study on geopolymers synthesized by different classes of fly ash after exposure to elevated temperatures. J. Clean. Prod. 2020, 270, 122500. [Google Scholar] [CrossRef]
  49. Rahmadina, A.; Ekaputri, J.J. Mechanical properties of geopolymer concrete exposed to combustion. In Green Infrastructure for Future World, Proceedings of the 6th International Conference of Euro Asia Civil Engineering Forum 2017, Seoul, Republic of Korea, 22–25 August 2017; Park, J.-W., Ayli, H., Hardjasaputra, H., Thayaalan, P., Eds.; EDP Sciences: Seoul, Republic of Korea, 2017; Volume 138, pp. 1–10. [Google Scholar]
  50. Payakaniti, P.; Chuewangkam, N.; Yensano, R.; Pinitsoontorn, S.; Chindaprasirt, P. Changes in compressive strength, microstructure and magnetic properties of a high-calcium fly ash geopolymer subjected to high temperatures. Constr. Build. Mater. 2020, 265, 120650. [Google Scholar] [CrossRef]
  51. Panda, B.; Paul, S.C.; Hui, L.J.; Tay YW, D.; Tan, M.J. Additive manufacture of geopolymer for sustainable built environment. J. Clean. Prod. 2018, 167, 281–288. [Google Scholar] [CrossRef]
  52. Yip, C.K.; Lukey, G.C.; Van Deventer, J.S.J. The coexistence of geopolymeric gel and calcium silicate hydrate at the early stage of alkaline activation. Cem. Concr. Res. 2005, 35, 1688–1697. [Google Scholar] [CrossRef]
  53. Kumar, A.S.; Muthukannan, M.; Arunkumar, K.; Sriram, M.; Vigneshwar, R.; Sikkandar, A.G. Development of eco-friendly geopolymer concrete by utilizing hazardous industrial waste materials. Mater. Today Proc. 2022, 66, 2215–2225. [Google Scholar] [CrossRef]
  54. Koushkbaghi, M.; Alipour, P.; Tahmouresi, B.; Mohseni, E.; Saradar, A.; Sarker, P.K. Influence of different monomer ratios and recycled concrete aggregate on mechanical properties and durability of geopolymer concretes. Constr. Build. Mater. 2019, 205, 519–528. [Google Scholar] [CrossRef]
  55. Wang, Q.; Ding, Z.; Da, J.; KRan Sui, Z. Factors influencing bonding strength of geopolymer-aggregate interfacial transition zone. Adv. Mater. Res. 2011, 224, 1–7. [Google Scholar]
  56. Bidwe, S.S.; Hamane, A.A. Effect of different molarities of Sodium Hydroxide solution on the Strength of Geopolymer concrete. Am. J. Eng. Res. 2015, 4, 139–145. Available online: https://www.ajer.org/papers/v4(03)/S04301390145.pdf (accessed on 12 December 2022).
  57. Kamseu, E.; Moungam, L.M.B.À.; Cannio, M.; Billong, N.; Chaysuwan, D.; Melo, U.C.; Leonelli, C. Substitution of sodium silicate with rice husk ash-NaOH solution in metakaolin based geopolymer cement concerning reduction in global warming. J. Clean. Prod. 2017, 142, 3050–3060. [Google Scholar] [CrossRef]
  58. Aliabdo, A.; Elmoaty, A.; Salem, H.A. Effect of water addition, plasticizer and alkaline solution constitution on fly ash based geopolymer concrete performance. Constr. Build. Mater. 2016, 121, 694–703. [Google Scholar] [CrossRef]
  59. Alaneme, G.U.; Mbadike, E.M.; Attah, I.C.; Udousoro, I.M. Mechanical behaviour optimization of saw dust ash and quarry dust concrete using adaptive neuro-fuzzy inference system. Innov. Infrastruct. Solut. 2022, 7, 122. [Google Scholar] [CrossRef]
  60. Ishwarya, G.; Singh, B.; Deshwal, S.; Bhattacharyya, S.K. Effect of sodium carbonate/sodium silicate activator on the rheology, geopolymerization and strength of fly ash/slag geopolymer pastes. Cem. Concr. Compos. 2019, 97, 226–238. [Google Scholar]
  61. Yang, G.; Zhao, J.; Wang, Y. Durability properties of sustainable alkali-activated cementitious materials as marine engineering material: A review. Mater. Today Sustain. 2022, 17, 100099. [Google Scholar] [CrossRef]
  62. Sanni, S.H.; Khadiranaikar, R.B. Performance of geopolymer concrete under severe environmental conditions. Int. J. Civ. Struct. Eng. 2012, 3, 396–407. [Google Scholar]
  63. Silva, F.G.S.; Fiuza Junior, R.A.; da Silva, J.S.; de Brito, C.M.S.R.; Andrade, H.M.C.; Gonçalves, J.P. Consumption of calcium hydroxide and formation of C–S–H in cement pastes. J. Therm. Anal. Calorim. 2014, 116, 287–293. [Google Scholar] [CrossRef]
  64. Rahman, S.S.; Khattak, M.J. Roller compacted geopolymer concrete using recycled concrete aggregate. Constr. Build. Mater. 2021, 283, 122624. [Google Scholar] [CrossRef]
  65. Quedou, P.G.; Wirquin, E.; Bokhoree, C. Sustainable concrete: Potency of sugarcane bagasse ash as a cementitious material in the construction industry. Case Stud. Constr. Mater. 2021, 14, e00545. [Google Scholar] [CrossRef]
  66. Onyelowe, K.C.; Alaneme, G.U.; Onyia, M.E.; Bui Van, D.; Diomonyeka, M.U.; Nnadi, E.; Ogbonna, C.; Odum, L.O.; Aju, D.E.; Abel, C.; et al. Comparative modeling of strength properties of hydrated-lime activated rice-husk-ash (HARHA) modified soft soil for pavement construction purposes by artificial neural network (ANN) and fuzzy logic (FL). J. Kejuruter. 2021, 33, 365–384. [Google Scholar] [CrossRef]
  67. Habert, G.; De Lacaillerie, J.D.E.; Roussel, N. An environmental evaluation of geopolymer based concrete production: Reviewing current research trends. J. Clean. Prod. 2011, 19, 1229–1238. [Google Scholar] [CrossRef]
  68. Luukkonen, T.; Abdollahnejad, Z.; Yliniemi, J.; Kinnunen, P.; Illikainen, M. One-part alkali-activated materials: A review. Cem. Concr. Res. 2017, 103, 21–34. [Google Scholar] [CrossRef]
  69. van Jaarsveld, J.G.; van Deventer, J.S.J.; Lukey, G.C. The effect of composition and temperature on the properties of fly ash- and kaolinite-based geopolymers. Chem. Eng. J. 2002, 89, 63–73. [Google Scholar] [CrossRef]
  70. Abdel-Gawwad, H.A.; Abo-El-Enein, S.A. A novel method to produce dry geopolymer cement powder. HBRC J. 2016, 12, 13–24. [Google Scholar] [CrossRef]
  71. Nazari, A.; Maghsoudpour, A.; Sanjayan, J.G. Characteristics of boroaluminosilicate geopolymers. Constr. Build. Mater. 2014, 70, 262–268. [Google Scholar] [CrossRef]
  72. Pacheco-torgal, F. Alkali-Activated Binders: A Review Part 1. Historical Background, Terminology. React. Mech. Hydration Prod. 2008, 22, 1305–1314. [Google Scholar] [CrossRef]
  73. Davidovits, J. Geopolymers and geopolymeric new materials. J. Therm. Anal. Calorim. 1989, 35, 429–441. [Google Scholar] [CrossRef]
  74. Davidovits, J. Geopolymer Cement a Review; Published in Geopolymer Science and Technics, Technical Paper, 21; Geopolymer Institute Library: Saint-Quentin, France, 2013. [Google Scholar]
  75. Duxson, P.; Lukey, G.C.; Separovic, F.; van Deventer, J.S.J. Effect of alkali cations on aluminum incorporation in geopolymeric gels. Ind. Eng. Chem. Res. 2005, 44, 832–839. [Google Scholar] [CrossRef]
  76. Ogbonna, C.; Mbadike, E.; Alaneme, G. Characterisation and use of Cassava peel ash in concrete production. Comput. Eng. Phys. Model. 2020, 3, 11–20. [Google Scholar] [CrossRef]
  77. Uwadiegwu, A.G.; Michael, M.E. Characterization of Bambara Nut Shell Ash (BNSA) in Concrete Production. J. Kejuruter. 2021, 33, 621–634. [Google Scholar] [CrossRef]
  78. Alaneme, G.U.; Mbadike, E.M. Optimization of strength development of bentonite and palm bunch ash concrete using fuzzy logic. Int. J. Sustain. Eng. 2021, 14, 835–851. [Google Scholar] [CrossRef]
  79. Athira, G.; Bahurudeen, A.; Vishnu, V.S. Availability and accessibility of sugarcane bagasse ash for its utilization in Indian cement plants: A GIS-based network analysis. Sugar Tech 2020, 22, 1038–1056. [Google Scholar] [CrossRef]
  80. Chindaprasirt, P.; Jaturapitakkul, C.; Chalee, W.; Rattanasak, U. Comparative study on the characteristics of fly ash and bottom ash geopolymers. Waste Manag. 2009, 29, 539–543. [Google Scholar] [CrossRef]
  81. Zhao, J.; Wang, K.; Wang, S.; Wang, Z.; Yang, Z.; Shumuye, E.D.; Gong, X. Effect of elevated temperature on mechanical properties of high-volume fly ash-based geopolymer concrete, mortar and paste cured at room temperature. Polymers 2021, 13, 1473. [Google Scholar] [CrossRef]
  82. Lim, C.-H.; Yoon, Y.-S.; Kim, J.-H. Genetic algorithm in mix proportioning of high-performance concrete. Cem. Concr. Res. 2004, 34, 409–420. [Google Scholar] [CrossRef]
  83. Nnaemeka, O.F.; Singh, N.B. Durability properties of geopolymer concrete made from fly ash in presence of kaolin. Mater. Today 2020, 29, 781–784. [Google Scholar] [CrossRef]
  84. Çevik, A.; Alzeebaree, R.; Humur, G.; Ni¸s, A.; Gül¸san, M.E. Effect of nano-silica on the chemical durability and mechanical performance of fly ash based geopolymer concrete. Ceramics 2018, 44, 12253–12264. [Google Scholar] [CrossRef]
  85. Charkhtab Moghaddam, S.; Madandoust, R.; Jamshidi, M.; Nikbin, I.M. Mechanical properties of fly ash-based geopolymer concrete with crumb rubber and steel fiber under ambient and sulfuric acid conditions. Constr. Build. Mater. 2021, 281, 122571. [Google Scholar] [CrossRef]
  86. Al-Qutaifi, S.; Nazari, A.; Bagheri, A. Mechanical properties of layered geopolymer structures applicable in concrete 3D-printing. Constr. Build. Mater. 2018, 176, 690–699. [Google Scholar] [CrossRef]
  87. Mahmoodi, O.; Siad, H.; Lachemi, M.; Dadsetan, S.; Sahmaran, M. Development of ceramic tile waste geopolymer binders based on pre-targeted chemical ratios and ambient curing Construct. Build. Mater. 2020, 258, 120297. [Google Scholar] [CrossRef]
  88. Paiva, H.; Yliniemi, J.; Illikainen, M.; Rocha, F.; Ferreira, V.M. Mine Tailings Geopolymers as a Waste Management Solution for A More Sustainable Habitat. Sustainability 2019, 11, 995. [Google Scholar] [CrossRef]
  89. Davidovits, J. Geopolymer Chemistry and Applications, 3rd ed.; France Geopolymer Institute: Saint-Quentin, France, 2011. [Google Scholar]
  90. Hanjitsuwan, S.; Hunpratub, S.; Thongbai, P.; Maensiri, S.; Sata, V.; Chindaprasirt, P. Effects of NaOH concentrations on physical and electrical properties of high calcium fly ash geopolymer paste. Cem. Concr. Compos. 2014, 45, 9–14. [Google Scholar] [CrossRef]
  91. Chimmaobi, O.; Mbadike, E.M.; Alaneme, G.U. Experimental Investigation of Cassava Peel Ash in the Production of Concrete and Mortar. Umudike J. Eng. Technol. 2020, 6, 10–21. [Google Scholar] [CrossRef]
  92. Van Jaarsveld, J.G.S.; van Deventer, J.S.J. Effect of the alkali metal activator on the properties of fly ash-based geopolymer. Ind. Eng. Chem. Res. 1999, 38, 3932–3941. [Google Scholar] [CrossRef]
  93. Xu, Q.; Ji, T.; Gao, S.-J.; Yang, Z.; Wu, N. Characteristics and Applications of Sugar Cane Bagasse Ash Waste in Cementitious Materials. Materials 2019, 12, 39. [Google Scholar] [CrossRef]
  94. Rajamma, R.; Labrincha, J.A.; Ferreira, V.M. Alkali-activation of biomass fly ash-metakaolin blends. Fuel 2012, 98, 265–271. [Google Scholar] [CrossRef]
  95. Cordeiro, G.C.; Filho, R.D.T.; Tavares, L.M.; Fairbairn, E.M.R. Experimental characterization of binary and ternary blended-cement concretes containing ultrafine residual rice husk and sugar cane bagasse ashes. Construct. Build. Mater. 2012, 29, 641–646. [Google Scholar] [CrossRef]
  96. Monita, O.; Kamaldi, A.; Sitompul, I.R.; Diyanto, I.; Saputra, E. Properties of geopolymer concrete from local fly ash (FA) and palm oil fuel ash (POFA). Mater. Sci. Forum. 2015, 803, 110–114. [Google Scholar]
  97. Amran, M.; Murali, G.; Fediuk, R.; Vatin, N.; Vasilev, Y.; Abdelgader, H. Palm Oil Fuel Ash-Based Eco-Efficient Concrete: A Critical Review of the Short-Term Properties. Materials 2021, 14, 332. [Google Scholar] [CrossRef]
  98. Sumrerng, R.; Chindaprasirt, P. Strength and Porosity of Bagasse Ash-based Geopolymer Mortar. J. Appl. Sci. 2014, 14, 586–591. [Google Scholar]
  99. Part, W.K.; Ramli, M.; Cheah, C.B. An overview on the influence of various factors on the properties of geopolymer concrete derived from industrial by-products. Constr. Build. Mater. 2015, 77, 370–395. [Google Scholar] [CrossRef]
  100. Siyal, A.A.; Azizli, K.A.; Man, Z.; Ullah, H. Effects of parameters on the setting time of fly ash based geopolymers using taguchi method. Procedia Eng. 2016, 148, 302–307. [Google Scholar] [CrossRef]
  101. Mehta, A.; Siddique, R. Sustainable geopolymer concrete using ground granulated blast furnace slag and rice husk ash: Strength and permeability properties. J. Clean. Prod. 2018, 205, 49–57. [Google Scholar] [CrossRef]
  102. Mehta, A.; Siddique, R. Sulfuric acid resistance of fly ash based geopolymer concrete. Constr. Build. Mater. 2017, 146, 136–143. [Google Scholar] [CrossRef]
  103. Hamada, H.M.; Jokhio, G.A.; Yahaya, F.M.; Humada, A.M.; Gul, Y. The present state of the use of palm oil fuel ash (POFA) in concrete. Construct. Build. Mater. 2018, 175, 26–40. [Google Scholar] [CrossRef]
  104. Sultana, M.S.; Rahman, A. Characterization of calcined sugarcane bagasse sugarcane waste ash for industrial use. In Proceedings of the International Conference on Mechanical, Industrial and Materials Engineering 2013 (ICMIME2013), Wuhan, China, 9–11 August 2013; pp. 508–513. [Google Scholar]
  105. Ríos-Parada, V.; Jimenez-Quero, V.G.; Valdez-Tamez, P.L.; Montes-García, P. Characterization and use of an untreated Mexican sugarcane bagasse ash as supplementary material for the preparation of ternary concretes. Construct. Build. Mater. 2017, 157, 83–95. [Google Scholar] [CrossRef]
  106. Satya, Y.S.D.; Saputra, E.; Olivia, M. Performance of blended fly ash (FA) and palm oil fuel ash (POFA) geopolymer mortar in acidic peat environment. Mater. Sci. Forum. 2017, 841, 83–89. [Google Scholar]
  107. Nadziri, N.; Ismail, I.; Hamdan, S. Binding gel characterization of alkaliactivated binders based on palm oil fuel ash (POFA) and fly ash. J. Sustain. Cem. Mater. 2018, 7, 1–14. [Google Scholar]
  108. Ranjbar, N.; Mehrali, M.; Alengaram, U.J.; Metselaar, H.S.C.; Jumaat, M.Z. Compressive strength and microstructural analysis of fly ash/palm oil fuel ash based geopolymer mortar under elevated temperatures. Construct. Build. Mater. 2014, 65, 114–121. [Google Scholar] [CrossRef]
  109. Attah, I.C.; Etim, R.K.; Alaneme, G.U.; Ekpo, D.U. Scheffe’s approach for single additive optimization in selected soils amelioration studies for cleaner environment and sustainable subgrade materials. Cleaner Materials 2022, 5, 100126. [Google Scholar] [CrossRef]
  110. Gregory, C. Ezeokpube, Isiguzo Edwin Ahaneku, George Uwadiegwu Alaneme, Imoh Christopher Attah, Roland Kufre Etim, Bamidele Charles Olaiya, and Iberedem Monday Udousoro. Assessment of Mechanical Properties of Soil-Lime-Crude Oil-Contaminated Soil Blend Using Regression Model for Sustainable Pavement Foundation Construction. Adv. Mater. Sci. Eng. 2022, 2022, 7207842. [Google Scholar]
  111. Bagheri, A.; Nazari, A.; Hajimohammadi, A.; Sanjayan, J.G.; Rajeev, P.; Nikzad, M.; Ngo, T.; Mendis, P. Microstructural study of environmentally friendly boroaluminosilicate geopolymers. J. Clean. Prod. 2018, 18, 805–812. [Google Scholar] [CrossRef]
  112. Zabihi, S.M.; Tavakoli, H.; Mohseni, E. Engineering and microstructural properties of fiber-reinforced rice husk-ash based geopolymer concrete. J. Mater. Civ. Eng. 2018, 30, 8. [Google Scholar] [CrossRef]
  113. Qu, Z.; Liu, Z.; Si, R.; Zhang, Y. Effect of Various Fly Ash and Ground Granulated Blast Furnace Slag Content on Concrete Properties: Experiments and Modelling. Materials 2022, 15, 3016. [Google Scholar] [CrossRef]
  114. Karim, M.R.; Zain, M.F.M.; Jamil, M.; Lai, F.C. Development of a zero-cement binder using slag, fly ash, and rice husk ash with chemical activator. Ann. Mater. Sci. Eng. 2015, 2015, 147065. [Google Scholar] [CrossRef]
  115. Basri, M.S.M.; Mustapha, F.; Mazlan, N.; Ishak, M.R. Optimization of Rice Husk Ash-Based Geopolymers Coating Composite for Enhancement in Flexural Properties and Microstructure Using Response Surface Methodology. Coatings 2020, 10, 165. [Google Scholar] [CrossRef]
  116. Ekinci, A.; Hanafi, M.; Aydin, E. Strength, Stiffness, and Microstructure of Wood-Ash Stabilized Marine Clay. Minerals 2020, 10, 796. [Google Scholar] [CrossRef]
  117. Trochez, J.J.; Mejia de Gutierrez, R.; Rivera, J.; Bernal, S.A. Synthesis of geopolymer from spent FCC: Effect of SiO2/Al2O3 and Na2O/SiO2 molar ratios. Mater. Construcción 2015, 65, e046. [Google Scholar]
  118. Bayuaji, R.; Yasin, A.K.; Susanto, T.E.; Darmawan, M.S. A Review in Geopolymer Binder with Dry Mixing Method (Geopolymer cement). AIP Conf. Proc. 2017, 1887, 020022. [Google Scholar]
  119. Camp, C.V.; Pezeshk, S.; Hansson, H. Flexural design of reinforced concrete frames using a genetic algorithm. J. Struct. Eng. 2003, 129, 105–115. [Google Scholar] [CrossRef]
  120. Topcu, I.B.; Sarıdemir, M. Prediction of compressive strength of concrete containing fly ash using artificial neural networks and fuzzy logic. Comput. Mater. Sci. 2008, 41, 305–311. [Google Scholar] [CrossRef]
  121. Gopinath, A.; Bahurudeen, A.; Vishnu, V.S. Quantification of geographical proximity of sugarcane bagasse ash sources to ready-mix concrete plants for sustainable waste management and recycling. Waste Manag. Res. 2020, 39, 2. [Google Scholar] [CrossRef]
  122. Cordeiro, G.C.; Kurtis, K.E. Effect of mechanical processing on sugar cane bagasse ash pozzolanicity. Cement Concr. Res. 2017, 97, 41–49. [Google Scholar] [CrossRef]
  123. Sisol, M.; Kudelas, D.; Marcin, M.; Holub, T.; Varga, P. Statistical Evaluation of Mechanical Properties of Slag Based AlkaliActivated Material. Sustainability 2019, 11, 5935. [Google Scholar] [CrossRef]
  124. Al Bakri, A.M.; Kamarudin, H.; Bnhussain, M.; Liyana, J.; Ruzaidi, C.M. Nano Geopolymer for Sustainable Concrete using Fly Ash Synthesized by High Energy Ball Milling. Appl. Mech. Mater. 2013, 314, 69–173. [Google Scholar]
  125. Zou, Y.; Zheng, C.; Alzahrani, A.M.; Ahmad, W.; Ahmad, A.; Mohamed, A.M.; Khallaf, R.; Elattar, S. Evaluation of Artificial Intelligence Methods to Estimate the Compressive Strength of Geopolymers. Gels 2022, 8, 271. [Google Scholar] [CrossRef]
Figure 1. Advantages of GP-cement usage for sustainable constructions.
Figure 1. Advantages of GP-cement usage for sustainable constructions.
Civileng 04 00025 g001
Figure 2. Structure of polysialates.
Figure 2. Structure of polysialates.
Civileng 04 00025 g002
Figure 3. Geo polymerization process of fly ash (FA).
Figure 3. Geo polymerization process of fly ash (FA).
Civileng 04 00025 g003
Figure 4. Dry mixing geo polymerization.
Figure 4. Dry mixing geo polymerization.
Civileng 04 00025 g004
Figure 5. Significant research materials published since 1995.
Figure 5. Significant research materials published since 1995.
Civileng 04 00025 g005
Figure 6. Overview of article search and screening procedure using PRISMA.
Figure 6. Overview of article search and screening procedure using PRISMA.
Civileng 04 00025 g006
Figure 7. Composition of mineralogical oxides in residual ashes.
Figure 7. Composition of mineralogical oxides in residual ashes.
Civileng 04 00025 g007
Figure 8. Specific gravity of residual ashes.
Figure 8. Specific gravity of residual ashes.
Civileng 04 00025 g008
Figure 9. Residual ashes’ SEM micrographs. (a) FA [113], (b) GGBFS [113], (c) SBA [93], (d) RH–SiO2, (e) POA [97] and (f) SA [116].
Figure 9. Residual ashes’ SEM micrographs. (a) FA [113], (b) GGBFS [113], (c) SBA [93], (d) RH–SiO2, (e) POA [97] and (f) SA [116].
Civileng 04 00025 g009
Figure 10. Impacts of AA on compressive strength of AAB in 28 days.
Figure 10. Impacts of AA on compressive strength of AAB in 28 days.
Civileng 04 00025 g010
Table 1. The chemical composition of FA.
Table 1. The chemical composition of FA.
MgOSO3TiO2K2OCaOSiO2Al2O3Fe2O3Na2O(LOI)FA ClassReferences
0.460.12.020.950.9360.4231.063.34- F[42]
0.980.88-2.463.2349.92414.4-3.5C[43]
0.970.05-11.2957.931.15.070.090.8F[44]
0.760.31-0.230.3165.626.55.490.360.41F[45]
0.60.2-0.90.270.323.11.40.42F[46]
10.4-10.562.328.12.10.52.5F[47]
Table 2. Relevant studies on the application of FA in alkaline activation materials.
Table 2. Relevant studies on the application of FA in alkaline activation materials.
AuthorsGeo Polymerization MaterialsGP Chemical CompositionResults
Jiang et al. [48]Na2SiO3 and NaOH sols alkaline activators with Class F FA as source material.NaOH of 8 M, sodium oxide of 8.3%, silica of 28.7%, and 63% water.Improved thermal–mechanical property of produced GP.
Rahmadina and Ekaputri [49]Na2SiO3 and NaOH sols were the activators, while Class F FA was the source material.NaOH of 8 M, sodium oxide of 18.5%, silica of 36.4%, and 45.1% water.GP compressive strength increased up to 27%, and porosity has an effect on its mechanical property.
Payakaniti et al. [50]NaOH and Na2SiO3 sols alkaline activators with Class C calcium lignite FA as source material.NaOH of 10 M, sodium silicate of 12.53% by sodium oxide weight, silica of 30.24%, and 57.23% water.The mechanical behavior of GP paste improved due to the geopolymerization reaction.
Disclaimer/Publisher’s Note: The statements, opinions and data contained in all publications are solely those of the individual author(s) and contributor(s) and not of MDPI and/or the editor(s). MDPI and/or the editor(s) disclaim responsibility for any injury to people or property resulting from any ideas, methods, instructions or products referred to in the content.

Share and Cite

MDPI and ACS Style

Alawi, A.; Milad, A.; Barbieri, D.; Alosta, M.; Alaneme, G.U.; Imran Latif, Q.B.a. Eco-Friendly Geopolymer Composites Prepared from Agro-Industrial Wastes: A State-of-the-Art Review. CivilEng 2023, 4, 433-453. https://doi.org/10.3390/civileng4020025

AMA Style

Alawi A, Milad A, Barbieri D, Alosta M, Alaneme GU, Imran Latif QBa. Eco-Friendly Geopolymer Composites Prepared from Agro-Industrial Wastes: A State-of-the-Art Review. CivilEng. 2023; 4(2):433-453. https://doi.org/10.3390/civileng4020025

Chicago/Turabian Style

Alawi, Asiya, Abdalrhman Milad, Diego Barbieri, Moad Alosta, George Uwadiegwu Alaneme, and Qadir Bux alias Imran Latif. 2023. "Eco-Friendly Geopolymer Composites Prepared from Agro-Industrial Wastes: A State-of-the-Art Review" CivilEng 4, no. 2: 433-453. https://doi.org/10.3390/civileng4020025

APA Style

Alawi, A., Milad, A., Barbieri, D., Alosta, M., Alaneme, G. U., & Imran Latif, Q. B. a. (2023). Eco-Friendly Geopolymer Composites Prepared from Agro-Industrial Wastes: A State-of-the-Art Review. CivilEng, 4(2), 433-453. https://doi.org/10.3390/civileng4020025

Article Metrics

Back to TopTop