Next Article in Journal / Special Issue
Design, Synthesis, and Photo-Responsive Properties of a Collagen Model Peptide Bearing an Azobenzene
Previous Article in Journal / Special Issue
Theoretical Study on the Diels–Alder Reaction of Fullerenes: Analysis of Isomerism, Aromaticity, and Solvation
 
 
Due to scheduled maintenance work on our servers, there may be short service disruptions on this website between 11:00 and 12:00 CEST on March 28th.
Font Type:
Arial Georgia Verdana
Font Size:
Aa Aa Aa
Line Spacing:
Column Width:
Background:
Review

Ten Years Milestones in Xanthine Oxidase Inhibitors Discovery: Febuxostat-Based Inhibitors Trends, Bifunctional Derivatives, and Automatized Screening Assays

by
Miguel F. S. de Abreu
1,
Camila A. Wegermann
1,2,
Millena S. Ceroullo
1,
Isabella G. M. Sant’Anna
1 and
Renato C. S. Lessa
1,*
1
Departamento de Química Orgânica, Campus do Valonguinho, Instituto de Química, Universidade Federal Fluminense, Niterói 24020-150, Brazil
2
Departamento de Química Inorgânica, Campus do Valonguinho, Instituto de Química, Universidade Federal Fluminense, Niterói 24020-150, Brazil
*
Author to whom correspondence should be addressed.
Organics 2022, 3(4), 380-414; https://doi.org/10.3390/org3040026
Submission received: 23 July 2022 / Revised: 7 September 2022 / Accepted: 28 September 2022 / Published: 10 October 2022
(This article belongs to the Collection Advanced Research Papers in Organics)

Abstract

Xanthine oxidase (XO) is an enzyme involved in the oxidative process of hypoxanthine and xanthine to uric acid (UA). This process also produces reactive oxygen species (ROS) as byproducts. Both UA and ROS are dangerous for human health, and some health conditions trigger upregulation of XO activity, which results in many diseases (cancer, atherosclerosis, hepatitis, gout, and others) given the worsened scenario of ROS and UA overproduction. So, XO became an attractive target to produce and discover novel selective drugs based on febuxostat, the most recent XO inhibitor out of only two approved by FDA. Under this context, high-performance liquid chromatography (HPLC) and capillary electrophoresis (CE) have been successfully applied to rapidly and easily screen for bioactive compounds, isolated or in complex natural matrixes, that act as enzyme inhibitors through the use of an immobilized enzyme reactor (IMER). This article’s goal is to present advances comprising febuxostat-based XO inhibitors as a new trend, bifunctional moieties capable of inhibiting XO and modulating ROS activity, and in-flow techniques employing an IMER in HPLC and CE to screen for synthetic and natural compounds that act as XO inhibitors.

1. Introduction

The enzymes xanthine oxidase (XO) and xanthine dehydrogenase (XD) are interconvertible forms of the homodimer enzyme xanthine oxidoreductase (XOR) [1]. XOR is a cytosolic located enzyme distributed in many animal species, especially humans, which is the principal species of interest when considering medicinal chemistry and the development of novel drugs for better living conditions. The XO form belongs to the mononuclear molybdenum family of enzymes [2] and will be the focus of this review. It plays a key role as an oxidizing catalyst against many molecules like purines, pterins, heterocycles, and aldehydes. Therefore, it operates as a regulating agent for endogenous compounds and xenobiotics by activating or detoxifying them [3].
Despite XO and XD producing uric acid (UA) as a product from the substrate hypoxanthine, a remarkable difference between them centers around the chemical species involved in the catalytic process. While XD mediated catalysis centers around harmless to tolerable species (NAD+, NADH, oxygen, and water) during the redox process, XO produces harmful species known as reactive oxygen species (ROS), such as H2O2 and superoxide radical as byproducts (Scheme 1) [3].
Unfortunately, tissue damage [4], hemolytic diseases like malaria [5], sepsis [6] and thalassemia [7], acute respiratory distress syndrome [8], chronic obstructive pulmonary disease [9] and codeine-based treatments [10] lead to upregulated XO levels or activity, resulting in overproduction of UA and ROS. As examples, an over 6-fold increase in XO level was observed in patients under several malaria condition [5] and an almost 3-fold increase in XO activity was observed in chronic obstructive pulmonary disease [9].
The accumulation of UA leads to hyperuricemia, a stage achieved by concentrations above 6 mg/dL of serum uric acid levels. That results in gout and arthritis, a condition where uric acid crystals are formed in the joints. It may extent to the urogenital system through the formation of stones, leading to nephrolithiasis or crystalluria [11]. Moreover, there is still a debate about whether hyperuricemia is correlated to cardiovascular diseases and if XO inhibitors can be employed to lower cardiovascular disease incidents [12,13,14,15]. On the other hand, carbohydrates, deoxyribonucleic acid (DNA), proteins, amino acids, and lipids are species that are reactive through oxidative species, specifically ROS. Therefore, the production of abnormal levels of ROS is a major threat to any human due to the development of many abnormal conditions, including: hepatitis, cancer, inflammation, aging, ischemia, cardiovascular disease, and endothelial and organ dysfunction [5,7,14,16,17,18].
The search for drugs that act as enzyme inhibitors is advantageous given the selective characteristic of the inhibitor–substrate interaction. The facile interaction between small molecules and enzymes usually leads to high draggability, which means valid interaction between the target (enzyme) with the drug as predicted or expected, reducing collateral effects due to undesired interactions with other pharmacophoric sites [19]. That selective interaction turned out to be an outstanding target to probe novel potential bioactive compounds via immobilized enzyme reactors (IMERs) once it is fully compatible with high precision techniques, for this article’s specific discussion: high-performance liquid chromatography (HPLC) and capillary electrophoresis (CE) [20,21,22,23,24].
Based on the aforementioned, it becomes specifically interesting to invest in XO inhibitors synthesis and screening, once the only FDA-approved inhibitors are allopurinol and febuxostat. Moreover, pyrazolopyrimidine-based inhibitors (an allopurinol-based scaffold) may experience inhibition resistance by XO involved in pathogenic function, which encourages searching for allopurinol substitutes [7,25].
In the following sections, advances comprising the obtainment of novel non-allopurinol-based XO inhibitors will be presented, highlighting the promising results of each work (Section 3). Then, high-performance liquid chromatography (HPLC) and capillary electrophoresis (CE) developments comprising the use of an immobilized enzyme reactor (IMER) for the identification of XO inhibitors will be presented (Section 4).

2. Methods

To gather the articles for this paper, Google Scholar, Scifinder platform, Web of Science, and PubMed were used. For general reference about XO and in-flow assays, papers in English without a publication time restriction were considered, given that many early 1990s and 2000s works are important for the discussions. However, only articles published in English between 2012–2022 were considered to present the developments in Section 3 and Section 4. The selected keyword for the initial search was “xanthine oxidase inhibitors”. For the scope of this work, patents were not considered. Articles describing the synthesis protocol of the in-flow screened derivatives as XO inhibitors were fully discussed, one time only, in the section on screening methods (Section 4), to keep the work’s ideas condensed. Systematic descriptions of the synthetical approaches were not done, but the synthesis steps were fully presented through the schemes, to keep the focus of the article’s discussion on the compound’s biological activity towards XO inhibition.

3. XO Inhibitors

Since the late 1960s Allopurinol (Figure 1), the functional isomer of hypoxanthine, has been the most viable purinergic inhibitor of XO for human use. It behaves as a suicidal competitive, to xanthine, inhibitor that binds to the molybdenum center of XO [26]. Despite the molecular deviations approach in medicinal chemistry that puts allopurinol’s success as a XO inhibitor ahead when considering rational drug design, some works describe promising advances regarding different molecular frameworks.
The 2-[3-cyano-4-(2-methylpropoxy)phenyl]-4-me thylthiazole-5-carboxylic acid marketed as febuxostat (Figure 1) is a non-purine urate-lowering drug used as an alternative to allopurinol for treatment of hyperuricemia in gout. This compound was studied as a XO inhibitor in chimpanzees [27] and in rodents [28], and its action is related to the inhibition of both oxidized and reduced forms of XO febuxostat, which was approved for gouty arthritis by Europe in 2008 and by the FDA in 2009 [29,30].
Febuxostat is a non-competitive inhibitor and blocks the active site of the protein through important residual interactions. The oxygen atoms of the carboxylate group interact with the residues Thr1010 and Arg880 through hydrogen bonds, while the Glu802 also forms a hydrogen bond with the probably protonated thiazole nitrogen. Another interaction ensures the proper orientation of the molecule into the narrow channel of the enzyme such as the hydrophobic interactions of the 4-isobutoxy tail with the amino acids Leu648, Phe649, Val1011, and Leu1013, and aromatic interactions of the sandwiched thiazole ring with the Phe914 and Phe1009 [31].
An important analog of febuxostat is Y-700, 1-(3-cyano-4-neopentyloxyphenyl)pyrazole-4-carboxylic acid (Figure 1), a mixed-type inhibitor developed and studied by Fukunari and coworkers [32] and Ishibuchi and coworkers [33]. This compound features excellent inhibition activity and in vivo distinct hypouricemic effect. A crystallographic analysis between the Y-700 and XO active site shows similar interactions observed in febuxostat like electrostatic interaction between the carboxyl oxygen with Agr880; cyano group and Asn768; and H-bonds between the carboxyl and Thr1010 residue. The pyrazole ring interacts with Glu802 and is sandwiched by Phe914 and Phe1009, among other hydrophobic interactions [32].
Topiroxostat (Figure 1), known as FYX-051 or 4-[5-(Pyridin-4-yl)-1H-1,2,4-triazol-3-yl]pyridine-2-carbonitrile, is a potent XOR inhibitor approved in Japan for the treatment of hyperuricemia in 2013 [34]. Its structure is a hybrid between pyridine and cyanopyridine moieties linked by a triazole nucleus to [35]. Topiroxostat displays a hybrid type inhibition comprising an initial competitive inhibition followed by a covalent linkage through a complex formation between the oxygen-molybdenum (IV) and its hydroxylated intermediary, Glu802 and Glu1261 residues [36,37].
Since then, efforts to discover novel non-allopurinol-based XO inhibitors have been made through the synthesis of febuxostat, the most recent, out of a total of two, FDA approved drug for XO inhibition, analogs aiming to improve the interaction modes with the active site of XO and consequently, the inhibition activity.

3.1. Febuxostat-Based XO Inhibitors

3.1.1. Derivatives Based on Five-Member Heterocyclic Rings

Focusing on a structure activity relationship (SAR) analysis, a library of more than twenty hybrid structures of indolethiazoles with four different substituents were explored as XO inhibitors and urate-lowering activity in rats by Song and coworkers, of which we highlight the selected examples 1ag (Scheme 2) [38]. Firstly, it was shown that electron-withdrawing substituents at the R1-position favor XO inhibition. While at the R4-position, it harshly decreases. The activity of the molecule is also favored with hydrophobic substituents at the R3-position and without steric hindrance between R2-R3-positions. The best compound tested (1e) also showed a uric acid inhibition of 60% at 1 h (10 mg/kg) in rats, beyond the excellent in vitro IC50 of 3.5 nM, comparable to febuxostat. The other derivatives also reached nanomolar IC50 values. A docking analysis shows the same interactions of the carboxylate moiety and the thiazole ring that occurs with febuxostat. Despite the replacement of the phenyl group by an indole group, the cyano moiety was able to form hydrogen bonds with an Asn768 residue.
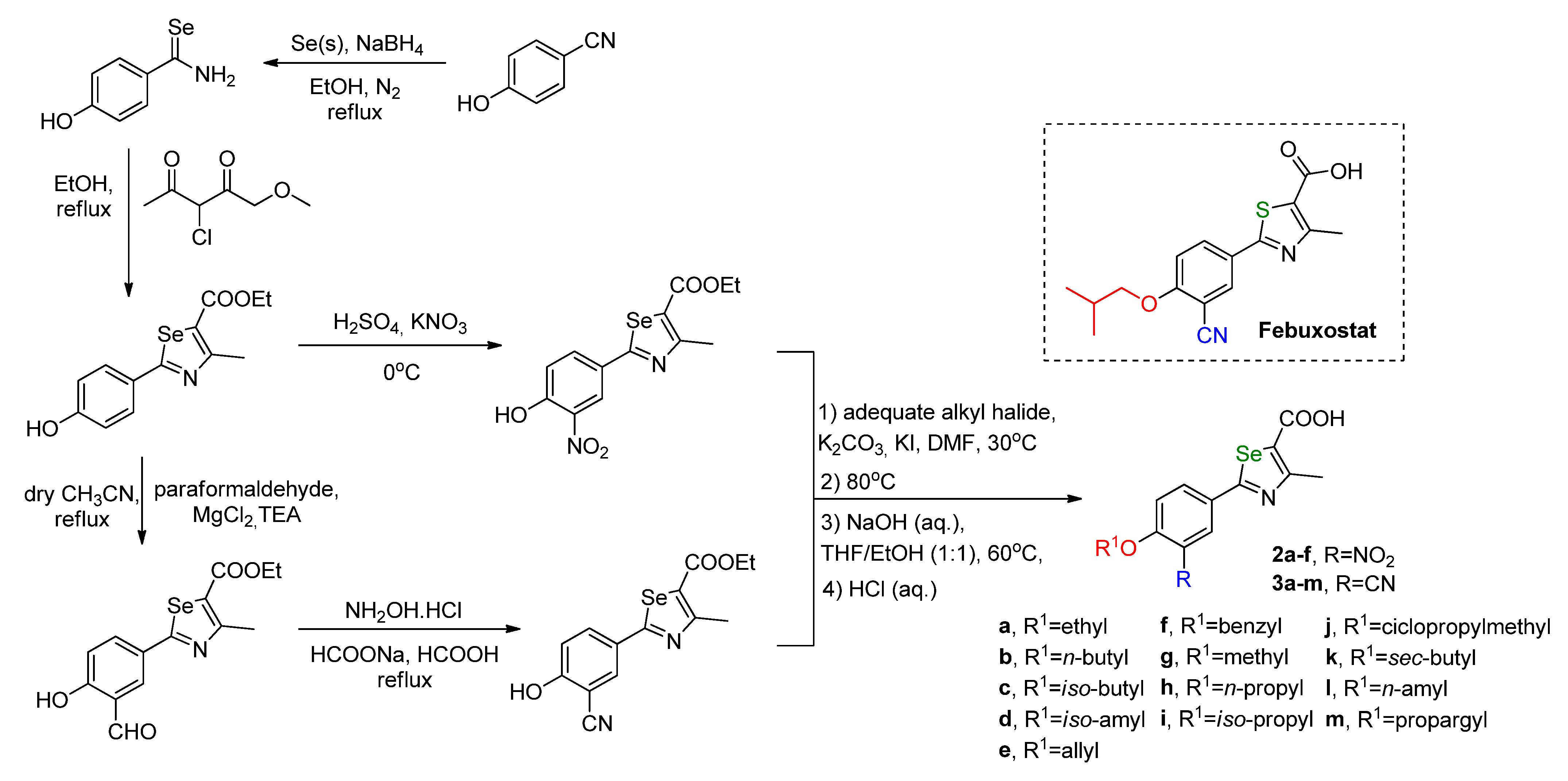
The replacement of the sulfur atom by a selenium one, in a series of febuxostat derivatives, 2af and 3am (Scheme 3), revealed an improvement in the inhibition potential of XO with in vitro IC50 values in nanomolar ranges (same as febuxostat), as observed by Guan and coworkers (Table 1) [39]. The most potent XO inhibitor (3e) was compared with febuxostat (IC50 of 18.6 nM), showing a better performance with an in vitro IC50 value of 5.5 nM. Interestingly, its non-hydrolyzed precursor (not represented) did not present any activity at the tested concentration of 10 μM. Despite the size difference between sulfur and selenium atoms, a docking analysis showed similar interactions with the XO active site and a good overlap of the molecules. The kinetics analysis for 3e showed a mixed-type inhibition.
Other two classes (CI = 4ae, 5ae, and CII = 6af, 7f,g, 8f,g) of Febuxostat analogs were synthesized by Jing Li and coworkers [40] to explore the isosteric replacement of the thiazole ring with a pyrazole ring (Scheme 4). Modifications between class I and II were mainly centered on phenyl substituents (-OR for CI and -NR for CII) for SAR studies. For CI class, substituents at R1 proved to be inefficient for the inhibition effect, once the derivatives did not show significant activity for the tested concentration (Table 2). While for CII, the general observed IC50 values were comparable to febuxostat when R1 = H. Moreover, for the most potent compound, 6f (IC50 = 4.2 nM), molecular modeling showed similar interactions with the XO active site as well as Y-700 and febuxostat. Additionally, the pyrazole ring, as with the thiazole ring in febuxostat, exhibits aromatic interactions with Phe914 and Phe1009. Studies in vivo have shown that oral administration of 6f reduced serum uric acid levels in hyperuricemic mice with a similar profile of febuxostat.
Another deviation in the five-member ring, proposed by Chen and coworkers [41], comprised the replacement of the thiazole group for the 1-hydroxy/methoxy-imidazole ring (Scheme 5). The in vitro IC50 of XO inhibition of the hydroxy-imidazole (9ak) class presented significatively lower values than the methoxy-imidazole class (10ak) (Table 3). Improvement of the activity was found for intermediary carbon chain length substituents at the 4-position (n-butoxy, sec-butoxy, and iso-butoxy). Docking analysis of one of the most potent compounds tested (9f, in vitro IC50 of 6 nM) showed that the hydroxyl group bonded to the nitrogen atom of the imidazole ring improved the interaction with the active site of XO through an additional hydrogen bond with Thr1010. Kinetic assays revealed that the compound 9f inhibition mechanism for XO was a mixed type.
Following the same strategy, Shi and coworkers [42] have synthesized two classes of compounds by replacing the thiazole ring of febuxostat with a 1,2,3-triazole ring containing a carboxylic acid (11ah, 12ah) or a carbohydrazide substituent (13e,f, 14e,f) (Scheme 6). Among the tested compounds, those with carboxyl moiety presented in vitro IC50 values ranging between 84–254 nM, while those compounds with carbohydrazide substituents were not active for XO inhibition (Table 4). The most active compounds were those with i-amyl at the R-position, and cyano group or nitro group at R1 (11f, in vitro IC50 = 84 nM and 12f, in vitro IC50 = 109 nM). However, when compared to febuxostat (in vitro IC50 = 12 nM), those compounds displayed a slight decrease in inhibition potential. A docking analysis reveals similar interactions found in febuxostat and, in addition, it was observed that the nitrogen atom at the 3-position of triazole forms a hydrogen bond with Glu802 and an additional π–π interaction of the five-member ring with Phe1009.
Zhang and coworkers [43] have also synthesized, tested, and compared febuxostat analogs 15as containing the 1,2,3-triazole nucleus as XO inhibitors (Scheme 7) to allopurinol, Y-700, and febuxostat as positive controls. However, in this case, the difference compared to the previously discussed Shi and coworkers’ work [42] is in the isosteric replacement of the nitrogen atoms. The proximity of the X1-position with molybdenum-pterin inspired the authors to replace a carbon atom at this position with a nitrogen atom. The majority of the tested compounds presented an in vitro IC50 value lower than allopurinol (7.56 μM), but greater than Y-700 (0.016 μM) (Table 5). SAR analysis showed that the lipophilicity at the R may be beneficial for the activity. The increase of the carbon chain from three to eight at the R leads to a significant increase in XO inhibition potential (IC50 > 30 μM to IC50 = 0.63 μM). An improvement of inhibition activity was also achieved by insertion of benzyl groups as R, as the meta-Methoxybenzyl group (15s) presented the lower in vitro IC50 value of 0.21 μM. Docking analysis showed a similar interaction compared to febuxostat and the active site of XO, including the triazole ring aromatic interaction with Phe1009 and Phe914. However, the nitrogen atom at X2-position does not seem to have any interaction with molybdenum-pterin as expected. Moreover, neighboring X2-position nitrogen seemed to increase the hydrophilicity around the X1-position nitrogen, leading to the observed decrease in derivatives potency.
Exploring a microwave-assisted synthetic strategy, Jyothi and coworkers [44] produced eight novel XO inhibitors (16ah) comprising febuxostat’s thiazole nucleus through a highly efficient two-step procedure (Scheme 8). The group had also tested the same reaction conditions under thermal heating, in which case the reactions needed between three to five hours and the yields dropped to 64–76%. All the synthesized compounds presented in vitro XO inhibition activities in the nanomolar range. However, the derivatives 16e,f showed the greatest potency, with lower IC50 values (IC50 = 145 nm and 100 nM, respectively) than the control drug allopurinol (IC50 = 150 nm). A SAR investigation pointed out that electron withdrawing groups at the phenyl ring para position are beneficial for the inhibitory activity improvement. Molecular docking with the most active compound 16f pointed out a stronger binding affinity (−9.1 kcal/mol) compared to allopurinol (−7.0 kcal/mol) and more non-binding interaction with amino acids residues within the XO active site, which lead to a more stable bond with the enzyme. A molecular dynamic assay pointed out that there were no significative structural changes from the docked model.
Based in the molecular skeleton of an anthraquinone derivative previously synthesized by the group, which presented a promising XO inhibition activity of 0.61 mM, Zhang and coworkers [45] developed novel XO inhibitors. Two of the group’s major concerns regarding the anthraquinone based derivative were the high lipophilicity giving a poor drug-like characteristic and the DNA binding affinity leading to potential collateral cytotoxic effects. Thus, molecular deviations were proposed, and more than thirty-five compounds were obtained. We present the most active ones and some analogues 17ap to discuss important SAR characteristics (Scheme 9). The best IC50 values were achieved with either the introduction of a fluorine atom at the benzaldehyde R2 position and/or a meta-methoxybenzyl at R4 position (Table 6). The absence of aldehyde functionalization at R1 position resulted in inactive compounds for the chosen criteria of 25 μM maximum concentration for the in vitro activity assays. Moreover, docking analysis showed hydrophobic interactions of the meta-methoxybenzyl with Phe649 and Phe1013 and a well-adjusted accommodation of the meta-fluorine benzaldehyde moiety at the hydrophobic pocket of XO composed of Leu873, Ala1078, and Val1011 amino acids, justifying the promising results comprising those deviations. The parameters metrics of ligand efficiency (LE) and lipophilic ligand efficiency (LLE) were employed to correlate biological activity with the lipophilicity of the most potent compounds showing an important improvement of those parameters with respect to allopurinol used as a positive control, including high solubility in the buffer. Additionally, in vivo tests with the most potent compound 17h showed a 31% of serum uric acid levels reduction in vehicle-treated rats at a dose of 20 mg/kg after 2 h compared to the control, which highlights the selected compound as a promising lead compound.

3.1.2. Derivatives Based on Six-Member Heterocyclic Rings

Febuxostat analogs have also been explored with a six-member heterocycle instead of the five-member. This is the case of 2-mercapto-6-phenylpyrimidine-4-carboxylic acid derivatives 18ac, 19ac, 20ae, 21ae synthesized by Shi and coworkers (Scheme 10) [26]. The thiazole ring was replaced by a mercapto-pyrimidine moiety, and the inhibition activity was compared to febuxostat (Table 7). It was observed that the most promising compound (20b) had a cyano group at R1 and an iso-butyl substituent at R2, presenting an in vitro IC50 of 132 nM. However, the inhibition potency was approximately ten times lower than febuxostat (in vitro IC50 = 13 nM). The other derivatives retained the nanomolar potency, but presented even higher in vitro IC50 values. SAR showed that the cyano group is more promising than other electron-withdrawing substituents such as nitro, iodine, and bromide. However, as foreseen by molecular docking, changes in the structure show that the cyano group from phenyl moiety does not properly interact with the XO active site, whereas the mercapto group interacts via a hydrogen bond with Mos4004 and protonated Glu802 residue. Kinetic assays revelated the mixed type inhibition mechanism of 20b, similar to febuxostat and Y-700.
Using a similar strategy, Zhang and coworkers [46] synthesized two classes of pyridazine derivatives by replacement of the thiazole group of febuxostat with a six-member heterocycle moiety. The first two steps of the strategic synthesis were similar for both classes of compounds. The procedure followed the hydrazinolysis pathway to obtain the carbohydrazide derivatives 22ao or the hydrolysis pathway to obtain the carboxylic acid derivatives 23c,d,h (Scheme 11). Surprisingly, the carboxylic acid derivatives 23c,d,h were not active, while the carbohydrazide derivatives 22ao presented lower in vitro IC50 than allopurinol (in vitro IC50 = 6.43 μM), but much higher than febuxostat (in vitro IC50 = 0.018 μM) (Table 8). The difference in the two classes of compounds activity was explained through molecular docking analysis of analog structures, 6-(3-Cyano-4-isobutoxyphenyl)-3-oxo-2,3-dihydropyridazine-4- carbohydrazide (22c) and 6-(3-Cyano-4-isobutoxyphenyl)-3-oxo-2,3-dihydropyridazine-4-carboxylic acid (23c). According to this analysis, more prominent interactions were found between the carbohydrazide group with the XO active site than a carboxylic acid. The carbohydrazide group of 23c forms hydrogens bounds with Ag880, Glu802, and Mos3004 residues, while the carboxylic acid of 22c only interacts with Glu802. SAR analysis related to the R1 and R2 phenyl substituents showed that both cyano and nitro groups at R1 with O-iso-propyl at R2 are beneficial for inhibition activity (IC50 of 1.03 μM and 1.92 μM, for 22b and 22h, respectively). Kinetic studies comprising the most potent compound (22b) pointed out a mixed-type inhibition mechanism.
Guided by SAR studies, Khanna and coworkers managed to successfully plan diverse structural modification in the isocytosine scaffold [47], which was further explored by the same research group by synthesizing and testing novel molecular deviations [48]. Isocytosine was earlier recognized as a promising lead compound to be explored as a XO inhibitor by the group’s virtual screening collection. More than thirty novel allopurinol and febuxostat hybrid compounds, of which we highlight the most promising ones, 2432 and 3343 (Scheme 12), were organized by structural similarity to detach the SAR influence in modulating the biological activity (Table 9), with extremely low values of in vitro IC50 compared to the control drugs allopurinol and febuxostat. Moreover, 29, 30, 32, and 43 presented good in vivo efficacy in a hyperuricemic rat model compared to allopurinol. The conjugation of allopurinol and febuxostat molecular fractions might explain the promising results consisting of lead compounds where the -NH2 and -OH groups of isocytosine formed fundamental hydrogen bonds with the target’s active site in limited SAR studies, while the R1 and R2 substituents played a key role by managing hydrophobic interactions at the active site pocket’s entrance by both electrostatic interactions and steric effects.
A multi-step synthesis of febuxostat–allopurinol hybrids 45az (Scheme 13) was made by Zhang and coworkers [49] to explore the isosteric replacement of the cyano group of the above-discussed works molecules [47,48] and execute a SAR analysis. XO inhibition was evaluated through IC50 analysis that, in general, had values comparable to febuxostat (Table 10). The most active compounds had meta-chlorobenzyl or meta-bromobenzyl anchored at R with in vitro IC50 of 28.8 nM (45u) and 45.0 nM (45v). A SAR analysis showed that hydrophobic compounds at R are essential for a good inhibition potential. Docking studies of the most potent inhibitor (45u) showed that the tetrazole ring can be accommodated at the XO active site and form hydrogen bonds with Asn768 and Lys771; additionally, the carboxyl group of pyrimidine also interacts with Ag880 and Mo-OH residues. The six-membered heterocycle group of 45u shows the same aromatic interactions as the thiazole group in febuxostat, while chlorobenzyl displays a π–π interaction with Phe649. Lastly, in vivo analysis demonstrated that oral administration of a single dose (5 mg/kg) of 45u in hyperuricemic rats, by administration of potassium oxonate, can lower the serum levels of UA.
A complementary work by Zhang and coworkers further explored the bioisosteric replacement of the febuxostat cyano group by the 1,2,3,4-tetrazole [50]. The synthesized derivative 46aw (Scheme 14) hybrids based in topiroxostat and febuxostat molecular scaffold presented potency in the nanomolar range (IC50 between 31 nM and 603 nM), except for 46ab, which were inactive (Table 11). The general R group influence trend over activity modulation was that increasing hydrophobicity and volume led to better XO inhibition. Additionally, aromatic groups containing electron-withdrawing components at a meta position (46s and 46v) seemed to be the most beneficial pattern to obtain high potency derivatives. Moreover, they further synthesized the analogs 47f,h,l,n. Differently from 46aw, where the cyanophenyl portion was bonded to the nitrogen atom of the amide linker, the N-phenylisonicotinamide counterparts 47f,h,l,n ended up being over twenty times less active (Table 11). A molecular docking study and a molecular dynamics simulation for the most active hybrid 46v revealed a strong interaction with the XO’s active site as tetrazole N4 nitrogen and Asn768; pyridine para-N and Glu1261; cyano group and Ser876 (two H-bonds at the same time, one by the amino acid OH group and the other by NH group); and carbonyl group with Arg880 and Thr1010 via a water bridge. Lastly, kinetic studies involving the selected hybrid 46v revealed a mixed-type of inhibition mechanism.
Motivated to obtain different hybrid derivatives based in topiroxostat and febuxostat molecular structures, Zhang and coworkers [51] explored hybrid structures of isonicotinamide (48as), nicotinamide (49ao), picolinamide (50b,i,j,m,n), and benzamide (51) derivatives where the pyridine moiety nitrogen position also varied (Scheme 15). This time using an amide linker as an isosteric replacement for the previously discussed imidazole linker. SAR showed that large linear carbon chains lead to reduced potency derivatives (Table 12), as observed by the increase in IC50 values from 48b (in vitro IC50 = 2.3 μM) to 48f (in vitro IC50 = 19.2 μM). Additionally, orto- (49ao), meta-N (50b,i,j,m,n) and N absence (51) lead mostly to unactive derivatives. On the other hand, aromatic R groups in para-N derivatives furnished some of the most potent inhibitors, such as 48q with in vitro IC50 of 0.3 μM and 48r with in vitro IC50 of 0.6 μM. Overall, sixteen out of the nineteen isonicotinamide derivatives were more potent than allopurinol (in vitro IC50 = 8.5 μM), but less active than febuxostat (in vitro IC50 = 0.015 μM). As observed through molecular docking studies, isonicotinamide para-N formed a fundamental H-bond with Glu1261 residue. Moreover, regarding the amide group, pronounced interactions with Thr1010, Arg880, and Glu802 were observed, distancing the cyano group from Asn768, which probably lead to the decreased potency of isonicotinamide derivatives compared to febuxostat and its analogs. Lastly, kinetic studies revealed 48q as a mixed-type inhibitor of XO. Which might be explained by potent inhibition of oxidized and reduced forms of XO.
Under a similar approach, Zhang and coworkers [52] developed two novel families of isosteric compounds comprising a cyanophenyl-imidazole scaffold differently connected to a pyridine ring (Scheme 16). The novel synthesized topiroxostat-based para-substituted pyridine (52ag) and meta-substituted pyridine (53ag) also had an R sidechain variated with different hydrocarbon substituents for SAR investigation (Table 13). A SAR analysis pointed out that the steric effect of bulkier substituents contributed to better activity. Further, a 3D-QSAR model with the Topomer comparative molecular field analysis method was used to understand the interactions between 52f/53f and the XO active site. It was observed that pyridine with para-N forms a hydrogen bond with Glu1261 residue, while meta-N does not show any interaction, which could explain the great activity modulation between the isosteric compound families. Considering the aforementioned, the more pronounced activity of compound 52f (in vitro IC50 = 0.64 μM) could be understood. However, it was still not as active as topiroxostat (in vitro IC50 = 0.0048 μM). Lastly, kinetic studies involving 52f showed its mixed-type inhibition mechanism on XO.
Aiming an isosteric replacement of the amide linker by an 1,2,3-triazole nucleus, Zhang and coworkers [53] synthesized the novel febuxostat–topiroxostat hybrid derivatives 54ap (Scheme 17) correlated with Zhang and coworkers’ previous work [50]. These compounds presented a similar inhibition of XO to allopurinol, but lower than febuxostat (Table 14). The most potent compounds were those with iso-pentyl (54j) and cyclopentyl (54k) tails as substituents with IC50 of 8.1 μM and 6.7 μM, respectively. Docking analysis of 54k reveals similar interactions of topiroxostat at the XO active site, including a lipophilic interaction of the cyclopentyloxy ether tail with Leu648, Phen649, and Phen1013 residues. Was also observed that substitution of the N atom at X2-position for a -CH was not favorable due to the distance increase of the triazole ring from the Glu802 residue.

3.2. Bifunctionality: Two Challenges One Solution

3.2.1. XO Inhibition and Inflammatory Control in a Single Moiety

Recently, an extensive work was made by Rashad and coworkers [54] regarding the obtainment of febuxostat derivatives comprising the carboxylic acid termination substitution into several functions like carboxamides, carbohydrazides, carbothioamides, benzonitriles, sulfonohydrazide and variated heterocyclics. The work required over twenty independent synthetic procedures and produced almost thirty novel derivatives. The authors aimed to obtain potent XO inhibitors that also detained relevant anti-inflammatory activity. This way, applicability for acute gout clinical conditions where joint inflammation is a challenging condition could be achieved.
Here, we highlight the obtainment of the five most promising compounds families, 55af, 56ab, 57, 58af and 59b,d (Scheme 18). Despite the outstanding overall potency (XO inhibition and anti-inflammatory) of the selected compounds (Table 15), the in vitro biological assays revealed, for all the compounds, XO inhibition IC50 in the nanomolar range of 9–77 nM, compared to the control drug febuxostat (IC50 = 26 nM). For the anti-inflammatory potential, measured by cyclooxygenase 1 and 2 (COX-1 and COX-2) inhibition, all the compounds achieved excellent IC50 values compared to the range expressed by the control drugs celecoxib (IC50 = 14.7 μM and 0.05 μM, for COX-1 and 2, respectively) and diclofenac sodium (IC50 = 3.80 μM and 0.84 μM, for COX-1 and 2, respectively).
In vivo assays for hypouricemic activities of the most active in vitro compounds were carried under a potassium oxonate-induced acute hyperuricemia mouse model. The results indicated excellent serum uric acid reduction (52.53–59.60%, for a 4h treatment regimen with 5 mg/kg intragastrical administration) compared to the control drug febuxostat (48.48%). For anti-inflammatory activity, the carrageenan-induced mouse paw edema bioassay highlighted compounds 55a, 58e and 59b to be equipotent or more potent than the positive control drug celecoxib in a 5 mg/kg dose over an 8h treatment regimen. Moreover, in silico studies showed that, among the selected compounds, only 56b, 58c and 59b violated a Lipinski’s Rule, detaining LogP >5 [54].

3.2.2. XO Inhibition and ROS Control in a Single Moiety

Given the ROS production during XO activity (Figure 1), the obtainment of XO inhibitor derivatives that are also able to exhibit ROS activity modulation can be the key chemotherapy agents for cancer and other XO-related diseases, already punctuated in the introduction, due to its bifunctionality.
Aiming at the exploration of barbiturates’ wide range of biological activities expressed by enzyme inhibition, Figueiredo and coworkers [55] synthesized a vast series of 1,3,5-trisubstituted barbiturates and thiobarbiturates. Among them, two compounds, already synthesized back in 2001 by Jursic and Neumann [56], demonstrated a very interesting combination of biological activities and became of interest to this review (Scheme 19). Derivatives 60a and 60b presented good in vitro IC50 values of 24.3 μM and 27.9 μM for XO, respectively. However, the greater antioxidant capacity than the reference drug Trolox, pointed out by the 2,2-diphenyl-1-picrylhydrazyl (DPPH) radical scavenging assay at both time intervals, put 60a and 60b in a special position for XO-related diseases. Given the ROS production during XO activity, both hydrazinyl derivatives can be the key compounds for cancer and other XO-related diseases, already punctuated in the introduction, treatment due to their bifunctionality.
Present in Radix Salviae Miltiorrhizae, salvianolic acid C (SAC) was found, by Ph.D. Chen’s research group, to be a promising natural compound suitable for XO inhibition [57]. Later, in two subsequent works from the same group, Tang and coworkers vastly explored the obtained natural product through an in depth study of the SAR involved in 2-arylbenzo[b]furan molecular scaffold regarding XO inhibition [58,59]. We highlight from the 2-arylbenzo[b]furan derivatives 61af, 62af, 63af and 64af synthesized in the first work [58] (Scheme 20), the amino derivatives (59af, 60af) prepared from SAC’s hydrolysate, Tournefolic Acid A (TAA). When tested for antioxidizing potential in a DPPH radical scavenging assay, they achieved greater potency than the control drug Quercetin (in vitro IC50 = 6.0 μM) besides presenting almost the same potency of the control drug Allopurinol (in vitro IC50 = 3.61μM) for XO inhibition (Table 16). Other derivatives did not present significative in vitro XO inhibition activity up to 60 μM and were not considered for further discussion. Kinetic studies for compound 62e revelated a mixed-type competitive inhibition with respect to xanthine for binding to XO (similar to SAC), where 62e affinity for the enzyme (inhibition constant Ki = 3.43 μM) was greater than its affinity for the enzyme–substrate complex (inhibition constant Ki = 15.21 μM).
From the second work [59], novel amino derivatives were synthesized, 66ad, 67ao, and 68ad (Scheme 21). Among them, special attention was given to the hydrogenated TAA derivative (TAAH), with in vitro IC50 = 9.76 μM lower than its preceding compound (in vitro IC50 = 16.05 μM). Unfortunately, further deviations in TAAH (68ad) did not result in any potency increase for XO inhibition (Table 17). Among the most potent compounds, 67a had its efficacy in reverting the hyperuricemia condition verified in vivo with a potassium oxonate-induced hyperuricemic mice model. Kinetic assays comprising 67a gave the same results as the first work, a mixed-type competitive mode inhibitor with respect to xanthine for binding to XO. The inhibition constant for the 67a-enzyme complex was lower (Ki = 3.52 μM) than the one for the 67a-enzyme-xanthine complex (Ki = 13.14 μM), showing greater inhibitor affinity for the free enzyme than for the complex. Every synthesized derivative presented good antioxidant potential in a DPPH radical scavenging assay, with IC50 varying between 6.61–21.08 μM. Intracellular ROS inhibitory assays pointed out that some of the most potent inhibitors (67a,f,n) also presented potent ROS scavenging potential up to 10 μM.
In a previous work, Malik and coworkers [60] have found, through in silico design and ADMET studies, that hesperidin succeeded as a potential XO inhibitor. Already being known for its antioxidant potential, in a second work [61] novel hydrazine and amine hesperidin derivatives were synthesized as XO inhibitors and antioxidant agents (Scheme 22). The synthesized compounds have shown good XO inhibition activity, the most promising one being 3HDa1. It showed an in vitro XO inhibition activity up to 50 times better than the positive control drug, allopurinol (IC50 = 10.410 μM), nearly 100 times better than the precursor compound hesperidin (IC50 = 20.450 μM), and was also one of the most potent in the antioxidant assays. A molecular docking study was carried out with the two most potent compounds (3HDa1 and 3HDa2). It pointed out that their main interactions with XO were the same, with the exception of the O-glycoside OH group with Gly1260 (3HDa1) and phenolic ring OH group with Thr592 (3HDa2). Only one polar interaction with Gln585 was found to be the same for 3HDa1, 3HDa2, and hesperidin. Regarding SAR studies, it is pointed out that, overall, amino derivatives proved to be more promising than the hydrazine ones. Moreover, the electron-withdrawing group at the aromatic ring seems to enhance the bioactivities. Lastly, the kinetic assays assigned 3HDa1 as a competitive inhibitor.
Benzimidazole moiety is known for its broad biological activities, ranging from anticancer, to antioxidant [62,63]. Therefore, Nile and coworkers [64] have synthesized a collection of benzimidazole derivatives as novel XO inhibitors, that also act as a free radical scavenger. We highlight the three most active ones (B3, B6, B9) (Scheme 23), which presented an in vitro IC50 lower than the standard allopurinol (IC50 = 5.5 µM). Moreover, a potential antioxidant activity, reaching almost the same radical scavenging activity in the DPPH assay as the control compound quercetin (48,8%), was observed.

4. IMER Based HPLC and CE Assays to Screen for XO Inhibitors

The advent of enzyme immobilization in solid supports started a new trend in bioactive compounds screening. By using adequately treated capillaries, enzymes became available as a viable stationary phase once immobilized into their surface. The obtained piece is called an immobilized enzyme reactor (IMER) where the stationary phase can selectively interact with substrates and inhibitors [20]. This selectivity is particularly attractive when considering the complexity regarding the presence of dozens of compounds in natural or synthetical complex matrixes for unveiling novel potential pharmacological entities. Separating and purifying each one of them is completely out of scope, especially when their exact number is unknown, and the additional step of individual structure characterization would require an extraordinary effort and amount of time [65]. Moreover, a remarking characteristic of IMERs is the possibility of multiple uses of the same enzymes, considerably reducing the biological assays costs [66].
Therefore, in-flow screening assay systems provide a plethora of benefits to elegantly overcome this challenge. Overall, we can highlight being a single and automatized procedure that can separate the components, identify the bioactive ones and quantify its efficiency. Consequently, this kind of assay allows the obtainment of an inhibition constant (Ki), inhibition mechanism, and Michaelis–Menten constant (KM) [22]. Specific discussion regarding the obtainment of those analytical data and the chemistry involved in the IMER manufacturing will not be described, once there are already a plethora of articles doing so [20,22,24,66,67,68,69], and it will drift away from this article’s purpose regarding XO.

4.1. HPLC Approaches

Rodrigues and coworkers [70] adapted an HPLC system where an IMER consisting of a fused silica capillary, amino-functionalized with (3-aminopropil)triethoxysilane (APTES) and treated with glutaraldehyde (GA) to covalently bind the enzymes was employed in a unidimensional assay. Despite an IMER detaining no resolution, the coupled tandem MS as the detection method allowed the unambiguous identification of XO inhibitors at a rate of 288 analysis/day (Figure 2A). This way, thirty natural compounds from different sources were screened, and their respective inhibition percentages and IC50 values were obtained based on the IMER activity modulation as a consequence of the injected compound. Moreover, with the injection of crescent concentrations of substrate (xanthine), KM = 14.5 μM was accessed by nonlinear regression of the Michaelis–Menten plots. A previous setup [71] consisted of a bidimensional HPLC system with an analytical C18 column in the second dimension, so the DAD detector was able to be used. Despite being a cheaper and easier-to-work setup, this 2D-HPLC approach slowed down the screening to a rate of 84 analyses/day (Figure 2B). A series of ruthenium complexes based on the allopurinol structure was able to be successfully screened. The derivative 4CBALO presented Ki = 0.29 μM and IC50 = 0.07 μM, more than five times and 4.5 times lower than allopurinol (Ki = 1.55 μM and IC50 = 0.32 μM), respectively. Moreover, with the IMER activity being able to be recovered up to 97%, together with the low Ki and IC50 values, 4CBALO was characterized as a reversible competitive tight-binding XO inhibitor.
Using the same setup for the screening of the ruthenium complexes, nine synthesized deazaguanine derivatives (Scheme 24), based on allopurinol’s molecular skeleton, were able to be screened for their XO inhibition potential [72]. Among them, LSPN451 was observed to be a promising candidate for additional assays given its more pronounced enzymatic activity modulation by inhibiting 83.6% of the IMER’s activity, thus reducing the produced UA. LSPN4451 IC50 = 65 nM was retrieved from an inhibition curve constructed by varying the given inhibitor concentration at a fixed substrate concentration. The non-competitive inhibition mechanism and inhibition constant Ki = 55.1 nM (almost thirty times more potent than allopurinol for the same assay) were extracted from the Lineweaver–Burk plot constructed with different concentrations of the substrate for each injection of pre-determined inhibitor concentrations.
Using the same 2D-HPLC setup previously described, Peng and coworkers [73] managed to adequately produce an automatized platform to execute solid-phase ligand-fishing in the first dimension IMER, followed by separation, purification, and quantification in the second dimension C-18 analytic column. After injection, the sample was eluted by the buffer employed as the initial mobile phase, so that unbound compounds were flushed out while XO inhibitors stayed inside the IMER. In a second moment, the programmed valve switched. Therefore, methanol became the mobile phase and the bounded compounds were carried to the analytical column. It should be mentioned that even after the methanol wash, the IMER retained 96% of its activity after ten consecutive cycles. Under those conditions, six compounds could be fished out from the Lonicera macranthoides extract and identified, after retention time, UV and MS/MS analysis, namely caffeoylquinic acid, 5-caffeoylquinic acid, 4-caffeoylquinic acid, 3,4-dicaffeoylquinic acid, 3,5-dicaffeoylquinic acid, and 4,5-dicaffeoylquinic acid.

4.2. CE Approaches

CE is a separation technique where the components present in a sample matrix migrate at different speeds, either qualitatively or quantitatively, through the application of a potential difference between two immersed electrodes in an ionic solution. Due to its low sample consumption, ability to monitor the reaction in real-time, the potential for high throughput and high resolving power, CE is also used for screening enzyme inhibitors through voltage difference separation followed by direct detection and quantification of the enzymatic product considering an in-flow approach [74,75].
CE was successfully used by Wu and coworkers [23] for in-flow screening natural compounds as XO inhibitors. After XO immobilization in the fused silica capillary (Figure 3), different substrate concentrations were injected to perform kinetic studies that allowed the obtainment of KM = 0.39 mM, being considered by the authors as a close value to the one described in the literature value, showing no significant structural changes in XO after immobilization. The Ki of 5.2 μM was also obtained using the known XO inhibitor 4-aminopyrazolo[3,4-d]pyrimidine (4APP), slightly lower than the literature (8 μM), which was acceptable and justified by enzymes origin and assay conditions. Lastly, in under 5 min screening assays, four of the ten flavonoids showed promising results (>50% inhibition of XO activity) through the in-flow methodology, namely dihydroquercetin, quercetin, biochanin A, and epicatechin. The IMER maintained up to 95% of its enzymatic activity after thirty consecutive assays.
Pingtan and coworkers [75] also developed an in-flow method for XO inhibitors screening using CE, but with adenosine deaminase (ADA) co-immobilization in the same IMER to identify possible inhibitors from a library of 20 natural extracts (Figure 4). Co-immobilization was performed with both negatively charged enzymes on gold nanoparticles, and later, they were immobilized at the entrance end of the positively charged capillary by electrostatic interactions. After immobilization in the capillary, different substrates concentration injections allowed the obtainment of the calculated KM of 0.55 mM for ADA and 0.37 mM for XO. Those values were reported by the authors to be different from the literature, but acceptable and justifiable by means of changes in affinity between the enzyme-substrate due to the immobilization process. Kinetic tests were performed with known inhibitors, erythro-9-(2-hydroxy-3-nonyl)adenine for ADA and 4APP for XO. The method was validated by the calculated Ki values of 9.6 nM and 8.9 μM, which matched the literature-reported ones. Screening assays that took less than 3 min pointed to the extract of rhizoma chuanxiong and indigo naturalis as ADA inhibitors, while the extract of rhizoma chuanxiong, cortex phellodendri, rhizoma alpiniae officinarum, and ramulus cinnamoni were identified as XO inhibitors, concluding that the extract of rhizoma chuanxiong is an inhibitor of both enzymes. Therefore, the developed method also proved to be a promising multi-target enzyme screening method.

5. Conclusions

Many advances comprising the obtainment of XO inhibitors were observed. Novel synthetic febuxostat-based inhibitors were reported with IC50 and inhibition rate as good as the FDA-approved drugs employed as control (Allopurinol and Febuxostat). Hybridization and isosterism were used as the main synthetic gimmicks to obtain the more potent derivatives. Under this concept, heterocyclic rings allowed the synthesis of a plethora of high potency inhibitors, which ranked them into a privileged position as a viable molecular scaffold to develop further XO inhibitors. Additionally, molecular modeling studies allowed further comprehension of the key molecular features, which an effective molecular framework should present to behave as a potential XO inhibitor, allowing, in some cases, the achievement of nanomolar potencies and kinetic assays that pointed out that the most potent derivatives presented mixed-type inhibition mechanism. Together, synthetic and computational works are closing the gap for the obtainment of more potent and selective small molecules that behave as XO inhibitors. In short, aiming for structural changes over hybridization leads to more derivatives bearing a nanomolar range of potency. However, a more complex challenge seems to have been established over the last decade, as bifunctional compounds have been produced to inhibit XO activity and at the same time control aggravating factors associated with its activity like ROS and inflammatory process control.
On the other hand, developments in biological assays allowed the obtainment of screening techniques comprising the combination of enzymes, a very delicate and expensive resource, with high-end analytical instruments with automated operation (HPLC and CE). That association enabled the achievement of powerful and versatile setups to screen for XO inhibitors in natural sources without the necessity of individual steps of separation, purification or identification, accelerating the discovery of unknown XO inhibitor compounds. Additionally, the adequate approach made the acquisition of kinetic parameters (KM and Ki), the mechanism (competitive, uncompetitive and non-competitive), and potency (IC50 and inhibition rates) in single automatized procedures possible. Lastly, IMERs allowed the manutention of enzymes’ stability and activity for several assays, reducing the drug discovery process costs, differently to the one-time use only for solution assays.

Author Contributions

Conceptualization, R.C.S.L.; methodology, R.C.S.L. and C.A.W.; validation, R.C.S.L.; formal analysis, R.C.S.L. and C.A.W.; investigation, R.C.S.L. and C.A.W.; data curation, M.F.S.d.A., C.A.W., M.S.C., I.G.M.S. and R.C.S.L.; writing—original draft preparation, M.F.S.d.A., C.A.W., M.S.C., I.G.M.S. and R.C.S.L.; writing—review and editing, R.C.S.L.; supervision, R.C.S.L. All authors have read and agreed to the published version of the manuscript.

Funding

This study was financed in part by the Coordenação de Aperfeiçoamento de Pessoal de Nível Superior—Brasil (CAPES)—Finance Code 001. CNPq and FAPERJ (Grants E-26/202.909/2019, E-26/010.000978/2019 and SEI-260003/001167/2020).

Data Availability Statement

Not applicable.

Acknowledgments

Renato C. S. Lessa acknowledges Coordenação de Aperfeiçoamento de Pessoal de Nível Superior—Brasil (CAPES) for the scholarship received. Miguel F. S. de Abreu and Camila A. Wegermann acknowledges Fundação Carlos Chagas Filho de Amparo à Pesquisa do Estado do Rio de Janeiro (FAPERJ) for the scholarship received.

Conflicts of Interest

The authors declare no conflict of interest.

References

  1. McManaman, J.L.; Bain, D.L. Structural and Conformational Analysis of the Oxidase to Dehydrogenase Conversion of Xanthine Oxidoreductase. J. Biol. Chem. 2002, 277, 21261–21268. [Google Scholar] [CrossRef] [PubMed]
  2. Hille, R.; Hall, J.; Basu, P. The Mononuclear Molybdenum Enzymes. Chem. Rev. 2014, 114, 3963–4038. [Google Scholar] [CrossRef] [PubMed]
  3. Pacher, P.; Nivorozhkin, A.; Szabó, C. Therapeutic Effects of Xanthine Oxidase Inhibitors: Renaissance Half a Century after the Discovery of Allopurinol. Pharmacol. Rev. 2006, 58, 87–114. [Google Scholar] [CrossRef]
  4. Ty, M.C.; Zuniga, M.; Gotz, A.; Sahu, P.K.; Mohanty, A.; Mohanty, S.; Wassmer, S.C.; Rodriguez, A. Malaria inflammation by xanthine oxidase-produced reactive oxygen species. EMBO Mol. Med. 2019, 11, e9903. [Google Scholar] [CrossRef] [PubMed]
  5. Iwalokun, B.A.; Bamiro, S.B.; Ogunledun, A. Levels and interactions of plasma xanthine oxidase, catalase and liver function parameters in Nigerian children with Plasmodium falciparum infection. APMIS 2006, 114, 842–850. [Google Scholar] [CrossRef] [PubMed]
  6. Luchtemberg, M.N.; Petronilho, F.; Constantino, L.; Gelain, D.P.; Andrades, M.; Ritter, C.; Moreira, J.C.F.; Streck, E.L.; Dal-Pizzol, F. Xanthine oxidase activity in patients with sepsis. Clin. Biochem. 2008, 41, 1186–1190. [Google Scholar] [CrossRef] [PubMed]
  7. Schmidt, H.M.; Kelley, E.E.; Straub, A.C. The impact of xanthine oxidase (XO) on hemolytic diseases. Redox Biol. 2019, 21, 101072. [Google Scholar] [CrossRef]
  8. Hassoun, P.M.; Yu, F.S.; Gote, C.G.; Zulueta, J.J.; Sawhney, R.; Skinner, K.A.; Skinner, H.B.; Parks, D.A.; Lanzillo, J.J. Upregulation of Xanthine Oxidase by Lipopolysaccharide, Interleukin-1, and Hypoxia. Am. J. Respir. Crit. Care Med. 1998, 158, 299–305. [Google Scholar] [CrossRef]
  9. Komakia, Y.; Sugiuraa, H.; Koarai, A.; Tomaki, M.; Ogawa, H.; Akita, T.; Hattori, T.; Ichinose, M. Cytokine-mediated xanthine oxidase upregulation in chronic obstructive pulmonary disease’s airways. Pulm. Pharmacol. Ther. 2005, 18, 297–302. [Google Scholar] [CrossRef]
  10. Akhigbe, R.E.; Ajayi, L.O.; Ajayi, A.F. Codeine exerts cardiorenal injury via upregulation of adenine deaminase/xanthine oxidase and caspase 3 signaling. Life Sci. 2021, 273, 118717. [Google Scholar] [CrossRef] [PubMed]
  11. Jinnah, H.A.; Sabina, R.L.; Berghe, G.V.D. Metabolic disorders of purine metabolism affecting the nervous system. Handb. Clin. Neurol. 2013, 113, 1827–1836. [Google Scholar]
  12. Bove, M.; Cicero, A.F.; Borghi, C. The Effect of Xanthine Oxidase Inhibitors on Blood Pressure and Renal Function. Curr. Hypertens. Rep. 2017, 19, 95. [Google Scholar] [CrossRef] [PubMed]
  13. Kim, S.C.; Schneeweiss, S.; Choudhry, N.; Liu, J.; Glynn, R.J.; Solomon, D.H. Effects of Xanthine Oxidase Inhibitors on Cardiovascular Disease in Patients with Gout: A Cohort Study. Am. J. Med. 2015, 128, 653.e7–653.e16. [Google Scholar] [CrossRef]
  14. Dawson, J.; Walters, M. Uric acid and xanthine oxidase: Future therapeutic targets in the prevention of cardiovascular disease? Br. J. Clin. Pharmacol. 2006, 62, 633–644. [Google Scholar] [CrossRef] [PubMed]
  15. Saito, H.; Tanaka, K.; Iwasaki, T.; Oda, A.; Watanabe, S.; Kanno, M.; Kinura, H.; Shimabukuro, M.; Asahi, K.; Watanabe, T.; et al. Xanthine oxidase inhibitors are associated with reduced risk of cardiovascular disease. Sci. Rep. 2021, 11, 1380. [Google Scholar] [CrossRef]
  16. Borges, F.; Fernandes, E.; Roleira, F. Progress Towards the Discovery of Xanthine Oxidase Inhibitors. Curr. Med. Chem. 2002, 9, 195–217. [Google Scholar] [CrossRef] [PubMed]
  17. Wright, D.T.; Cohn, L.A.; Li, H.; Fischer, B.; Li, M.L.; Adler, K.B. Interactions of Oxygen Radicals with Airvvay Epithelium. Environ. Health Perspect. 1994, 102, 85–90. [Google Scholar] [PubMed]
  18. Zadák, Z.; Hyspler, R.; Tichá, A.; Hronek, M.; Fikrová, P.; Rathouská, J.; Hrnciariková, D.; Stetina, R. Antioxidants and vitamins in clinical conditions. Physiol. Res. 2009, 58, S13–S17. [Google Scholar] [CrossRef] [PubMed]
  19. Copeland, R.A.; Harpel, M.R.; Tummino, P.J. Targeting enzyme inhibitors in drug discovery. Expert Opin. Ther. Targets 2007, 11, 967–978. [Google Scholar] [CrossRef] [PubMed]
  20. De Moraes, M.C.; Cardoso, C.L.; Cass, Q.B. Solid-Supported Proteins in the Liquid Chromatography Domain to Probe Ligand-Target Interactions. Front. Chem. 2019, 7, 752. [Google Scholar] [CrossRef] [PubMed]
  21. Ximenes, I.A.; Albino, M.; Sangregorio, C.; Cass, Q.B.; de Moraes, M.C. On-flow magnetic particle activity assay for the screening of human purine nucleoside phosphorylase inhibitors. J. Chromatogr. A 2022, 1663, 462740. [Google Scholar] [CrossRef]
  22. Calleri, E.; Temporini, C.; Colombo, R.; Tengattini, S.; Rinaldi, F.; Brusotti, G.; Furlanetto, S.; Massolini, G. Analytical settings for in-flow biocatalytic reaction monitoring. Trends Anal. Chem. 2021, 143, 116348. [Google Scholar] [CrossRef]
  23. Wu, Z.Y.; Zhang, H.; Yang, Y.Y.; Yang, F.Q. Evaluation of xanthine oxidase inhibitory activity of flavonoids by an on-line capillary electrophoresis-based immobilized enzyme microreactor. Electrophoresis 2020, 41, 1326–1332. [Google Scholar] [CrossRef]
  24. De Simone, A.; Naldi, M.; Bartolini, M.; Davani, L.; Andrisano, V. Immobilized Enzyme Reactors: An Overview of Applications in Drug Discovery from 2008 to 2018. Chromatographia 2019, 82, 425–441. [Google Scholar] [CrossRef]
  25. Kelley, E.E.; Trostchansky, A.; Rubbo, H.; Freeman, B.A.; Radi, R.; Tarpey, M.M. Binding of Xanthine Oxidase to Glycosaminoglycans Limits Inhibition by Oxypurinol. J. Biol. Chem. 2004, 279, 37231–37234. [Google Scholar] [CrossRef] [PubMed]
  26. Shi, A.; Zhang, L.; Wang, H.; Wang, S.; Yang, M.; Guan, Q.; Bao, K.; Zhang, W. Design, synthesis and bioevaluation of 2-mercapto-6-phenylpyrimidine-4-carboxylic acid derivatives as potent xanthine oxidase inhibitors. Eur. J. Med. Chem. 2018, 155, 590–595. [Google Scholar] [CrossRef] [PubMed]
  27. Komoriya, K.; Osada, Y.; Hasegawa, M.; Horiuchi, H.; Kondo, S.; Couch, R.C.; Griffin, T.B. Hypouricemic effect of allopurinol and the novel xanthine oxidase inhibitor TEI-6720 in chimpanzees. Eur. J. Pharmacol. 1993, 250, 455–460. [Google Scholar] [CrossRef]
  28. Osada, Y.; Tsuchimoto, M.; Fukushima, H.; Kondo, S.; Hasegawa, M.; Komoriya, K. Hypouricemic effect of the novel xanthine oxidase inhibitor, TEI-6720, in rodents. Eur. J. Pharmacol. 1993, 241, 183–188. [Google Scholar] [CrossRef]
  29. Robinson, C.P.; Dalbeth, N. Febuxostat for the treatment of hyperuricaemia in gout. Expert Opin. Pharmacother. 2018, 19, 1289–1299. [Google Scholar] [CrossRef]
  30. Grewal, H.K.; Martinez, J.R.; Espinoza, L.R. Febuxostat: Drug review and update. Expert Opin. Drug Metab. Toxicol. 2014, 10, 747–758. [Google Scholar] [CrossRef] [PubMed]
  31. Okamoto, K.; Eger, B.T.; Nishino, T.; Kondo, S.; Pai, E.F.; Nishino, T. An extremely potent inhibitor of xanthine oxidoreductase. Crystal structure of the enzyme-inhibitor complex and mechanism of inhibition. J. Biol. Chem. 2003, 278, 1848–1855. [Google Scholar] [CrossRef] [PubMed]
  32. Fukunari, A.; Okamoto, K.; Nishino, T.; Eger, B.T.; Pai, E.F.; Kamezawa, M.; Yamada, I.; Kato, N. Y-700 [1-[3-Cyano-4-(2,2-dimethylpropoxy)phenyl]-1H-pyrazole-4-carboxylic acid]: A potent xanthine oxidoreductase inhibitor with hepatic excretion. J. Pharmacol. Exp. Ther. 2004, 311, 519–528. [Google Scholar] [CrossRef] [PubMed]
  33. Ishibuchi, S.; Morimoto, H.; Oe, T.; Ikebe, T.; Inoue, H.; Fukunari, A.; Kamezawa, M.; Yamada, I.; Naka, Y. Synthesis and structure-activity relationships of 1-phenylpyrazoles as xanthine oxidase inhibitors. Bioorg. Med. Chem. Lett. 2001, 11, 879–882. [Google Scholar] [CrossRef]
  34. Ding, H.X.; Leverett, C.A.; Kyne, R.E., Jr.; Liu, K.K.-C.; Fink, S.J.; Flick, A.C.; O’Donnell, C.J. Synthetic approaches to the 2013 new drugs. Bioorg. Med. Chem. 2015, 23, 1895–1922. [Google Scholar] [CrossRef]
  35. Sato, T.; Ashizawa, N.; Matsumoto, K.; Iwanaga, T.; Nakamura, H.; Inoue, T.; Nagata, O. Discovery of 3-(2-cyano-4-pyridyl)-5-(4-pyridyl)-1,2,4-triazole, FYX-051-a xanthine oxidoreductase inhibitor for the treatment of hyperuricemia. Bioorg. Med. Chem. Lett. 2009, 19, 6225–6229. [Google Scholar] [CrossRef]
  36. Matsumoto, K.; Okamoto, K.; Ashizawa, N.; Nishino, T. FYX-051: A novel and potent hybrid-type inhibitor of xanthine oxidoreductase. J. Pharmacol. Exp. Ther. 2011, 336, 95–103. [Google Scholar] [CrossRef]
  37. Nishino, T.; Okamoto, K. Mechanistic insights into xanthine oxidoreductase from development studies of candidate drugs to treat hyperuricemia and gout. J. Biol. Inorg. Chem. 2015, 20, 195–207. [Google Scholar] [CrossRef]
  38. Song, J.U.; Choi, S.P.; Kim, T.H.; Jung, C.K.; Lee, J.-Y.; Jung, S.-H.; Kim, G.T. Design and synthesis of novel 2-(indol-5-yl)thiazole derivatives as xanthine oxidase inhibitors. Bioorg. Med. Chem. Lett. 2015, 25, 1254–1258. [Google Scholar] [CrossRef]
  39. Guan, Q.; Cheng, Z.; Ma, X.; Wang, L.; Feng, D.; Cui, Y.; Bao, K.; Wu, L.; Zhang, W. Synthesis and bioevaluation of 2-phenyl-4-methyl-1,3-selenazole-5-carboxylic acids as potent xanthine oxidase inhibitors. Eur. J. Med. Chem. 2014, 85, 508–516. [Google Scholar] [CrossRef]
  40. Li, J.; Wu, F.; Liu, X.; Zou, Y.; Chen, H.; Li, Z.; Zhang, L. Synthesis and bioevaluation of 1-phenyl-pyrazole-4-carboxylic acid derivatives as potent xanthine oxidoreductase inhibitors. Eur. J. Med. Chem. 2017, 140, 20–30. [Google Scholar] [CrossRef]
  41. Chen, S.; Zhang, T.; Wang, J.; Wang, F.; Niu, H.; Wu, C.; Wang, S. Synthesis and evaluation of 1-hydroxy/methoxy-4-methyl-2-phenyl-1H-imidazole-5-carboxylic acid derivatives as non-purine xanthine oxidase inhibitors. Eur. J. Med. Chem. 2015, 103, 343–353. [Google Scholar] [CrossRef] [PubMed]
  42. Shi, A.; Wang, D.; Wang, H.; Wu, Y.; Tian, H.; Guan, Q.; Kai, B.; Zhang, W. Synthesis and bioevaluation of 2-phenyl-5-methyl-2H-1,2,3-triazole-4-carboxylic acid/carbohydrazide derivatives as potent xanthine oxidase inhibitors. RSC Adv. 2016, 6, 114879–114888. [Google Scholar] [CrossRef]
  43. Zhang, T.J.; Wu, Q.X.; Li, S.-Y.; Wang, L.; Sun, Q.; Zhang, Y.; Meng, F.-h.; Gao, H. Synthesis and evaluation of 1-phenyl-1H-1,2,3-triazole-4-carboxylic acid derivatives as xanthine oxidase inhibitors. Bioorg. Med. Chem. Lett. 2017, 27, 3812–3816. [Google Scholar] [CrossRef] [PubMed]
  44. Jyothi, M.; Khamees, H.A.; Patil, S.M.; Ramu, R.; Khanum, S.A. Microwave-Assisted Synthesis, Characterization, Docking Studies and Molecular Dynamic of Some Novel Phenyl Thiazole Analogs as Xanthine Oxidase Inhibitor. J. Iran. Chem. Soc. 2022, 19, 3919–3933. [Google Scholar] [CrossRef]
  45. Zhang, T.J.; Zhang, Y.; Zhang, Z.H.; Wang, Z.R.; Zhang, X.; Hu, S.S.; Lu, P.F.; Guo, S.; Meng, F.H. Discovery of 4-(phenoxymethyl)-1H-1,2,3-triazole derivatives as novel xanthine oxidase inhibitors. Bioorg. Med. Chem. Lett. 2022, 60, 128582. [Google Scholar] [CrossRef]
  46. Zhang, L.; Wang, S.; Yang, M.; Shi, A.; Wang, H.; Guan, Q.; Bao, K.; Zhang, W. Design, synthesis and bioevaluation of 3-oxo-6-aryl-2,3-dihydropyridazine-4-carbohydrazide derivatives as novel xanthine oxidase inhibitors. Bioorg. Med. Chem. 2019, 27, 1818–1823. [Google Scholar] [CrossRef]
  47. Khanna, S.; Burudkar, S.; Bajaj, K.; Shah, P.; Keche, A.; Ghosh, U.; Desai, A.; Srivastava, A.; Kulkarni-Almeida, A.; Deshmukh, N.J.; et al. Isocytosine-based inhibitors of xanthine oxidase: Design, synthesis, SAR, PK and in vivo efficacy in rat model of hyperuricemia. Bioorg. Med. Chem. Lett. 2012, 22, 7543–7546. [Google Scholar] [CrossRef]
  48. Bajaj, K.; Burudkar, S.; Shah, P.; Keche, A.; Ghosh, U.; Tannu, P.; Khanna, S.; Srivastava, A.; Deshmukh, N.J.; Dixit, A.; et al. Lead optimization of isocytosine-derived xanthine oxidase inhibitors. Bioorg. Med. Chem. Lett. 2013, 23, 834–838. [Google Scholar] [CrossRef]
  49. Zhang, B.; Dai, X.; Bao, Z.; Mao, Q.; Duan, Y.; Yang, Y.; Wang, S. Targeting the subpocket in xanthine oxidase: Design, synthesis, and biological evaluation of 2-[4-alkoxy-3-(1H-tetrazol-1-yl) phenyl]-6-oxo-1,6-dihydropyrimidine-5-carboxylic acid derivatives. Eur. J. Med. Chem. 2019, 181, 111559. [Google Scholar] [CrossRef]
  50. Zhang, T.J.; Zhang, Y.; Tu, S.; Wu, Y.-H.; Zhang, Z.-H.; Meng, F.-H. Design, synthesis and biological evaluation of N-(3-(1H-tetrazol-1-yl)phenyl)isonicotinamide derivatives as novel xanthine oxidase inhibitors. Eur. J. Med. Chem. 2019, 183, 111717. [Google Scholar] [CrossRef]
  51. Zhang, T.J.; Li, S.-Y.; Wang, L.; Sun, Q.; Wu, Q.-X.; Zhang, Y.; Meng, F.-H. Design, synthesis and biological evaluation of N-(4-alkoxy-3-cyanophenyl)isonicotinamide/nicotinamide derivatives as novel xanthine oxidase inhibitors. Eur. J. Med. Chem. 2017, 141, 362–372. [Google Scholar] [CrossRef] [PubMed]
  52. Zhang, T.; Lv, Y.; Lei, Y.; Liu, D.; Feng, Y.; Zhao, J.; Chen, S.; Meng, F.; Wang, S. Design, synthesis and biological evaluation of 1-hydroxy-2-phenyl-4-pyridyl-1H-imidazole derivatives as xanthine oxidase inhibitors. Eur. J. Med. Chem. 2018, 146, 668–677. [Google Scholar] [CrossRef] [PubMed]
  53. Zhang, T.J.; Li, S.Y.; Zhang, Y.; Wu, Q.X.; Meng, F.H. Design, synthesis, and biological evaluation of 5-(4-(pyridin-4-yl)-1H-1,2,3-triazol-1-yl)benzonitrile derivatives as xanthine oxidase inhibitors. Chem. Biol. Drug Des. 2017, 91, 526–533. [Google Scholar] [CrossRef] [PubMed]
  54. Rashad, A.Y.; Kassab, S.E.; Daabees, H.G.; Moneim, A.E.A.; Rostom, S.A.F. Febuxostat-based amides and some derived heterocycles targeting xanthine oxidase and COX inhibition. Synthesis, in vitro and in vivo biological evaluation, molecular modeling and in silico ADMET studies. Bioorg. Chem. 2021, 113, 104948. [Google Scholar] [CrossRef] [PubMed]
  55. Figueiredo, J.; Serrano, J.L.; Cavalheiro, E.; Keurulainen, L.; Yli-Kauhaluoma, J.; Moreira, V.M.; Ferreira, S.; Domingues, F.C.; Silvestre, S.; Almeida, P. Trisubstituted barbiturates and thiobarbiturates: Synthesis and biological evaluation as xanthine oxidase inhibitors, antioxidants, antibacterial and anti-proliferative agents. Eur. J. Med. Chem. 2018, 143, 829–842. [Google Scholar] [CrossRef]
  56. Jursic, B.S.; Neumann, D.M. Preparation of 5-formyl- and 5-acetylbarbituric acids, including the corresponding Schiff bases and phenylhydrazones. Tetrahedron Lett. 2001, 42, 8435–8439. [Google Scholar] [CrossRef]
  57. Fu, Y.; Mo, H.-Y.; Gao, W.; Hong, J.-Y.; Lu, J.; Li, P.; Chen, J. Affinity selection-based two-dimensional chromatography coupled with high-performance liquid chromatography-mass spectrometry for discovering xanthine oxidase inhibitors from Radix Salviae Miltiorrhizae. Anal. Bioanal. Chem. 2014, 406, 4987–4995. [Google Scholar] [CrossRef]
  58. Tang, H.-J.; Zhang, X.-W.; Yang, L.; Li, W.; Li, J.-H.; Wang, J.-X.; Chen, J. Synthesis and evaluation of xanthine oxidase inhibitory and antioxidant activities of 2-arylbenzo[b]furan derivatives based on salvianolic acid C. Eur. J. Med. Chem. 2016, 124, 637–648. [Google Scholar] [CrossRef]
  59. Tang, H.J.; Li, W.; Zhou, M.; Peng, L.-Y.; Wang, J.-X.; Li, J.-H.; Chen, J. Design, synthesis and biological evaluation of novel xanthine oxidase inhibitors bearing a 2-arylbenzo[b]furan scaffold. Eur. J. Med. Chem. 2018, 151, 849–860. [Google Scholar] [CrossRef]
  60. Malik, N.; Dhiman, P.; Khatkar, A. In-silico design and ADMET studies of natural compounds as inhibitors of xanthine oxidase (XO) enzyme. Curr. Drug Metab. 2017, 18, 577–593. [Google Scholar] [CrossRef]
  61. Malik, N.; Dhiman, P.; Khatkar, A. Mechanistic approach towards interaction of newly synthesized Hesperidin derivatives against xanthine oxidase. Int. J. Biol. Macromol. 2019, 135, 864–876. [Google Scholar] [CrossRef] [PubMed]
  62. Narasimhan, B.; Sharma, D.; Kumar, P. Benzimidazole: A medicinally important heterocyclic moiety. Med. Chem. Res. 2012, 21, 269–283. [Google Scholar] [CrossRef]
  63. Shah, K.; Chhabara, S.; Shrivastava, S.K.; Mishra, P. Benzimidazole: A promising pharmacophore. Med. Chem. Res. 2013, 22, 5077–5104. [Google Scholar] [CrossRef]
  64. Nile, S.H.; Kumar, B.; Park, S.W. In Vitro Evaluation of Selected Benzimidazole Derivatives as an Antioxidant and Xanthine Oxidase Inhibitors. Chem. Biol. Drug Des. 2013, 82, 290–295. [Google Scholar] [CrossRef]
  65. Hou, X.; Sun, M.; Bao, T.; Xie, X.; Wei, F.; Wang, S. Recent advances in screening active components from natural products based on bioaffinity techniques. Acta Pharm. Sin. B 2020, 10, 1800–1813. [Google Scholar] [CrossRef]
  66. Nie, Y.L.; Wang, W.H. Immobilized Enzyme Reactor in On-line LC and Its Application in Drug Screening. Chromatographia 2009, 69, 5–12. [Google Scholar] [CrossRef]
  67. de Moraes, M.C.; Temporini, C.; Calleri, E.; Bruni, G.; Ducati, R.G.; Santos, D.S.; Cardoso, C.L.; Cass, Q.B. Evaluation of capillary chromatographic supports for immobilized human purine nucleoside phosphorylase in frontal affinity chromatography studies. J. Chromatogr. A 2014, 1338, 77–84. [Google Scholar] [CrossRef] [PubMed]
  68. Guo, J.; Lin, H.; Wang, J.; Lin, Y.; Zhang, T.; Jiang, Z. Recent advances in bio-affinity chromatography for screening bioactive compounds from natural products. J. Pharm. Biomed. Anal. 2019, 165, 182–197. [Google Scholar] [CrossRef]
  69. de Moraes, M.C.; Cardoso, C.L.; Seidl, C.; Moaddel, R.; Cass, Q.B. Targeting Anti-Cancer Active Compounds: Affinity-Based Chromatographic Assays. Curr. Pharm. Des. 2016, 22, 5976–5987. [Google Scholar] [CrossRef] [PubMed]
  70. Rodrigues, M.V.N.; Rodrigues-Silva, C.; Boaventura, S., Jr.; Oliveira, A.S.S.; Rath, S.; Cass, Q.B. On-Flow LC-MS/MS method for screening of xanthine oxidase inhibitors. J. Pharm. Biomed. Anal. 2020, 181, 113097. [Google Scholar] [CrossRef]
  71. Rodrigues, M.V.N.; Corrêa, R.S.; Vanzolim, K.L.; Santos, D.S.; Batista, A.A.; Cass, Q.B. Characterization and screening of tight binding inhibitors of xanthine oxidase: An on-flow assay. RSC Adv. 2015, 5, 37533–37538. [Google Scholar] [CrossRef]
  72. Rodrigues, M.V.; Barbosa, A.F.; da Silva, J.F.; dos Santos, D.A.; Vanzolini, K.L.; de Moraes, M.C.; Correâ, A.G.; Cass, Q.B. 9-Benzoyl 9-deazaguanines as potent xanthine oxidase inhibitors. Bioorg. Med. Chem. 2016, 24, 226–231. [Google Scholar] [CrossRef] [PubMed]
  73. Peng, M.-J.; Shi, S.-Y.; Chen, L.; Zhang, S.-H.; Cai, P.; Chen, X.-Q. Online coupling solid-phase ligand-fishing with high-performance liquid chromatography-diode array detector-tandem mass spectrometry for rapid screening and identification of xanthine oxidase inhibitors in natural products. Anal. Bioanal. Chem. 2016, 408, 6693–6701. [Google Scholar] [CrossRef] [PubMed]
  74. Wang, Y.; Adeoye, D.I.; Ogunkunle, E.O.; Filla, R.T.; Roper, M.G. Affinity Capillary Electrophoresis: A Critical Review of the Literature from 2018 to 2020. Anal. Chem. 2020, 93, 295–310. [Google Scholar] [CrossRef]
  75. Lin, P.; Zhao, S.; Lu, X.; Ye, F.; Wang, H. Preparation of a dual-enzyme co-immobilized capillary microreactor and simultaneous screening of multiple enzyme inhibitors by capillary electrophoresis. J. Sep. Sci. 2013, 36, 2538–2543. [Google Scholar] [CrossRef]
Scheme 1. XO and XD enzymatic reactions.
Scheme 1. XO and XD enzymatic reactions.
Organics 03 00026 sch001
Figure 1. Allopurinol, febuxostat, topiroxostat and Y-700 molecular structures and docking sites.
Figure 1. Allopurinol, febuxostat, topiroxostat and Y-700 molecular structures and docking sites.
Organics 03 00026 g001
Scheme 2. Synthesis of the indolethiazoles selected examples 1ag analogs of febuxostat and its in vitro XO inhibition potential in terms of IC50 [38]. HBTU = Hexafluorophosphate Benzotriazole Tetramethyl Uronium.
Scheme 2. Synthesis of the indolethiazoles selected examples 1ag analogs of febuxostat and its in vitro XO inhibition potential in terms of IC50 [38]. HBTU = Hexafluorophosphate Benzotriazole Tetramethyl Uronium.
Organics 03 00026 sch002
Scheme 3. Synthesis of selenazole derivatives 2af and 3am [39].
Scheme 3. Synthesis of selenazole derivatives 2af and 3am [39].
Organics 03 00026 sch003
Scheme 4. Synthesis of 1-phenyl-pyrazole-4-carboxylic acids class I derivatives 4ae, 5ae and class II derivatives 6af, 7f,g, 8f,g [40]. DMCDA = trans-N,N′-dimethyl-1,2-cyclohexane-diamine. PCA = 3-trifluoropyrazol-4-carboxylic acid or 3-methyl-4-carboxylic acid or H-pyrazol-4-carboxylic acid.
Scheme 4. Synthesis of 1-phenyl-pyrazole-4-carboxylic acids class I derivatives 4ae, 5ae and class II derivatives 6af, 7f,g, 8f,g [40]. DMCDA = trans-N,N′-dimethyl-1,2-cyclohexane-diamine. PCA = 3-trifluoropyrazol-4-carboxylic acid or 3-methyl-4-carboxylic acid or H-pyrazol-4-carboxylic acid.
Organics 03 00026 sch004
Scheme 5. 1-hydroxy (9ak) and 1-methoxy (10ak) 4-methyl-2-phenyl-1H-imidazole-5-carboxylic acid derivatives [41].
Scheme 5. 1-hydroxy (9ak) and 1-methoxy (10ak) 4-methyl-2-phenyl-1H-imidazole-5-carboxylic acid derivatives [41].
Organics 03 00026 sch005
Scheme 6. 2-phenyl-5-methyl-2H-1,2,3-triazole-4-carboxylic acid (11ah, 12ah) and carbohydrazide (13e,f, 14e,f) derivatives [42].
Scheme 6. 2-phenyl-5-methyl-2H-1,2,3-triazole-4-carboxylic acid (11ah, 12ah) and carbohydrazide (13e,f, 14e,f) derivatives [42].
Organics 03 00026 sch006
Scheme 7. 1-phenyl-1H-1,2,3-triazole-4-carboxylic acid derivatives 15as [43].
Scheme 7. 1-phenyl-1H-1,2,3-triazole-4-carboxylic acid derivatives 15as [43].
Organics 03 00026 sch007
Scheme 8. Synthetic procedure employing microwave to obtain the novel phenyl thiazole derivatives 16ah and its XO inhibitory activities in terms of in vitro IC50 [44].
Scheme 8. Synthetic procedure employing microwave to obtain the novel phenyl thiazole derivatives 16ah and its XO inhibitory activities in terms of in vitro IC50 [44].
Organics 03 00026 sch008
Scheme 9. Selected 1,2,3-triazole derivatives 17ap synthesis protocol [45].
Scheme 9. Selected 1,2,3-triazole derivatives 17ap synthesis protocol [45].
Organics 03 00026 sch009
Scheme 10. 2-mercapto-6-phenylpyrimidine-4-carboxylic acid derivatives 18ac, 19ac, 20ae, 21ae [26].
Scheme 10. 2-mercapto-6-phenylpyrimidine-4-carboxylic acid derivatives 18ac, 19ac, 20ae, 21ae [26].
Organics 03 00026 sch010
Scheme 11. Six-membered heterocycles pyridazine derivatives 22ao, carboxylic acid derivatives 23c,d,h [46].
Scheme 11. Six-membered heterocycles pyridazine derivatives 22ao, carboxylic acid derivatives 23c,d,h [46].
Organics 03 00026 sch011
Scheme 12. Synthesis of the isocytosine derivatives 2231 and 3242 as XO inhibitors [47,48].
Scheme 12. Synthesis of the isocytosine derivatives 2231 and 3242 as XO inhibitors [47,48].
Organics 03 00026 sch012
Scheme 13. Febuxostat derivatives 45az containing a tetrazole nucleus as replacement of the original cyano group [49]. DEEMM = Diethyl ethoxymethylenemalonate.
Scheme 13. Febuxostat derivatives 45az containing a tetrazole nucleus as replacement of the original cyano group [49]. DEEMM = Diethyl ethoxymethylenemalonate.
Organics 03 00026 sch013
Scheme 14. Synthesis of derivatives 46aw and its amide-reverse counterparts 47f,h,l,n (synthesis not shown) comprising the bioisosteric replacement of the febuxostat cyano group by the 1,2,3,4-tetrazole [50].
Scheme 14. Synthesis of derivatives 46aw and its amide-reverse counterparts 47f,h,l,n (synthesis not shown) comprising the bioisosteric replacement of the febuxostat cyano group by the 1,2,3,4-tetrazole [50].
Organics 03 00026 sch014
Scheme 15. Isonicotinamide (48as), nicotinamide (49ao), picolinamide (50b,i,j,m,n) and benzamide (51) derivatives [51].
Scheme 15. Isonicotinamide (48as), nicotinamide (49ao), picolinamide (50b,i,j,m,n) and benzamide (51) derivatives [51].
Organics 03 00026 sch015
Scheme 16. Topiroxostat-based isomeric family of derivatives 52ag and 53ag [52].
Scheme 16. Topiroxostat-based isomeric family of derivatives 52ag and 53ag [52].
Organics 03 00026 sch016
Scheme 17. Synthesis of the novel febuxostat-topiroxostat hybrid derivatives 54ap with an isosteric replacement of the amide linker by an 1,2,3-triazole nucleus [53].
Scheme 17. Synthesis of the novel febuxostat-topiroxostat hybrid derivatives 54ap with an isosteric replacement of the amide linker by an 1,2,3-triazole nucleus [53].
Organics 03 00026 sch017
Scheme 18. Different functionalized febuxostat derivatives 55af, 56ab, 57, 58af and 59b,d in the carboxylic acid termination [54].
Scheme 18. Different functionalized febuxostat derivatives 55af, 56ab, 57, 58af and 59b,d in the carboxylic acid termination [54].
Organics 03 00026 sch018
Scheme 19. Barbiturates 60a and 60b in vitro potential for XO inhibition and in vitro antioxidant potential. n.d. = not determined [55].
Scheme 19. Barbiturates 60a and 60b in vitro potential for XO inhibition and in vitro antioxidant potential. n.d. = not determined [55].
Organics 03 00026 sch019
Scheme 20. Synthesis protocol for the obtainment of the 2-arylbenzo[b]furan derivatives 61af, 62af, 63af and 64af [58].
Scheme 20. Synthesis protocol for the obtainment of the 2-arylbenzo[b]furan derivatives 61af, 62af, 63af and 64af [58].
Organics 03 00026 sch020
Scheme 21. Synthesis protocol for the obtainment of the 2-arylbenzo[b]furan derivatives 66ad, 67ad and 68ad [59].
Scheme 21. Synthesis protocol for the obtainment of the 2-arylbenzo[b]furan derivatives 66ad, 67ad and 68ad [59].
Organics 03 00026 sch021
Scheme 22. Hesperidin derivatives (3HDa1–3 and 4HDb1–3) synthesis and its in vitro XO inhibition, H2O2 and DPPH radical scavenging potential in terms of IC50 [61].
Scheme 22. Hesperidin derivatives (3HDa1–3 and 4HDb1–3) synthesis and its in vitro XO inhibition, H2O2 and DPPH radical scavenging potential in terms of IC50 [61].
Organics 03 00026 sch022
Scheme 23. Synthesized benzimidazoles derivatives (B3, B6, B9) and their in vitro XO activity in terms of IC50 and antioxidant activity [64].
Scheme 23. Synthesized benzimidazoles derivatives (B3, B6, B9) and their in vitro XO activity in terms of IC50 and antioxidant activity [64].
Organics 03 00026 sch023
Figure 2. (A) Unidimensional and (B) bidimensional HPLC approaches for in-flow screening of XO inhibitors.
Figure 2. (A) Unidimensional and (B) bidimensional HPLC approaches for in-flow screening of XO inhibitors.
Organics 03 00026 g002
Scheme 24. Synthesized deazaguanines derivatives screened for XO inhibition and its inhibition efficiency [72].
Scheme 24. Synthesized deazaguanines derivatives screened for XO inhibition and its inhibition efficiency [72].
Organics 03 00026 sch024
Figure 3. Capillary for CE containing gold nanoparticles with immobilized XO for inhibitors screening [23].
Figure 3. Capillary for CE containing gold nanoparticles with immobilized XO for inhibitors screening [23].
Organics 03 00026 g003
Figure 4. XO and ADA co-immobilized in gold nanoparticles inside the initial portion of a capillary for inhibitors screening by CE [75].
Figure 4. XO and ADA co-immobilized in gold nanoparticles inside the initial portion of a capillary for inhibitors screening by CE [75].
Organics 03 00026 g004
Table 1. Selenazole derivatives 2af and 3am in vitro XO inhibition potential in terms of IC50 [39].
Table 1. Selenazole derivatives 2af and 3am in vitro XO inhibition potential in terms of IC50 [39].
CompoundIC50 (nM)CompoundIC50 (nM)CompoundIC50 (nM)
2a82.53b13.23i15.7
2b49.23c9.13j13.3
2c33.73d29.23k10.4
2d65.63e5.53l45.6
2e16.13f35.43m53.8
2f40.33g30.6Febuxostat18.6
3a24.83h16.2
Table 2. 1-phenyl-pyrazole-4-carboxylic acids class I derivatives 4ae, 5ae and class II derivatives 6af, 7f,g, 8f,g in vitro XO inhibition potential in terms of IC50 [40].
Table 2. 1-phenyl-pyrazole-4-carboxylic acids class I derivatives 4ae, 5ae and class II derivatives 6af, 7f,g, 8f,g in vitro XO inhibition potential in terms of IC50 [40].
CompoundIC50 (nM)CompoundIC50 (nM)CompoundIC50 (nM)
4a>1005d>1007f13.3
4b455e>1007g>100
4cn.t.6a10.88f59.6
4d236b7.78g>100
4e>1006c5.7Y-7003.5
5a>1006d5.7Febuxostat5.3
5b>1006e6.7
5c>1006f4.2
n.t. = not tested.
Table 3. In vitro XO inhibitory potency of imidazole-5-carboxylic acid derivatives 9ak, 10ak [41].
Table 3. In vitro XO inhibitory potency of imidazole-5-carboxylic acid derivatives 9ak, 10ak [41].
CompoundIC50 (nM)CompoundIC50 (nM)CompoundIC50 (nM)
9a5509i11010fn.a
9b1309j120010g8000
9c1709k11010h3900
9d310an.a10in.a
9e310bn.a10jn.a
9f610cn.a10k1100
9g3010dn.aFebuxostat10
9h3010e1500
n.a. = not active (<50% inhibition at 10 μg/mL).
Table 4. In vitro XO inhibitory potency 2-phenyl-5-methyl-2H-1,2,3-triazole-4-carboxylic acid (11ah, 12ah) and carbohydrazide (13e,f, 14e,f) derivatives [42].
Table 4. In vitro XO inhibitory potency 2-phenyl-5-methyl-2H-1,2,3-triazole-4-carboxylic acid (11ah, 12ah) and carbohydrazide (13e,f, 14e,f) derivatives [42].
CompoundIC50 (nM)CompoundIC50 (nM)CompoundIC50 (nM)
11a19511h22512g180
11b17712a16212h254
11c13512b14513en.a
11d10512c15113fn.a
11e11212d12314en.a
11f8412e12514fn.a
11g15212f109Febuxostat12
n.a. = not active (<50% inhibition at 10 μg/mL).
Table 5. In vitro XO inhibitory potency of 1-phenyl-1H-1,2,3-triazole-4-carboxylic acid derivatives 15as in terms of IC50 [43].
Table 5. In vitro XO inhibitory potency of 1-phenyl-1H-1,2,3-triazole-4-carboxylic acid derivatives 15as in terms of IC50 [43].
CompoundIC50 (μM)CompoundIC50 (μM)CompoundIC50 (μM)
15a>3015h1.0815o0.85
15b6.2415i26.1315p0.72
15c5.0315j1.5015q0.76
15d3.2715k1.4715r3.35
15e3.9615l0.6315s0.21
15f2.8515m2.40Allopurinol7.56
15g1.6215n0.94Y-7000.016
Table 6. Selected 1,2,3-triazole derivatives 17ap and its in vitro XO inhibitory activity in terms of IC50 [45].
Table 6. Selected 1,2,3-triazole derivatives 17ap and its in vitro XO inhibitory activity in terms of IC50 [45].
CompoundR1R2R3R4IC50 (μM)
8d(17a)CHOHHn-butyl13.50
8h(17b)CHOHHiso-pentyl16.03
8l(17c)CHOHHo-methoxybenzyl1.45
8m(17d)CHOHHm-methoxybenzyl1.02
9d(17e)CHOFHn-butyl2.49
9h(17f)CHOFHiso-pentyl2.12
9l(17g)CHOFHo-methoxybenzyl0.94
9m(17h)CHOFHm-methoxybenzyl0.70
10d(17i)CHOHFn-butyl3.59
10h(17j)CHOHFiso-pentyln.a.
10l(17k)CHOHFo-methoxybenzyl2.07
10m(17l)CHOHFm-methoxybenzyln.a.
13l(17m)CNHHo-methoxybenzyln.a.
13m(17n)CNHHm-methoxybenzyln.a.
14l(17o)NO2HHo-methoxybenzyln.a.
14m(17p)NO2HHm-methoxybenzyln.a.
Allopurinol----9.80
n.a. = not active (<50% inhibition at 25 μM).
Table 7. In vitro XO inhibitory potency of 2-mercapto-6-phenylpyrimidine-4-carboxylic acid derivatives. 18ac, 19ac, 20ae, 21ae in terms of IC50 [26].
Table 7. In vitro XO inhibitory potency of 2-mercapto-6-phenylpyrimidine-4-carboxylic acid derivatives. 18ac, 19ac, 20ae, 21ae in terms of IC50 [26].
CompoundIC50 (nM)CompoundIC50 (nM)CompoundIC50 (nM)
18a67419e41721b283
18b79820a20821c510
18c1.1320b13221d421
19a32220c28221e333
19b46320d377Febuxostat13
19c52720e138
19d47121a292
Table 8. In vitro XO inhibitory potency of six-membered heterocycles pyridazine derivatives 22ao, carboxylic acid derivatives 23c,d,h and their in vitro XO inhibition potential in terms of IC50 [46].
Table 8. In vitro XO inhibitory potency of six-membered heterocycles pyridazine derivatives 22ao, carboxylic acid derivatives 23c,d,h and their in vitro XO inhibition potential in terms of IC50 [46].
CompoundIC50 (μM)CompoundIC50 (μM)CompoundIC50 (μM)
22a2.5422h1.9223cn.a.
22b1.0322i3.6523dn.a.
22c2.9722j6.0223hn.a.
22d4.5022kn.a.Allopurinol6.43
22e3.1022mn.a.Febuxostat0.018
22f5.2422nn.a.
22g5.8922on.a.
n.a. = not active (<50% inhibition at 10 μg/mL).
Table 9. Derivatives 2433 and 3444 in vitro XO inhibition activity in terms of IC50.
Table 9. Derivatives 2433 and 3444 in vitro XO inhibition activity in terms of IC50.
Derivative aR1R2IC50 (μM)Derivative bR2R3R4IC50 (μM)
24HOrganics 03 00026 i0011.6334OCH3OHNH20.160
25HOrganics 03 00026 i0022.4435Organics 03 00026 i003OHNH20.018
26HOrganics 03 00026 i0042.1036Organics 03 00026 i005OHNH20.010
27HOrganics 03 00026 i0060.6037Organics 03 00026 i007OHNH20.004
Allopurinol---4.500
Febuxostat---0.020
32HOrganics 03 00026 i0080.3138Organics 03 00026 i009OHNH20.005
33HOrganics 03 00026 i0102.4739Organics 03 00026 i011OHNH20.015
Allopurinol--4.1940Organics 03 00026 i012COOHNH20.400
Febuxostat--0.0341Organics 03 00026 i013CONH2NH23.900
28--1.9242Organics 03 00026 i014OHH0.060
29OCH3Organics 03 00026 i0150.9543Organics 03 00026 i016OHCH3>30
30NO2Organics 03 00026 i0170.1444Organics 03 00026 i018HNH20.080
31CNOrganics 03 00026 i0190.02Allopurinol---4.200
Allopurinol--5.77Febuxostat---0.020
Febuxostat--0.03
Reference compounds allopurinol and febuxostat appear right below the corresponding assay derivatives; a [47]; b [48].
Table 10. Febuxostat derivatives 45az and its in vitro XO inhibition potential in terms of IC50 [49].
Table 10. Febuxostat derivatives 45az and its in vitro XO inhibition potential in terms of IC50 [49].
CompoundIC50 (nM)CompoundIC50 (nM)CompoundIC50 (nM)
45a92.045j58.545s51.6
45b73.745k68.345t47.7
45c64.445l94.545u28.8
45d54.145m89.445v45.0
45e43.745n14945w91.7
45f56.945o50.745x63.9
45g69.245p53.145y83.8
45h50.045q69.145z629
45i46.145r55.2Febuxostat23.6
Table 11. In vitro XO inhibition potential in terms of IC50 of derivatives 46aw and 47f,h,l,n comprising the bioisosteric replacement of the febuxostat cyano group by the 1,2,3,4-tetrazole [50].
Table 11. In vitro XO inhibition potential in terms of IC50 of derivatives 46aw and 47f,h,l,n comprising the bioisosteric replacement of the febuxostat cyano group by the 1,2,3,4-tetrazole [50].
CompoundIC50 (nM)CompoundIC50 (nM)CompoundIC50 (nM)
46an.a.46k14146u110
46bn.a.46l15346v31
46c17346m9246w100
46d60346n9447f2890
46e26446o5347h3860
46f16546p4447l4590
46g17146q13247n2100
46h17446r117Topiroxostat21
46i14546s50
46j12846t67
n.a. = not active (<60% inhibition at 10 μM).
Table 12. Isonicotinamide (48as), nicotinamide (49ao), picolinamide (50b,i,j,m,n), benzamide (51) derivatives and their in vitro XO inhibition potential in terms of IC50 [51].
Table 12. Isonicotinamide (48as), nicotinamide (49ao), picolinamide (50b,i,j,m,n), benzamide (51) derivatives and their in vitro XO inhibition potential in terms of IC50 [51].
CompoundIC50 (μM)CompoundIC50 (μM)CompoundIC50 (μM)
48a3.948k5.749j35.0
48b2.348ln.a.49kn.a.
48c3.048m0.949ln.a.
48d2.748n0.849m32.8
48e5.048o2.349nn.a.
48f19.248p2.049on.a.
48g9.548q0.350bn.a.
48h6.148r0.650in.a.
48i1.648s1.850jn.a.
48j2.049a-in.a.50m22.6
Allopurinol8.5Topiroxostat0.01550nn.a.
51n.a.
n.a. = not active (<60% inhibition at 50 μM).
Table 13. Topiroxostat-based isomeric family of derivatives 52ag and 53ag and its in vitro XO inhibition potential in terms of IC50 [52].
Table 13. Topiroxostat-based isomeric family of derivatives 52ag and 53ag and its in vitro XO inhibition potential in terms of IC50 [52].
CompoundIC50 (μM)CompoundIC50 (μM)CompoundIC50 (μM)
52a15.4252f0.6453d10.28
52bn.a.52gn.a.53en.a.
52c4.7553an.a.53f6.73
52dn.a.53b9.6253gn.a.
52e4.3553cn.a.Topiroxostat0.0048
n.a. = not active (<60% inhibition at 10 μM).
Table 14. Febuxostat-topiroxostat hybrid derivatives 54ap and their in vitro XO inhibition potential in terms of IC50 [53].
Table 14. Febuxostat-topiroxostat hybrid derivatives 54ap and their in vitro XO inhibition potential in terms of IC50 [53].
CompoundIC50 (μM)CompoundIC50 (μM)
54an.a.54i18.0
54bn.a.54j8.1
54c20.8 54k6.7
54d16.354ln.a.
54en.a.54m45.0
54fn.a.54n23.7
54g25.454on.a.
54hn.a.54pn.a.
Allopurinol8.5Topiroxostat0.016
n.a. = not active (<50% inhibition at 50 μM).
Table 15. In vitro assay results for the febuxostat-based, different functionalized at carboxylic acid termination, and selected compounds activities against XO, COX-1 and COX-2 [54].
Table 15. In vitro assay results for the febuxostat-based, different functionalized at carboxylic acid termination, and selected compounds activities against XO, COX-1 and COX-2 [54].
CompoundXO IC50 (nM)COX-1 IC50 (μM)COX-2 IC50 (μM)COX-2 SI a
Celecoxibn.t.14.70.05294
Diclofenac Nan.t.3.800.844.52
Febuxostat265.370.3415.79
55a1712.570.04314.25
56b119.630.07137.57
5797.370.1452.64
58c1812.270.05245.40
58e1912.770.04319.25
59b1813.470.04336.75
a COX-1 IC50/COX-2 IC50; n.t. = not tested.
Table 16. 2-arylbenzo[b]furan derivatives 61af, 62af, 63af and 64af inhibitory and antioxidant activity [58].
Table 16. 2-arylbenzo[b]furan derivatives 61af, 62af, 63af and 64af inhibitory and antioxidant activity [58].
CompoundIC50 (μM)CompoundIC50 (μM)
XO InhibitionDPPH AssayXO InhibitionDPPH Assay
Allopurinol3.61n.a.SAC8.266.87
61a9.888.7962a4.814.52
61b3.993.962b12.125.61
61c10.811.9562c6.363.27
61d14.918.6662d6.044.2
61e13.4847.2562e4.516.47
61f31.7212.3762f4.983.86
63a-f and 64a-f>60*Quercetinn.a.6.0
* = disregarded for this work given the non-significative XO inhibition IC50 values compared to control drug Allopurinol; n.a. = not applicable.
Table 17. 2-arylbenzo[b]furan derivatives 66ad, 67ad and 68ad in vitro inhibitory and antioxidant activity in terms of IC50 [59].
Table 17. 2-arylbenzo[b]furan derivatives 66ad, 67ad and 68ad in vitro inhibitory and antioxidant activity in terms of IC50 [59].
CompoundIC50 (μM)CompoundIC50 (μM)
XO InhibitionXO Inhibition
Allopurinol10.61TAA16.05
66a6.5566b15.46
66c19.3166d24.17
67a4.4567b13.49
67c13.8667d45.18
67e17.8467f15.55
67g83.8167h>100
67i>10067j51.28
67k42.1967l11.01
67m18.1667n11.01
67o>100TAAH9.76
68a11.4768b46.79
68c38.5968d>100
Publisher’s Note: MDPI stays neutral with regard to jurisdictional claims in published maps and institutional affiliations.

Share and Cite

MDPI and ACS Style

de Abreu, M.F.S.; Wegermann, C.A.; Ceroullo, M.S.; Sant’Anna, I.G.M.; Lessa, R.C.S. Ten Years Milestones in Xanthine Oxidase Inhibitors Discovery: Febuxostat-Based Inhibitors Trends, Bifunctional Derivatives, and Automatized Screening Assays. Organics 2022, 3, 380-414. https://doi.org/10.3390/org3040026

AMA Style

de Abreu MFS, Wegermann CA, Ceroullo MS, Sant’Anna IGM, Lessa RCS. Ten Years Milestones in Xanthine Oxidase Inhibitors Discovery: Febuxostat-Based Inhibitors Trends, Bifunctional Derivatives, and Automatized Screening Assays. Organics. 2022; 3(4):380-414. https://doi.org/10.3390/org3040026

Chicago/Turabian Style

de Abreu, Miguel F. S., Camila A. Wegermann, Millena S. Ceroullo, Isabella G. M. Sant’Anna, and Renato C. S. Lessa. 2022. "Ten Years Milestones in Xanthine Oxidase Inhibitors Discovery: Febuxostat-Based Inhibitors Trends, Bifunctional Derivatives, and Automatized Screening Assays" Organics 3, no. 4: 380-414. https://doi.org/10.3390/org3040026

APA Style

de Abreu, M. F. S., Wegermann, C. A., Ceroullo, M. S., Sant’Anna, I. G. M., & Lessa, R. C. S. (2022). Ten Years Milestones in Xanthine Oxidase Inhibitors Discovery: Febuxostat-Based Inhibitors Trends, Bifunctional Derivatives, and Automatized Screening Assays. Organics, 3(4), 380-414. https://doi.org/10.3390/org3040026

Article Metrics

Back to TopTop