Next Article in Journal
Advance in the Synthesis of Sulfoxides and Sulfinamides from β-Sulfinyl Esters
Previous Article in Journal / Special Issue
Exploration of the Divergent Outcomes for the Nenitzescu Reaction of Piperazinone Enaminoesters
 
 
Font Type:
Arial Georgia Verdana
Font Size:
Aa Aa Aa
Line Spacing:
Column Width:
Background:
Article

Reinvestigation of the Room Temperature Photochemical Reaction between N-Methyl-1,2,4-triazoline-3,5-dione (MeTAD) and Benzene

Department of Chemistry and Biochemistry, Berry College, Mount Berry, GA 30149, USA
Organics 2023, 4(2), 164-172; https://doi.org/10.3390/org4020013
Submission received: 6 March 2023 / Revised: 29 March 2023 / Accepted: 6 April 2023 / Published: 17 April 2023
(This article belongs to the Special Issue Chemistry of Heterocycles)

Abstract

:
The photochemical reaction of N-methyl-1,2,4-triazoline-3,5-dione (MeTAD) with benzene is known to lead to a Diels–Alder cycloaddition product when conducted at low temperatures (i.e., <−60 °C). This reactivity has been exploited recently for novel synthetic applications. It was previously reported that no reaction between MeTAD and benzene occurs at room temperature. However, it has now been discovered that MeTAD reacts effectively with benzene upon visible light irradiation over a several day period at room temperature. The major product is a para-substituted bisurazole adduct. Our studies indicate that the adduct is formed via sequential aromatic substitution reactions made possible by electron transfer from the aromatic ring to the highly electrophilic triplet state of photoactivated MeTAD.

1. Introduction

N-Substituted 1,2,4-triazoline-3,5-diones (TADs, 1, see Figure 1) are highly electrophilic azo compounds that undergo thermal reactions with many classes of organic compounds, including alcohols, alkenes, alkynes, and aromatic substrates [1]. TADs are generally deep red in color, rendering them susceptible to further activation via visible-light irradiation [2]. Indeed, under photochemical conditions, the reactivity of TADs is known to be even further enhanced, allowing for many reactions that will not occur thermally, as for example, reaction with strained saturated C-C bonds and aromatic substrates [2,3,4].
In a series of seminal papers, Sheridan demonstrated that N-methyl-1,2,4-triazoline-3,5-dione (MeTAD, 1a) undergoes photochemical Diels–Alder (DA) type cycloaddition reactions with naphthalene, phenanthrene, and even benzene, to form cycloadducts 2, 3, and 4, respectively [5,6,7,8]. While further studies in our lab demonstrated that naphthalene exhibited some thermal reactivity with 1a to form 2 [9], photochemical conditions drove the reaction to completion faster, and provided a higher isolated yield. On the contrary, however, no reaction between 1a and either phenanthrene or benzene is observed in the absence of light [7,8]. In addition, whereas reaction with naphthalene and phenanthrene occurs at room temperature, the photochemical reaction with benzene was reported to take place only at temperatures below –60 °C, and no reaction at room temperature [5,8].
The photochemically driven Diels–Alder reaction of 1a with benzene is of particular significance given the general reluctance of benzene to undergo any sort of addition reaction because of the resulting loss of aromatic stabilization, although exceptions have been noted [10]. Wamhoff first recorded the ability to engage benzene in photoreactivity with a triazolinedione (using the especially electrophilic N-4-nitrophenyl derivative, 1c) in 1977 [2]. Sheridan’s work more clearly documented the course of such reactions in 1989 [8]. More recently, Sarlah’s group (2016–current) has exploited the photo-driven Diels–Alder reactivity of aromatics with MeTAD for fascinating synthetic applications [11,12].
Given the recent resurgence in both the interest and applications of this reaction, in this report, a related finding is described in which a novel adduct resulting from a double electrophilic aromatic substitution reaction was observed during the photochemical reaction of 1a with benzene at room temperature.

2. Results

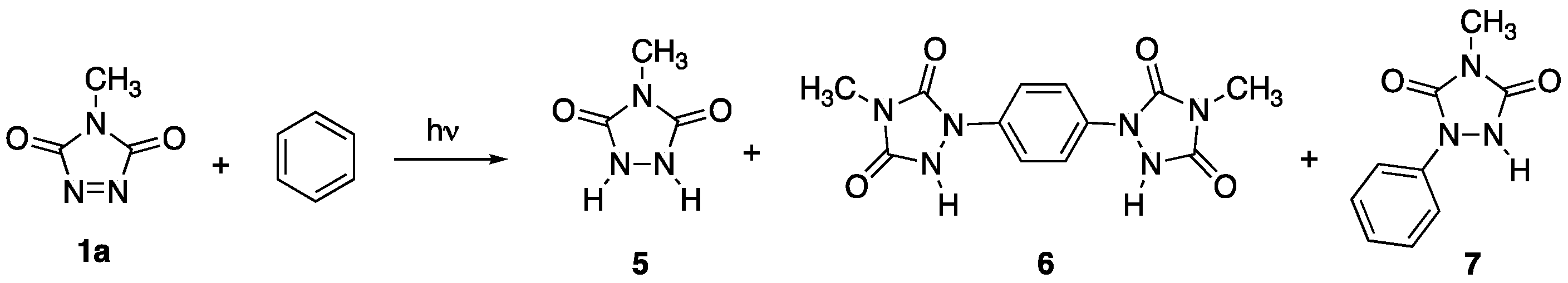
During the course of a previous study on the room temperature photochemical reactions of 1a with variously substituted benzenes [4], a reinvestigation of the reaction of 1a with benzene was undertaken. The results of these reactions are summarized in Table 1. Thus, within 3 h of visible light (3 × 300 W incandescent bulbs) irradiation of 10 mL of a red-colored solution of 1a and benzene (0.1 M each) in CH2Cl2, some crystals were observed to form on the sides of the reaction vessel. After irradiating for a total of 24 h, the crystals needed to be scraped from the sides and allowed to settle to the bottom of the reaction flask, in order to admit sufficient light to continue the photochemical reaction. After 48 h of irradiation, additional crystals formed, and the solution turned to a very pale pink color, indicating the near complete consumption of 1a. The crystals were isolated via vacuum filtration. Analysis of the crystals by 1H NMR spectroscopy indicated the presence of a ~2:1 mixture of N-methylurazole 5 (Scheme 1) and an additional novel compound. This novel compound was insoluble in methanol (whereas 5 has appreciable solubility) so separation of the two compounds proved to be operatively simple. It was calculated that 30% of 1a had been converted to 5 (Table 1, entry 1).
Analysis of the novel compound by 1H NMR, 13C NMR, IR, and HRMS revealed the structure to be that of the para-substituted bisurazole compound 6 (see spectra provided in the Supplementary Materials). Only a single N-methyl signal was observed in the 1H NMR spectrum, but that would be consistent with the ortho- and meta-substituted products as well, due to the symmetry of the various possible regioisomers. However, only a single singlet was observed for all four of the aromatic protons in the 1H NMR spectrum, and only two carbon signals for the six benzene ring carbons in the 13C NMR spectrum. These data are only consistent with the para-substituted structure of 6. This compound was formed in 17% yield (Table 1, entry 1).
Concentration of the filtrate from above, and examination of its contents by 1H NMR spectroscopy revealed the presence of photodegradation products of 1a, and trace amounts of the known monosubstituted urazole 7. Such photodegradation of TADs in solution has been documented before [2,13]. It should be noted that Wamhoff had reported the formation of a monosubstituted urazole comparable to 7 upon irradiation of 1c with benzene [2]. He did not, however, observe the formation of a bis-adduct.
In an attempt to increase the rate of reaction, the amount of benzene in the reaction was increased to five equivalents relative to 1a, but under otherwise identical conditions (see Table 1, entry 2). Interestingly, the reaction proceeded even slower in the presence of excess benzene, and the solution remained deep purple-red in color even after 2 days of irradiation. Furthermore, the combined yield of 5 and 6 isolated as crystals (26 mg) was less than that when equimolar amounts of the two starting materials had been irradiated (60 mg). Concentration of the remaining filtrate afforded unreacted MeTAD, small amounts of 7, and photodegradation products.
It was suspected that the N-methylurazole 5 that was formed might be a result of the reaction of photoactive 1a with CH2Cl2 with the solvent acting as an H-donor. Therefore, the solvent was changed to CH3CN and the reaction was then carried out under otherwise identical conditions (Table 1, entry 3). The reaction took 3 days to complete, as opposed to the 2 days in CH2Cl2, but the only product observed was bisurazole 6 and in a higher isolated yield of 53%. Concentration of the filtrate revealed the presence of small amounts (<10%) of monosubstituted 7 in addition to photodegradation products. Next, a control reaction was carried out for a period of only 24 h such that the reaction was intentionally not allowed to run to completion (Table 1, entry 4). Under these conditions, bis-adduct 6 was isolated in 16% yield and monosubstituted 7 was obtained in 10% yield.
As a control experiment to definitively determine that bisurazole 6 was formed from further reaction of monosubstituted 7, MeTAD was irradiated in 10 mL of a saturated acetonitrile solution of 7, but otherwise in the absence of any added benzene. As before, crystal formation was observed to take place within a few hours of irradiation. After 24 h, bis-adduct 6 was isolated in 65% yield, confirming that final product 6 is formed via initially generated 7.
Finally, it is interesting to note that an attempt to carry out this reaction with the N-phenyl TAD derivative PhTAD (1b) in CH3CN did not lead to the formation of either mono or disubstituted adducts even after carrying out the irradiation for a total of 4 days. Indeed, at least 80% of 1b remained present in solution at the end of the reaction period.

3. Discussion

During initial studies of the photochemical reaction of MeTAD with various aromatic compounds (presumably at room temperature), Sheridan reported that his group was unable to observe any reaction with benzene or several substituted benzenes [5]. However, he reported that successful Diels–Alder reactivity with benzene to form 4 was readily observed when the photochemical reaction was conducted at temperatures below −60 °C (in benzene as solvent) [8]. Raising the temperature to even −10 °C was sufficient to trigger a retro-Diels–Alder reaction to occur, converting the cycloadduct back to starting materials (t1/2 = 1 h at 0 °C). The lack of observed reactivity at room temperature, therefore, could be explained by the thermal instability of the cycloadduct. In other words, although photochemical cycloaddition actually occurred at room temperature to form 4, the cycloaddition product quickly reverted to starting materials via the thermally driven retro-DA process, thereby providing an illusion of no reaction. Therefore, it was fortunate that under the experimental conditions of this study, the beginnings of crystal formation on the sides of the reaction vessel had been observed, because formation of these crystals prompted the continued irradiation of the solution for an extended period of time.
It is interesting that even when the photochemical reaction conducted in CH3CN was interrupted prior to the complete consumption of 1a (Table 1, entry 4), the amount of disubstituted product 6 was in excess of the monosubstituted 7. The preference for the formation of 6 was also the case for the reaction conducted in CH2Cl2 in the presence of an excess of benzene. Such conditions might be expected to favor the formation of the monosubstituted adduct over the disubstituted adduct. Therefore, monosubstituted 7 must be more reactive toward photoactivated 1a than benzene itself. This behavior is consistent with the urazole ring acting as an activating (electron-donating) substituent on the ring.
In our earlier studies on the photochemical reactions of 1a with substituted benzenes [4], it was concluded that reaction occurred upon the irradiation of an initially formed charge transfer (CT) complex between the arene and 1a (see Scheme 2). Irradiation promoted a single electron transfer from the benzene ring 1a, resulting in the formation of a radical cation from the aromatic substrate and a radical anion from 1a. These newly formed radicals collapsed to form a bond, thereby giving rise to the sigma complex characteristic of traditional electrophilic aromatic substitutions. Finally, proton transfer afforded the final substituted product. This electron-transfer process was promoted by the presence of electron-donating substituents on the aromatic ring. While the electron-transfer process was energetically favorable for the electron-rich substrates investigated earlier, electron transfer from unsubstituted benzene to the singlet excited state of 1a (i.e., 11a*) is energetically disfavored. Previous estimates suggested that this process may be endothermic by as much as 15 kcal/mol [8]. Sheridan suggested that while 11a* was certainly involved in the photochemical Diels–Alder reaction of 1a with benzene to form 4, the involvement of the corresponding triplet state (i.e., 31a*) in this cycloaddition process remained unclear.
Chattaraj recently postulated that the “global electrophilicity index” of molecules, a measure of a compound’s willingness to react as an electrophile, is increased upon electronic excitation [14]. Using the identical computational protocol as Chattaraj (i.e., TDDFT B3LYP/6-311+G**), a global electrophilicity index was calculated for the ground state of 1a to be 2.18 eV, a comparably equivalent electrophilicity index of 2.09 eV was calculated for the excited singlet state 11a*, and a substantially increased electrophilicity index of 3.56 eV for the excited triplet state, 31a*. Thus, electron transfer from benzene to photoexcited 1a*, while apparently not feasible from the singlet excited state, may be favorable from the triplet excited state.
The triplet state of 1a* is populated via intersystem crossing (ISC) from the initially generated singlet state (see Scheme 3). If, however, the singlet state is effectively quenched by reaction with benzene in a Diels–Alder cycloaddition process, there is little opportunity for the population of the triplet state. At lower concentrations of benzene, one might then expect greater opportunity for the population of the triplet state, which could then undergo reaction with benzene via an electron-transfer process. With increasing concentrations of benzene (as, for example, increasing the amount of benzene from 1 to 5 equivalents as was discussed above) one would, therefore, expect a decreased rate of reaction to form 6/7 since more of the singlet excited state of benzene would be effectively trapped (and then replenished via the thermal retro-Diels–Alder reaction), as was experimentally observed.
Finally, electron transfer from monosubstituted 7 to 31a* to give rise to 6 should be favored relative to the electron transfer from benzene itself because the attached urazole ring acts as an electron-donating substituent, and promotes greater reactivity.

4. Conclusions

Contrary to earlier reports that suggested that there was no photochemical reaction between 1a and benzene at room temperature, it was found that they do, indeed, react. While Diels–Alder cycloadduct 4 is the product of the reaction at low temperatures (<60 °C), a bisurazole adduct 6 is the major product at room temperature. This discrepancy in observations is traced to the rapid thermal retro-Diels–Alder reaction of 4 at room temperature, which may provide an illusion of no reaction. Furthermore, while the Diels–Alder cycloaddition process takes place from the singlet state of photoactivated 1a, the electron-transfer process that leads to compounds 6/7 may take place from the triplet activated state. In the presence of higher concentrations of benzene, the cycloaddition process dominates, thereby quenching the excited state and preventing population of the triplet state 31a* via intersystem crossing. With lower concentrations of benzene, the rate of reaction via the Diels–Alder cycloaddition is decreased, and population of 31a* is made possible. Under these conditions, electron-transfer from benzene to the electrophilic 31a* occurs, leading to the formation of 7. Because the urazole ring of 7 acts as an electron-donating substituent, the rate of reaction of 7 with 31a* to form 6 is enhanced, and final yields of 6 consistently surpass those of 7.
Finally, it is of importance to note that this observed photochemical reactivity of MeTAD with benzene, and substituted benzenes [4], conforms with some of the twelve principles previously laid out for Green Chemistry [15]. From the standpoint of atom economy, especially when these reactions are carried out in CH3CN as solvent during which no formation of the side-product 5 was observed, a maximum number of atoms of the starting materials are incorporated into the product. Additionally, the ability to conduct these reactions under an oxygen atmosphere at room temperature conforms to the principle of designing a reaction for energy efficiency.

5. Materials and Methods

5.1. General Methods

Chemical shifts are reported in units of parts per million downfield from TMS. High-resolution mass spectra (HRMS) were acquired via electron spray ionization on an LTQ-FTMS hybrid mass spectrometer. N-Methyl-1,3,5-triazoline-3,5-dione (MeTAD) was synthesized via oxidation of N-methylurazole with DABCO-Br2 as described in the literature [16,17]. Compound 7 was prepared according to the literature [18]. All other reagents were commercially obtained and used as received. All photochemical reactions were conducted under an atmosphere of air.

5.2. Experimental Procedures

5.2.1. Photochemical Reaction of MeTAD (1a) with One Equivalent of Benzene in CH2Cl2

To a clear red solution of 113 mg (1 mmol) of 1a in 10 mL of CH2Cl2 in a Pyrex test tube, 90 μL (1 equiv) of benzene was added via syringe. The test tube was sealed with a rubber septum and placed into a water-jacketed apparatus made from a larger Pyrex test tube as shown in Figure 2. The water-cooled solution was irradiated with three 300 W incandescent bulbs arranged around the outside Pyrex test tube less than a cm from the exterior of the test tube wall. Within 3 h of irradiation, some crystal formation was noted on the wall of the interior test tube. After irradiating for 24 h, the septum sealing the interior test tube was removed, and the crystals that had collected on the wall of the interior test tube were scraped as much as possible and allowed to settle at the bottom of the test tube where they would not inhibit incoming light. The remaining solution remained deep purple/red in color. After 48 h of irradiation, the solution was a very pale pink in color. The crystals were isolated via vacuum filtration to afford 60 mg of crude product that proved to be a mixture of compounds 5 and 6 by 1H NMR spectroscopy. This mixture of compounds was heated in 2 mL CH3OH and filtered to afford 26 mg (17% yield) of 6 as a white solid. Concentration of the CH3OH afforded 34 mg (30% yield) of 5 as a white solid. Finally, the reaction filtrate from whence the crystal mixture was derived was concentrated in vacuo to a pink foam. Analysis of this foam by 1H NMR showed benzene, small amounts of unreacted 1a, uncharacterized photodegradation products, and traces of 7 (identified by comparison of 1H NMR and IR data to that provided in the literature, [16]). For 4-methyl-1-[4-(4-methyl-3,5-dioxo-1,2,4-triazolidin-1-yl)phenyl]-1,2,4-triazolidine-3,5-dione (6): white solid, m.p. > 300 °C; IR (ATR) cm−1 3122, 1774, 1693, 1520, 1479, 1333, 1006, 811; 1H NMR (DMSO-d6) δ 11.12 (br s, 2H), 7.60 (s, 4H), 2.97 (s, 6H); 13C NMR (DMSO-d6) δ 153.7, 150.9, 133.5, 118.9, 25.0; and HRMS (ESI) m/z [M+H]+ Calcd for C12H13N6O4 305.0993; Found 305.0991.

5.2.2. Photochemical Reaction of MeTAD (1a) with Five Equivalents of Benzene in CH2Cl2

To a clear red solution of 113 mg (1 mmol) of 1a in 10 mL of CH2Cl2 in a Pyrex test tube, 450 μL (5 equivalents) of benzene was added via syringe. The test tube was sealed with a rubber septum and placed in a water-jacketed apparatus made from a larger Pyrex test tube as shown in Figure 2. The water-cooled solution was irradiated with three 300 W incandescent bulbs arranged around the outside Pyrex test tube less than a cm from the exterior of the test tube wall. After irradiating for 24 h, the septum sealing the interior test tube was removed, and the crystals that had collected on the wall of the interior test tube were scraped as much as possible and allowed to settle at the bottom of the test tube where they would not inhibit the incoming light. After 48 h of irradiation, the solution remained deep purple/red in color, indicating incomplete consumption of 1a. The crystals were isolated via vacuum filtration to afford 26 mg of crude product that proved to be a mixture of compounds 6 and 7 by 1H NMR spectroscopy. The reaction filtrate was concentrated in vacuo to a viscous red liquid. Addition of 5 mL of CH2Cl2 to this liquid resulted in the precipitation of a solid that was collected via vacuum filtration (12 mg). Analysis of this solid by 1H NMR spectroscopy revealed it to consist of mostly monosubstituted urazole 7 and a small amount of urazole 5.

5.2.3. Photochemical Reaction of MeTAD (1a) with One Equivalent of Benzene in CH3CN

To a clear red solution of 113 mg (1 mmol) of 1a in 10 mL of anhydrous CH3CN in a Pyrex test tube, 90 μL (1 equivalent) of benzene was added via syringe. The test tube was sealed with a rubber septum and placed in a water-jacketed apparatus made from a larger Pyrex test tube as shown in Figure 2. The water-cooled solution was irradiated with three 300 W incandescent bulbs arranged around the outside Pyrex test tube less than a cm from the exterior of the test tube wall. After irradiating for 24 h, the septum sealing the interior test tube was removed, and the crystals that had collected on the wall of the interior test tube were scraped as much as possible and allowed to settle at the bottom of the test tube where they would not inhibit incoming light. The solution remained deep purple/red in color. This process was repeated after 48 h of irradiation. After 72 h of irradiation, the solution was very pale pink in color. The crystals were isolated via vacuum filtration to afford 80 mg (53% yield) of 6.

5.2.4. Photochemical Reaction of MeTAD (1a) with One Equivalent of Benzene in CH3CN Stopped Prior to Reaction Completion

To a clear red solution of 113 mg (1 mmol) of 1a in 10 mL of CH3CN in a Pyrex test tube, 90 μL (1 equivalent) of benzene was added via syringe. The test tube was sealed with a rubber septum and placed into a water-jacketed apparatus made from a larger Pyrex test tube as shown in Figure 2. The water-cooled solution was irradiated with three 300 W incandescent bulbs arranged around the outside of the Pyrex test tube less than a cm from the exterior of the test tube wall. Within 3 h of irradiation, some crystal formation was noted on the wall of the interior test tube. After irradiating for 24 h, crystals had formed on the wall of the interior test tube and the solution remained deep purple/red in color. The crystals were isolated via vacuum filtration to afford 24 mg (16% yield) of 6. The deep red-colored filtrate was treated dropwise with a solution of 2,3-dimethyl-1,3-butadiene in CH3CN until the red color of the 1a was completely discharged. The resulting colorless solution was concentrated in vacuo and taken up in 10 mL of CH2Cl2. This organic layer was extracted with 1 × 10 mL 0.5 M aq. NaOH. The aqueous layer was acidified to pH ~ 2 and extracted with 3 × 5 mL of CH2Cl2. The combined organic layers were dried over Na2SO4, filtered, and concentrated to afford 19 mg (10% yield) of 7.

5.2.5. Photochemical Reaction of MeTAD (1a) with 7 in CH3CN

To a solution of 15 mg (2.85 × 10−5 mol) of 7 [18] in 10 mL of CH3CN in a Pyrex test tube, 0.113 g (1 mmol) of MeTAD was added. The test tube was sealed with a rubber septum and placed in a water-jacketed apparatus made from a larger Pyrex test tube as shown in Figure 2. The water-cooled solution was irradiated with three 300 W incandescent bulbs arranged around the outside Pyrex test tube less than a cm from the exterior of the test tube wall. Within 3 h of irradiation, some crystal formation was noted on the wall of the interior test tube. After irradiating for 24 h, crystals had formed on the wall of the interior test tube and the solution remained deep red in color. The crystals were isolated via vacuum filtration to afford 15.5 mg (65% yield) of 6.

5.3. Computational Details

Ground state geometry optimization of MeTAD was carried out at the B3LYP/6-311+G(d,p) level of theory, while the excited state electronic calculations were carried out using the TDDFT method as implemented in the Gaussian 16 (Revision B.01) suite of software [19], according to the identical computational protocol laid out by Chattaraj for vertical electronic excitations [14]. A frequency calculation on the ground state geometry was conducted at the same level of theory to ensure that the geometry represented a true minimum (i.e., no imaginary frequencies). The Multiwfn software package (version 3.8) was employed for calculation of the electrophilicity indices [20].

Supplementary Materials

The following supporting information can be downloaded at: https://www.mdpi.com/article/10.3390/org4020013/s1: For novel compound 6: 1H NMR spectrum, 13C NMR spectrum, IR spectrum, HRMS spectra. For known compounds 5 and 7: 1H and 13C NMR spectra. Output files from computational work.

Funding

This research was funded by Berry College.

Data Availability Statement

Copies of spectral data for novel compound 6, and known compounds 5 and 7, and output files from computational work are available in the Supplementary Materials.

Acknowledgments

G.B. Thanks to Berry College for the financial support of this research, and Frederick Strobel of the Mass Spectrometry Center at Emory University, for collecting the HRMS spectra.

Conflicts of Interest

The authors declare no conflict of interest.

References

  1. De Bruycker, K.; Billiet, S.; Houck, H.A.; Chattopadhyay, S.; Winne, J.M. Triazolinediones as Highly Enabling Synthetic Tools. Chem. Rev. 2016, 116, 3919–3974. [Google Scholar] [CrossRef]
  2. Wamhoff, H.; Wald, K. Zur Photolyse und Thermolyse von 4-Aryl-1,2,4-triazolin-3,5-dionen. Chem. Ber. 1977, 110, 1699–1715. [Google Scholar] [CrossRef]
  3. Amey, R.L.; Smart, B.E. Bicyclo[1.1.0]butanes. Reactions with Cyclic Azo Compounds. J. Org. Chem. 1981, 46, 4090–4092. [Google Scholar] [CrossRef]
  4. Breton, G.W.; Hoke, K.R. Application of Radical Cation Spin Density Maps toward the Prediction of Photochemical Reactivity between N-Methyl-1,2,4-triazoline-3,5-dione and Substituted Benzenes. J. Org. Chem. 2013, 78, 4697–4707. [Google Scholar] [CrossRef] [PubMed]
  5. Kjell, D.P.; Sheridan, R.S. Photochemical Cycloaddition of N-Methyltriazolinedione to Naphthalene. J. Am. Chem. Soc. 1984, 106, 5368–5370. [Google Scholar] [CrossRef]
  6. Kjell, P.; Sheridan, R.S. A Photochemical Diels-Alder Reaction of N-Methyltriazolinedione. J. Photochem. 1985, 28, 205–213. [Google Scholar] [CrossRef]
  7. Hamrock, S.J.; Sheridan, R.S. Photochemical Diels-Alder Addition of N-Methyltriazolinedione to Phenanthrene. Tetrahedron Lett. 1988, 29, 5509–5512. [Google Scholar] [CrossRef]
  8. Hamrock, S.J.; Sheridan, R.S. Para Photoaddition of N-Methyltriazolinedione to Benzene. Synthesis of Energy-Rich Azo Compounds Comprising Benzene + N2. J. Am. Chem. Soc. 1989, 111, 9247–9249. [Google Scholar] [CrossRef]
  9. Breton, G.W.; Newton, K.A. Further Studies of the Thermal and Photochemical Diels-Alder Reactions of N-Methyl-1,2,4-triazoline-3,5-dione (MeTAD) with Naphthalene and Some Substituted Naphthalenes. J. Org. Chem. 2000, 65, 2863–2869. [Google Scholar] [CrossRef] [PubMed]
  10. Himbert, G.; Henn, L. Intramolecular Diels-Alder Reaction of Allencarboxanilides. Angew. Chem. Int. Ed. Engl. 1982, 21, 620. [Google Scholar] [CrossRef]
  11. Southgate, E.H.; Pospech, J.; Fu, J.; Holycross, D.R.; Sarlah, D. Dearomative Dihydroxylation with Arenophiles. Nat. Chem. 2016, 8, 922. [Google Scholar] [CrossRef] [PubMed]
  12. Okumura, M.; Sarlah, D. Arenophile-Mediated Dearomative Functionalization Strategies. Synlett 2018, 29, 845–855. [Google Scholar]
  13. Risi, F.; Pizzala, L.; Carles, M.; Verlaque, P.; Aycard, J.-P. Photolysis of Matrix-Isolated 4-R-1,2,4-triazoline-3,5-diones: Identification of Aziridine-2,3-dione Transients. J. Org. Chem. 1996, 61, 666–670. [Google Scholar] [CrossRef] [PubMed]
  14. Patra, S.G.; Mondal, H.; Chattaraj, P.K. Variation in Electrophilicity on Electronic Excitation. J. Phys. Org. Chem. 2022, e4359. [Google Scholar] [CrossRef]
  15. Anastas, P.T.; Warner, J.C. Green Chemistry: Theory and Practice; Oxford University Press: New York, NY, USA, 1998; p. 30. [Google Scholar]
  16. Breton, G.W.; Turlington, M. Alternative Synthetic Routes to N-Methyl-1,2,4-Triazoline-3,5-Dione (MeTAD) and Other Triazolinedione Derivatives. Tetrahedron Lett. 2014, 55, 4661–4663. [Google Scholar] [CrossRef]
  17. Billiet, S.; De Bruycker, K.; Driessen, F.; Goossens, H.; Van Speybroeck, V.; Winne, J.M.; Du Prez, F.E. Triazolinediones Enable Ultrafast and Reversible Click Chemistry for the Design of Dynamic Polymer Systems. Nat. Chem. 2014, 6, 815–821. [Google Scholar] [CrossRef] [PubMed]
  18. Bausch, M.J.; David, B.; Dobrowolski, P.; Guadalupe-Fasano, C.; Gostowski, R.; Selmarten, D.; Prasad, V.; Vaughn, A.; Wang, L.-H. Proton-Transfer Chemistry of Urazoles and Related Imides, Amides, and Diacyl Hydrazides. J. Org. Chem. 1991, 56, 5643–5651. [Google Scholar] [CrossRef]
  19. Frisch, M.J.; Trucks, G.W.; Schlegel, H.B.; Scuseria, G.E.; Robb, M.A.; Cheeseman, J.R.; Scalmani, G.; Barone, V.; Petersson, G.A.; Nakatsuji, H.; et al. Gaussian 16, Revision B.01; Gaussian, Inc.: Wallingford, CT, USA, 2016. [Google Scholar]
  20. Lu, T.; Chen, F.J. Multiwfn: A multifunctional wavefunction analyzer. J. Comput. Chem. 2012, 33, 580–592. [Google Scholar] [CrossRef] [PubMed]
Figure 1. Structure of triazolinedione compounds 1ac, and the cycloadducts formed via the photochemical reaction of 1a with naphthalene (2), phenanthrene (3), and benzene (4).
Figure 1. Structure of triazolinedione compounds 1ac, and the cycloadducts formed via the photochemical reaction of 1a with naphthalene (2), phenanthrene (3), and benzene (4).
Organics 04 00013 g001
Scheme 1. Reaction of MeTAD (1a) with benzene to afford N-methylurazole 5, bisurazole adduct 6, and monosubstituted urazole 7.
Scheme 1. Reaction of MeTAD (1a) with benzene to afford N-methylurazole 5, bisurazole adduct 6, and monosubstituted urazole 7.
Organics 04 00013 sch001
Scheme 2. Mechanism for the photochemical reaction of MeTAD (1a) with aromatic substrates to form substituted products.
Scheme 2. Mechanism for the photochemical reaction of MeTAD (1a) with aromatic substrates to form substituted products.
Organics 04 00013 sch002
Scheme 3. Proposed reaction pathway for the photochemical reaction between MeTAD (1a) and benzene to form observed products 4, 6, and 7.
Scheme 3. Proposed reaction pathway for the photochemical reaction between MeTAD (1a) and benzene to form observed products 4, 6, and 7.
Organics 04 00013 sch003
Figure 2. (A) An image of the photochemical apparatus set-up as actually deployed in the lab (lights are off). (B) A schematic describing the components.
Figure 2. (A) An image of the photochemical apparatus set-up as actually deployed in the lab (lights are off). (B) A schematic describing the components.
Organics 04 00013 g002
Table 1. Effect of reaction conditions on yields of products 5, 6, and 7.
Table 1. Effect of reaction conditions on yields of products 5, 6, and 7.
EntrySolventEquivalents
Benzene 1
Time
(h)
% Yield
5
% Yield
6
% Yield
7
1CH2Cl21483017<5
2CH2Cl25>48 h137<5
3CH3CN172053<10
4CH3CN124 201610
1 Equivalents of benzene added relative to MeTAD (1a), 2 reaction stopped prior to completion.
Disclaimer/Publisher’s Note: The statements, opinions and data contained in all publications are solely those of the individual author(s) and contributor(s) and not of MDPI and/or the editor(s). MDPI and/or the editor(s) disclaim responsibility for any injury to people or property resulting from any ideas, methods, instructions or products referred to in the content.

Share and Cite

MDPI and ACS Style

Breton, G.W. Reinvestigation of the Room Temperature Photochemical Reaction between N-Methyl-1,2,4-triazoline-3,5-dione (MeTAD) and Benzene. Organics 2023, 4, 164-172. https://doi.org/10.3390/org4020013

AMA Style

Breton GW. Reinvestigation of the Room Temperature Photochemical Reaction between N-Methyl-1,2,4-triazoline-3,5-dione (MeTAD) and Benzene. Organics. 2023; 4(2):164-172. https://doi.org/10.3390/org4020013

Chicago/Turabian Style

Breton, Gary W. 2023. "Reinvestigation of the Room Temperature Photochemical Reaction between N-Methyl-1,2,4-triazoline-3,5-dione (MeTAD) and Benzene" Organics 4, no. 2: 164-172. https://doi.org/10.3390/org4020013

APA Style

Breton, G. W. (2023). Reinvestigation of the Room Temperature Photochemical Reaction between N-Methyl-1,2,4-triazoline-3,5-dione (MeTAD) and Benzene. Organics, 4(2), 164-172. https://doi.org/10.3390/org4020013

Article Metrics

Back to TopTop