Abstract
A series of 3-hydroxy-fluorene-2-carboxylate compounds were prepared from Michael addition of acetoacetate to 2-benzylideneindan-l-one followed by Robinson annulation and aromatization. In this reaction, we were able to isolate two Robinson annulation products and characterize them. This sequential reaction could proceed without the isolation of intermediates to give the desired products directly in reasonable yields.
1. Introduction
Fluorenes are important structural frameworks in natural products [1,2,3], pharmacophores [4,5,6,7], and carcinogens [8,9]. Figure 1 illustrates a few typical examples in this regard. Aelaginpulvilin B isolated from the Chinese medicine Selaginella pulvinata shows a potent activity against PDE4 [3]. Both I and II are fluorene derivatives for pharmaceutical uses, whereas N-(1-Methoxy-9H-fluoren-2-yl)acetamide III and 2-nitrofluorene V are known to be carcinogens [8,9]. Modification of fluorene cores with electron-donating or accepting groups makes the corresponding molecules useful materials for organic light-emitting devices such as compounds V and VI [10,11,12].
Figure 1.
Selected fluorene molecules and their uses.
Substituted fluorenes are quite often obtained by reduction of the corresponding fluorenones, which could be prepared via the intramolecular Friedel–Crafts acylation or the related reaction followed by reduction (Scheme 1) [13,14]. Nevertheless, numerous approaches have been disclosed including metal-catalyzed reactions (Scheme 2A) [15,16]. Liang and coworkers reported a unique preparation of 9-substituted fluorene via a sequential cyclization of 2-en-4-yn-1-yl acetate (VII) and a terminal alkyne in the presence of BiBr3 as the Lewis acid catalyst [17] (Scheme 2B). On the other hand, the construction of aromatic ring fused to inden-1-one is another manner to yield the fluorene cores. A [3+3] cyclization of 1,3-bis(trimethylsilyloxy)-1,3-butadienes (VIII) with trimethylsilylated 2-trifluoroacetyl-3-indenol (IX) to provide a highly substituted fluorene derivatives was investigated by Langer’s research group [18] (Scheme 2C).
Scheme 1.
Traditional approach for preparations of fluorenes.
Scheme 2.
Typical synthetic preparations of fluorenes. (A) _Pd-catalyzed cyclization; (B) Lewis acid promoted cyclization; (C) [3+3] cyclization.
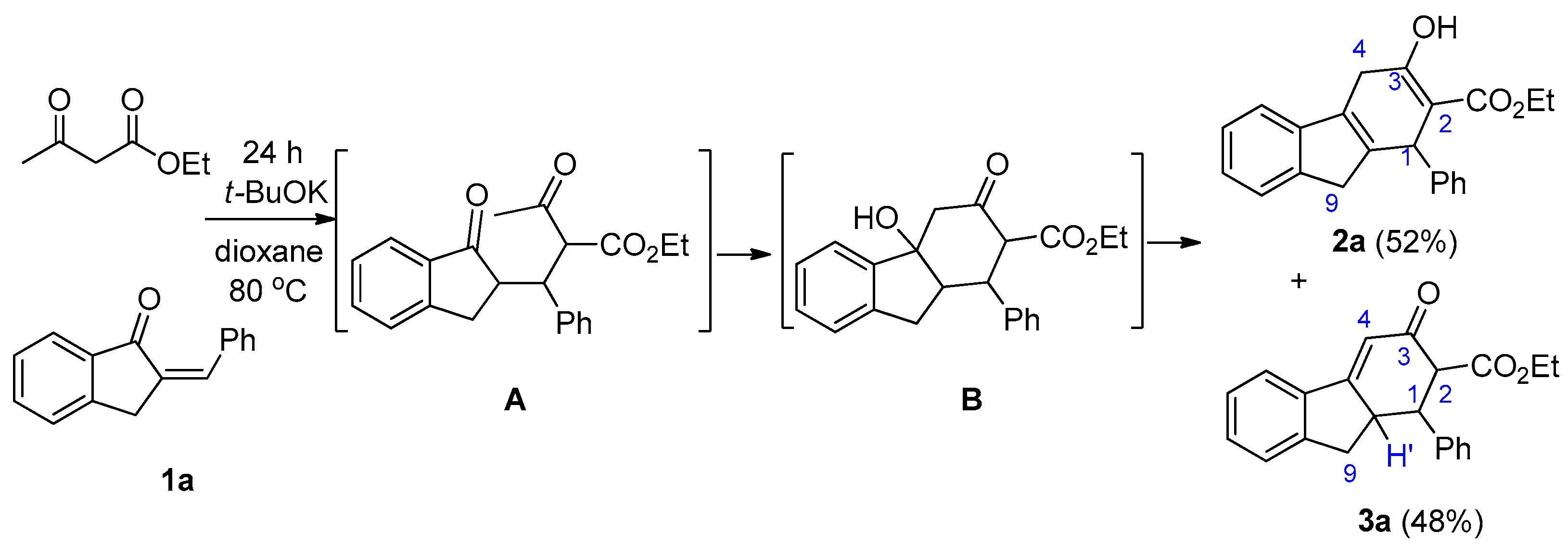
Back in the 1960s, Anderson and Leaver investigated that Michael reaction of acetoacetate with 2-benzylideneindan-l-one (1a) provided the annulation product 2a as the sole product (Scheme 3) [19]. However, in this early work, no detailed NMR structural data or side products were reported. We envisioned that further oxidation of 2a should give the corresponding fluorene. In addition, as well as 2a, it will be also interesting to know any side product formed in this annulation. Thus, we decided to examine in more detail this reaction and to study the oxidation of 2a leading to fluorenes with the substrate scope.
Scheme 3.
Our approach to prepare fluorene compounds.
2. Materials and Methods
2.1. Materials and Instrumentation
All chemicals were purchased and used without any further purifications. Flash chromatography was performed using silica gel 230–400 mesh. Nuclear magnetic resonance spectra were recorded in CDCl3 or acetone-d6 on either a Bruker AM-300 or AVANCE 400 spectrometer. Chemical shifts are given in parts per million relative to Me4Si for 1H and 13C{1H} NMR. Infrared spectra were measured on a Nicolet Magna-IR 550 spectrometer (Series-II) as KBr pallets. HRMS spectra were determined on a Bruker micrOTOF-QII spectrometer with electrospray ionization. Compound 1a was prepared according to the reported procedure [20].
2.2. Reaction of 1a with Ethyl Acetoacetate
A solution of 2-benzylidene-1-indanone 1a (110.1 mg, 0.5 mmol) with ethyl acetoacetate (220.3 mg, 2.5 mmol) and t-BuOK (0.5 mmol) in 5 ml of dioxane was heated with stirring at 50 °C under nitrogen atmosphere for 24 h. After the reaction, mixture was quenched with 5 ml of saturated NH4Cl aqueous solution then extract with 5 ml of ethyl acetate for three times. The crude product was then concentrated under reduced pressure. The residue was chromatographed on silica gel to afford the products 2a and 3a. Their spectral data are shown below.
Ethyl 3-hydroxy-1-phenyl-4,9-dihydro-1H-fluorene-2-carboxylate (2a) [19]. Light yellow solid. Rf = 0.40 (hexane/EA = 19:1); mp: 137–138 °C; 1H NMR (400 MHz, CDCl3): δ12.7 (s, 1H), 7.32–7.24 (m, 3H), 7.23–7.09 (m, 6H), 4.67 (t, J = 5.3 Hz, 1H), 4.13–4.00 (m, 2H), 3.59 (ddt, J = 22 Hz, J = 5.3 Hz, J = 2.8 Hz 1H), 3.48 (ddt, J = 22 Hz, J = 5.3 Hz, J = 2.5 Hz 1H), 3.21 (dt, J = 22 Hz, J = 2.5 Hz, 1H), 2.97 (dt, J = 22 Hz, J = 2.5 Hz, 1H), 1.06 (t, J = 7.1 Hz, 3H); 13C NMR (100 MHz, CDCl3): δ 172.0, 170.2, 144.9, 143.9, 143.2, 141.9, 130.0, 128.0, 127.8, 126.2, 126.1, 124.6, 123.5, 118.2, 100.9, 60.4, 43.3, 38.5, 28.2, 13.7. IR (KBr) υC=O 1663 cm−1. ESI-HRMS (TOF) m/z [M+Na]+ Calcd. for C22H20O3Na: 355.1305. Found: 355.1298. The structure of this compound was confirmed by X-ray crystallography (see Supplementary Materials) and ORTEP plot of 2a is illustrated in Figure 2.
Figure 2.
OPTEP plot of 2a. Bond distances of C1-C2 1.355 (2) Å and C4-C12 1.343(2) Å.
Ethyl 3-oxo-1-phenyl-2,3,9,9a-tetrahydro-1H-fluorene-2-carboxylate (3a). Yellow orange oil. Rf = 0.26 (hexane/EA = 9:1); 1H NMR (400 MHz, CDCl3): δ 7.60 (d, J = 7.6 Hz, 1H), 7.38 (td, J = 11.2 Hz, 1.2 Hz, 1H), 7.36–7.24 (m, 7H), 6.43 (d, J = 2.6 Hz, 1H), 4.00 (q, J = 7.1 Hz, 2H), 3.74 (d, J = 12.3 Hz, 1H), 3.56 (t, J = 11.9 Hz, 1H), 3.51–3.42 (m, 1H), 2.91 (dd, J = 16.5 Hz, 7.7 Hz, 1H), 2.70 (dd, J = 16.5 Hz, 6.7 Hz, 1H), 0.99 (t, J = 7.1 Hz, 3H); 13C NMR (100 MHz, CDCl3): δ 195.0, 169.3, 164.6, 145.0, 136.8, 135.7, 132.6, 129.1, 128.5, 127.9, 126.1, 124.0, 117.1, 78.1, 60.9, 60.3, 55.7, 52.5, 45.2, 13.8; IR (KBr) υC=O 1738, 1655 cm−1; ESI-HRMS (TOF) m/z [M+H]+ Calcd. for C22H21O3: 333.1485. Found: 333.1467.
2.3. Direct Preparation of Fluorenes without Isolation
A mixture of 2-benzylidene-1-indanone (0.5 mmol), ethyl acetoacetate, and t-BuOK (0.5 mmol) in toluene (5 mL) was heated at 80 °C for 24 h. After cooling, the reaction mixture was quenched with saturated NH4Cl aqueous solution and extracted with ethyl acetate (5 mL × 3). Upon concentration, the residue was re-dissolved in dioxane (5 mL). DDQ (0.55 mmol) was added and the resulting mixture was heated at 100 °C under oxygen atmosphere for another 24 h. The reaction mixture was filtered to remove insoluble solid and the filtrate was concentrated. The residue was chromatographed on silica gel with elution of hexane/ethyl acetate (19:1) to provide the desired product 4a as a white yellow solid. ( mg, %): Rf = 0.34 (hexane/EA = 19:1); mp 162–163 °C; 1H NMR (400 MHz, CDCl3 ): δ 11.3 (s, 1H), 7.80 (d, J = 7.3 Hz, 1H), 7.42–7.28 (m, 7H), 7.22–7.18 (m, 2H), 3.94 (q, J = 7.2 Hz, 2H), 3.50 (s, 2H), 0.70 (t, J = 7.2 Hz, 3H); 13C NMR (100 MHz, CDCl3): δ 172.0, 170.2, 144.9, 143.9, 143.2, 141.9, 130.0, 128.0, 127.8, 126.2, 126.1, 124.6, 123.5, 118.2, 100.9, 60.4, 43.3, 38.5, 28.2, 13.7. IR (KBr) υO–H 3500–3200 (br), υC=O 1655 cm−1. ESI-HRMS (TOF) m/z [M+Na]+ Calcd. for C22H18O3Na: 353.1148. Found: 353.1160.
Other fluorenes were prepared by a similar procedure and spectral data are listed below.
Ethyl 1-(4-fluorophenyl)-3-hydroxy-9H-fluorene-2-carboxylate (4b). White solid. Rf = 0.32 (hexane/EA = 19:1); mp 107–108 °C; (85 mg, 46%). 1H-NMR (400 MHz, CDCl3): δ11.3 (s, 1H), 7.77 (d, J = 7.3 Hz, 1H), 7.42–7.28 (m, 4H), 7.20–7.06 (m, 4H), 3.99 (q, J = 7.2 Hz, 2H), 3.46 (s, 2H), 0.80 (t, J = 7.2 Hz, 3H). 13C-NMR (100 MHz, CDCl3): δ171.1, 163.1, 162.3, 160.6, 147.0, 145.1, 140.1, 139.6, 137.6, 134.0, 129.4, 129.3, 128.3, 126.9, 124.9, 121.2, 114.8, 114.6, 110.1, 107.9, 60.8, 36.4, 13.0. IR (KBr) υO–H 3400–3200 (br), υC=O 1655 cm−1. ESI-HRMS (TOF) m/z [M+H]+ Calcd. for C22H18FO3: 349.1234. Found: 349.1224.
Ethyl 3-hydroxy-1-(4-(trifluoromethyl)phenyl)-9H-fluorene-2-carboxylate (4c). Pale yellow solid. Rf = 0.35 (hexane/EA = 19:1); mp 160–161 °C. (120.7 mg, 58%). 1H-NMR (400 MHz, CDCl3): δ 11.4 (s, 1H), 7.77 (d, J = 7.0 Hz, 1H), 7.69 (d, J = 8.0 Hz, 2H), 7.42–7.29 (m, 6H), 3.97 (q, J = 7.2 Hz, 2H), 3.43 (s, 2H), 0.70 (t, J = 7.2 Hz, 3H). 13C-NMR (100 MHz, CDCl3): δ 170.8, 162.5, 147.3, 145.7, 145.0, 140.0, 139.1, 133.4, 129.5, 129.2, 128.8, 128.5, 128.3, 127.0, 125.7, 124.9, 124.8, 124.8, 122.9, 121.2, 109.5, 108.3, 60.9, 36.3, 12.6. IR (KBr) υO–H 3410–3200 (br), υC=O 1660 cm−1. ESI-HRMS (TOF) m/z [M+H]+ Calcd. for C23H18F3O3: 399.1203. Found: 399.1193.
Ethyl 3-hydroxy-1-(4-nitrophenyl)-9H-fluorene-2-carboxylate (4d). Light yellow solid. Rf = 0.20 (hexane/EA = 19:1); mp 209–210 °C. (111.5 mg, 59%). 1H-NMR (400 MHz, CDCl3): δ 11.4 (s, 1H), 8.29 (d, J = 8.8 Hz, 2H), 7.79 (d, J = 7.2 Hz, 1H), 7.45–7.27 (m, 6H), 3.98 (q, J = 7.2 Hz, 2H), 3.42 (s, 2H), 0.72 (t, J = 7.2 Hz, 3H). 13C-NMR (100 MHz, CDCl3): δ 170.5, 162.6, 148.9, 147.6, 146.8, 144.8, 139.8, 138.2, 133.1, 128.9, 128.7, 127.1, 125.0, 123.2, 121.3, 109.1, 108.7, 61.1, 36.2, 13.0. IR (KBr) υO–H 3500–3200 (br), υC=O 1669 cm−1. ESI-HRMS (TOF) m/z [M+H]+ Calcd. for C22H18NO5: 376.1179. Found: 376.1170.
Ethyl 3-hydroxy-1-(p-tolyl)-9H-fluorene-2-carboxylate (4e). Pale yellow solid. Rf = 0.32 (hexane/EA = 19:1); mp 104–105 °C. (89.7 mg, 51 %). 1H-NMR (400 MHz, CDCl3): δ 11.3 (s, 1H), 7.79 (d, J = 7.3 Hz, 1H), 7.43–7.28 (m, 4H), 7.22 (d, J = 7.8 Hz, 2H), 7.10 (d, J = 8.0 Hz, 2H), 3.98 (q, J = 7.1 Hz, 2H), 3.51 (s, 2H), 2.44 (s, 3H), 0.75 (t, J = 7.1 Hz, 3H). 13C-NMR (100 MHz, CDCl3): δ 171.4, 162.1, 146.8, 145.3, 140.9, 140.3, 138.7, 136.1, 134.0, 128.4, 128.2, 127.7, 126.8, 124.9, 121.1, 110.4, 107.5, 60.7, 36.5, 21.1, 12.9. IR (KBr) υO–H 3460–3200 (br), υC=O 1654 cm−1. ESI-HRMS (TOF) m/z [M+H]+ Calcd. for C23H21O3: 345.1485. Found: 345.1474.
Ethyl 3-hydroxy-1-(o-tolyl)-9H-fluorene-2-carboxylate (4f). Pale yellow oil. Rf = 0.35 (hexane/EA = 19:1); (82.1 mg, 45%). 1H-NMR (400 MHz, CDCl3): δ 11.5 (s, 1H), 7.82 (d, J = 7.4 Hz, 1H), 7.49–7.18 (m, 7H), 7.04 (d, J = 7.4 Hz, 1H), 4.06–3.90 (m, 2H), 3.46 (d, J = 22.0 Hz, 1H), 3.31 (d, J = 22.0 Hz, 1H), 2.04 (s, 3H), 0.74 (t, J = 7.1 Hz, 3H). 13C-NMR (100 MHz, CDCl3): δ 171.3, 162.6, 147.3, 145.2, 141.3, 140.4, 134.7, 133.6, 129.4, 128.3, 127.4, 126.9, 126.8, 125.4, 125.0, 121.2, 110.1, 107.7, 60.7, 36.3, 19.6, 12.9. IR (KBr) υO–H 3480–3200 (br), υC=O 1654 cm−1. ESI-HRMS (TOF) m/z [M+H]+ Calcd. for C23H21O3: 345.1485. Found: 345.1479.
Ethyl 3-hydroxy-1-(4-methoxyphenyl)-9H-fluorene-2-carboxylate (4g). Light yellow solid. Rf = 0.20 (hexane/EA = 19:1); mp 120–121 °C. (89.3 mg, 45%). 1H-NMR (400 MHz, CDCl3): δ 11.3 (s, 1H), 7.77 (d, J = 7.3 Hz, 1H), 7.45–7.26 (m, 4H), 7.10 (d, J = 8.7 Hz, 2H), 6.94 (d, J = 8.7 Hz, 2H), 3.98 (q, J = 7.1 Hz, 2H), 3.86 (s, 3H), 3.50 (s, 2H), 0.79 (t, J = 7.2 Hz, 3H). 13C-NMR (100 MHz, CDCl3): δ 171.4, 162.1, 158.5, 146.8, 145.2, 140.6, 140.3, 134.2, 134.1, 128.9, 128.2, 126.8, 124.9, 121.1, 113.3, 110.5, 107.5, 60.7, 55.3, 36.5, 13.1. IR (KBr) υO–H 3500–3200 (br), υC=O 1653 cm−1. ESI-HRMS (TOF) m/z [M+Na]+ Calcd. for C23H20O4Na: 383.1254. Found: 383.1264.
Ethyl 3-hydroxy-1-(naphthalen-1-yl)-9H-fluorene-2-carboxylate (4i). Light yellow solid. Rf = 0.35 (hexane/EA = 19:1); mp 129–130 °C. (40.4 mg, 21%). 1H-NMR (400 MHz, CDCl3): δ 11.5 (s, 1H), 7.92–7.80 (m, 3H), 7.53–7.48 (m, 2H), 7.46–7.35 (m, 3H), 7.33–7.25 (m, 4H), 3.74–3.61 (m, 3H), 3.47 (d, J = 22.0 Hz, 1H), 3.21(d, J = 22.1 Hz, 1H), 0.17 (t, J = 7.1 Hz, 3H). 13C-NMR (100 MHz, CDCl3): δ 171.1, 162.6, 147.2, 145.2, 140.3, 139.4, 138.9, 134.7, 133.4, 131.7, 128.3, 128.0, 126.9, 126.8, 125.9, 125.6, 125.3, 125.2, 124.9, 124.8, 121.2, 110.9, 108.0, 60.5, 36.2, 12.2. IR (KBr) υO–H 3420–3200 (br), υC=O 1653 cm−1. ESI-HRMS (TOF) m/z [M+Na]+ Calcd. for C26H20O3Na: 403.1305. Found: 403.1303.
Ethyl 3-hydroxy-1-propyl-9H-fluorene-2-carboxylate (4j). Light yellow solid. Rf = 0.34 (hexane/EA = 19:1); mp 103–104 °C. (62.5 mg, 41%). 1H-NMR (400 MHz, CDCl3): δ 11.5 (s, 1H), 7.73 (d, J = 7.8 Hz, 1H), 7.51 (d, J = 6.4 Hz, 1H), 7.40–7.29 (m, 2H), 7.23 (s, 1H), 4.44 (q, J = 7.1 Hz, 2H), 3.77 (s, 2H), 3.07- 2.88 (m, 2H), 1.69–1.54 (m, 2H), 1.45 (t, J = 7.1 Hz, 3H), 1.04 (t, J = 7.3 Hz, 3H). 13C-NMR (100 MHz, CDCl3): δ 171.9, 162.9, 146.9, 144.6, 141.4, 140.6, 133.6, 128.1, 126.8, 124.9, 121.0 110.1, 106.5, 61.4, 35.8, 35.1, 23.9, 14.6, 14.0. IR (KBr) υO–H 3400–3200 (br), υC=O 1646 cm−1. ESI-HRMS (TOF) m/z [M+Na]+ Calcd. for C19H20O3Na: 319.1305. Found: 319.1308.
Ethyl 1-(3,4-dimethoxyphenyl)-3-hydroxy-9H-fluorene-2-carboxylate (4k). Light yellow oil. Rf = 0.09 (hexane/EA = 9:1); (82.3 mg, 42%). 1H NMR (400 MHz, CDCl3): δ 11.3 (s, 1H), 7.81 (d, J = 7.4 Hz, 1H), 7.50–7.29 (m, 4H), 6.95 (d, J = 8.6 Hz, 1H), 6.84–6.71 (m, 2H), 4.03 (q, J = 7.1 Hz, 2H), 3.97 (s, 3H), 3.89 (s, 3H), 3.60 (s, 2H), 0.84 (t, J = 7.1 Hz, 3H); 13C NMR (100 MHz, CDCl3): δ 171.3, 162.0, 148.5, 147.8, 146.8, 145.2, 140.5, 140.2, 134.3, 134.1, 128.2, 126.8, 124.9, 121.1, 120.0, 111.5, 110.7, 110.4, 107.5, 60.7, 55.9, 55.8, 36.5, 13.2. IR (KBr) υ 3100–3440 (br), 1655 cm−1. ESI-HRMS (TOF) m/z [M+H]+ Calcd. for C24H23O5: 391.1540. Found: 391.1527.
Isopropyl 3-hydroxy-1-phenyl-9H-fluorene-2-carboxylate (4l). Light yellow solid. Rf = 0.37 (hexane/EA = 19:1); mp 114–115 ℃. (114.2 mg, 64%). 1H NMR (400 MHz, CDCl3): δ 11.5 (s, 1H), 7.84 (d, J = 7.5 Hz, 1H), 7.50–7.32 (m, 7H), 7.24 (d, J = 7.8 Hz, 2H), 4.99 (sep, J = 6.2 Hz, 1H), 3.52 (s, 2H), 0.88 (d, J = 6.2 Hz, 6H); 13C NMR (100 MHz, CDCl3): δ 170.7, 162.2, 146.8, 145.2, 141.9, 140.8, 140.3, 133.9, 128.2, 127.9, 126.8, 126.5, 124.9, 121.2, 110.5, 107.6, 68.6, 36.5, 20.9. IR (KBr) υ 3200–3500 (br), 1654 cm−1. ESI-HRMS (TOF) m/z [M+H]+ Calcd. for C23H21O3: 345.1485. Found: 345.1477.
2.4. Crystallogarphy
A crystal of 2a suitable for X-ray determination was obtained from hexane/dichloromethane. The structure was solved using the SHELXS-97 program [21] and refined using the SHELXL-97 program [22] by full-matrix least-squares on F2 values. CCDC 2193935 contains the supplementary crystallographic data for 2a. These data can be obtained free of charge via www.ccdc.cam.ac.uk/data_request/cif, (accessed on 1 August 2022) or by emailing data_request@ccdc.cam.ac.uk, or by contacting The Cambridge Crystallographic Data Center, 12 Union Road, Cambridge CB2 1EZ, UK; fax: +44-1223-336033.
3. Results and Discussion
3.1. Preliminary study and Optimization
Substrate 1 for this investigation was prepared according to the reported method [20]. After several screenings of reaction conditions, we found that reaction of 1a with excess of ethyl acetoacetate in the presence of one equivalent of potassium t-butoxide in dioxane reached a full conversion of 1a, but giving two cyclized products 2a and 3a in a ratio of 1:1, which is quite different to that reported previously [19]. Scheme 4 illustrates the reaction and intermediates of Michael adduct (A) and annulation intermediate (B) leading to the products. Both 2a and 3a are isomers, which are resulted from the dehydration of B via two different β-hydrogens. Another finding is that both 2a and 3a did not interconvert to each other under the conditions of (i) t-BuOK (1 eq.) in dioxane at 80 °C for 24 h, and (ii) HBF4 in dioxane at 80 °C for 24h, (iii) H2SO4 (1 eq) in dioxane at 80 °C for 24 h. Characterization of compounds 2a and 3a were performed by NMR and mass spectroscopy.
Scheme 4.
Michael addition of 1a with acetoacetate followed by cyclization and dehydration process leading to two isomeric products.
1H NMR spectrum of 2a shows two sets of AB splitting patterns, at δ 3.59 and 3.48 (J2 = 22 Hz); δ 3.21 and 2.97 (J2 = 22 Hz), for two distinct -CH2- units at C(4) and C(9) due to the diastereotopic nature of these methylene protons. 13C NMR spectral data and HRMS of 2a are also consistent with the proposed structure. However, single crystal determination of 2a confirms its structural details (Figure 2). As expected, bond lengths of both C1-C2 [1.355(2) Å] and C4-C12 [1.343(2) Å] are in the typical range for C=C. For 3a, a characteristic shift for the vinylic proton of C(4)-H appears at δ 6.43 as a doublet due to the long range allylic coupling with C-H’. A signal at δ 3.74 as doublet for the C(2)-H indicates that 3a does not enolize and retains the β-keto ester form, unlike 2a. Other spectral data and HRMS of 3a are all in agreement with the structure (see experimental section).
3.2. Reaction of 1a with Acetoacetate—Selectivity of Formation of 2a Versus 3a
Next, we examined this reaction under various conditions to improve the selectivity of products. Table 1 summarizes the results. The use of DBU and DABCO as bases did not render good production of the desired products. The basicity of DABCO is too weak for the reaction to proceed with the reactant recovered, whereas the DBU causes the decomposition of the reactants (Entries 1 and 2). The lower reaction temperature gave a lower conversion (Entries 3–6). The formation of 3a is preferred at 50 °C, but the reaction still provides 25% production of 2a (Entry 5). For solvents, both dioxane and toluene are good choice to have full conversion (entries 3 and 8, respectively), however, the selectivity of 2a versus 3a remains as ca. 1:1. It seems unable to reach the selectivity for a single product.
Table 1.
Optimization for reaction of 1a with ethyl acetoacetate leading to 2a and 3a 1.
With 2a and 3a in hand, oxidation of these compounds leading to the desired fluorene product 4a was examined (Scheme 5). Air-oxidation of both compounds leading to 4a proceeded very slowly. Hence, 2,3-dichloro-5,6-dicyano-p-benzoquinone (DDQ) was chosen as the reagent for this oxidation. It appeared that compound 2a was completely converted into 4a under the condition of the substrate in dioxane with DDQ (1.1 eq) at 100 °C for 3 h. By exposing a solution of 3a in dioxane to DDQ, the desired oxidation compound 4a was obtained, but not in full conversion. Other oxidants such as MnO2 did not provide a better result. Table S2 summarizes the results of oxidations of 2a and 3a under various conditions (see supporting information).
Scheme 5.
Oxidation of 2a and 3a leading to fluorene derivative 4a.
3.3. Preparation of Fluorenes via a Two-Step Reaction without Isolation of 2 and 3
Since oxidation of 2a and 3a yields the same product 4a, we envisioned that we should investigate the direct preparation of fluorenes from reaction 2-benzylideneindan-l-one with acetoacetate without purification of 2a and 3a, i.e., carrying out the oxidation of a mixture 2a and 3a from the first step without a purification procedure. First, a reaction mixture obtained according the conditions shown in Table 1 entry 3 was acidified with 2 M H2SO4(aq) and then treated with DDQ (1.1 eq.) at 100 °C. Upon workup, the desired product 4a was obtained in 48% yield accompanied with 2a and 3a. Under the similar procedure, the use of 2 equivalent of DDQ did improve the yield up to 60%, but a larger amount of DDQ resulted in the formation of complicated reaction mixture. By switching to other oxidants such as MnO2, production of 4a did not get better. As shown in Table 1 entry 8, toluene is another good solvent for a full conversion, but the use of toluene as the solvent for this two-step treatment did not provide a better improvement. Apparently, the unreacted substrates or reagents caused the complication in having a better production of 4a. Thus, we modified the procedure by a simple extraction of reaction mixture in the first step and then change the solvent for oxidation.
Typically, a solution of 2-benzylidene-1-indanone derivatives with ethyl acetoacetate and t-BuOK in dioxane was heated at 80 °C under inert atmosphere for 24 h. Then, the reaction mixture was quenched with saturated NH4Cl aqueous solution and extracted with ethyl acetate. Upon concentration, the residue was re-dissolved in dioxane and treated with oxidant for another 24 h. After purification, 4a was obtained in various amounts based on the oxidants as illustrated in Table 2. It showed that, in order to have a better yield of 4a, reaction has to run in toluene as solvent in the first step and then oxidation in dioxane (Table 2, entry 6). Thus, this standard procedure was established for the further investigation.
Table 2.
Oxidation study of conversion of 2a and 3a into 4a 1.
With the optimized protocol, we screened various substituted 2-benzylidene-1-indanones as substrates for the preparation of fluorenes (Scheme 6). All desired products were isolated in moderate to good yields. For the aryl ring with electron-withdrawing substituents at para position, the yields were slightly better than those with electron-donating groups (4c and 4d vs. 4e and 4g). Compound 4i was received in 21% yield presumably due to the steric hindrance of 1-naphthyl group. Alkylidene-1-indanone was also applicable to the reaction to give ethyl 3-hydroxy-1-propyl-9H-fluorene-2-carboxylate 4j (41%). However, a tertiaryamino-substituted substrate did not deliver the expected product 4h, which is unexpected, presumably due to the basic nature of dimethylamino group. It was noticed that isopropyl acetoacetate is also a suitable reagent for this methodology, giving 4l in 64% yield.
Scheme 6.
Reaction scope.
4. Conclusions
In summary, a two-step design for synthsis of 3-hydroxy-9H-fluorene-2-carboxylates was reported. In this work, the Robinson annulation from the intermediate A was studied, offering an understanding of the regiochemistry of dehydration. This method offers a simple and facile manipulation for the desired fluorene. These obtained compounds are expected to be valuable for pharmacophores and synthetic intermediates.
Supplementary Materials
The following supporting information can be downloaded at: https://www.mdpi.com/article/10.3390/org3040031/s1, Table S1. crystal data of 2a; Table S2. Summary of Oxidation study of 2a and 3a; Figure S1. 1H NMR and 13C NMR spectra of 4a; Figure S2. 1H NMR and 13C NMR spectra of 4b; Figure S3. 1H NMR and 13C NMR spectra of 4c; Figure S4. 1H NMR and 13C NMR spectra of 4d; Figure S5. 1H NMR and 13C NMR spectra of 4e; Figure S6. 1H NMR and 13C NMR spectra of 4f; Figure S7. 1H NMR and 13C NMR spectra of 4g; Figure S8. 1H NMR and 13C NMR spectra of 4i; Figure S9. 1H NMR and 13C NMR spectra of 4j; Figure S10. 1H NMR and 13C NMR spectra of 4k; Figure S11. 1H NMR and 13C NMR spectra of 4l.
Author Contributions
Conceptualization and organization of research, S.-T.L.; methodology, investigation, and data collection, Y.-M.W.; writing—original draft preparation, Y.-M.W. and S.-T.L.; data checking and editing, Y.-M.W.; X-ray crystallography, Y.-H.L.; supervision, S.-T.L. funding acquisition, S.-T.L. All authors have read and agreed to the published version of the manuscript.
Funding
This research was funded by Ministry of Science and Technology, Taiwan (MOST109-2113-M-002-010-MY2).
Institutional Review Board Statement
Not applicable.
Informed Consent Statement
Not applicable.
Data Availability Statement
The data reported in this article can be obtained from the authors upon reasonable request.
Acknowledgments
We thank Instrumentation Center (NTU), Ministry of Science and Technology Taiwan for the assistance in X-ray crystallography. The mass spectrometry technical research services from NTU Consortia of Key Technologies for mass measurement are acknowledged.
Conflicts of Interest
The authors declare no conflict of interest.
References
- Yang, H.; Chou, G.-X.; Wang, Z.-T.; Guo, Y.-W.; Hu, Z.-B.; Xu, L.-S. Two New Compounds from Dendrobium chrysotoxum. Helv. Chim. Acta 2004, 87, 394–399. [Google Scholar] [CrossRef]
- Ye, Q.-H.; Zhao, W.-M.; Qin, G.-W. New fluorenone and phenanthrene derivatives from Dendrobium chrysanthum. Nat. Prod. Res. 2003, 17, 201–205. [Google Scholar] [CrossRef] [PubMed]
- Liu, X.; Luo, H.-B.; Huang, Y.-Y.; Bao, J.-M.; Tang, G.-H.; Chen, Y.-Y.; Wang, J.; Yin, S. Selaginpulvilins A–D, New Phosphodiesterase-4 Inhibitors with an Unprecedented Skeleton from Selaginella pulvinate. Org. Lett. 2014, 16, 282–285. [Google Scholar] [CrossRef] [PubMed]
- Chui, C.-H.; Wong, R.S.-M.; Gambari, R.; Cheng, G.Y.-M.; Yuen, M.C.-W.; Chan, K.-W.; Tong, S.-W.; Lau, F.-Y.; Lai, P.B.-S.; Lam, K.-H.; et al. Antitumor activity of diethynylfluorene derivatives of gold(I). Bioorg. Med. Chem. 2009, 17, 7872–7877. [Google Scholar] [CrossRef] [PubMed]
- Misaki, K.; Matsui, S.; Matsuda, T. Metabolic Enzyme Induction by HepG2 Cells Exposed to Oxygenated and Nonoxygenated Polycyclic Aromatic Hydrocarbons. Chem. Res. Toxicol. 2007, 20, 277. [Google Scholar] [CrossRef] [PubMed]
- Sengupta, S.; Mehta, G. Natural products as modulators of the cyclic-AMP pathway: Evaluation and synthesis of lead compounds. Org. Biomol. Chem. 2018, 16, 6372–6390. [Google Scholar] [CrossRef] [PubMed]
- Schneider, J.; Pradines, B.; Helle, F.; Dassonville-Klimpt, A.; Taudon, N.; Sonnet, P. Enantiopure aminoaryl-alcohols with fluorene core and their antimalarial activities. In 4th International Electronic Conference on Medicinal Chemistry; MDPI: Basel, Switzerland, 2018. [Google Scholar] [CrossRef]
- Beije, B.; Moeller, L. Correlation between induction of unscheduled DNA synthesis in the liver and excretion of mutagenic metabolites in the urine of rats exposed to the carcinogenic air pollutant 2-nitrofluorene. Carcinogenesis 1988, 9, 1465–1470. [Google Scholar] [CrossRef] [PubMed]
- Gutmann, H.R.; Galitski, S.B.; Foley, W.A. Carcinogenicity of the o-methoxy derivatives of N-2-fluorenylacetamide and of related compounds in the rat. Cancer Res. 1968, 28, 234–244. [Google Scholar] [PubMed]
- Mondal, E.; Hung, W.-Y.; Dai, H.-C.; Wong, K.-T. Fluorene-based asymmetric biopolar universial hosts for white organic light emitting devices. Adv. Funct. Mater. 2013, 23, 3096–3105. [Google Scholar] [CrossRef]
- Oyston, S.; Wang, C.; Hughes, G.; Batsanov, A.S.; Perepichka, I.F.; Bryce, M.R.; Ahn, J.H.; Pearson, C.; Petty, M.C. New 2,5-diaryl-1,3,4-oxadiazolefluorene hybrids as electron transporting materials for blended-layer organic light emitting diodes. J. Mater. Chem. 2005, 15, 194–203. [Google Scholar] [CrossRef]
- Wong, W.-Y. Metallated molecular materials of fluorene derivatives and their analogues. Coord. Chem. Rev. 2005, 249, 971–997. [Google Scholar] [CrossRef]
- Fukuyama, T.; Maetani, S.; Miyagawa, K.; Ryu, I. Synthesis of Fluorenones through Rhodium-Catalyzed Intramolecular Acylation of Biarylcarboxylic Acids. Org. Lett. 2014, 16, 3216–3219. [Google Scholar] [CrossRef] [PubMed]
- Kashulin, I.A.; Nifant’ev, I.E. Efficient Method for the Synthesis of Hetarenoindanones Based on 3-Arylhetarenes and Their Conversion into Hetarenoindenes. J. Org. Chem. 2004, 69, 5476–5479. [Google Scholar] [CrossRef] [PubMed]
- Kaiser, R.P.; Caivano, I.; Kotora, M. Transition-metal-catalyzed methods for synthesis of fluorenes. Tetrahedron 2019, 75, 2981–2992. [Google Scholar] [CrossRef]
- Hwang, S.J.; Kim, H.J.; Chang, S. Highly efficient and versatile synthesis of poly aryl fluorenes via Pd-catalyzed C-H bond activation. Org. Lett. 2009, 11, 4588–4591. [Google Scholar] [CrossRef] [PubMed]
- Wang, X.C.; Yan, R.L.; Zhong, M.J.; Liang, Y.M. Bi(III)-Catalyzed Intermolecular Reactions of (Z)-Pent-2-en-4-yl Acetates with Ethynylarenes for the Construction of Multisubstituted Fluorene Skeletons through a Cascade Electrophilic Addition/Cycloisomerization Sequence. J. Org. Chem. 2012, 77, 2064–2068. [Google Scholar] [CrossRef] [PubMed]
- Buettner, S.; Kelzhanova, N.K.; Abilov, Z.A.; Villinger, A.; Langer, P. [3+3] Cyclizations of 1,3-bis(trimethylsilyloxy)-1,3-butadienes-a new approach to diverse CF3-substituted fluorenes, dibenzofurans, 9,10-dihydrophenanthrenes and 6H-benzo[c]chromenes. Tetrahedron 2012, 68, 3654–3668. [Google Scholar] [CrossRef]
- Anderson, D.M.W.; Leaver, D. Stereochemistry and isomerization of some hydrofluorene and hydrophenanthrene β-oxo esters. J. Chem. Soc. 1962, 450–456. [Google Scholar] [CrossRef]
- Lantano, B.; Aguirre, J.M.; Drago, E.V.; Bollini, M.; de la Faba, D.J.; Mufato, J.D. Synthesis of benzylidenecycloalkan-1-ones and 1,5-diketones under Claisen-Schmidt reaction: Influence of the temperature and electronic nature of arylaldehydes. Synth. Commun. 2017, 47, 2202–2214. [Google Scholar] [CrossRef]
- Sheldrick, G.M. SHELXS-97 Phase annealing in SHELX-90: Direct methods for larger structures, Acta Crystallogr. Sect. A Found. Crystallogr. 1990, 46, 467–473. [Google Scholar] [CrossRef]
- Sheldrick, G.M. SHELXL-97; University of Göttingen: Göttingen, Germany, 1997. [Google Scholar]
Publisher’s Note: MDPI stays neutral with regard to jurisdictional claims in published maps and institutional affiliations. |
© 2022 by the authors. Licensee MDPI, Basel, Switzerland. This article is an open access article distributed under the terms and conditions of the Creative Commons Attribution (CC BY) license (https://creativecommons.org/licenses/by/4.0/).







