Bispidine-Based Macrocycles: Achievements and Perspectives
Abstract
1. Introduction
2. Macrocycles with One Bispidine Fragment
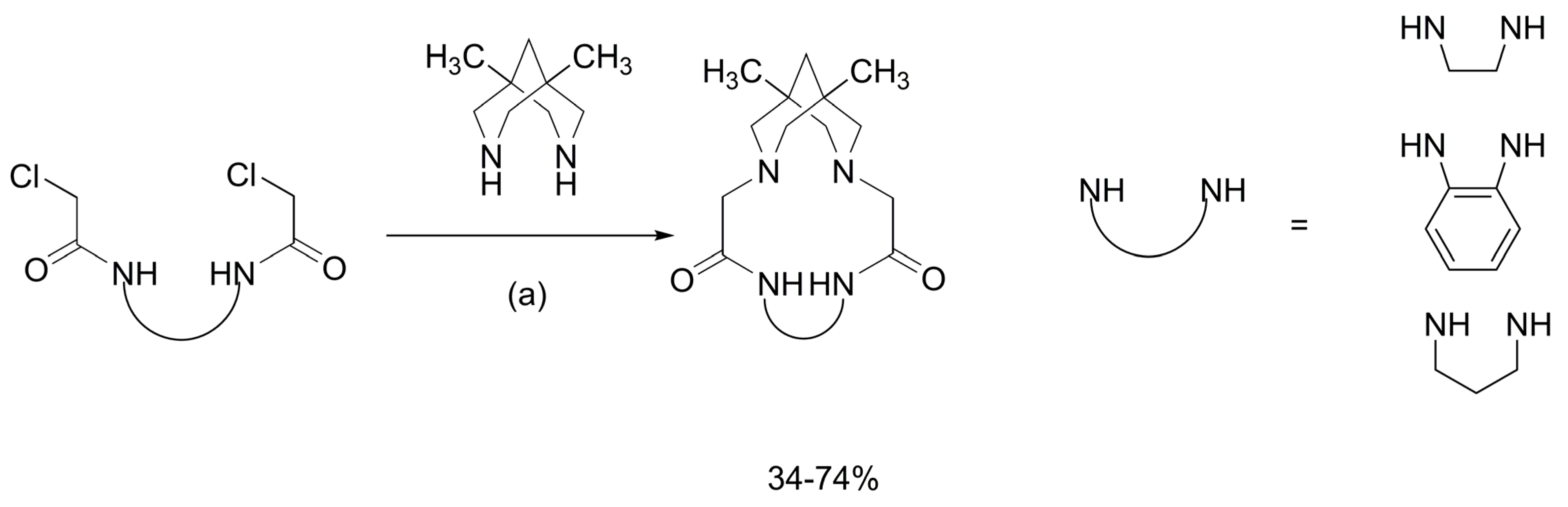
2.1. Full-Amide Macrocycles
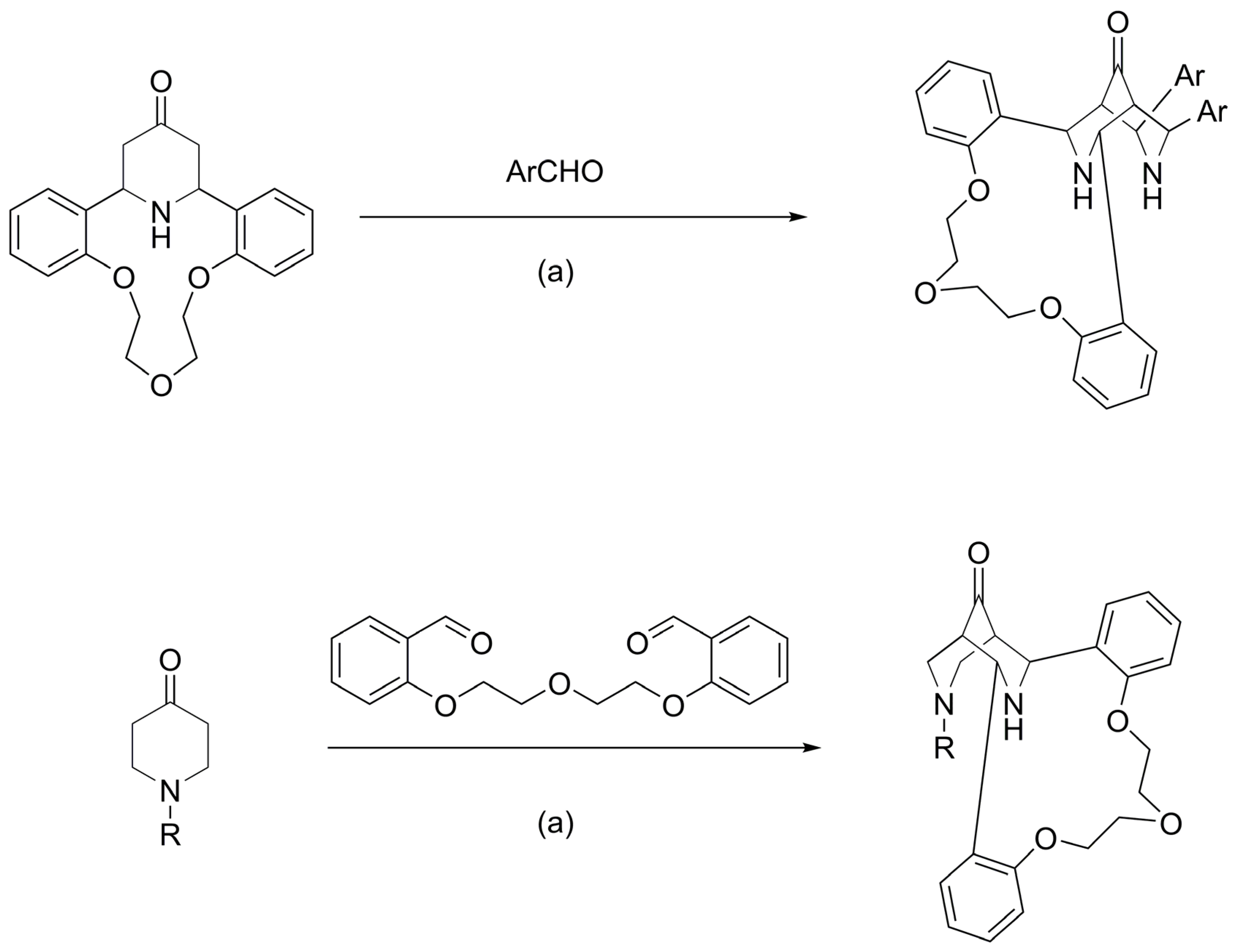
2.2. Mixed Amide-Amine Macrocycles
2.3. Full-Amine Macrocycles
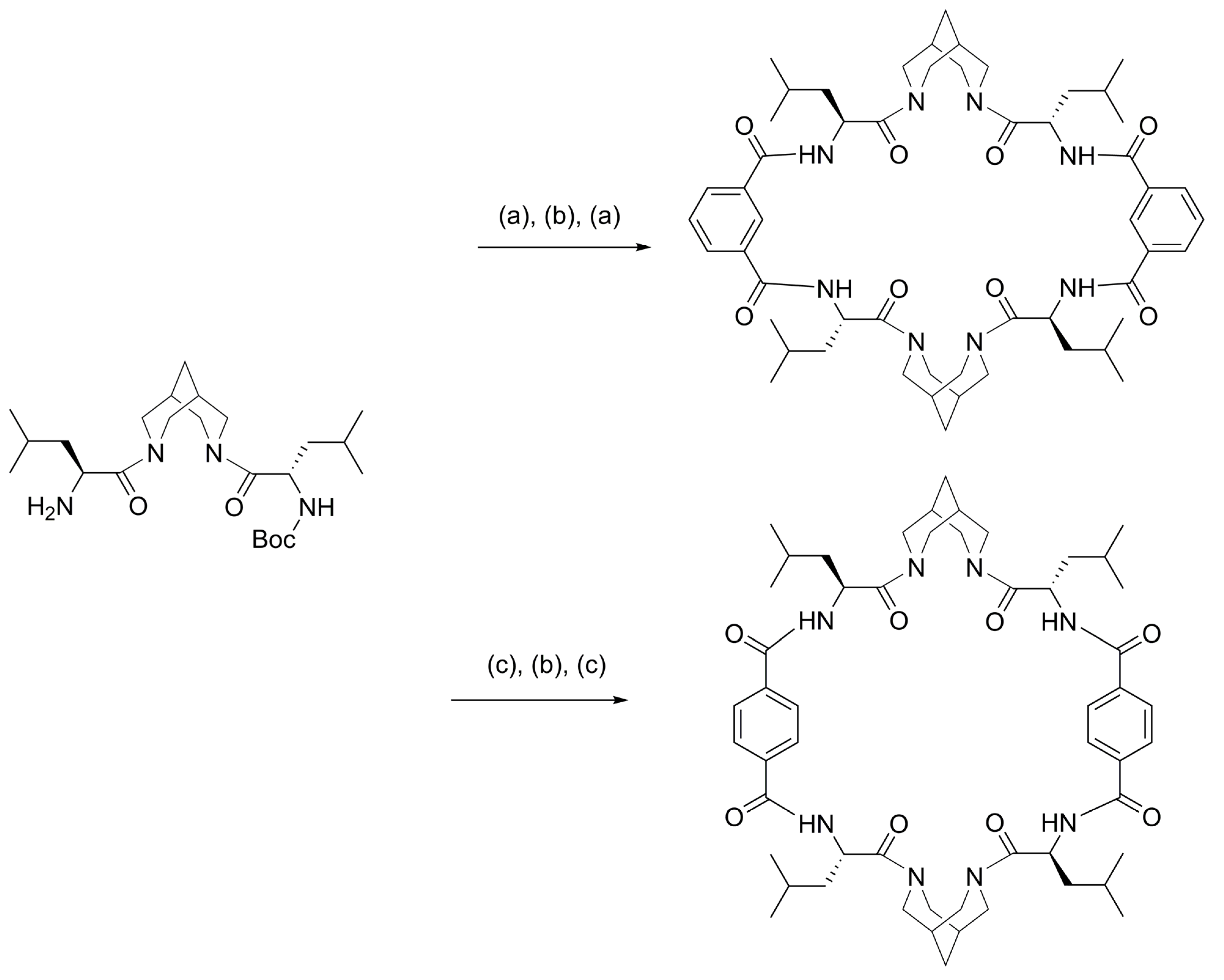
3. Macrocycles with Two or More Bispidine Fragments
3.1. Full-Amide Macrocycles
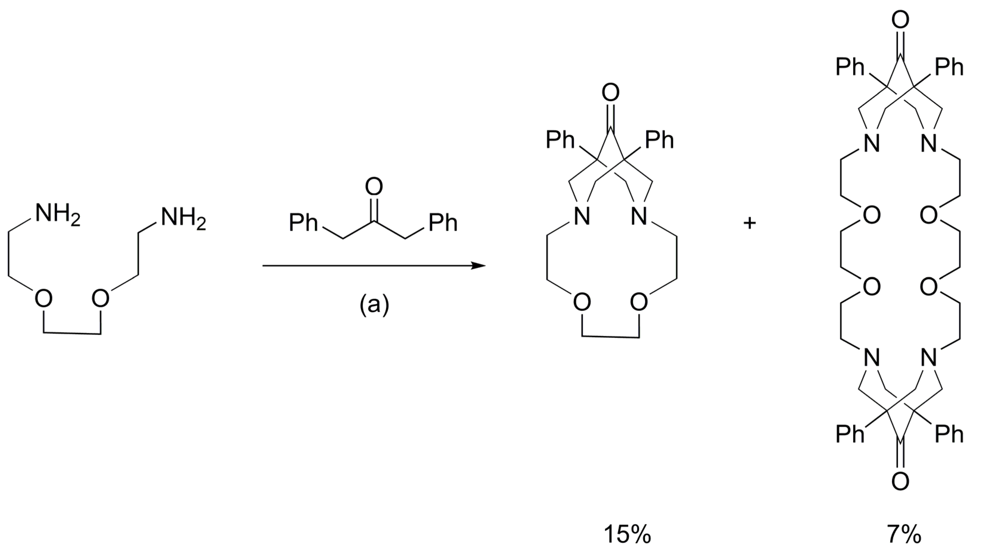
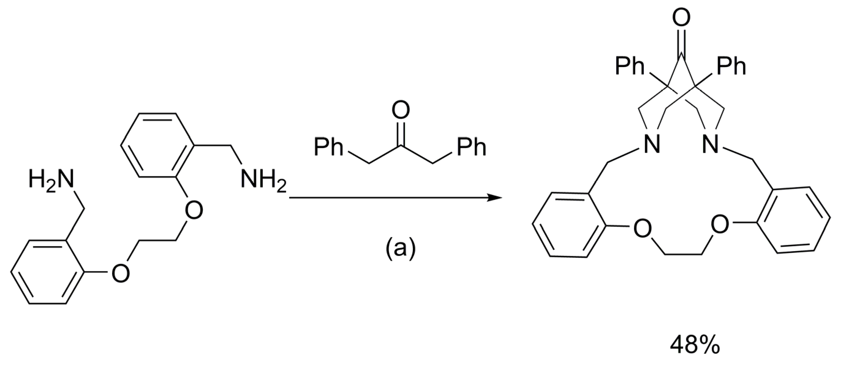
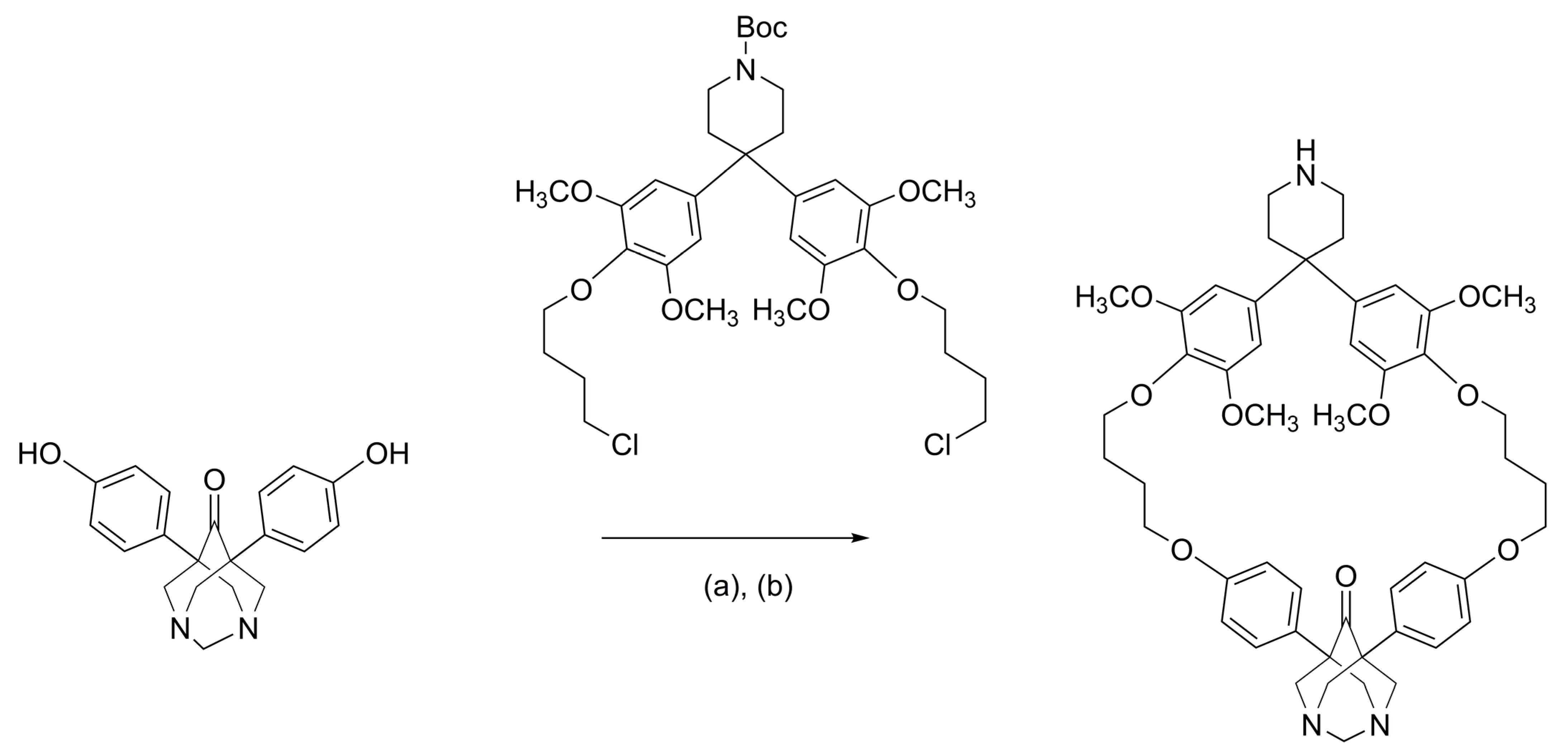
3.2. Full-Amine Macrocycles
4. Concluding Remarks
Author Contributions
Funding
Data Availability Statement
Conflicts of Interest
References
- Shemyakin, M.; Ovchinnikov, Y.; Ivanov, V.; Antonov, V.; Shkrob, A.; Mikhaleva, I.; Evstratov, A.; Malenkov, G. The physicochemical basis of the functioning of biological membranes: Conformational specificity of the interaction of cyclodepsipeptides with membranes and of their complexation with alkali metal ions. Biochem. Biophys. Res. Commun. 1967, 29, 834–841. [Google Scholar] [CrossRef]
- Shemyarkin, M.M.; Ovchinnikov, Y.A.; Ivanov, V.T.; Kiryushkin, A.A.; Zhdanov, G.L.; Ryabova, I.D.; Shemyakin, M.M. The structure-antimicrobial relation of depsipeptides. Experientia 1963, 19, 566–568. [Google Scholar] [CrossRef] [PubMed]
- Antipin, I.S.; Alfimov, M.V.; Arslanov, V.V.; Burilov, V.A.; Vatsadze, S.Z.; Voloshin, Y.Z.; Volcho, K.P.; Gorbatchuk, V.V.; Gorbunova, Y.G.; Gromov, S.P.; et al. Functional supramolecular systems: Design and applications. Russ. Chem. Rev. 2021, 90, 895–1107. [Google Scholar] [CrossRef]
- Neri, P.; Sessler, J.L.; Wang, M.-X. (Eds.) Calixarenes and Beyond; Springer International Publishing: Cham, Switzerland, 2016. [Google Scholar]
- Gloe, K. (Ed.) Macrocyclic Chemistry: Current Trends and Future Perspectives; Springer: Dordrecht, The Netherlands, 2005. [Google Scholar]
- Davis, F.; Higson, S. Macrocycles: Construction, Chemistry and Nanotechnology Applications; Wiley: Hoboken, NJ, USA, 2011. [Google Scholar]
- Liu, Y.; Chen, Y.; Zhang, H.-Y. (Eds.) Handbook of Macrocyclic Supramolecular Assembly; Springer: Singapore, 2020. [Google Scholar]
- Yudin, A.K. Macrocycles: Lessons from the distant past, recent developments, and future directions. Chem. Sci. 2014, 6, 30–49. [Google Scholar] [CrossRef]
- Koifman, O.I.; Ageeva, T.A.; Beletskaya, I.P.; Averin, A.D.; Yakushev, A.A.; Tomilova, L.G.; Dubinina, T.V.; Tsivadze, A.Y.; Gorbunova, Y.G.; Martynov, A.G.; et al. Macroheterocyclic Compounds—A Key Building Block in New Functional Materials and Molecular Devices. Macroheterocycles 2020, 13, 311–467. [Google Scholar] [CrossRef]
- Vatsadze, S.Z.; Maximov, A.L.; Bukhtiyarov, V.I. Supramolecular Effects and Systems in Catalysis. A Review. Dokl. Chem. 2022, 502, 1–27. [Google Scholar] [CrossRef]
- Olivo, G.; Capocasa, G.; Del Giudice, D.; Lanzalunga, O.; Di Stefano, S. New horizons for catalysis disclosed by supramolecular chemistry. Chem. Soc. Rev. 2021, 50, 7681–7724. [Google Scholar] [CrossRef]
- Gleiter, R.; Hopf, H. (Eds.) Modern Cyclophane Chemistry; Wiley: Hoboken, NJ, USA, 2004. [Google Scholar]
- Diaz, D.B.; Appavoo, S.D.; Bogdanchikova, A.F.; Lebedev, Y.; McTiernan, T.J.; dos Passos Gomes, G.; Yudin, A.K. Faculty Opinions recommendation of Illuminating the dark conformational space of macrocycles using dominant rotors. Nat. Chem. 2021, 13, 218–225. [Google Scholar] [CrossRef]
- Levin, J. (Ed.) Macrocycles in Drug Discovery; Royal Society of Chemistry: Cambridge, UK, 2014. [Google Scholar]
- Marsault, E.; Peterson, M.L. (Eds.) Practical Medicinal Chemistry with Macrocycles; John Wiley & Sons, Inc.: Hoboken, NJ, USA, 2017. [Google Scholar]
- Hametner, C.; Dangl, D.; Mereiter, K.; Marchetti, M.; Fröhlich, J. Synthesis of New Tricyclic Spirobispidines via Ring Closing Metathesis Reaction. Heterocycles 2007, 71, 2331. [Google Scholar] [CrossRef]
- Medved’Ko, A.; Krut’Ko, D.; Gaisen, S.; Churakov, A.; Minyaev, M.; Moiseeva, A.; Lemenovsky, D.; Yu, H.; Wang, L.; Vatsadze, S. First examples of bispidine-ferrocene cyclophanes. J. Organomet. Chem. 2021, 949, 121945. [Google Scholar] [CrossRef]
- Krut’ko, D.P.; Medved’ko, A.V.; Lyssenko, K.A.; Churakov, A.V.; Dalinger, A.I.; Kalinin, M.A.; Gudovannyy, A.O.; Ponomarev, K.Y.; Suslov, E.V.; Vatsadze, S.Z. Bispidine Platform as a Tool for Studying Amide Configuration Stability. Molecules 2022, 27, 430. [Google Scholar] [CrossRef] [PubMed]
- Gaisen, S.V.; Medved’ko, A.V.; Vatsadze, S.Z. Synthesis of Chiral Macrocycles Based on Bispidine. Russ. J. Org. Chem. 2023, 59, 417–421. [Google Scholar] [CrossRef]
- Lavrov, M.I.; Stroganov, O.V.; Zamoyski, V.L.; Grigoriev, V.V.; Zapolskiy, M.E.; Sysolyatin, S.V.; Malykhin, V.V.; Surmachev, V.N.; Palyulin, V.A. Synthesis of an allosteric modulator of ionotropic glutamate receptors. Mendeleev Commun. 2020, 30, 156–158. [Google Scholar] [CrossRef]
- Lavrov, M.I.; Karlov, D.S.; Palyulin, V.A.; Grigoriev, V.V.; Zamoyski, V.L.; Brkich, G.E.; Pyatigorskaya, N.V.; Zapolskiy, M.E. Novel positive allosteric modulator of AMPA-receptors based on tricyclic scaffold. Mendeleev Commun. 2018, 28, 311–313. [Google Scholar] [CrossRef]
- Lavrov, M.I.; Veremeeva, P.N.; Karlov, D.S.; Zamoyski, V.L.; Grigoriev, V.V.; Palyulin, V.A. Tricyclic derivatives of bispidine as AMPA receptor allosteric modulators. Mendeleev Commun. 2019, 29, 619–621. [Google Scholar] [CrossRef]
- Comba, P.; Kubeil, M.; Pietzsch, J.; Rudolf, H.; Stephan, H.; Zarschler, K. Bispidine Dioxotetraaza Macrocycles: A New Class of Bispidines for 64Cu PET Imaging. Inorg. Chem. 2014, 53, 6698–6707. [Google Scholar] [CrossRef]
- Komarova, A.I.; Levov, A.N.; Soldatenkov, A.T.; Soldatova, S.A. On the synthesis of the first representatives of bis(benzo)bispidinoaza-14-crown-4 ethers. Chem. Heterocycl. Compd. 2008, 44, 624–625. [Google Scholar] [CrossRef]
- Kolyadina, N.M.; Sokol, V.I.; Kvartalov, V.B.; Davydov, V.V.; Fomicheva, E.A.; Soldatenkov, A.T.; Sergienko, V.S. Synthesis of a new aza-14-crown-4 with di(α-pyridyl)-substituted bispidine subunit and the crystal structure of its complex with CoCl2. Russ. J. Inorg. Chem. 2013, 58, 671–677. [Google Scholar] [CrossRef]
- Anh, L.T.; Hieu, T.H.; Soldatenkov, A.T.; Kolyadina, N.M.; Khrustalev, V.N. 24-Acetyl-8,11,14-trioxa-24,27-diazapentacyclo[19.5.1.122,26.02,7.015,20]octacosa-2,4,6,15(20),16,18-hexaen-28-one. Acta Crystallogr. Sect. E Struct. Rep. Online 2012, 68, o2165–o2166. [Google Scholar] [CrossRef]
- Hieu, T.H.; Anh, L.T.; Soldatenkov, A.T.; Tuyen, N.V.; Khrustalev, V.N. Crystal structure of (1RS,21SR,22RS,24SR)-28-oxo-24-propyl-8,11,14-trioxa-24,27-diazapentacyclo[19.5.1.122,26.02,7.015,20]octacosa-2,4,6,15(20),16,18-hexaene acetic acid monosolvate. Acta Crystallogr. Sect. E Crystallogr. Commun. 2016, 72, 829–832. [Google Scholar] [CrossRef]
- Hieu, T.H.; Anh, L.T.; Soldatenkov, A.T.; Kolyadina, N.M.; Khrustalev, V.N. Dimethyl 2-[24-acetyl-28-oxo-8,11,14-trioxa-24,27-diazapentacyclo[19.5.1.122,26.02,7.015,20]octacosa-2,4,6,15(20),16,18-hexaen-27-yl]but-2-enedioate. Acta Crystallogr. Sect. E Struct. Rep. Online 2012, 68, o2431–o2432. [Google Scholar] [CrossRef]
- Sokol, V.I.; Kolyadina, N.M.; Kvartalov, V.B.; Sergienko, V.I.; Soldatenkov, A.T.; Davydov, V.V. Synthesis and molecular structure of the complex of cobalt(II) chloride with bis(α-pyridyl)substituted bispidinoazo-14-crown-4-ether. Russ. Chem. Bull. 2011, 10, 2086–2088. [Google Scholar] [CrossRef]
- Sokol, V.I.; Kvartalov, V.B.; Kolyadina, N.M.; Sergienko, V.S.; Soldatenkov, A.T.; Davydov, V.V.; Drogova, G.M. Synthesis and crystal and molecular structures of new copper and zinc complexes with aza-14-crown-4 ether having di(α-pyridyl)-substituted bispidine subunit. Russ. J. Inorg. Chem. 2014, 59, 1094–1100. [Google Scholar] [CrossRef]
- Polyakova, I.N.; Sergienko, V.S.; Kvartalov, V.B.; Kolyadina, N.M.; Sokol, V.I. Crystal and molecular structure of the mercury dichloride complex with the macrocyclic dibenzo-aza-14-crown-4 ether ligand containing the embedded Di(α-pyridyl)bispidone fragment, [Hg(L)Cl2]. Russ. J. Inorg. Chem. 2016, 61, 168–173. [Google Scholar] [CrossRef]
- Polyakova, I.N.; Sokol, V.I.; Sergienko, V.I.; Kolyadina, N.M.; Kvartalov, V.B.; Polyanskaya, N.A. Crystal structure of a nickel(II) complex with a macrocyclic dibenzo-aza-14-crown-4-ether ligand containing an inserted di(α-pyridyl)bispidone. Kristallographia 2018, 63, 401–406. [Google Scholar]
- Zefirov, N.S.; Palyulin, V.A.; Chemodanova, S.V.; Samoshin, V.V. One-step Synthesis of a Pentacyclic Structure. Novel Crown Compounds Incorporating 3,7-Diazabicyclo[3.3.1]nonane Moieties. Mendeleev Commun. 1992, 2, 162–163. [Google Scholar] [CrossRef]
- Black, D.S.C.; Horsham, M.A.; Rose, M. Synthesis of new macrocyclic bispidinone ionophores. Tetrahedron 1995, 51, 4819–4828. [Google Scholar] [CrossRef]
- Black, D.S.C.; Craig, D.C.; Horsham, M.A.; Rose, M. Molecular structure of a macrocyclic bispidinone 15,18-diphenyl-4,7,10-trioxa-1,13-diazatricyclo[11.3.3.115,18]eicosan-20-one. Chem. Commun. 1996, 17, 2093. [Google Scholar] [CrossRef]
- Carcanague, D.R.; Knobler, C.B.; Diederich, F. Water-soluble cyclophane receptors with convergent functional groups. J. Am. Chem. Soc. 1992, 114, 1515–1517. [Google Scholar] [CrossRef]
- Sharma, S.; Gopalakrishna, M.; Venugopalan, P.; Suresh, C.H.; Haridas, V. Stackabilization: Self-assembling bispidinophanes. Tetrahedron 2015, 71, 8302–8306. [Google Scholar] [CrossRef]
- Sharma, S.; Thorat, S.H.; Gonnade, R.G.; Jasinski, J.P.; Butcher, R.; Haridas, V. Engineering Molecular Topology: A Pseudopeptidic Macrocyclic Figure-Eight Motif. Eur. J. Org. Chem. 2017, 2017, 1120–1124. [Google Scholar] [CrossRef]
- Miyahara, Y.; Goto, K.; Inazu, T. Synthesis and Properties of a Novel Tetraazamacrocycle Containing Two Bispidine Units. Chem. Lett. 2000, 29, 620–621. [Google Scholar] [CrossRef]
- Comba, P.; Pritzkow, H.; Schiek, W. A Very Rigid Bis-bispidine Tetraazamacrocycle and Its Unusual Copper(II) Complex. Angew. Chem. Int. Ed. 2001, 40, 2465–2468. [Google Scholar] [CrossRef]
- Wang, Z.; Islam, M.J.; Vukotic, V.N.; Revington, M.J. Conformational Study of N,N′-Diacyl Bispidines and Dioxo Bis-bispidines: Planar Chirality and Molecular Switching. J. Org. Chem. 2016, 81, 2981–2986. [Google Scholar] [CrossRef]
- Miyahara, Y.; Goto, K.; Inazu, T. A novel hindered macrocyclic tetramine containing two bispidine units. A new type of proton sponge. Tetrahedron Lett. 2001, 42, 3097–3099. [Google Scholar] [CrossRef]
- Islam, J.; Miller, E.J.; Gordner, J.S.; Patel, D.; Wang, Z. Effective synthesis of bis-bispidinone and facile difunctionalization of highly rigid macrocyclic tetramines. Tetrahedron Lett. 2013, 54, 2133–2136. [Google Scholar] [CrossRef]
- Wang, Z.; Miller, E.J.; Scalia, S.J. Modular Synthesis of Functionalized Bis-bispidine Tetraazamacrocycles. Org. Lett. 2011, 13, 6540–6543. [Google Scholar] [CrossRef]
- Wang, Z.; Islam, M.J.; Vukotic, V.N. Structural analysis of bis-bispidine tetraazamacrocycle: Long-range weak interactions in a channeled organic crystal. J. Mol. Struct. 2015, 1081, 44–50. [Google Scholar] [CrossRef]
- Galasso, V.; Goto, K.; Miyahara, Y.; Kovač, B.; Klasinc, L. On the structure and spectroscopic properties of bispidine, N,N′-dimethylbispidine and a bis-bispidine macrocycle. Chem. Phys. 2002, 277, 229–240. [Google Scholar] [CrossRef]
- Carcanague, D.R.; Diederich, F. Large Water-Soluble Cyclophanes with Convergent Intracavity Functionality. Helv. Chim. Acta 1994, 77, 800–818. [Google Scholar] [CrossRef]
































| m (for n = 1) | Catalyst’s Generation | Double Bond Configuration | Yield |
|---|---|---|---|
| 2 | 1 | E | 53% |
| 3 | 1 | Z | 60% |
| 4 | 1 | Z:E = 2.6:1 | 51% |
| 2 | 2 | E | 80% |
| 3 | 2 | E | 79% |
| 4 | 2 | Z:E = 1.5:1 | 36% |
| Cycle Size | Full Amine | Full Amide | Amino-Amide |
|---|---|---|---|
| 10 | 10-NHN2CO | ||
| 11 | 11-N2H | 11-N2CO | |
| 13 | 13-N2H 13-N2HO2 | 13-N2CO | 13-N2HN2CO |
| 14 | 14-N4H 14-NHO3 * | 14-N2HN2CO | |
| 15 | 15-N2H 15-N2HO2 | 15-N2CO | |
| 16 | 16-N2HO3 | 16-N4COFe1 | |
| 18 | 18-N2HO3 | ||
| 19 | 19-N2HO4 19-N2HO4-38-O4-19-N2HO4 19-N2HO4-34-O4-19-N2HO4 | ||
| 20 | 20-N4CO 20-N4COFe2 | ||
| 21 | 21-N2HN2CO | ||
| 22 | 22-N2HO5 | 22-N2HN2CO | |
| 26 | 26-N4HO4 | ||
| 30 | 30-N6COFe3 | ||
| 32 | 32-N8CO | ||
| 34 | 34-N8CO | ||
| 50 | 50-N10COFe5 |
Disclaimer/Publisher’s Note: The statements, opinions and data contained in all publications are solely those of the individual author(s) and contributor(s) and not of MDPI and/or the editor(s). MDPI and/or the editor(s) disclaim responsibility for any injury to people or property resulting from any ideas, methods, instructions or products referred to in the content. |
© 2023 by the authors. Licensee MDPI, Basel, Switzerland. This article is an open access article distributed under the terms and conditions of the Creative Commons Attribution (CC BY) license (https://creativecommons.org/licenses/by/4.0/).
Share and Cite
Medved’ko, A.V.; Gaisen, S.V.; Kalinin, M.A.; Vatsadze, S.Z. Bispidine-Based Macrocycles: Achievements and Perspectives. Organics 2023, 4, 417-437. https://doi.org/10.3390/org4030030
Medved’ko AV, Gaisen SV, Kalinin MA, Vatsadze SZ. Bispidine-Based Macrocycles: Achievements and Perspectives. Organics. 2023; 4(3):417-437. https://doi.org/10.3390/org4030030
Chicago/Turabian StyleMedved’ko, Aleksei V., Savelii V. Gaisen, Mikhail A. Kalinin, and Sergey Z. Vatsadze. 2023. "Bispidine-Based Macrocycles: Achievements and Perspectives" Organics 4, no. 3: 417-437. https://doi.org/10.3390/org4030030
APA StyleMedved’ko, A. V., Gaisen, S. V., Kalinin, M. A., & Vatsadze, S. Z. (2023). Bispidine-Based Macrocycles: Achievements and Perspectives. Organics, 4(3), 417-437. https://doi.org/10.3390/org4030030

