Synthesis and Properties of 3,8-Diaryl-2H-cyclohepta[b]furan-2-ones
Abstract
1. Introduction
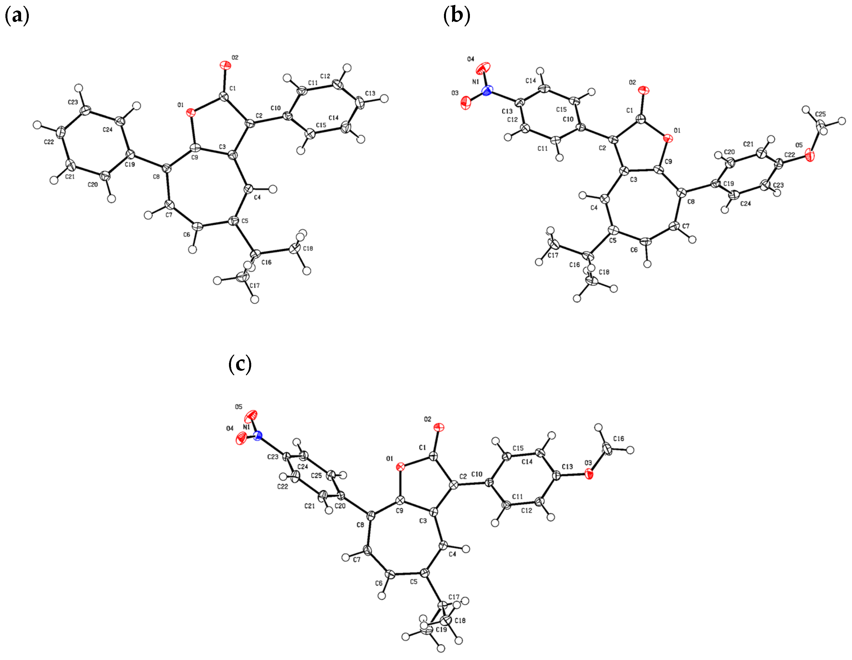
2. Results and Discussion
3. Materials and Methods
4. Conclusions
Supplementary Materials
Author Contributions
Funding
Data Availability Statement
Conflicts of Interest
References
- Morita, N.; Toyota, K.; Ito, S. The Chemistry of 2H-Cyclohepta[b]Furan-2-One: Synthesis, Transformation and Spectral Properties. Heterocycles 2009, 78, 1917–1954. [Google Scholar] [CrossRef][Green Version]
- Yokota, M.; Yanagisawa, T.; Kosakai, K.; Wakabayashi, S.; Tomiyama, T.; Yasunami, M. Synthesis and Analysis of Positive Inotropic Effects of 3-Substituted-2H-Cyclohepta[b]Furan-2-One Derivatives. Chem. Pharm. Bull. 1994, 42, 865–871. [Google Scholar] [CrossRef]
- Ando, M.; Kataoka, N.; Yasunami, M.; Takase, K.; Hirata, N.; Yanagi, Y. Tropolone Derivatives as Synthetic Intermediates. 1. A Novel Synthetic Method of the Octahydro-2H-Cyclohepta[b]Furan-2-One Derivatives. J. Org. Chem. 1987, 52, 1429–1437. [Google Scholar] [CrossRef]
- Shimoma, F.; Kusaka, H.; Wada, K.; Azami, H.; Yasunami, M.; Suzuki, T.; Hagiwara, H.; Ando, M. A Novel Synthetic Method of the (±)-(3aα,8aα)-Ethyl 8β-Hydroxy-6β-Methyl-2-Oxooctahydro-2H-Cyclohepta[b]Furan-3α- Carboxylate and Its Chemical Transformation to (±)-(3aα,8aα)-3α,6β-Dimethyl-3,3a,4,5,6,8a-Hexahydro-2H- Cyclohepta[b]Furan-2-One, (+)- and (−)-7β-(2-Acetoxy-1α-Methylethyl)-4β-Methyl-2-Cyclohepten-1β-Ol, and (+)- and (−)-7β-(2-Acetoxy-1α-Methylethyl)-4β-Methyl-2-Cyclohepten-1-One. Possible Common Synthetic Intermediates for Pseudoguaianolides, 4,5-Secopseudoguaianolides, Guaianolides, 4,5-Secoguaianolides, and Octalactins. J. Org. Chem. 1998, 63, 920–929. [Google Scholar]
- Shimoma, F.; Kusaka, H.; Azami, H.; Wada, K.; Suzuki, T.; Hagiwara, H.; Ando, M. Total Syntheses of (±)-Hymenolin and (±)-Parthenin. J. Org. Chem. 1998, 63, 3758–3763. [Google Scholar] [CrossRef]
- Naya, S.; Nitta, M. Synthesis and Properties of Stable Heteroazulene Analogues of a Triphenylmethyl Cation. J. Chem. Soc. Perkin Trans. 2000, 1, 2777–2781. [Google Scholar] [CrossRef]
- Naya, S.; Nitta, M. Synthesis and Properties of Stabilized Bis(2-Oxo-2H-Cyclohepta[b]Furan-3-Yl)Phenylmethyl and Bis(1,2-Dihydro-2-Oxo-N-Phenylcyclohepta[b]Pyrrol-3-Yl)Phenylmethyl Cations and Their Derivatives: Remarkable Substituent Effect on the Conformation and Stability of the Cations. J. Chem. Soc. Perkin Trans. 2000, 2, 2427–2435. [Google Scholar]
- Naya, S.; Nitta, M. Dication Species Stabilized by Heteroazulenes: Synthesis and Properties of 1,3- and 1,4-Bis[Bis(2-Oxo-2H-Cyclohepta[b]Furan-3-Yl)Methyliumyl]-, Bis[Bis(1,2-Dihydro-N-Methyl-2-Oxocyclohepta[b]Pyrrol-3-Yl)Methyliumyl]Benzene, and Their Related Dications. J. Chem. Soc. Perkin Trans. 2001, 2, 275–281. [Google Scholar] [CrossRef]
- Naya, S.; Sakakibara, T.; Nitta, M. Stability of Heteroazulene-Substituted Tropylium Ions: Synthesis and Properties of the (2-Oxo-2H-Cyclohepta[b]Thiophen-3-Yl)Tropylium Ion, and Its Oxygen and Nitrogen Analogues. J. Chem. Soc. Perkin Trans. 2001, 2, 1032–1037. [Google Scholar] [CrossRef]
- Naya, S.; Isobe, M.; Hano, Y.; Nitta, M. Trication Species Stabilized by Heteroazulenes: Synthesis and Properties of 1,3,5-Tris[Bis(Heteroazulen-3-Yl)Methyliumyl]Benzenes. J. Chem. Soc. Perkin Trans. 2001, 2, 2253–2262. [Google Scholar] [CrossRef]
- Nozoe, T.; Yang, P.-W.; Wu, C.-P.; Huang, T.-S.; Lee, T.-H.; Okai, H.; Wakabayashi, H.; Ishikawa, S. A Convenient, One-pot Azulene Synthesis from Cyclohepta[b]furan-2-ones and Vinyl Ether and Its Analogues (I). Vinyl Ethyl Ether, Vinyl Acetates, Dihydrofurans, and Dihydropyrans as Reagent. Heterocycles 1989, 29, 1225–1232. [Google Scholar]
- Nozoe, T.; Wakabayashi, H.; Shindo, K.; Ishikawa, S.; Wu, C.-P.; Yang, P.-W. A Convenient, One-Pot Azulene Synthesis from 2H-cyclohepta[b]furan-2-ones with Vinyl Ether and Its Analogues III. Orthoesters as a reagent. Heterocycles 1991, 32, 213–220. [Google Scholar]
- Wakabayashi, H.; Yang, P.-W.; Wu, C.-P.; Shindo, K.; Ishikawa, S.; Nozoe, T. A Convenient, One-Pot Synthesis of Azulenes Having Versatile Functional Groups by the Reaction of 2H-cyclohepta[b]furan-2-ones with Furan Derivatives. Heterocycles 1992, 34, 429–434. [Google Scholar] [CrossRef]
- Yasunami, M.; Kitamori, Y.; Kikuchi, I.; Ohmi, H.; Takase, K. Peri-Selective Cycloaddition Reactions of 3-Methoxycarbonyl-2Hcyclohepta[b]furan-2-one with 6,6-Dimethylfulvene. Bull. Chem. Soc. Jpn. 1992, 65, 2127–2130. [Google Scholar] [CrossRef]
- Yasunami, M.; Takase, K. The Syntheses of Azulene Derivatives by the Reaction of 2H-cyclohepta[b]furan-2-ones with Enamines. J. Syn. Org. Chem. Jpn. 1981, 39, 1172–1182. [Google Scholar]
- Yang, P.-W.; Yasunami, M.; Takase, K. The formation of azulene derivatives by the reaction of 2H-cyclohepta[b]furan-2-ones with enamines. Tetrahedron Lett. 1971, 12, 4275–4278. [Google Scholar] [CrossRef]
- Yasunami, M.; Chen, A.; Yang, P.-W.; Takase, K. The Facile Synthesis of 1- and 2-Alkylazulenes by the Reactions of 2Hcyclohepta[b]furan-2-ones with Enamines of Aldehydes and Acyclic Ketones. Chem. Lett. 1980, 9, 579–582. [Google Scholar] [CrossRef]
- Yasunami, M.; Miyoshi, S.; Kanegae, N.; Takase, K. A Versatile Synthetic Method of 1-Alkylazulenes and Azulene by the Reactions of 3-Methoxycarbonyl-2H-cyclohepta[b]furan-2-one with in situ Generated Enamines. Bull. Chem. Soc. Jpn. 1993, 66, 892–899. [Google Scholar] [CrossRef]
- Shoji, T.; Sugiyama, S.; Kobayashi, Y.; Yamazaki, A.; Ariga, Y.; Katoh, R.; Wakui, H.; Yasunami, M.; Ito, S. Direct synthesis of 2-arylazulenes by [8 + 2] cycloaddition of 2H-cyclohepta[b]furan-2-ones with silyl enol ethers. Chem. Commun. 2020, 56, 1485–1488. [Google Scholar] [CrossRef] [PubMed]
- Shoji, T.; Ito, S.; Yasunami, M. Synthesis of Azulene Derivatives from 2H-Cyclohepta[b]Furan-2-Ones as Starting Materials: Their Reactivity and Properties. Int. J. Mol. Sci. 2021, 22, 10686. [Google Scholar] [CrossRef] [PubMed]
- Morita, N.; Matsuki, T.; Nakashima, M.; Shoji, T.; Toyota, K.; Kikuchi, S.; Ito, S. Reaction of 2H-Cyclohepta[b]Furan-2-Ones with Pyridinium Salts of Trifluoromethanesulfonic Anhydride. Heterocycles 2006, 69, 119–122. [Google Scholar] [CrossRef][Green Version]
- Morita, N.; Higashi, J.; Okada, K.; Shoji, T.; Toyota, K.; Watanabe, M.; Yasunami, M.; Kikuchi, S.; Ito, S. Synthesis and Reactivity of 3-Methylsulfinyl-2H-Cyclohepta[b]Furan-2-Ones. Heterocycles 2008, 76, 759–770. [Google Scholar] [CrossRef]
- Shoji, T.; Higashi, J.; Ito, S.; Oda, M.; Yasunami, M.; Morita, N. Synthesis and Redox Behavior of Cyanovinyl-Substituted 2H-Cyclohepta[b]Furan-2-Ones. Heterocycles 2012, 86, 305–315. [Google Scholar] [CrossRef]
- Shoji, T.; Higashi, J.; Ito, S.; Okujima, T.; Yasunami, M.; Morita, N. Synthesis of Redox-Active, Intramolecular Charge-Transfer Chromophores by the [2+2] Cycloaddition of Ethynylated 2H-Cyclohepta[b]Furan-2-ones with Tetracyanoethylene. Chem. Eur. J. 2011, 17, 5116–5129. [Google Scholar] [CrossRef]
- Shoji, T.; Higashi, J.; Ito, S.; Okujima, T.; Yasunami, M.; Morita, N. Synthesis of Donor–Acceptor Chromophores by the [2+2] Cycloaddition of Arylethynyl-2H-Cyclohepta[b]Furan-2-Ones with 7,7,8,8-Tetracyanoquinodimethane. Org. Biomol. Chem. 2012, 10, 2431–2438. [Google Scholar] [CrossRef]
- Shoji, T.; Morita, N.; Maruyama, M.; Shimomura, E.; Maruyama, A.; Ito, S.; Yasunami, M.; Higashi, J.; Toyota, K. Synthesis, Properties, and Crystal Structure of DDQ-Adducts of Ethynylated 2H-Cyclohepta[b]Furan-2-Ones. Heterocycles 2014, 88, 319–329. [Google Scholar] [CrossRef]
- Shoji, T.; Ando, D.; Yamazaki, A.; Ariga, Y.; Hamasaki, A.; Mori, S.; Okujima, T.; Ito, S. Synthesis of 8-Aryl-2H-Cyclohepta[b]Furan-2-Ones and Transformation into 4-Arylazulenes. Chem. Lett. 2022, 51, 533–537. [Google Scholar] [CrossRef]
- Miyaura, N.; Suzuki, A. Palladium-Catalyzed Cross-Coupling Reactions of Organoboron Compounds. Chem. Rev. 1995, 95, 2457–2483. [Google Scholar] [CrossRef]
- CCDC2145584 (4a), CDC2290744 (4b), and CCDC2361752 (4c) Contain the Supplementary Crystallographic Data for This Paper. These Data Are Provided Free of Charge by the Cambridge Crystallographic Data Centre. Available online: https://www.ccdc.cam.ac.uk/ (accessed on 10 June 2024).
- The Time-Dependence Density Functional Calculations Were Performed with Spartan’10, Wave Function, Irvine, CA. Available online: https://lab409.chem.ccu.edu.tw/~comchem100/Spartan10Manual.pdf (accessed on 10 June 2024).






| Experimental | Computed Values | ||
|---|---|---|---|
| Compound | λmax [nm] (log ε) | λmax (Oscillator Strength) | Composition of Band (Contribution) |
| 4a | 411 (4.26) | 454 (0.0168) | H → L (0.6044) H → L + 1 (0.3550) |
| 366 (0.5569) | H − 1 → L (0.0863) H → L (0.2631) H → L + 1 (0.5405) | ||
| 4b | 443 (4.42) | 446 (0.0517) | H → L (0.2436) H → L + 1 (0.6598) H → L + 2 (0.0471) |
| 421 (0.7559) | H → L (0.6154) H → L + 1 (0.2990) | ||
| 4c | 424 (4.25) | 519 (0.1046) | H → L (0.7916) H → L + 1 (0.1354) H → L + 2 (0.0458) |
| 458 (0.1429) | H → L (0.1216) H → L + 1 (0.8431) | ||
| 379 (0.3522) | H − 1 → L (0.1842) H → L + 2 (0.7128) | ||
| 2a | 395 (4.06) | – | – |
| 2b | 396 (4.09) | – | – |
| 2c | 396 (4.10) | – | – |
| Compound | E1OX [V] | E2OX [V] | E3OX [V] | E1RED [V] | E2RED [V] | E3RED [V] |
|---|---|---|---|---|---|---|
| 4a | +0.91 | – | – | −1.72 | – | – |
| 4b | +1.02 | +1.30 | +1.43 | −1.38 | −1.71 | −1.88 |
| 4c | +0.84 | +1.50 | – | −1.34 | −1.48 | −1.86 |
Disclaimer/Publisher’s Note: The statements, opinions and data contained in all publications are solely those of the individual author(s) and contributor(s) and not of MDPI and/or the editor(s). MDPI and/or the editor(s) disclaim responsibility for any injury to people or property resulting from any ideas, methods, instructions or products referred to in the content. |
© 2024 by the authors. Licensee MDPI, Basel, Switzerland. This article is an open access article distributed under the terms and conditions of the Creative Commons Attribution (CC BY) license (https://creativecommons.org/licenses/by/4.0/).
Share and Cite
Shoji, T.; Ando, D.; Iwabuchi, M.; Okujima, T.; Sekiguchi, R.; Ito, S. Synthesis and Properties of 3,8-Diaryl-2H-cyclohepta[b]furan-2-ones. Organics 2024, 5, 252-262. https://doi.org/10.3390/org5030013
Shoji T, Ando D, Iwabuchi M, Okujima T, Sekiguchi R, Ito S. Synthesis and Properties of 3,8-Diaryl-2H-cyclohepta[b]furan-2-ones. Organics. 2024; 5(3):252-262. https://doi.org/10.3390/org5030013
Chicago/Turabian StyleShoji, Taku, Daichi Ando, Masayuki Iwabuchi, Tetsuo Okujima, Ryuta Sekiguchi, and Shunji Ito. 2024. "Synthesis and Properties of 3,8-Diaryl-2H-cyclohepta[b]furan-2-ones" Organics 5, no. 3: 252-262. https://doi.org/10.3390/org5030013
APA StyleShoji, T., Ando, D., Iwabuchi, M., Okujima, T., Sekiguchi, R., & Ito, S. (2024). Synthesis and Properties of 3,8-Diaryl-2H-cyclohepta[b]furan-2-ones. Organics, 5(3), 252-262. https://doi.org/10.3390/org5030013

