Development of a PLC/IoT Control System with Real-Time Concentration Monitoring for the Osmotic Dehydration of Fruits
Abstract
1. Introduction
2. Materials and Methods
2.1. Equipment Design
2.1.1. Process Variables
2.1.2. Selection of Elements for the Automation of the Equipment
- Agitation control: For the recirculation control in the process tank of the designed equipment, a water pump connected by means of stainless-steel piping was used, which guarantees a constant and corrosion-resistant flow during the process. This system allows maintaining a homogeneous circulation of the liquid, favouring the transfer of mass and temperature [27]. On the other hand, in the syrup preparation tank, an ON-OFF type control was implemented for the agitation system, using blades that facilitate the efficient mixing of the components. This simple and effective method ensures the uniformity of the syrup prior to its use in the process, thus optimising the initial conditions of the system.
- IoT sensor selection: For this research, a commercial IoT sensor (Tilt Hydrometer) was selected (Figure 1), which is an affordable alternative and allows for the remote and real-time measurement of the concentration of sugars and the temperature of liquids during fermentation processes, mainly in the production of beer and wine. Although the Tilt Hydrometer is a commercially available device and not one that was custom-designed for this research, it was selected for its compatibility with IoT technologies, which allows it to be easily integrated into our monitoring system. This sensor has a specific gravity measurement range of 1.190 to 1.310 and a temperature range of −17.8 °C to 60 °C (0 °F to 140 °F). The specific gravity is accurate ± 0.002° within the Tilt’s range of 1.190–1.310. The thermometer is accurate ± 1 degree F (± 0.5 degree C). The operation of the Tilt Hydrometer is based on the principle of buoyancy and angular displacement: the device floats freely in the liquid, and its tilt angle varies according to the specific gravity of the solution. An internal inertial measurement unit (IMU) detects this angle and transmits the data via Bluetooth to a microcontroller or mobile device, where it is converted into specific gravity (SG), °Plato, or °Brix using a calibration curve. In parallel, the integrated temperature sensor allows automatic temperature compensation of the readings, ensuring accurate and stable real-time measurements [44,45]. It should be noted that the TILT hydrometer has been used for real-time monitoring of syrup concentration during the TQ1 process. This was crucial for verifying that the concentration remained stable or for detecting and quantifying its dilution as the fruit lost water. The integration of this commercial sensor demonstrates how IoT technology can be adapted to existing processes, providing an effective and cost-efficient solution for real-time data collection in the field of fermentation. By using this commercially available device, the research benefits from a readily available and reliable tool, capable of providing continuous and precise measurements, without the need to develop a custom sensor for the process [46].
2.1.3. Control System
2.2. Validation of Sensor Measurements
2.3. Evaluation of Equipment Performance
2.3.1. Sample Preparation
2.3.2. Osmotic Dehydration
2.4. Hot Air Drying
Evaluation of Drying Kinetics
2.5. Experimental Design for Performance Evaluation
3. Results and Discussions
3.1. Design of the Osmodehydrator
3.1.1. Automated Control System (PLC and HMI)
Control System Diagram
HMI Functionalities
3.1.2. Sensor Validation
3.2. System Performance
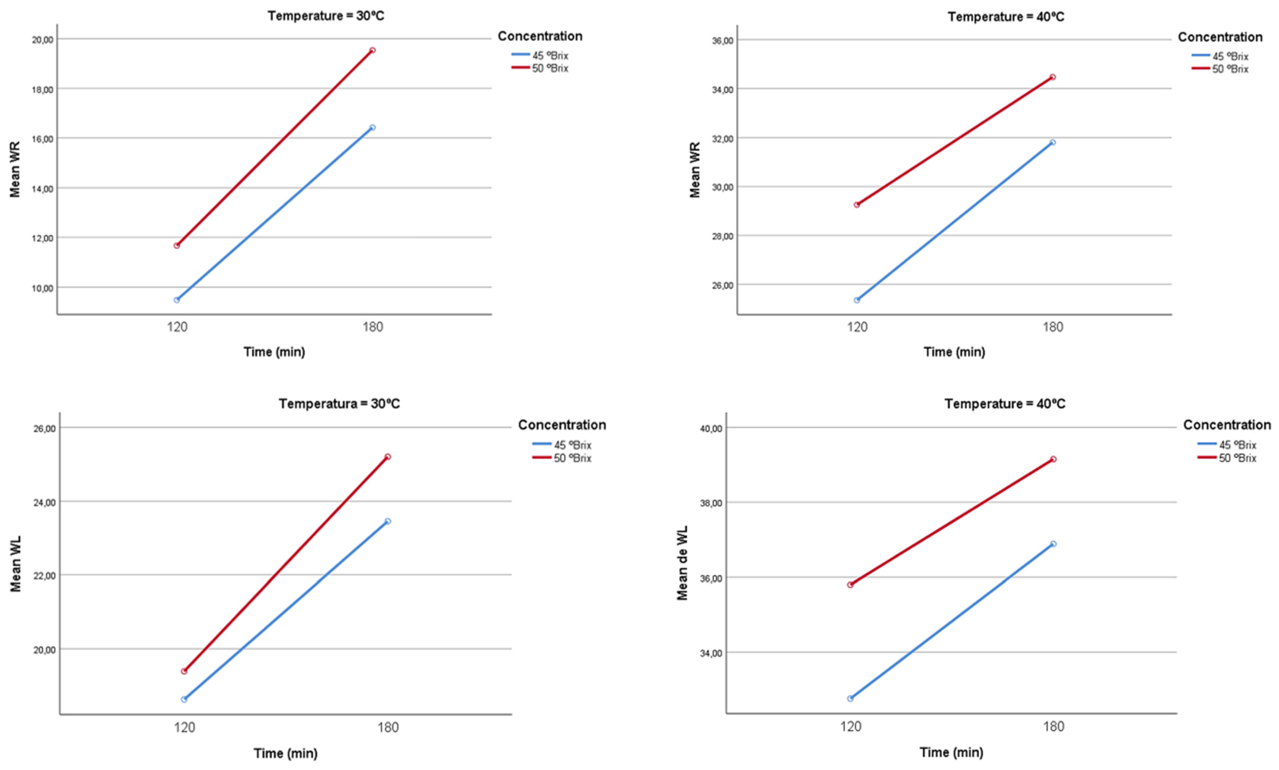
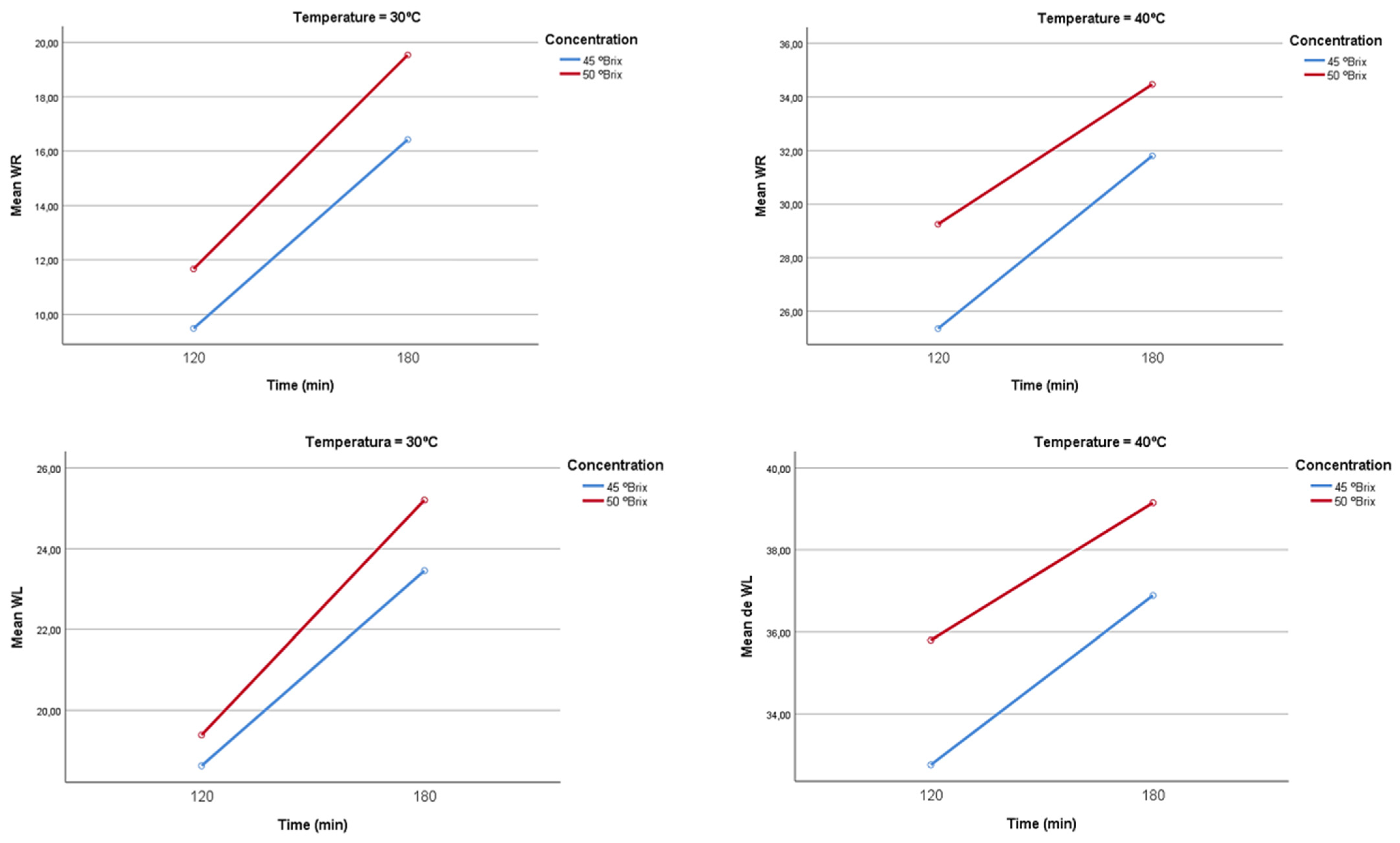
3.2.1. Mass Transfer Evaluation
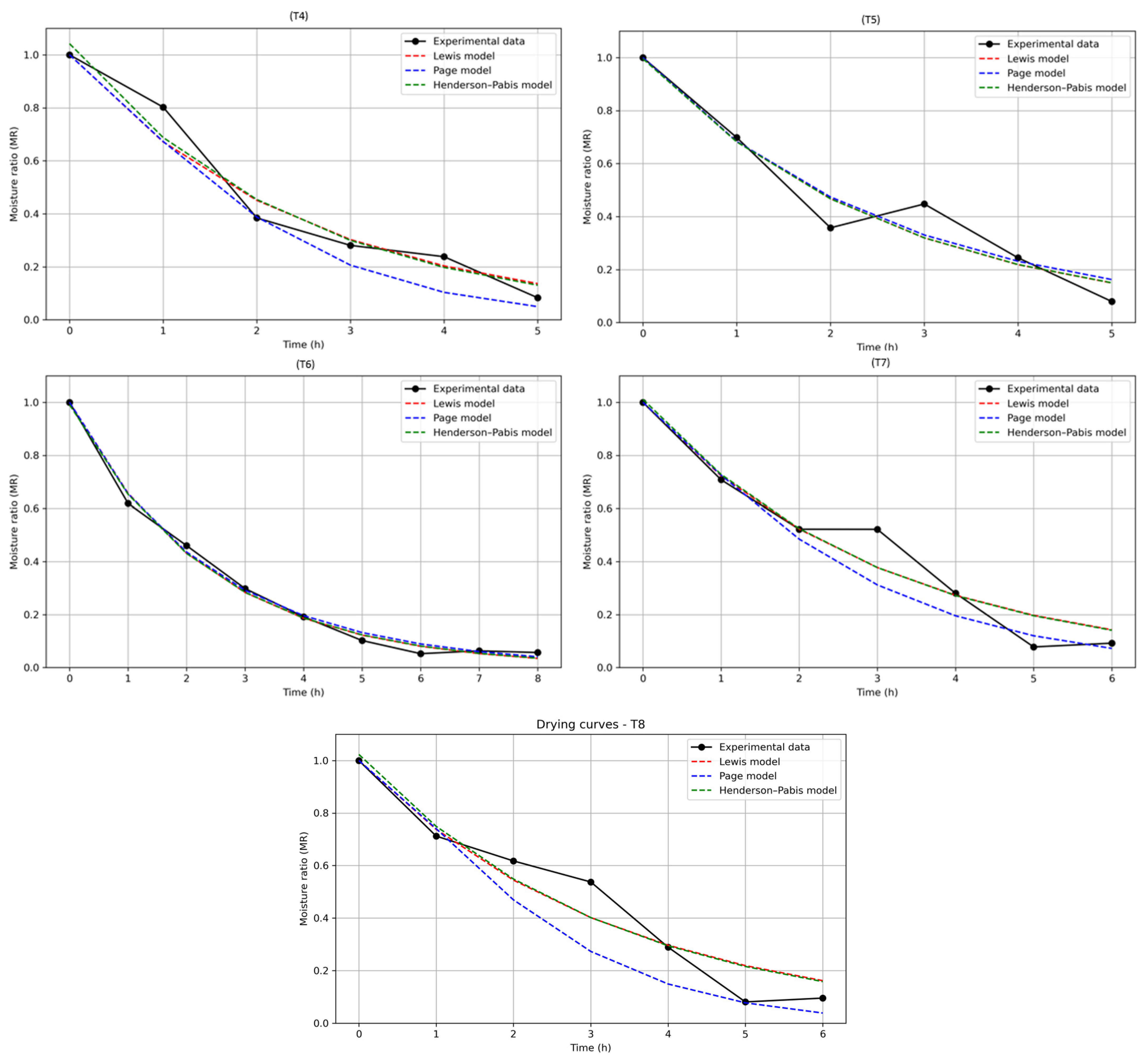
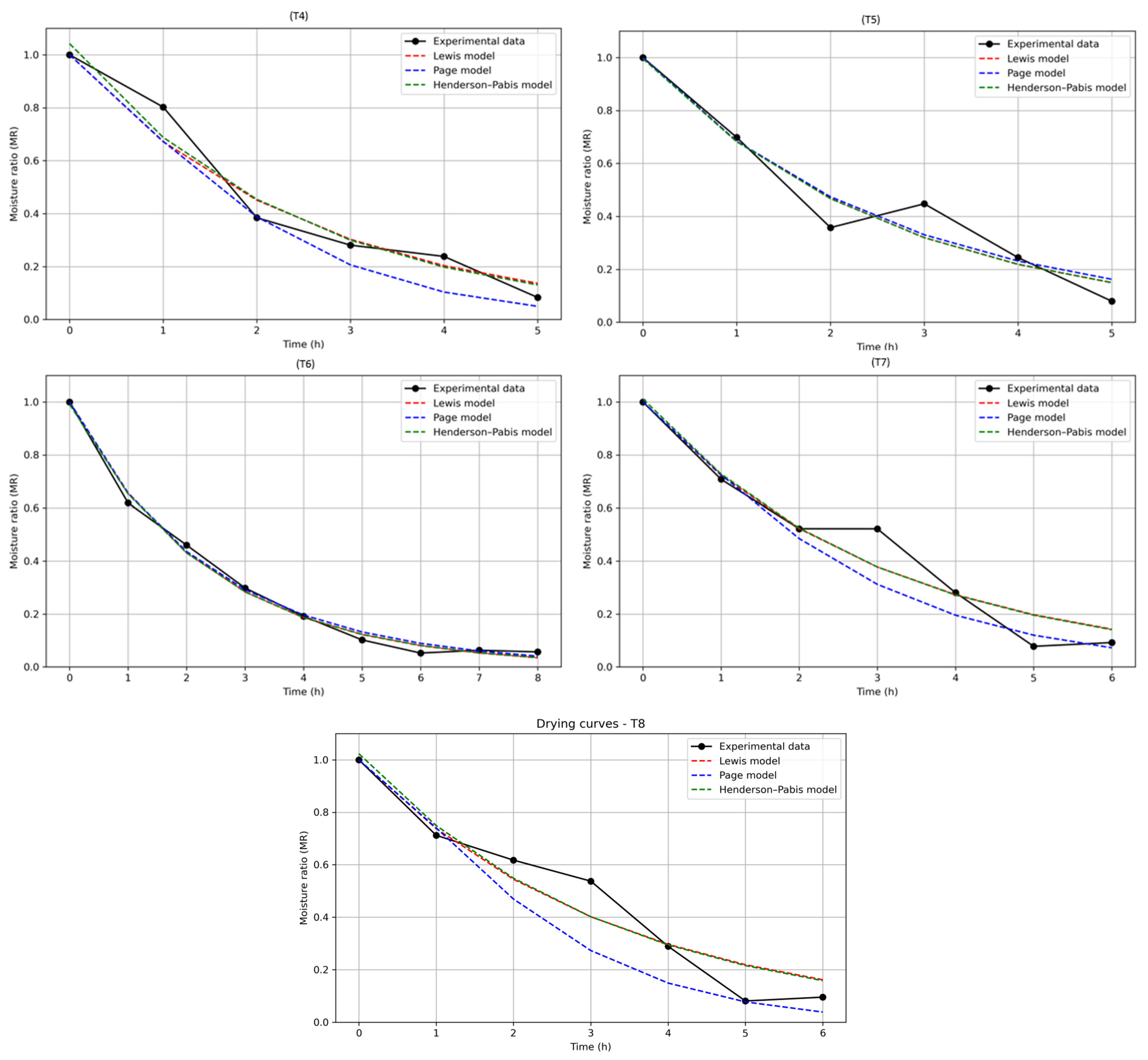
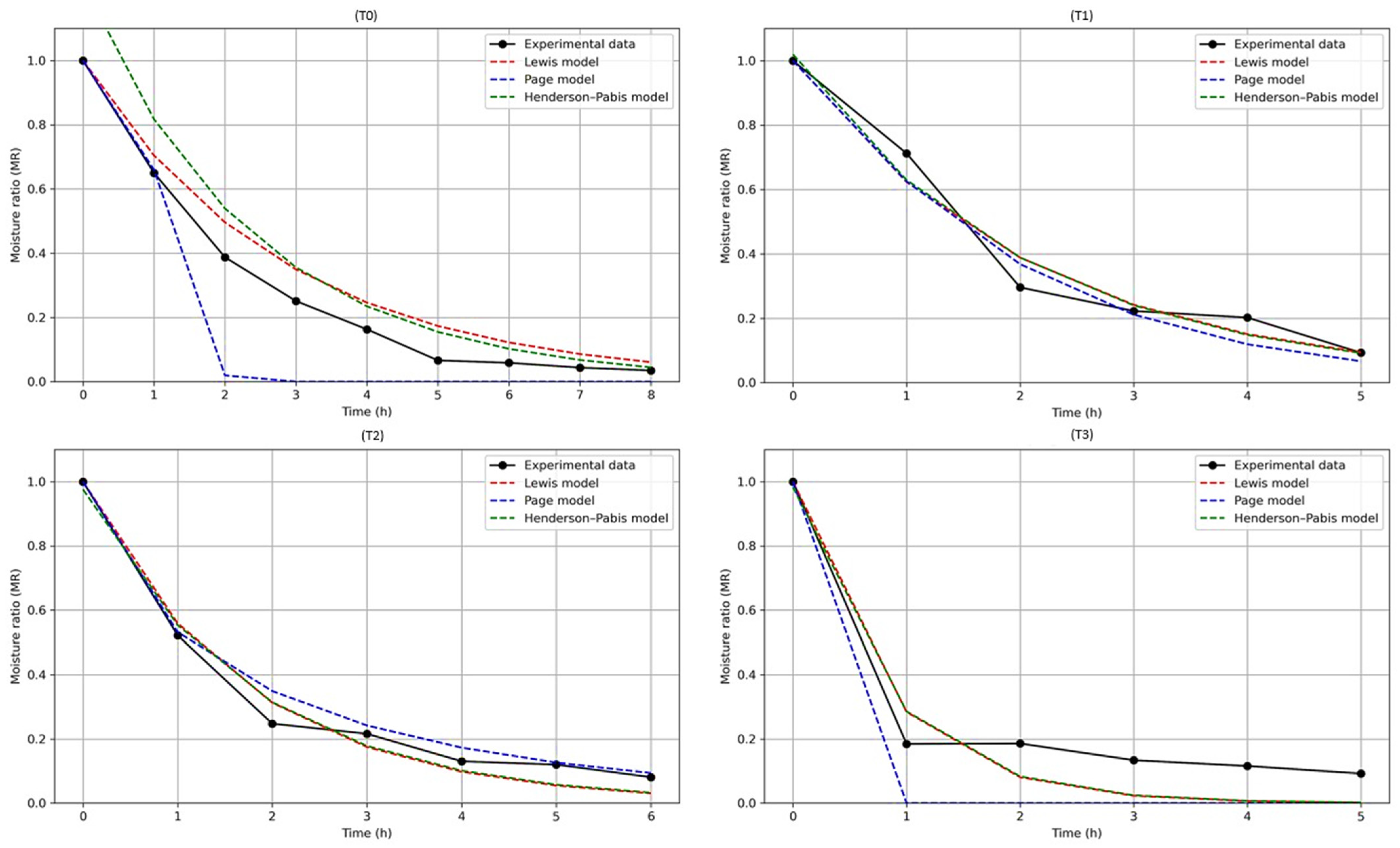
3.2.2. Evaluation of Drying Kinetics After Osmotic Dehydration
4. Conclusions
Author Contributions
Funding
Data Availability Statement
Conflicts of Interest
Abbreviations
| OD | Osmotic Dehydration |
| WR | Weight reduction |
| WL | Water loss |
| SG | Solid gain |
| PLC | Programmable Logic Controller |
| HMI | Human–Machine Interface |
| IoT | Internet of things |
| PID | Proportional–Integral–Derivative |
References
- De Corato, U. Improving the Shelf-Life and Quality of Fresh and Minimally-Processed Fruits and Vegetables for a Modern Food Industry: A Comprehensive Critical Review from the Traditional Technologies into the Most Promising Advancements. Crit. Rev. Food Sci. Nutr. 2020, 60, 940–975. [Google Scholar] [CrossRef]
- Robles-Sánchez, R.M.; Rojas-Graü, M.A.; Odriozola-Serrano, I.; González-Aguilar, G.A.; Martín-Belloso, O. Effect of Minimal Processing on Bioactive Compounds and Antioxidant Activity of Fresh-Cut “Kent” Mango (Mangifera indica L.). Postharvest Biol. Technol. 2009, 51, 384–390. [Google Scholar] [CrossRef]
- Abrahão, F.R.; Corrêa, J.L.G. Osmotic Dehydration: More than Water Loss and Solid Gain. Crit. Rev. Food Sci. Nutr. 2023, 63, 2970–2989. [Google Scholar] [CrossRef] [PubMed]
- Asghari, A.; Zongo, P.A.; Osse, E.F.; Aghajanzadeh, S.; Raghavan, V.; Khalloufi, S. Review of Osmotic Dehydration: Promising Technologies for Enhancing Products’ Attributes, Opportunities, and Challenges for the Food Industries. Compr. Rev. Food Sci. Food Saf. 2024, 23, e13346. [Google Scholar] [CrossRef]
- Rahman, S.; Nassef, A.; Al-Dhaifallah, M.; Abdelkareem, M.; Rezk, H. The Effect of a New Coating on the Drying Performance of Fruit and Vegetables Products: Experimental Investigation and Artificial Neural Network Modeling. Foods 2020, 9, 308. [Google Scholar] [CrossRef]
- Mari, A.; Parisouli, D.N.; Krokida, M. Exploring Osmotic Dehydration for Food Preservation: Methods, Modelling, and Modern Applications. Foods 2024, 13, 2783. [Google Scholar] [CrossRef]
- Ma, Y.; Yi, J.; Bi, J.; Wu, X.; Li, X.; Li, J.; Zhao, Y. Understanding of Osmotic Dehydration on Mass Transfer and Physical Properties of Freeze-Dried Apple Slices: A Comparative Study of Five Saccharides Osmotic Agents. J. Food Process. Preserv. 2022, 46, e16328. [Google Scholar] [CrossRef]
- Kowalska, H.; Trusinska, M.; Rybak, K.; Wiktor, A.; Witrowa-Rajchert, D.; Nowacka, M. Shaping the Properties of Osmo-Dehydrated Strawberries in Fruit Juice Concentrates. Appl. Sci. 2023, 13, 2728. [Google Scholar] [CrossRef]
- Salehi, F. Recent Advances in the Ultrasound-Assisted Osmotic Dehydration of Agricultural Products: A Review. Food Biosci. 2023, 51, 102307. [Google Scholar] [CrossRef]
- Nowacka, M.; Dadan, M.; Tylewicz, U. Current Applications of Ultrasound in Fruit and Vegetables Osmotic Dehydration Processes. Appl. Sci. 2021, 11, 1269. [Google Scholar] [CrossRef]
- Kaur, K.; Kalsi, B.S.; Zalpouri, R.; Potdar, P.P.; Sharma, S.R.; Alam, M.S.; Pandiselvam, R. Advancements in Thermal and Nonthermal Process-Assisted Osmotic Dehydration: A Comprehensive Review on Current Technologies for Enhancing the Quality of Foods. Qual. Assur. Saf. Crop. Foods 2025, 17, 319–340. [Google Scholar] [CrossRef]
- Shi, J.; Le Maguer, M. Osmotic Dehydration of Foods: Mass Transfer and Modeling Aspects. Food Rev. Int. 2002, 18, 305–335. [Google Scholar] [CrossRef]
- Lazarides, H.N.; Katsanidis, E.; Nickolaidis, A. Mass Transfer Kinetics during Osmotic Preconcentration Aiming at Minimal Solid Uptake. J. Food Eng. 1995, 25, 151–166. [Google Scholar] [CrossRef]
- Chiralt, A.; Talens, P. Physical and Chemical Changes Induced by Osmotic Dehydration in Plant Tissues. J. Food Eng. 2005, 67, 167–177. [Google Scholar] [CrossRef]
- Rahman, S. Handbook of Food Preservation, 2nd ed.; CRC Press: Boca Raton, FL, USA, 2007. [Google Scholar]
- Alshehhi, M.; Wu, G.; Kangsadan, T.; Chew, K.W.; Show, P.L. Ultrasound-Assisted Food Processing: A Mini Review of Mechanisms, Applications, and Challenges. In E3S Web of Conferences, Proceedings of the 2023 Research, Invention, and Innovation Congress, Online, 24–25 August 2023; EDP Sciences: Les Ulis, France, 2023; Volume 428, p. 02011. [Google Scholar] [CrossRef]
- Pobiega, K.; Matys, A.; Trusinska, M.; Rybak, K.; Witrowa-Rajchert, D.; Nowacka, M. The Effect of Ultrasound and Pulsed Electric Field on the Osmotic Dehydration Process of Strawberries. Appl. Sci. 2023, 13, 12335. [Google Scholar] [CrossRef]
- Ahmad, F.; Zaidi, S. The Influence of Ultrasound-Assisted Osmotic Dehydration as a Pre-Treatment Method on the Quality of Vacuum Dried Pineapple. Food Humanit. 2023, 1, 137–146. [Google Scholar] [CrossRef]
- Sharma, M.; Dash, K.K. Effect of Ultrasonic Vacuum Pretreatment on Mass Transfer Kinetics during Osmotic Dehydration of Black Jamun Fruit. Ultrason. Sonochem. 2019, 58, 104693. [Google Scholar] [CrossRef]
- Huang, Y.; Zhang, M.; Ju, R.; Law, C.L.; Fan, D.; Semenov, G.V.; Luo, Z. Effect of Ultrasound Assisted Vacuum Osmotic Dehydration on the Mass Transfer Kinetics and Qualities of Orange Slices. Dry. Technol. 2023, 41, 1636–1650. [Google Scholar] [CrossRef]
- Zongo, P.A.; Khalloufi, S.; Mikhaylin, S.; Ratti, C. Pulsed Electric Field and Freeze-Thawing Pretreatments for Sugar Uptake Modulation during Osmotic Dehydration of Mango. Foods 2022, 11, 2551. [Google Scholar] [CrossRef]
- Wiktor, A.; Chadzynska, M.; Rybak, K.; Dadan, M.; Witrowa-Rajchert, D.; Nowacka, M. The Influence of Polyols on the Process Kinetics and Bioactive Substance Content in Osmotic Dehydrated Organic Strawberries. Molecules 2022, 27, 1376. [Google Scholar] [CrossRef]
- Sethi, K.; Kaur, M. Effect of Osmotic Dehydration on Physicochemical Properties of Pineapple Using Honey, Sucrose and Honey-Sucrose Solutions. Int. J. Eng. Adv. Technol. 2019, 9, 6257–6262. [Google Scholar] [CrossRef]
- Mari, A.; Stergiopoulos, C.; Vasileiou, C.; Krokida, M. A Comprehensive Study on Osmotic Dehydration and Edible Coatings with Bioactive Compounds for Improving the Storage Stability of Fresh Berries. Processes 2025, 13, 2006. [Google Scholar] [CrossRef]
- Kowalska, H.; Marzec, A.; Domian, E.; Kowalska, J.; Ciurzyńska, A.; Galus, S. Edible Coatings as Osmotic Dehydration Pretreatment in Nutrient-Enhanced Fruit or Vegetable Snacks Development: A Review. Compr. Rev. Food Sci. Food Saf. 2021, 20, 5641–5674. [Google Scholar] [CrossRef]
- Dermesonlouoglou, E.; Pittas, L.; Taoukis, P.; Giannakourou, M. Osmodehydrofreezing of Tomatoes: Optimization of Osmotic Dehydration and Shelf Life Modeling. Foods 2024, 13, 2689. [Google Scholar] [CrossRef]
- Flores-Mendoza, L.C.; Calle-Berru, E.M.; Sanchez-Chero, M. IoT Implemented Osmotic Dehydrator. Curr. Res. Nutr. Food Sci. 2023, 11, 1204–1217. [Google Scholar] [CrossRef]
- Caldwell, D.G.; Davis, S.; Moreno Masey, R.J.; Gray, J.O. Automation in Food Processing. In Springer Handbook of Automation; Springer: Berlin/Heidelberg, Germany, 2009; pp. 1041–1059. [Google Scholar] [CrossRef]
- Rehg, J. Plcs in the New Automation Laboratory. In Proceedings of the 2002 Annual Conference, Montreal, QC, Canada, 16–19 June 2002; pp. 7.920.1–7.920.6. [Google Scholar] [CrossRef]
- Alimadani, R.; Adedeji, A.A.; Narimani, M. A Review of IoT Applications in Food Processing and Related Fields. J. Food Process. Preserv. 2025, 2025, 3064441. [Google Scholar] [CrossRef]
- Liberata Ullo, S.; Sinha, G.R.; Bacco, M.; Gotta, A.; Cassarà, P.; Agbinya, J.I. Advances in IoT and Smart Sensors for Remote Sensing and Agriculture Applications. Remote Sens. 2021, 13, 2585. [Google Scholar] [CrossRef]
- Caldwell, D.G. Automation in Food Manufacturing and Processing. In Springer Handbook of Automation; Springer: Cham, Switzerland, 2023; Volume Part F674, pp. 949–971. [Google Scholar] [CrossRef]
- Rahman, S.M.A.; Rezk, H.; Shaikh, B.; Abdelkareem, M.A.; Olabi, A.G.; Nassef, A.M. Prediction of Mass Transfer during Osmotically Treated Zucchini Fruit Product Using Advanced Fuzzy Inference System. Neural Comput. Appl. 2023, 35, 3125–3141. [Google Scholar] [CrossRef]
- Kumar Dash, K.; Sundarsingh, A.; BhagyaRaj, G.V.S.; Kumar Pandey, V.; Kovács, B.; Mukarram, S.A. Modelling of Ultrasonic Assisted Osmotic Dehydration of Cape Gooseberry Using Adaptive Neuro-Fuzzy Inference System (ANFIS). Ultrason. Sonochem. 2023, 96, 106425. [Google Scholar] [CrossRef]
- Nica, E.; Stehel, V. Internet of Things Sensing Networks, Artificial Intelligence-Based Decision-Making Algorithms, and Real-Time Process Monitoring in Sustainable Industry 4.0. J. Self-Gov. Manag. Econ. 2021, 9, 35–47. [Google Scholar]
- Alahmad, T.; Neményi, M.; Nyéki, A. Applying IoT Sensors and Big Data to Improve Precision Crop Production: A Review. Agronomy 2023, 13, 2603. [Google Scholar] [CrossRef]
- Dadhaneeya, H.; Nema, P.K.; Arora, V.K. Internet of Things in Food Processing and Its Potential in Industry 4.0 Era: A Review. Trends Food Sci. Technol. 2023, 139, 104109. [Google Scholar] [CrossRef]
- Mhetraskar, S.S.; Namekar, S.A.; Holmukhe, R.M.; Tamke, S.M. Industrial Automation Using PLC, HMI and Its Protocols Based on Real Time Data for Analysis. Int. J. Adv. Res. Eng. Technol. 2020, 11, 1353–1363. Available online: https://iaeme.com/Home/article_id/IJARET_11_10_129 (accessed on 16 April 2025).
- Jambrak, A.R.; Nutrizio, M.; Djekić, I.; Pleslić, S.; Chemat, F. Internet of Nonthermal Food Processing Technologies (IoNTP): Food Industry 4.0 and Sustainability. Appl. Sci. 2021, 11, 686. [Google Scholar] [CrossRef]
- Ahmed, I.; Qazi, I.M.; Jamal, S. Developments in Osmotic Dehydration Technique for the Preservation of Fruits and Vegetables. Innov. Food Sci. Emerg. Technol. 2016, 34, 29–43. [Google Scholar] [CrossRef]
- Muñiz-Becerá, S.; Méndez-Lagunas, L.L.; Rodríguez-Ramírez, J. Solute Transfer in Osmotic Dehydration of Vegetable Foods: A Review. J. Food Sci. 2017, 82, 2251–2259. [Google Scholar] [CrossRef]
- Jamil, A.A.; Tu, W.F.; Ali, S.W.; Terriche, Y.; Guerrero, J.M. Fractional-Order PID Controllers for Temperature Control: A Review. Energies 2022, 15, 3800. [Google Scholar] [CrossRef]
- Nair, R.; Mohan, K. Control of Temperature Using PID Controller. Int. J. Sci. Res. 2016, 5, 1203–1206. [Google Scholar] [CrossRef]
- Neville, M. Product Review | Tilt Wireless Hydrometer & Thermometer. Available online: https://brulosophy.com/2022/01/13/product-review-tilt-wireless-hydrometer-thermometer/?utm_source=chatgpt.com (accessed on 15 October 2025).
- Hawse, A. Tilt Hydrometer Overview & Out-of-Box (Part 1). Available online: https://iotexpert.com/tilt-hydrometer-overview-out-of-box-part-1?utm_source=chatgpt.com (accessed on 15 October 2025).
- TiltHydrometer. Tilt Float Hydrometer for Float Pods. Available online: https://tilthydrometer.com/products/copy-of-dealer-price-float-tank-hydrometer (accessed on 21 June 2025).
- Schlegel, B. Review: TILT Electric Hydrometer Tracking Specific Gravity over Time. Available online: https://bierbot.com/blog/hardware-reviews/tilt-electric-hydrometer-specific-gravity/ (accessed on 16 April 2025).
- Valdiviezo-Seminario, C.S.; Sánchez-Chero, M.J.; Flores-Mendoza, L.C. Effect of Osmotic Dehydration Pretreatment on Melon (Cucumis Melo) Drying Time. Curr. Res. Nutr. Food Sci. 2024, 12, 1421–1432. [Google Scholar] [CrossRef]
- Center for Food Safety and Applied Nutrition. FDA Guidance for Industry: Guide to Minimize Microbial Food Safety Hazards for Fresh Fruits and Vegetables; Center for Food Safety and Applied Nutrition: College Park, MD, USA, 1998.
- Bozkir, H.; Rayman Ergün, A.; Serdar, E.; Metin, G.; Baysal, T. Influence of Ultrasound and Osmotic Dehydration Pretreatments on Drying and Quality Properties of Persimmon Fruit. Ultrason. Sonochem. 2019, 54, 135–141. [Google Scholar] [CrossRef] [PubMed]
- Badui Dergal, S. Química de Los Alimentos, 5th ed.; Pearson Educaclón: Mexico City, México, 2013. [Google Scholar]
- Kilic, M.; Sahin, M.; Hassan, A.; Ullah, A. Preservation of Fruits through Drying—A Comprehensive Review of Experiments and Modeling Approaches. J. Food Process. Eng. 2024, 47, e14568. [Google Scholar] [CrossRef]
- Akpinar, E.K.; Bicer, Y.; Yildiz, C. Thin Layer Drying of Red Pepper. J. Food Eng. 2003, 59, 99–104. [Google Scholar] [CrossRef]
- Vega-Gálvez, A.; Notte-Cuello, E.; Lemus-Mondaca, R.; Zura, L.; Miranda, M. Mathematical Modelling of Mass Transfer during Rehydration Process of Aloe Vera (Aloe barbadensis Miller). Food Bioprod. Process. 2009, 87, 254–260. [Google Scholar] [CrossRef]
- Doymaz, I. Evaluation of Some Thin-Layer Drying Models of Persimmon Slices (Diospyros kaki L.). Energy Convers. Manag. 2012, 56, 199–205. [Google Scholar] [CrossRef]
- Doymaz, I. Drying Kinetics of White Mulberry. J. Food Eng. 2004, 61, 341–346. [Google Scholar] [CrossRef]
- Chandra, S.; Kumari, D. Recent Development in Osmotic Dehydration of Fruit and Vegetables: A Review. Crit. Rev. Food Sci. Nutr. 2015, 55, 552–561. [Google Scholar] [CrossRef]
- Anil, A.; Jadhav, H.B.; Shewale, S.R.; Annapure, U.S. Osmo Hydrocolloid Assisted Dehydration of Onion Slices: Effect on Bioactive Components, Rehydration, Microstructure. Meas. Food 2024, 16, 100207. [Google Scholar] [CrossRef]
- Wang, X.; Feng, H.; Wang, X.; Feng, H. Investigating the Role Played by Osmotic Pressure Difference in Osmotic Dehydration: Interactions between Apple Slices and Binary and Multi-Component Osmotic Systems. Foods 2023, 12, 3179. [Google Scholar] [CrossRef]
- Mourtzis, D.; Angelopoulos, J.; Panopoulos, N. The Future of the Human–Machine Interface (HMI) in Society 5.0. Future Internet 2023, 15, 162. [Google Scholar] [CrossRef]
- Kucner, A.; Papiewska, A.; Klewicki, R.; Sójka, M.; Klewicka, E. Influence of Thermal Treatment on the Stability of Phenolic Compounds and the Microbiological Quality of Sucrose Solution Following Osmotic Dehydration of Highbush Blueberry Fruits. Acta Sci. Pol. Technol. Aliment. 2014, 13, 79–88. [Google Scholar] [CrossRef]
- Haneef, N.; Hanif, N.; Hanif, T.; Raghavan, V.; Garièpy, Y.; Wang, J. Food Fortification Potential of Osmotic Dehydration and the Impact of Osmo-Combined Techniques on Bioactive Component Saturation in Fruits and Vegetables. Braz. J. Food Technol. 2024, 27, e2023028. [Google Scholar] [CrossRef]
- Qubasi, M.; Shekib, L.; El-Shimy, N.M.; Mousa, H. Effect of Osmotic-Air Dehydration on Drying Kinetics and Microstructure of Apple Slices and Cubes. J. Food Dairy Sci. 2015, 6, 405–418. [Google Scholar] [CrossRef]
- Koondhar, M.A.; Kaloi, G.S.; Junejo, A.K.; Soomro, A.H.; Chandio, S.; Ali, M. The Role of PLC in Automation, Industry and Education Purpose: A Review. Pak. J. Eng. Technol. Sci. 2023, 11, 22–31. [Google Scholar] [CrossRef]
- Chang, W.; Xie, J.; Wang, J.; Teng, W.; Sun, Y.; Zheng, M. Application of PLC and HMI in the Measurement and Control Platform of Single-Tube Heat Transfer Experiment Rig. Adv. Mech. Eng. 2020, 12, 1–14. [Google Scholar] [CrossRef]
- Ardi, S.; Febriansyah, M.B.; Hidayat, M.; Fairus, S.; Suprapto, H. Modification of Control System Using PLC and HMI on Drill Oil Hole Machine to Speed up Piston Model Replacement Process Time in Automotive Manufacturing Industry. J. Pendidik. Teknol. Dan. Kejuru. 2025, 31, 1–14. Available online: https://jurnal.uny.ac.id/index.php/jptk/article/view/78878 (accessed on 16 April 2025).
- Harwell, R. Integrated HMI and PLC. Intech Ind. Comput. 2012, 59, 12. [Google Scholar]
- Bagawathi, R.; Sharmie, V.; Anuraga, J.; Anusuya Devi, G.; Jaanu, A.S.N.; Rajamani, M.P.E. Monitoring RO Plant Using Virtual HMI and PLC with Visual Programming Tool. In Proceedings of the 3rd International Conference on Electronics and Sustainable Communication Systems, ICESC 2022—Proceedings, Coimbatore, India, 17–19 August 2022; pp. 199–205. [Google Scholar] [CrossRef]
- International Electrotechnical Commission. IEC 60751: Industrial Platinum Resistance Thermometers and Platinum Temperature Sensors, 3rd ed.; International Electrotechnical Commission: Geneva, Switzerland, 2022. [Google Scholar]
- Rivas Pellicer, M.; Tungekar, M.Y.; Carpitella, S. Where to Place Monitoring Sensors for Improving Complex Manufacturing Systems? Discussing a Real Case in the Food Industry. Sensors 2023, 23, 3768. [Google Scholar] [CrossRef]
- Watson, N.J.; Bowler, A.L.; Rady, A.; Fisher, O.J.; Simeone, A.; Escrig, J.; Woolley, E.; Adedeji, A.A. Intelligent Sensors for Sustainable Food and Drink Manufacturing. Front. Sustain. Food Syst. 2021, 5, 642786. [Google Scholar] [CrossRef]
- Jaywant, S.A.; Singh, H.; Arif, K.M. Sensors and Instruments for Brix Measurement: A Review. Sensors 2022, 22, 2290. [Google Scholar] [CrossRef]
- Kaučić, L.; Kovačević, I.; Aleksi, I.; Keser, T.; Zidar, J.; Rimac-Drlje, S. A Low-Cost Buoyant Force Measurement Device for Monitoring Sugar Concentration in Water Solution. In Proceedings of the International Conference on Electrical, Computer, Communications and Mechatronics Engineering, ICECCME 2023, Tenerife, Spain, 19–21 July 2023. [Google Scholar] [CrossRef]
- Konur, S.; Lan, Y.; Thakker, D.; Morkyani, G.; Polovina, N.; Sharp, J. Towards Design and Implementation of Industry 4.0 for Food Manufacturing. Neural Comput. Appl. 2023, 35, 23753–23765. [Google Scholar] [CrossRef]
- Kesharia, A.; More, P.; Adeshra, K.; Sutar, R. Cost Effective Food Quality Monitoring Using PLC: An Optimized Approach. In Proceedings of the 2018 International Conference on Recent Innovations in Electrical, Electronics and Communication Engineering, ICRIEECE 2018, Bhubaneswar, India, 27–28 July 2018; pp. 1026–1031. [Google Scholar] [CrossRef]
- Pavon-Vargas, D.J.; Alfonsi, V.; Georgé, S.; Gozzi, M.; Rainieri, S.; Cattani, L. Validation of Ohmic Heating Pilot Plant for Vitamin C Retention and E. Coli Surrogate Inactivation on Strawberry Nectar. Int. J. Food Sci. 2025, 2025, 2464512. [Google Scholar] [CrossRef]
- Zhang, M. Pilot-Scale Studies, Scaling-Up, and Technology Transfer. In Iron Ores Bioprocessing; Springer: Cham, Switzerland, 2023; pp. 161–167. [Google Scholar] [CrossRef]
- Devic, E.; Guyot, S.; Daudin, J.D.; Bonazzi, C. Effect of Temperature and Cultivar on Polyphenol Retention and Mass Transfer during Osmotic Dehydration of Apples. J. Agric. Food Chem. 2010, 58, 606–614. [Google Scholar] [CrossRef] [PubMed]
- Vieira, G.S.; Pereira, L.M.; Hubinger, M.D. Optimisation of Osmotic Dehydration Process of Guavas by Response Surface Methodology and Desirability Function. Int. J. Food Sci. Technol. 2012, 47, 132–140. [Google Scholar] [CrossRef]
- Zongo, A.P.; Khalloufi, S.; Ratti, C. Effect of Viscosity and Rheological Behavior on Selective Mass Transfer during Osmotic Dehydration of Mango Slices in Natural Syrups. J. Food Process. Eng. 2021, 44, e13745. [Google Scholar] [CrossRef]
- Filho, R.d.S.F.; de. Gusmão, R.P.; da Silva, W.P.; Gomes, J.P.; Filho, E.V.C.; El-Aouar, Â.A. Osmotic Dehydration of Pineapple Stems in Hypertonic Sucrose Solutions. Agric. Sci. 2015, 06, 916–924. [Google Scholar] [CrossRef]
- Zhao, J.H.; Ding, Y.; Yuan, Y.J.; Xiao, H.W.; Zhou, C.L.; Tan, M.L.; Tang, X.M. Effect of Osmotic Dehydration on Desorption Isotherms and Glass Transition Temperatures of Mango. Int. J. Food Sci. Technol. 2018, 53, 2602–2609. [Google Scholar] [CrossRef]
- Zongo, A.P.; Khalloufi, S.; Ratti, C. Sugar Profiles Modulation of Mangoes during Osmotic Dehydration in Agave Syrup Solutions. J. Food Sci. 2023, 88, 228–243. [Google Scholar] [CrossRef] [PubMed]
- Barrera, C.; Betoret, N.; Seguí, L. Potential of Vacuum Impregnation and Osmotic Dehydration Techniques in Producing Jaggery-Fortified Apple Snacks. Sustain. Food Technol. 2024, 2, 1041–1051. [Google Scholar] [CrossRef]
- Aguirre-García, M.; Cortés-Zavaleta, O.; Ruiz-Espinosa, H.; Ochoa-Velasco, C.E.; Ruiz-López, I.I. The Role of Coupled Water and Solute Diffusion and Product Shrinkage during Osmotic Dehydration. J. Food Eng. 2022, 331, 111121. [Google Scholar] [CrossRef]
- do Carmo, J.R.; Corrêa, J.L.G.; Resende, M.; Cirillo, M.Â.; Corona-Jiménez, E.; Telis-Romero, J. Mango Enriched with Sucrose and Isomaltulose (Palatinose®) by Osmotic Dehydration: Effect of Temperature and Solute Concentration through the Application of Multilevel Statistical Models. J. Food Process. Preserv. 2022, 46, e17147. [Google Scholar] [CrossRef]
- Azoubel, P.M.; Da Silva, F.O. Optimisation of Osmotic Dehydration of ‘Tommy Atkins’ Mango Fruit. Int. J. Food Sci. Technol. 2008, 43, 1276–1280. [Google Scholar] [CrossRef]
- Galdino, P.O.; Queiroz, A.J.d.M.; de Figueirêdo, R.M.F.; Santiago, Â.M.; Galdino, P.O. Production and Sensory Evaluation of Dried Mango. Rev. Bras. Eng. Agrícola E Ambient. 2021, 25, 44–50. [Google Scholar] [CrossRef]
- Mundada, M.; Singh, B.; Maske, S. Optimisation of Processing Variables Affecting the Osmotic Dehydration of Pomegranate Arils. Int. J. Food Sci. Technol. 2010, 45, 1732–1738. [Google Scholar] [CrossRef]
- Assis, F.R.; Morais, R.M.S.C.; Morais, A.M.M.B. Mathematical Modelling of Osmotic Dehydration Kinetics of Apple Cubes. J. Food Process. Preserv. 2017, 41, e12895. [Google Scholar] [CrossRef]
- Bhagya Raj, G.V.S.; Dash, K.K. Ultrasound Assisted Osmotic Dehydration of Dragon Fruit Slices: Modeling and Optimization Using Integrated Artificial Neural Networks and Genetic Algorithms. J. Food Process. Preserv. 2022, 46, e16993. [Google Scholar] [CrossRef]
- Ayala-Aponte, A.A.; Molina-Cortés, A.; Serna-Cock, L.; Ayala-Aponte, A.A.; Molina-Cortés, A.; Serna-Cock, L. Osmotic Dehydration of Green Mango Samples (Mangifera indica L., Filipino Var.) in Ternary Solutions. Vitae 2018, 25, 8–16. Available online: https://revistas.udea.edu.co/index.php/vitae/article/view/325276 (accessed on 16 April 2025). [CrossRef]
- Alakali, J.S.; Ariahu, C.C.; Nkpa, N.N. Kinetics of Osmotic Dehydration of Mango. J. Food Process. Preserv. 2006, 30, 597–607. [Google Scholar] [CrossRef]
- Süfer, Ö.; Sezer, S.; Demir, H. Thin Layer Mathematical Modeling of Convective, Vacuum and Microwave Drying of Intact and Brined Onion Slices. J. Food Process. Preserv. 2017, 41, e13239. [Google Scholar] [CrossRef]
- Xia, D.; Jiang, L.; Cheng, J.; Hou, X.; Li, S.; Luo, Q.; Shen, G.; Wu, H.; Chen, A.; Zhang, Z. Influence of Drying Methods on Quality of Zanthoxylum Armatum DC. and Mathematical Modelling of the Drying Kinetics. In E3S Web of Conferences, Proceedings of the 2021 International Conference on Environmental Engineering, Agricultural Pollution and Hydraulical Studies, Wuhan, China, 29–30 May 2021; EDP Sciences: Les Ulis, France, 2021; Volume 269. [Google Scholar] [CrossRef]
- Topuz, F.C. Examination of Rehydration Ratio, Color Properties and Drying Kinetics of Microwave Dried Garlic (Allium sativum L.). NOHU J. Eng. Sci. 2022, 11, 642–646. [Google Scholar] [CrossRef]
- Furtado, T.D.R.; Muniz, J.A.; Silva, E.M.; Frühauf, A.C.; Fernandes, T.J. Natural Convection Drying Kinetics of ‘Prata’ and ‘D’Água’ Banana Cultivars (Musa ssp) by Nonlinear Regression Models. Rev. Bras. Frutic. 2019, 41, e426. [Google Scholar] [CrossRef]
- Akowuah, J.O.; Bart-Plange, A.; Dzisi, K.A. Thin Layer Mathematical Modelling of White Maize in a Mobile Solar-Biomass Hybrid Dryer. Res. Agric. Eng. 2021, 67, 74–83. [Google Scholar] [CrossRef]
- de Moraes, M.S.; de Melo Queiroz, A.J.; de Figueirêdo, R.M.F.; de Matos, J.D.P.; da Silva, L.P.F.R.; do Nascimento Silva, S.; Vieira, A.F. Germinated Seeds of Three Cucurbita Varieties: Physical Characteristics, Minerals Profile, and Drying Behavior. J. Food Process. Eng. 2021, 44, e13865. [Google Scholar] [CrossRef]















| Variable | Working Range |
|---|---|
| Temperature | 35–50 °C |
| Concentration | 45–60 °Brix |
| Agitation | Recirculation and blades |
| Fruit:syrup ratio | 1:4 w/w |
| Treatment | Concentration (°Brix) | Temperature (°C) | Time (min) |
|---|---|---|---|
| T1 | 45 | 30 | 120 |
| T2 | 45 | 30 | 180 |
| T3 | 45 | 40 | 120 |
| T4 | 45 | 40 | 180 |
| T5 | 50 | 30 | 120 |
| T6 | 50 | 30 | 180 |
| T7 | 50 | 40 | 120 |
| T8 | 50 | 40 | 180 |
| Indicator | Tilt vs. Refractometer | Manufacturer Tolerance (±0.5 °Brix) | Within Tolerance |
|---|---|---|---|
| n | 72 | – | – |
| Mean difference (°Brix) | −0.12 | ±0.5 | Yes |
| SD difference (°Brix) | 0.32 | – | – |
| MAE (°Brix) | 0.28 | ±0.5 | Yes |
| RMSE (°Brix) | 0.36 | – | – |
| R2 | 0.985 | – | – |
| p-value | 0.09 (ns) | – | – |
| Indicator | Tilt vs. Thermometer | Tolerance (±0.5 °C) | Within Tolerance |
|---|---|---|---|
| n | 72 | – | – |
| Mean difference (°Brix) | −0.12 | ±0.5 | Yes |
| SD difference (°Brix) | 0.27 | – | – |
| MAE (°Brix) | 0.25 | ±0.5 | Yes |
| RMSE (°Brix) | 0.30 | – | – |
| R2 | 0.986 | – | – |
| p-value | 0.12 (ns) | – | – |
| Indicator | Tank vs. Thermometer | Manufacturer Tolerance (±0.5 °Brix) | Within Tolerance |
|---|---|---|---|
| n | 72 | – | – |
| Mean difference (°Brix) | −0.12 | ±0.5 | Yes |
| SD difference (°Brix) | 0.27 | – | – |
| MAE (°Brix) | 0.25 | ±0.5 | Yes |
| RMSE (°Brix) | 0.30 | – | – |
| R2 | 0.986 | – | – |
| p-value | 0.12 (ns) | – | – |
| Treatment | WR (Mean ± SD) | WL (Mean ± SD) | SG (Mean ± SD) |
|---|---|---|---|
| T1 | 9.48 ± 0.46 | 18.62 ± 0.33 | 7.20 ± 0.77 |
| T2 | 16.42 ± 0.47 | 23.45 ± 0.42 | 8.37 ± 0.16 |
| T3 | 25.36 ± 0.77 | 32.76 ± 0.59 | 6.87 ± 0.23 |
| T4 | 31.80 ± 0.97 | 36.89 ± 0.10 | 8.25 ± 0.32 |
| T5 | 11.67 ± 1.02 | 19.38 ± 0.39 | 9.27 ± 0.64 |
| T6 | 19.53 ± 0.37 | 25.20 ± 0.67 | 8.53 ± 0.90 |
| T7 | 29.25 ± 0.38 | 35.80 ± 0.69 | 9.31 ± 0.73 |
| T8 | 34.47 ± 1.34 | 39.15 ± 1.34 | 8.98 ± 0.02 |
| Treatment | Model | Parameters | R2 | RMSE |
|---|---|---|---|---|
| T0 | Lewis Page Henderson–Pabis | k = 0.3507 k = 0.4161, n = 3.2455 a = 1.2388, k = 0.4161 | 0.7370 0.8557 0.7786 | 0.2332 0.1728 0.2140 |
| T1 | Lewis Page Henderson–Pabis | k = 0.4732 k = 0.4698, n = 1.0897 a = 1.0195, k = 0.4824 | 0.9692 0.9707 0.9699 | 0.0569 0.0555 0.0563 |
| T2 | Lewis Page Henderson–Pabis | k = 0.5818 k = 0.6314, n = 0.7379 a = 0.9759, k = 0.5671 | 0.9766 0.9919 0.9776 | 0.0467 0.0275 0.0457 |
| T3 | Lewis Page Henderson–Pabis | k = 1.2601 k = 10.4461, n = 0.2037 a = 0.9828, k = 1.2358 | 0.9136 0.9978 0.9141 | 0.0945 0.0150 0.0942 |
| T4 | Lewis Page Henderson–Pabis | k = 0.3983 k = 0.3961, n = 1.2588 a = 1.0420, k = 0.4155 | 0.9588 0.9714 0.9621 | 0.0662 0.0552 0.0635 |
| T5 | Lewis Page Henderson–Pabis | k = 0.3804 k = 0.3809, n = 0.9716 a = 0.9956, k = 0.3786 | 0.9381 0.9383 0.9382 | 0.0753 0.0752 0.0753 |
| T6 | Lewis Page Henderson–Pabis | k = 0.4204 k = 0.4230, n = 0.9731 a = 0.9911, k = 0.4168 | 0.9949 0.9951 0.9950 | 0.0219 0.0215 0.0216 |
| T7 | Lewis Page Henderson–Pabis | k = 0.3248 k = 0.3212, n = 1.1729 a = 1.0112, k = 0.3286 | 0.9438 0.9498 0.9441 | 0.0736 0.0695 0.0734 |
| T8 | Lewis Page Henderson–Pabis | k = 0.3042 k = 0.3007, n = 1.3325 a = 1.0232, k = 0.3118 | 0.9306 0.9485 0.9317 | 0.0828 0.0713 0.0821 |
Disclaimer/Publisher’s Note: The statements, opinions and data contained in all publications are solely those of the individual author(s) and contributor(s) and not of MDPI and/or the editor(s). MDPI and/or the editor(s) disclaim responsibility for any injury to people or property resulting from any ideas, methods, instructions or products referred to in the content. |
© 2025 by the authors. Licensee MDPI, Basel, Switzerland. This article is an open access article distributed under the terms and conditions of the Creative Commons Attribution (CC BY) license (https://creativecommons.org/licenses/by/4.0/).
Share and Cite
Sanchez-Chero, M.; Miranda-Zamora, W.R.; Flores-Mendoza, L.C.; Sanchez-Chero, J. Development of a PLC/IoT Control System with Real-Time Concentration Monitoring for the Osmotic Dehydration of Fruits. Automation 2025, 6, 68. https://doi.org/10.3390/automation6040068
Sanchez-Chero M, Miranda-Zamora WR, Flores-Mendoza LC, Sanchez-Chero J. Development of a PLC/IoT Control System with Real-Time Concentration Monitoring for the Osmotic Dehydration of Fruits. Automation. 2025; 6(4):68. https://doi.org/10.3390/automation6040068
Chicago/Turabian StyleSanchez-Chero, Manuel, William R. Miranda-Zamora, Lesly C. Flores-Mendoza, and José Sanchez-Chero. 2025. "Development of a PLC/IoT Control System with Real-Time Concentration Monitoring for the Osmotic Dehydration of Fruits" Automation 6, no. 4: 68. https://doi.org/10.3390/automation6040068
APA StyleSanchez-Chero, M., Miranda-Zamora, W. R., Flores-Mendoza, L. C., & Sanchez-Chero, J. (2025). Development of a PLC/IoT Control System with Real-Time Concentration Monitoring for the Osmotic Dehydration of Fruits. Automation, 6(4), 68. https://doi.org/10.3390/automation6040068

