A New Generation of Porous Polymer Materials from Polystyrene Waste: Synthesis and Adsorption of Nitrate Anions in Aqueous Media
Abstract
1. Introduction
2. Materials and Methods
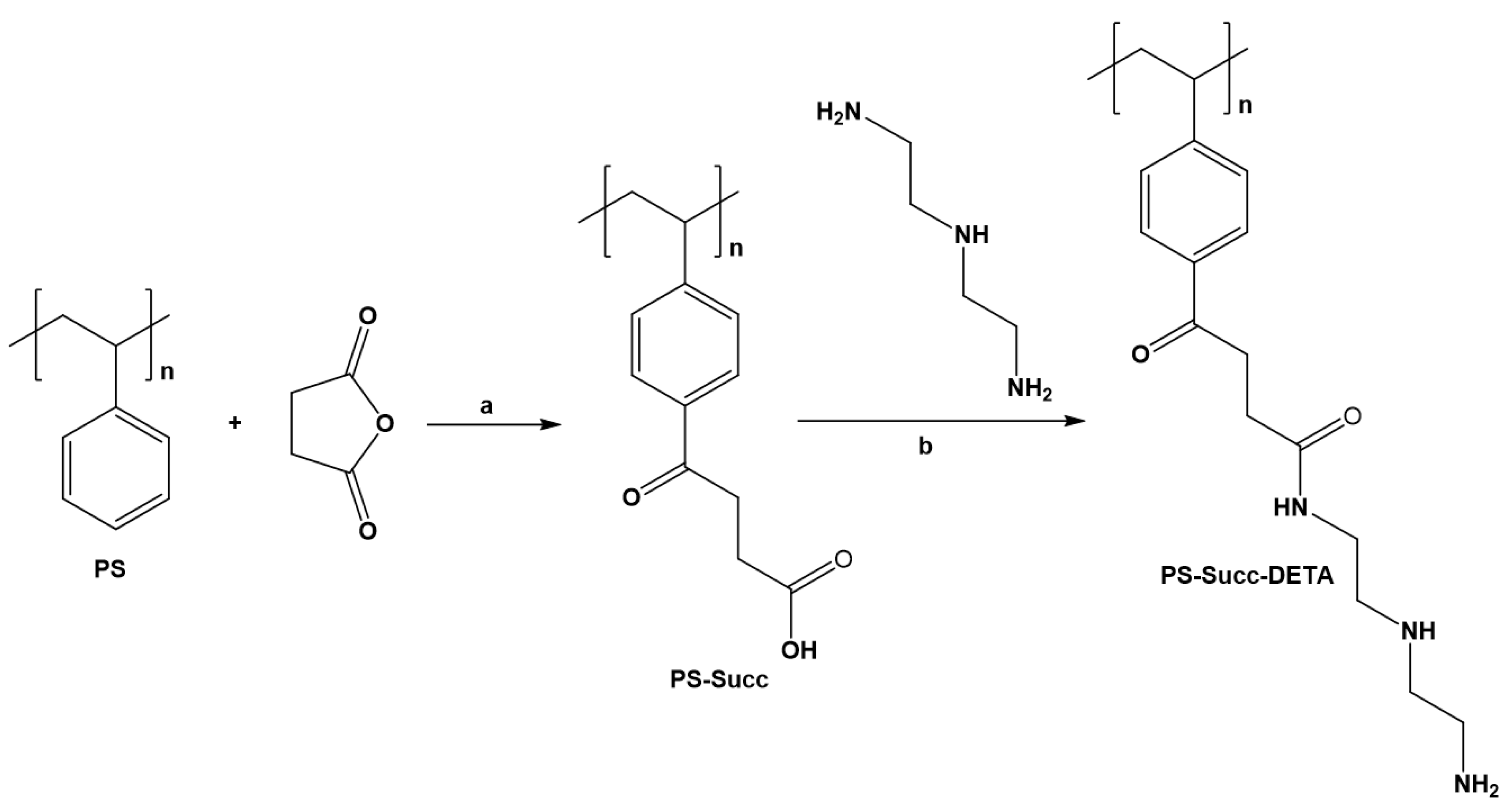
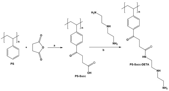
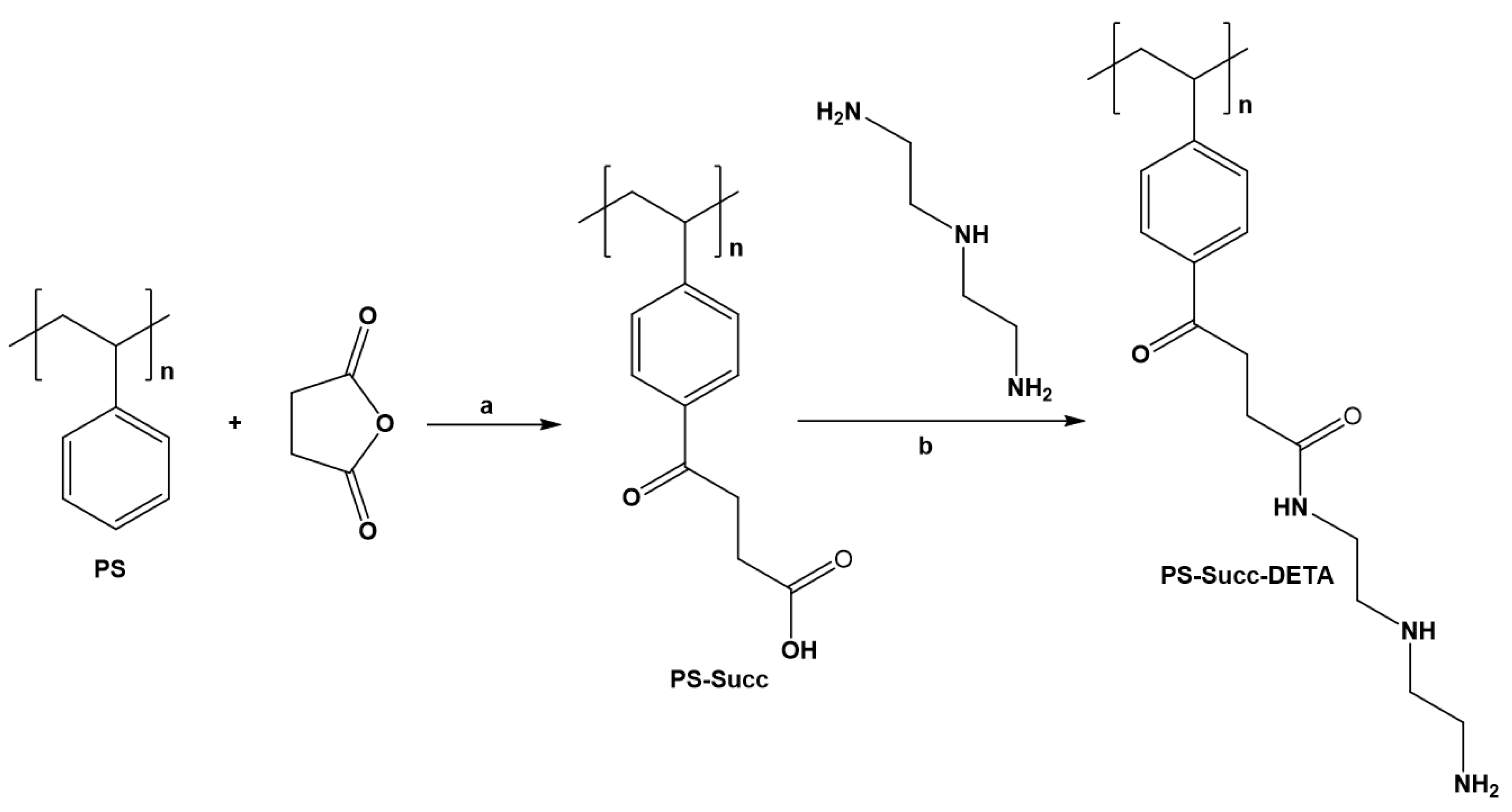
2.1. Preparation of PS-Succ
2.2. Preparation of PS-Succ-DETA
3. Results
3.1. Synthesis of PS-Succ-DETA
3.2. Characterization of PS-Succ-DETA
3.2.1. Zeta Potential
3.2.2. TGA of PS and PS-Succ-DETA
3.2.3. Infrared Spectra of PS-Succ-DETA
3.2.4. BET-Specific Surface Area of PS and PS-Succ-DETA
3.3. Adsorption Studies
3.3.1. Effect of pH
3.3.2. Effect of Adsorbent Dose
3.3.3. Effect of Contact Time and Initial Anion Concentration
3.3.4. Effect of Temperature
3.3.5. Bibliographic Comparison
3.3.6. Adsorption Isotherms
3.3.7. Adsorption Kinetics
3.3.8. Adsorption Thermodynamics
3.4. Adsorption Mechanism
3.5. Field Tests
3.6. Desorption Tests
4. Conclusions
Author Contributions
Funding
Data Availability Statement
Conflicts of Interest
References
- Weightman, R.M.; Hudson, E.M. Nitrate as a Contaminant in Leafy Crop Species. Food Energy Secur. 2013, 2, 141–156. [Google Scholar] [CrossRef]
- Wang, H.; Lu, K.; Shen, C.; Song, X.; Hu, B.; Liu, G. Human health risk assessment of groundwater nitrate at a two geomorphic units transition zone in northern China. J. Environ. Sci. 2021, 110, 38–47. [Google Scholar] [CrossRef] [PubMed]
- Wu, J.; Bian, J.; Wan, H.; Ma, Y.; Sun, X. Health risk assessment of groundwater nitrogen pollution in Songnen Plain. Ecotoxicol. Environ. Saf. 2021, 207, 111245. [Google Scholar] [CrossRef] [PubMed]
- Zhang, Y.; Wu, J.; Xu, B. Human health risk assessment of groundwater nitrogen pollution in Jinghui canal irrigation area of the loess region, northwest China. Environ. Earth Sci. 2018, 77, 273. [Google Scholar] [CrossRef]
- Khan, A.F.; Srinivasamoorthy, K.; Prakash, R.; Gopinath, S.; Saravanan, K.; Vinnarasi, F.; Babu, C.; Rabina, C. Human health risk assessment for fluoride and nitrate contamination in the groundwater: A case study from the east coast of Tamil Nadu and Puducherry, India. Environ. Earth Sci. 2021, 80, 724. [Google Scholar] [CrossRef]
- Park, S.M.; Rhee, M.S. Prevalence and phylogenetic traits of nitrite-producing bacteria in raw ingredients and processed baby foods: Potential sources of foodborne infant methemoglobinemia. Food Res. Int. 2024, 178, 113966. [Google Scholar] [CrossRef]
- Chiu, H.F.; Tsai, S.S.; Yang, C.Y. Nitrate in Drinking Water and Risk of Death from Bladder Cancer: An Ecological Case-Control Study in Taiwan. J. Toxicol. Environ. Health A 2007, 70, 1607–1614. [Google Scholar] [CrossRef]
- Ward, M.H.; DeKok, T.M.; Levallois, P.; Brender, J.; Gulis, G.; Nolan, B.T.; VanDerslice, J. Workgroup Report: Drinking-Water Nitrate and Health—Recent Findings and Research Needs. Environ. Health Perspect. 2005, 113, 1607–1614. [Google Scholar] [CrossRef]
- World Health Organization. Guidelines for Drinking Water Quality; World Health Organization: Geneva, Switzerland, 2011. [Google Scholar]
- Wang, J.; Huang, J.J.; Zhou, Y.; Liao, Y.; Li, S.; Zhang, B.; Feng, S. Synchronous N and P Removal in Carbon-Coated Nanoscale Zerovalent Iron Autotrophic Denitrification—The Synergy of the Carbon Shell and P Removal. Environ. Sci. Technol. 2022, 56, 13314–13326. [Google Scholar] [CrossRef]
- Fajardo, A.S.; Westerhoff, P.; Sanchez-Sanchez, C.M.; Garcia-Segura, S. Earth-abundant elements a sustainable solution for electrocatalytic reduction of nitrate. Appl. Catal. B Environ. 2021, 281, 119465. [Google Scholar] [CrossRef]
- Wang, L.; Fu, W.; Zhuge, Y.; Wang, J.; Yao, F.; Zhong, W.; Ge, X. Synthesis of polyoxometalates (POM)/TiO2/Cu and removal of nitrate nitrogen in water by photocatalysis. Chemosphere 2021, 278, 130298. [Google Scholar] [CrossRef] [PubMed]
- Sun, D.; Hong, X.; Wu, K.; Hui, K.S.; Du, Y.; Hui, K.N. Simultaneous removal of ammonia and phosphate by electro-oxidation and electrocoagulation using RuO2–IrO2/Ti and microscale zero-valent iron composite electrode. Water Res. 2020, 169, 115239. [Google Scholar] [CrossRef] [PubMed]
- Jiang, Z.; Wu, J.; Liu, X.; Yu, H.; Jiao, C.; Shen, J.; Pei, Y. Facile synthesis of MgAl layered double hydroxides by a coprecipitation method for efficient nitrate removal from water: Kinetics and mechanisms. New J. Chem. 2021, 45, 14580–14588. [Google Scholar] [CrossRef]
- Gao, Q.; Wang, C.Z.; Liu, S.; Hanigan, D.; Liu, S.T.; Zhao, H.Z. Ultrafiltration membrane microreactor (MMR) for simultaneous removal of nitrate and phosphate from water. Chem. Eng. J. 2019, 355, 238–246. [Google Scholar] [CrossRef]
- Scholes, R.C.; Vega, M.A.; Sharp, J.O.; Sedlak, D.L. Nitrate removal from reverse osmosis concentrate in pilot-scale open-water unit process wetlands. Environ. Sci. Wat Res. Technol. 2021, 7, 650–661. [Google Scholar] [CrossRef]
- Abbach, W.; Laghlimi, C.; Isaad, J. Simultaneous adsorption of cationic and anionic dyes by raw pomegranate peel: Modeling of equilibrium, kinetical and thermodynamical studies. Moroc. J. Chem. 2023, 11, 832–853. [Google Scholar] [CrossRef]
- Druet, J.; El Achari, A.; Isaad, J. Efficient removal of heavy metals from aqueous solution by chitosan-coated geotextiles based on polyethylene terephthalate. Res. Chem. Intermed. 2015, 41, 8855–8876. [Google Scholar] [CrossRef]
- Karthikeyan, P.; Meenakshi, S. Fabrication of hybrid chitosan encapsulated magnetic-kaolin beads for adsorption of phosphate and nitrate ions from aqueous solutions. Int. J. Biol. Macromol. 2021, 168, 750–759. [Google Scholar] [CrossRef]
- Karthikeyan, P.; Elanchezhiyan, S.S.D.; Preethi, J.; Talukdar, K.; Meenakshi, S.; Park, C.M. Two-dimensional (2D) Ti3C2Tx MXene nanosheets with superior adsorption behavior for phosphate and nitrate ions from the aqueous environment. Ceram. Int. 2021, 47, 732–739. [Google Scholar] [CrossRef]
- Han, L.; Wang, Y.; Zhao, W.; Zhang, H.; Guo, F.; Wang, T.; Wang, W. Cost-effective and eco-friendly superadsorbent derived from natural calcium-rich clay for ultraefficient phosphate removal in diverse waters. Sep. Purif. Technol. 2022, 297, 121516. [Google Scholar] [CrossRef]
- Isaad, J.; El Achari, A. Preparation of aminated magnetite/SiO2/chitosan core-shell nanoparticles for efficient adsorption of nitrate and phosphate anions in water. Int. J. Environ. Anal. Chem. 2021, 104, 43–72. [Google Scholar] [CrossRef]
- Mokrzycki, J.; Fedyna, M.; Marzec, M.; Panek, R.; Szerement, J.; Marcińska-Mazur, L.; Jarosz, R.; Bajda, T.; Franus, W.; Mierzwa-Hersztek, M. The influence of zeolite X ion-exchangeable forms and impregnation with copper nitrate on the adsorption of phosphate ions from aqueous solutions. J. Water Process Eng. 2022, 50, 103299. [Google Scholar] [CrossRef]
- Jones, S.E.; Ding, Y.; Sabatini, D.A.; Butler, E.C. Nitrate Uptake by Cellulose-Based Anion Exchange Polymers Derived from Wheat Straw. Water 2023, 15, 3594. [Google Scholar] [CrossRef]
- Qiu, H.; Ye, M.; Zeng, Q.; Li, W.; Fortner, J.; Liu, L.; Yang, L. Fabrication of agricultural waste supported UiO-66 nanoparticles with high utilization in phosphate removal from water. Chem. Eng. J. 2019, 360, 621–630. [Google Scholar] [CrossRef]
- Abbach, W.; Laghlimi, C.; Isaad, J. Amine-Grafted Pomegranate Peels for the Simultaneous Removal of Nitrate and Phosphate Anions from Wastewater. Sustainability 2023, 15, 13991. [Google Scholar] [CrossRef]
- Nayanathara Thathsarani Pilapitiya, P.G.C.; Ratnayake, A.S. The world of plastic waste: A review. Clean. Mater. 2024, 11, 100220. [Google Scholar] [CrossRef]
- Panias, D.; Giannopoulou, I.P.; Perraki, T. Effect of synthesis parameters on the mechanical properties of fly ash-based geopolymers. Colloids Surf. A Physicochem. Eng. Asp. 2007, 301, 246–254. [Google Scholar] [CrossRef]
- Sen, T.K. Agricultural Solid Wastes Based Adsorbent Materials in the Remediation of Heavy Metal Ions from Water and Wastewater by Adsorption: A Review. Molecules 2023, 28, 5575. [Google Scholar] [CrossRef]
- Öztürk, N.; Bektaş, T.E. Nitrate removal from aqueous solution by adsorption onto various materials. J. Hazard. Mater. 2024, 112, 155–162. [Google Scholar] [CrossRef]
- Yang, W.; Wang, J.; Shi, X.; Tang, H.; Wang, X.; Wang, S.; Zhang, W.; Lu, J. Preferential Nitrate Removal from Water Using a New Recyclable Polystyrene Adsorbent Functionalized with Triethylamine Groups. Ind. Eng. Chem. Res. 2020, 59, 5194–5201. [Google Scholar] [CrossRef]
- Wang, L.; Liu, S.; Xuan, W.; Li, S.; Wei, A. Efficient Nitrate Adsorption from Groundwater by Biochar-Supported Al-Substituted Goethite. Sustainability 2022, 14, 7824. [Google Scholar] [CrossRef]
- Karthikeyan, P.; Sirajudheen, P.; Nikitha, M.R.; Meenakshi, S. Removal of phosphate and nitrate via a zinc ferrite@activated carbon hybrid composite under batch experiments: Study of isotherm and kinetic equilibriums. Environ. Nanotechnol. Monit. Manag. 2020, 14, 100378. [Google Scholar] [CrossRef]
- Aswin Kumar, I.; Viswanathan, N. Development and Reuse of Amine-Grafted Chitosan Hybrid Beads in the Retention of Nitrate and Phosphate. J. Chem. Eng. Data 2018, 63, 147–158. [Google Scholar] [CrossRef]
- Stjepanović, M.; Velić, N.; Habuda-Stanić, M. Modified Hazelnut Shells as a Novel Adsorbent for the Removal of Nitrate from Wastewater. Water 2022, 14, 816. [Google Scholar] [CrossRef]
- Langmuirm, I. The adsorption of gases on plane surfaces of glass, mica, and platinum. J. Am. Chem. Soc. 1918, 40, 1361–1403. [Google Scholar] [CrossRef]
- Freundlich, H.M.F. Over the adsorption in solution. J. Phys. Chem. 1906, 57, 1100–1107. [Google Scholar]
- Temkin, M.I.; Pyzhev, V. Kinetics of Ammonia Synthesis on Promoted Iron Catalysts. Acta Physicochimica U.R.S.S. 1940, 12, 327–356. [Google Scholar]
- Sips, R. On the Structure of a Catalyst Surface. J. Chem. Phys. 1948, 16, 490–495. [Google Scholar] [CrossRef]
- Stadler, S.; Osenbrück, K.; Knöller, K.; Suckow, A.; Sültenfuß, J.; Oster, H.; Himmelsbach, T.; Hötzl, H. Understanding the origin and fate of nitrate in groundwater of semiarid environments. J. Arid. Environ. 2008, 72, 1830–1842. [Google Scholar] [CrossRef]
- Günay, A.; Arslankaya, E.; Tosun, İ. Lead removal from aqueous solution by natural and pretreated clinoptilolite: Adsorption equilibrium and kinetics. J. Hazard. Mater. 2007, 146, 362–371. [Google Scholar] [CrossRef]
- Atkins, P. Physical Chemistry, 6th ed.; Oxford University Press: London, UK, 1999; p. 857. [Google Scholar]
- Chen, J.; Wu, H.; Qian, H. Groundwater Nitrate Contamination and Associated Health Risk for the Rural Communities in an Agricultural Area of Ningxia, Northwest China. Expo. Health 2016, 8, 349–359. [Google Scholar] [CrossRef]
- Al-Ghouti, M.A.; Li, J.; Salamh, Y.; Al-Laqtah, N.; Walker, G.; Ahmad, M.N.M. Adsorption mechanisms of removing heavy metals and dyes from aqueous solution using date pits solid adsorbent. J. Hazard. Mater. 2010, 176, 510–520. [Google Scholar] [CrossRef] [PubMed]
- Golestanifar, H.; Asadi, A.; Alinezhad, A.; Haybati, B.; Vosoughi, M. Isotherm and kinetic studies on the adsorption of nitrate onto nanoalumina and iron-modified pumice. Desalin Water Treat. 2016, 57, 5480–5487. [Google Scholar] [CrossRef]
- Al-Khateeb, L.A.; Hakami, W.; Abdel Salam, M.; Sanari, J.A.; El-Shaheny, R.; El-Maghrabey, M. Solid phase-fabrication of magnetically separable Fe3O4@graphene nanoplatelets nanocomposite for efficient removal of NSAIDs from wastewater. Perception of adsorption kinetics, thermodynamics, and extra-thermodynamics. Anal. Chim. Acta 2022, 1223, 340158. [Google Scholar] [CrossRef]











| PS | PS-Succ-DETA | |
|---|---|---|
| BET surface area (m2/g) | 14.94 | 15.88 |
| Average pore diameter (nm) | 32.45 | 51.64 |
| Total ion exchange capacity (meq/g) | n.d | 6.18 |
| Adsorbents | Conditions | qe (mg.g−1) | Ref |
|---|---|---|---|
| Grafted tri-alkyl-amine onto polystyrene | pH 7 | 44.92 | [31] |
| Biochar-Supported Aluminum-Substituted Goethite | pH 4–8 | 96.14 | [32] |
| Magnetite-silica-chitosan-amine nanoparticles | pH 6 | 112.5 | [33] |
| Zinc ferrite on activated carbon support | Acidic pH | 75.58 | [34] |
| Magnetic amine-grafted chitosan composites | pH 5 | 38.40 | [34] |
| Ethylenediamine grafted on hazelnut shells | pH 4–7 | 25.79 | [35] |
| AEAPTES grafted on Pomegranate Peels | pH 6 | 124.57 | [26] |
| Grafted diethylene triamine onto polystyrene | pH 6 | 195.65 | This work |
| Isotherm Models | Parameter | Value (Nitrate) |
|---|---|---|
| Langmuir | qmax (mg/g) | 195.34 |
| KL (L/mg) | 0.036 | |
| R2 | 0.998 | |
| RL | 0.112 | |
| Freundlich | KF (mg/g) (L/mg)1/n | 7.568 |
| nF | 4.054 | |
| R2 | 0.905 | |
| Temkin | KT (L/mg) | 2.994 |
| B (J/mol) | 59.665 | |
| R2 | 0.885 | |
| Dubinin–Radushkevich | qs (mg/g) | 128.74 |
| KDR (mol2/J2) | 6.96 × 10–6 | |
| E(D-R) (kJ/mol) | 6.325 | |
| R2 | 0.892 | |
| Sips | qm (mg g−1) | 114.72 |
| KS (L·mg−1) | 0.314 | |
| n | 4.113 | |
| R2 | 0.919 | |
| RMS | 12.975 |
| Concentration (mg.L−1) | 50 | 100 | 150 |
| qe (exp) mg.g−1 | 108.21 | 136.82 | 195.65 |
| Pseudofirst order | |||
| k1 (10−2)(min−1) | 0.0405 | 0.0356 | 0.0312 |
| qe cal (mg.g−1) | 55.85 | 74.11 | 95.34 |
| R2 | 0.925 | 0.932 | 0.938 |
| Pseudosecond order | |||
| k2 (10−3) (g.mg−1. Min−1) | 0.0265 | 0.0195 | 0.0134 |
| qe cal (mg. g−1) | 107.89 | 136.94 | 195.31 |
| R2 | 0.999 | 0.998 | 0.999 |
| Elovich | |||
| A (mg.g−1. Min−1) | 23.2885 | 21.0547 | 53.6566 |
| β (g.mg−1) | 0.825 | 0.681 | 0.503 |
| R2 | 0.901 | 0.905 | 0.914 |
| ΔG° (KJ/mol) | ΔH° (KJ/mol) | ΔS° (J/Kmol) | |||
| Anions | 303 K | 313 K | 323 K | ||
| NO3− | −10.02. | −9.73 | −9.44 | −18.76 | −28.83 |
| Parameters of the Water Quality | PS-Succ-DETA | |
|---|---|---|
| Before | After | |
| pH | 6.11 | 6.45 |
| NO3− (mg/L) | 50.21 | Nil |
| Cl− (mg/L) | 314.41 | 168.23 |
| SO42− (mg/L) | 224.65 | 97.74 |
| CO32− | 124.24 | 58.14 |
| Br− | 90.84 | 51.42 |
Disclaimer/Publisher’s Note: The statements, opinions and data contained in all publications are solely those of the individual author(s) and contributor(s) and not of MDPI and/or the editor(s). MDPI and/or the editor(s) disclaim responsibility for any injury to people or property resulting from any ideas, methods, instructions or products referred to in the content. |
© 2024 by the authors. Licensee MDPI, Basel, Switzerland. This article is an open access article distributed under the terms and conditions of the Creative Commons Attribution (CC BY) license (https://creativecommons.org/licenses/by/4.0/).
Share and Cite
Anannaz, M.; Tafraout, F.; Laghlimi, C.; Ouaabou, R.; Isaad, J. A New Generation of Porous Polymer Materials from Polystyrene Waste: Synthesis and Adsorption of Nitrate Anions in Aqueous Media. Organics 2024, 5, 561-574. https://doi.org/10.3390/org5040029
Anannaz M, Tafraout F, Laghlimi C, Ouaabou R, Isaad J. A New Generation of Porous Polymer Materials from Polystyrene Waste: Synthesis and Adsorption of Nitrate Anions in Aqueous Media. Organics. 2024; 5(4):561-574. https://doi.org/10.3390/org5040029
Chicago/Turabian StyleAnannaz, Mohamed, Fatiha Tafraout, Charaf Laghlimi, Rachida Ouaabou, and Jalal Isaad. 2024. "A New Generation of Porous Polymer Materials from Polystyrene Waste: Synthesis and Adsorption of Nitrate Anions in Aqueous Media" Organics 5, no. 4: 561-574. https://doi.org/10.3390/org5040029
APA StyleAnannaz, M., Tafraout, F., Laghlimi, C., Ouaabou, R., & Isaad, J. (2024). A New Generation of Porous Polymer Materials from Polystyrene Waste: Synthesis and Adsorption of Nitrate Anions in Aqueous Media. Organics, 5(4), 561-574. https://doi.org/10.3390/org5040029

