Specific Bifunctionalization on the Surface of Phosphorus Dendrimers Syntheses and Properties
Abstract
1. Introduction
2. Bifunctional Monomers Grafted to the Surface of PPH Dendrimers
3. Modification of a Function Already on the Surface of PPH Dendrimers
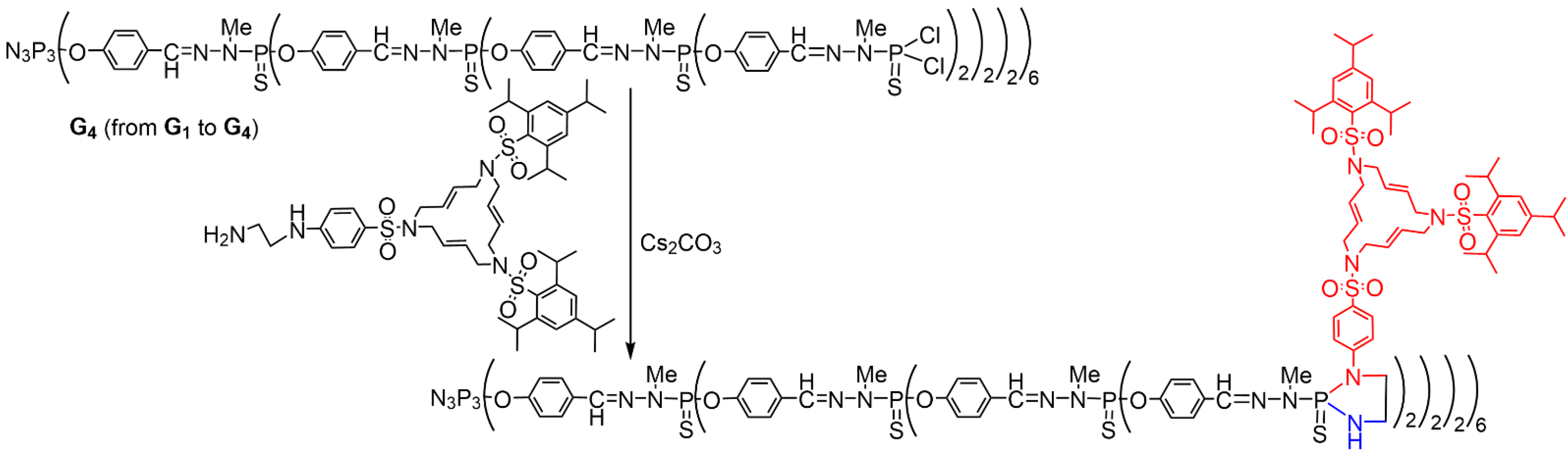
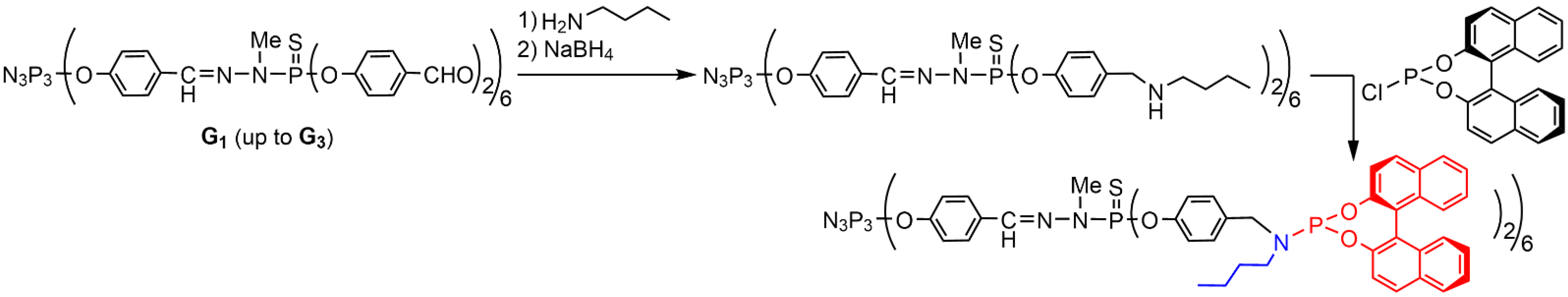
4. Sequential Grafting of a First, then a Second Function on the Surface of PPH Dendrimers
5. Conclusions
Author Contributions
Funding
Data Availability Statement
Acknowledgments
Conflicts of Interest
References
- Tomalia, D.A.; Baker, H.; Dewald, J.; Hall, M.; Kallos, G.; Martin, S.; Roeck, J.; Ryder, J.; Smith, P. A New Class of Polymers–Starburst-Dendritic Macromolecules. Polym. J. 1985, 17, 117–132. [Google Scholar] [CrossRef]
- Caminade, A.M.; Turrin, C.O.; Laurent, R.; Ouali, A.; Delavaux-Nicot, B. Dendrimers: Towards Catalytic, Material and Biomedical Uses; John Wiley & Sons Ltd.: Chichester, UK, 2011; p. 538. [Google Scholar] [CrossRef]
- Newkome, G.R.; Shreiner, C.D. Poly(amidoamine), Polypropylenimine, and Related Dendrimers and Dendrons Possessing Different 1 → 2 Branching Motifs: An overview of the Divergent Procedures. Polymer 2008, 49, 1–173. [Google Scholar] [CrossRef]
- Newkome, G.R.; Shreiner, C. Dendrimers Derived from 1 → 3 Branching Motifs. Chem. Rev. 2010, 110, 6338–6442. [Google Scholar] [CrossRef] [PubMed]
- Mullen, D.G.; Borgmeier, E.L.; Desai, A.M.; van Dongen, M.A.; Barash, M.; Cheng, X.M.; Baker, J.R.; Holl, M.M.B. Isolation and Characterization of Dendrimers with Precise Numbers of Functional Groups. Chem.–A Eur. J. 2010, 16, 10675–10678. [Google Scholar] [CrossRef] [PubMed]
- Thomas, T.P.; Huang, B.H.; Choi, S.K.; Silpe, J.E.; Kotlyar, A.; Desai, A.M.; Zong, H.; Gam, J.; Joice, M.; Baker, J.R. Polyvalent Dendrimer-Methotrexate as a Folate Receptor-Targeted Cancer Therapeutic. Mol. Pharm. 2012, 9, 2669–2676. [Google Scholar] [CrossRef] [PubMed]
- Thomas, K.R.J.; Thompson, A.L.; Sivakumar, A.V.; Bardeen, C.J.; Thayumanavan, S. Energy and Electron Transfer in Bifunctional Non-Conjugated Dendrimers. J. Am. Chem. Soc. 2005, 127, 373–383. [Google Scholar] [CrossRef] [PubMed]
- Navath, R.S.; Menjoge, A.R.; Wang, B.; Romero, R.; Kannan, S.; Kannan, R.M. Amino Acid-Functionalized Dendrimers with Heterobifunctional Chemoselective Peripheral Groups for Drug Delivery Applications. Biomacromolecules 2010, 11, 1544–1563. [Google Scholar] [CrossRef]
- Montanez, M.I.; Hed, Y.; Utsel, S.; Ropponen, J.; Malmstrom, E.; Wagberg, L.; Hult, A.; Malkoch, M. Bifunctional Dendronized Cellulose Surfaces as Biosensors. Biomacromolecules 2011, 12, 2114–2125. [Google Scholar] [CrossRef] [PubMed]
- Hed, Y.; Oberg, K.; Berg, S.; Nordberg, A.; von Holst, H.; Malkoch, M. Multipurpose Heterofunctional Dendritic Scaffolds as Crosslinkers towards Functional Soft Hydrogels and Implant Adhesives in Bone Fracture Applications. J. Mater. Chem. B 2013, 1, 6015–6019. [Google Scholar] [CrossRef]
- Sharma, A.; Neibert, K.; Sharma, R.; Hourani, R.; Maysinger, D.; Kakkar, A. Facile Construction of Multifunctional Nanocarriers Using Sequential Click Chemistry for Applications in Biology. Macromolecules 2011, 44, 521–529. [Google Scholar] [CrossRef]
- Castelar, S.; Romero, P.; Serrano, J.L.; Barbera, J.; Marcos, M. Multifunctional Ionic Hybrid Poly (propyleneimine) Dendrimers Surrounded by Carbazole Dendrons: Liquid Crystals, Optical and Electrochemical Properties. RSC Adv. 2015, 5, 65932–65941. [Google Scholar] [CrossRef]
- Kaufman, E.A.; Tarallo, R.; Elacqua, E.; Carberry, T.P.; Weck, M. Synthesis of Well-Defined Bifunctional Newkome-Type Dendrimers. Macromolecules 2017, 50, 4897–4905. [Google Scholar] [CrossRef]
- van der Poll, D.G.; Kieler-Ferguson, H.M.; Floyd, W.C.; Guillaudeu, S.J.; Jerger, K.; Szoka, F.C.; Frechet, J.M. Design, Synthesis, and Biological Evaluation of a Robust, Biodegradable Dendrimer. Bioconjugate Chem. 2010, 21, 764–773. [Google Scholar] [CrossRef] [PubMed]
- Floyd, W.C.; Klemm, P.J.; Smiles, D.E.; Kohlgruber, A.C.; Pierre, V.C.; Mynar, J.L.; Frechet, J.M.J.; Raymond, K.N. Conjugation Effects of Various Linkers on Gd(III) MRI Contrast Agents with Dendrimers: Optimizing the Hydroxypyridinonate (HOPO) Ligands with Nontoxic, Degradable Esteramide (EA) Dendrimers for High Relaxivity. J. Am. Chem. Soc. 2011, 133, 2390–2393. [Google Scholar] [CrossRef] [PubMed]
- Klemm, P.J.; Floyd, W.C.; Smiles, D.E.; Frechet, J.M.J.; Raymond, K.N. Improving T1 and T2 Magnetic Resonance Imaging Contrast Agents through the Conjugation of an Esteramide Dendrimer to High-Water-Coordination Gd (III) Hydroxypyridinone Complexes. Contrast Media Mol. Imaging 2012, 7, 95–99. [Google Scholar] [CrossRef] [PubMed]
- Klemm, P.J.; Floyd, W.C.; Andolina, C.M.; Frechet, J.M.J.; Raymond, K.N. Conjugation to Biocompatible Dendrimers Increases Lanthanide T2 Relaxivity of Hydroxypyridinone Complexes for Magnetic Resonance Imaging. Eur. J. Inorg. Chem. 2012, 2012, 2108–2114. [Google Scholar] [CrossRef] [PubMed]
- Andolina, C.M.; Klemm, P.J.; Floyd, W.C.; Frechet, J.M.J.; Raymond, K.N. Analysis of Lanthanide Complex Dendrimer Conjugates for Bimodal NIR and MRI Imaging. Macromolecules 2012, 45, 8982–8990. [Google Scholar] [CrossRef][Green Version]
- Floyd, W.C.; Datta, G.K.; Imamura, S.; Kieler-Ferguson, H.M.; Jerger, K.; Patterson, A.W.; Fox, M.E.; Szoka, F.C.; Frechet, J.M.J.; Ellman, J.A. Chemotherapeutic Evaluation of a Synthetic Tubulysin Analogue-Dendrimer Conjugate in C26 Tumor Bearing Mice. Chem. Med. Chem. 2011, 6, 49–53. [Google Scholar] [CrossRef]
- Luo, K.; Liu, G.; She, W.C.; Wang, Q.Y.; Wang, G.; He, B.; Ai, H.; Gong, Q.Y.; Song, B.; Gu, Z.W. Gadolinium-labeled Peptide Dendrimers with Controlled Structures as Potential Magnetic Resonance Imaging Contrast Agents. Biomaterials 2011, 32, 7951–7960. [Google Scholar] [CrossRef] [PubMed]
- Luo, K.; Liu, G.; He, B.; Wu, Y.; Gong, Q.Y.; Song, B.; Ai, H.; Gu, Z.W. Multifunctional Gadolinium-based Dendritic Macromolecules as Liver Targeting Imaging Probes. Biomaterials 2011, 32, 2575–2585. [Google Scholar] [CrossRef]
- Li, Y.P.; Lin, T.Y.; Luo, Y.; Liu, Q.Q.; Xiao, W.W.; Guo, W.C.; Lac, D.; Zhang, H.Y.; Feng, C.H.; Wachsmann-Hogiu, S.; et al. A Smart and Versatile Theranostic Nanomedicine Platform Based on Nanoporphyrin. Nat. Commun. 2014, 5, 4712. [Google Scholar] [CrossRef] [PubMed]
- Goodwin, A.P.; Lam, S.S.; Frechet, J.M.J. Rapid, Efficient Synthesis of Heterobifunctional Biodegradable Dendrimers. J. Am. Chem. Soc. 2007, 129, 6994–6995. [Google Scholar] [CrossRef] [PubMed]
- Patra, S.; Kozura, B.; Huang, A.Y.T.; Enciso, A.E.; Sun, X.K.; Hsieh, J.T.; Kao, C.L.; Chen, H.T.; Simanek, E.E. Dendrimers Terminated with Dichlorotriazine Groups Provide a Route to Compositional Diversity. Org. Lett. 2013, 15, 3808–3811. [Google Scholar] [CrossRef]
- Lim, J.; Turkbey, B.; Bernardo, M.; Bryant, L.H.; Garzoni, M.; Pavan, G.M.; Nakajima, T.; Choyke, P.L.; Simanek, E.E.; Kobayashi, H. Gadolinium MRI Contrast Agents Based on Triazine Dendrimers: Relaxivity and In Vivo Pharmacokinetics. Bioconjugate Chem. 2012, 23, 2291–2299. [Google Scholar] [CrossRef]
- Launay, N.; Caminade, A.M.; Lahana, R.; Majoral, J.P. A General Synthetic Strategy for Neutral Phosphorus-Containing Dendrimers. Angew. Chem. Int. Edit. Engl. 1994, 33, 1589–1592. [Google Scholar] [CrossRef]
- Launay, N.; Caminade, A.M.; Majoral, J.P. Synthesis of Bowl-Shaped Dendrimers from Generation 1 to Generation 8. J. Organomet. Chem. 1997, 529, 51–58. [Google Scholar] [CrossRef]
- Blattes, E.; Vercellone, A.; Eutamene, H.; Turrin, C.O.; Theodorou, V.; Majoral, J.P.; Caminade, A.M.; Prandi, J.; Nigou, J.; Puzo, G. Mannodendrimers Prevent Acute Lung Inflammation by Inhibiting Neutrophil Recruitment. Proc. Natl. Acad. Sci. USA 2013, 110, 8795–8800. [Google Scholar] [CrossRef]
- Poupot, M.; Griffe, L.; Marchand, P.; Maraval, A.; Rolland, O.; Martinet, L.; L’Faqihi-Olive, F.E.; Turrin, C.O.; Caminade, A.M.; Fournie, J.J.; et al. Design of Phosphorylated Dendritic Architectures to Promote Human Monocyte Activation. FASEB J. 2006, 20, 2339–2351. [Google Scholar] [CrossRef] [PubMed]
- El Brahmi, N.; El Kazzouli, S.; Mignani, S.M.; Essassi, E.; Aubert, G.; Laurent, R.; Caminade, A.M.; Bousmina, M.M.; Cresteil, T.; Majoral, J.P. Original Multivalent Copper(II)-Conjugated Phosphorus Dendrimers and Corresponding Mononuclear Copper(II) Complexes with Antitumoral Activities. Mol. Pharm. 2013, 10, 1459–1464. [Google Scholar] [CrossRef] [PubMed]
- Mignani, S.M.; El Brahmi, N.; El Kazzouli, S.; Laurent, R.; Ladeira, S.; Caminade, A.M.; Pedziwiatr-Werbicka, E.; Szewczyk, E.M.; Bryszewska, M.; Bousmina, M.M.; et al. Original Multivalent Gold (III) and Dual Gold (III)-Copper (II) Conjugated Phosphorus Dendrimers as Potent Antitumoral and Antimicrobial Agents. Mol. Pharm. 2017, 14, 4087–4097. [Google Scholar] [CrossRef] [PubMed]
- Mignani, S.; El Brahmi, N.; Eloy, L.; Poupon, J.; Nicolas, V.; Steinmetz, A.; El Kazzouli, S.; Bousmina, M.M.; Blanchard-Desce, M.; Caminade, A.M.; et al. Anticancer Copper (II) Phosphorus Dendrimers are Potent Proapoptotic Bax Activators. Eur. J. Med. Chem. 2017, 132, 142–156. [Google Scholar] [CrossRef]
- Prevote, D.; LeRoyGourvennec, S.; Caminade, A.M.; Masson, S.; Majoral, J.P. Application of the Horner-Wadsworth-Emmons Reaction to the Functionalization of Dendrimers: Synthesis of Amino Acid Terminated Dendrimers. Synthesis-Stuttgart 1997, 1997, 1199–1207. [Google Scholar] [CrossRef]
- Caminade, A.M.; Servin, P.; Laurent, R.; Majoral, J.P. Dendrimeric Phosphines in Asymmetric Catalysis. Chem. Soc. Rev. 2008, 37, 56–67. [Google Scholar] [CrossRef] [PubMed]
- Slany, M.; Bardaji, M.; Casanove, M.J.; Caminade, A.M.; Majoral, J.P.; Chaudret, B. Dendrimer Surface-Chemistry-Facile Route to Polyphosphines and their Gold Complexes. J. Am. Chem. Soc. 1995, 117, 9764–9765. [Google Scholar] [CrossRef]
- Koprowski, M.; Sebastian, R.M.; Maraval, V.; Zablocka, M.; Cadierno, V.; Donnadieu, B.; Igau, A.; Caminade, A.M.; Majoral, J.P. Iminophosphine Palladium Complexes in Catalytic Stille Coupling Reactions: From Monomers to Dendrimers. Organometallics 2002, 21, 4680–4687. [Google Scholar] [CrossRef]
- Keller, M.; Hameau, A.; Spataro, G.; Ladeira, S.; Caminade, A.M.; Majoral, J.P.; Ouali, A. An Efficient and Recyclable Dendritic Catalyst Able to Dramatically Decrease Palladium Leaching in Suzuki Couplings. Green Chem. 2012, 14, 2807–2815. [Google Scholar] [CrossRef]
- Garcia, L.; Roglans, A.; Laurent, R.; Majoral, J.P.; Pla-Quintana, A.; Caminade, A.M. Dendritic Phosphoramidite Ligands for Rh-Catalyzed 2+2+2 Cycloaddition Reactions: Unprecedented Enhancement of Enantiodiscrimination. Chem. Commun. 2012, 48, 9248–9250. [Google Scholar] [CrossRef]
- Keller, M.; Colliere, V.; Reiser, O.; Caminade, A.M.; Majoral, J.P.; Ouali, A. Pyrene-Tagged Dendritic Catalysts Noncovalently Grafted onto Magnetic Co/C Nanoparticles: An Efficient and Recyclable System for Drug Synthesis. Angew. Chem. Int. Ed. 2013, 52, 3626–3629. [Google Scholar] [CrossRef] [PubMed]
- Neumann, P.; Dib, H.; Caminade, A.M.; Hey-Hawkins, E. Redox Control of a Dendritic Ferrocenyl-Based Homogeneous Catalyst. Angew. Chem. Int. Ed. 2015, 54, 311–314. [Google Scholar] [CrossRef] [PubMed]
- Laurent, R.; Caminade, A.M.; Majoral, J.P. A Third Generation Chiral Phosphorus-Containing Dendrimer as Ligand in Pd-Catalyzed Asymmetric Allylic Alkylation. Tetrahedron Lett. 2005, 46, 6503–6506. [Google Scholar] [CrossRef]
- Popp, J.; Caminade, A.-M.; Hey-Hawkins, E. Redox-Switchable Transfer Hydrogenations with P-Chiral Dendritic Ferrocenyl Phosphine Complexes. Eur. J. Inorg. Chem. 2020, 2020, 1654–1669. [Google Scholar] [CrossRef]
- Bardaji, M.; Kustos, M.; Caminade, A.M.; Majoral, J.P.; Chaudret, B. Phosphorus-Containing Dendrimers as Multidentate Ligands: Palladium, Platinum, and Rhodium Complexes. Organometallics 1997, 16, 403–410. [Google Scholar] [CrossRef]
- Bardaji, M.; Caminade, A.M.; Majoral, J.P.; Chaudret, B. Ruthenium Hydride and Dihydrogen Complexes with Dendrimeric Multidentate Ligands. Organometallics 1997, 16, 3489–3497. [Google Scholar] [CrossRef]
- Maraval, V.; Laurent, R.; Caminade, A.M.; Majoral, J.P. Phosphorus-Containing Dendrimers and their Transition Metal Complexes as Efficient Recoverable Multicenter Homogeneous Catalysts in Organic Synthesis. Organometallics 2000, 19, 4025–4029. [Google Scholar] [CrossRef]
- Servin, P.; Laurent, R.; Romerosa, A.; Peruzzini, M.; Majoral, J.P.; Caminade, A.M. Synthesis of Dendrimers Terminated by Bis(diphenylphosphinomethyl)amino Ligands and Use of their Palladium Complexes for Catalyzing C-C Cross-Coupling Reactions. Organometallics 2008, 27, 2066–2073. [Google Scholar] [CrossRef]
- Caminade, A.M.; Ouali, A.; Keller, M.; Majoral, J.P. Organocatalysis with Dendrimers. Chem. Soc. Rev. 2012, 41, 4113–4125. [Google Scholar] [CrossRef]
- Rull, J.; Casals, M.; Sebastian, R.M.; Vallribera, A.; Majoral, J.P.; Caminade, A.M. (+)-Cinchonine-Decorated Dendrimers as Recoverable Organocatalysts. Chem. Cat. Chem. 2015, 7, 2698–2704. [Google Scholar] [CrossRef]
- Rull, J.; Jara, J.J.; Sebastian, R.M.; Vallribera, A.; Najera, C.; Majoral, J.P.; Caminade, A.M. Recoverable Dendritic Phase-Transfer Catalysts that Contain (+)-Cinchonine-Derived Ammonium Salts. Chem. Cat. Chem. 2016, 8, 2049–2056. [Google Scholar] [CrossRef]
- Franc, G.; Badetti, E.; Duhayon, C.; Coppel, Y.; Turrin, C.O.; Majoral, J.P.; Sebastian, R.M.; Caminade, A.M. An Efficient Synthesis Combining Phosphorus Dendrimers and 15-Membered Triolefinic Azamacrocycles: Towards the Stabilization of Platinum Nanoparticles. New J. Chem. 2010, 34, 547–555. [Google Scholar] [CrossRef]
- Franc, G.; Badetti, E.; Colliere, V.; Majoral, J.P.; Sebastian, R.M.; Caminade, A.M. Dendritic Structures within Dendritic Structures: Dendrimer-Induced Formation and Self-Assembly of Nanoparticle Networks. Nanoscale 2009, 1, 233–237. [Google Scholar] [CrossRef] [PubMed]
- Badetti, E.; Caminade, A.M.; Majoral, J.P.; Moreno-Manas, M.; Sebastian, R.M. Palladium (0) Nanoparticles Stabilized by Phosphorus Dendrimers Containing Coordinating 15-Membered Triolefinic Macrocycles in Periphery. Langmuir 2008, 24, 2090–2101. [Google Scholar] [CrossRef]
- Hincapie, C.A.; Sebastian, R.M.; Barbera, J.; Serrano, J.L.; Sierra, T.; Majoral, J.P.; Caminade, A.M. Supermolecular Columnar Liquid-Crystalline Phosphorus Dendrimers Decorated with Sulfonamide. Chem.–A Eur. J. 2014, 20, 17047–17058. [Google Scholar] [CrossRef] [PubMed]
- Blanzat, M.; Turrin, C.O.; Perez, E.; Rico-Lattes, I.; Caminade, A.M.; Majoral, J.P. Phosphorus-Containing Dendrimers Bearing Galactosylceramide Analogs: Self-Assembly Properties. Chem. Commun. 2002, 17, 1864–1865. [Google Scholar] [CrossRef] [PubMed]
- Perez-Anes, A.; Spataro, G.; Coppel, Y.; Moog, C.; Blanzat, M.; Turrin, C.O.; Caminade, A.M.; Rico-Lattes, I.; Majoral, J.P. Phosphonate Terminated PPH Dendrimers: Influence of Pendant Alkyl Chains on the In Vitro Anti-HIV-1 Properties. Org. Biomol. Chem. 2009, 7, 3491–3498. [Google Scholar] [CrossRef] [PubMed]
- Perez-Anes, A.; Stefaniu, C.; Moog, C.; Majoral, J.P.; Blanzat, M.; Turrin, C.O.; Caminade, A.M.; Rico-Lattes, I. Multivalent Catanionic GalCer Analogs Derived from First Generation Dendrimeric Phosphonic Acids. Bioorg. Med. Chem. 2010, 18, 242–248. [Google Scholar] [CrossRef]
- Perez-Anes, A.; Rodrigues, F.; Caminade, A.M.; Stefaniu, C.; Tiersch, B.; Turrin, C.O.; Blanzat, M. Influence of Structural Parameters on the Self-Association Properties of Anti-HIV Catanionic Dendrimers. Chem. Phys. Chem. 2015, 16, 3433–3437. [Google Scholar] [CrossRef] [PubMed]
- Perez-Anes, A.; Mazeres, S.; Caminade, A.M.; Blanzat, M.; Turrin, C.O. Use of a Fluorescent Aminodeoxylactitol to Measure the Stability of Anti-HIV Catanionic Dendrimers by Spectrofluorimetry. Tetrahedron Lett. 2015, 56, 1566–1569. [Google Scholar] [CrossRef]
- Fruchon, S.; Poupot, M.; Martinet, L.; Turrin, C.O.; Majoral, J.P.; Fournie, J.J.; Caminade, A.M.; Poupot, R. Anti-Inflammatory and Immunosuppressive Activation of Human Monocytes by a Bioactive Dendrimer. J. Leukocyte Biol. 2009, 85, 553–562. [Google Scholar] [CrossRef]
- Griffe, L.; Poupot, M.; Marchand, P.; Maraval, A.; Turrin, C.O.; Rolland, O.; Metivier, P.; Bacquet, G.; Fournie, J.J.; Caminade, A.M.; et al. Multiplication of Human Natural Killer Cells by Nanosized Phosphonate-Capped Dendrimers. Angew. Chem. Int. Ed. 2007, 46, 2523–2526. [Google Scholar] [CrossRef] [PubMed]
- Hayder, M.; Poupot, M.; Baron, M.; Nigon, D.; Turrin, C.O.; Caminade, A.M.; Majoral, J.P.; Eisenberg, R.A.; Fournie, J.J.; Cantagrel, A.; et al. A Phosphorus-Based Dendrimer Targets Inflammation and Osteoclastogenesis in Experimental Arthritis. Sci. Transl. Med. 2011, 3, 11. [Google Scholar] [CrossRef] [PubMed]
- Hayder, M.; Varilh, M.; Turrin, C.O.; Saoudi, A.; Caminade, A.M.; Poupot, R.; Liblau, R.S. Phosphorus-Based Dendrimer ABP Treats Neuroinflammation by Promoting IL-10-Producing CD4 (+) T Cells. Biomacromolecules 2015, 16, 3425–3433. [Google Scholar] [CrossRef]
- Fruchon, S.; Caminade, A.M.; Abadie, C.; Davignon, J.L.; Combette, J.M.; Turrin, C.O.; Poupot, R. An Azabisphosphonate-Capped Poly(phosphorhydrazone) Dendrimer for the Treatment of Endotoxin-Induced Uveitis. Molecules 2013, 18, 9305–9316. [Google Scholar] [CrossRef] [PubMed]
- Jebbawi, R.; Oukhrib, A.; Clement, E.; Blanzat, M.; Turrin, C.O.; Caminade, A.M.; Lacoste, E.; Fruchon, S.; Poupot, R. An Anti-Inflammatory Poly (PhosphorHydrazone) Dendrimer Capped with AzaBisPhosphonate Groups to Treat Psoriasis. Biomolecules 2020, 10, 949. [Google Scholar] [CrossRef]
- Caminade, A.M.; Fruchon, S.; Turrin, C.O.; Poupot, M.; Ouali, A.; Maraval, A.; Garzoni, M.; Maly, M.; Furer, V.; Kovalenko, V.; et al. The Key Role of the Scaffold on the Efficiency of Dendrimer Nanodrugs. Nat. Commun. 2015, 6, 7722. [Google Scholar] [CrossRef] [PubMed]
- Marchand, P.; Griffe, L.; Poupot, M.; Turrin, C.O.; Bacquet, G.; Fournie, J.J.; Majoral, J.P.; Poupot, R.; Caminade, A.M. Dendrimers Ended by Non-Symmetrical Azadiphosphonate Groups: Synthesis and Immunological Properties. Bioorg. Med. Chem. Lett. 2009, 19, 3963–3966. [Google Scholar] [CrossRef] [PubMed]
- Slany, M.; Caminade, A.M.; Majoral, J.P. Specific Functionalization on the Surface of Dendrimers. Tetrahedron Lett. 1996, 37, 9053–9056. [Google Scholar] [CrossRef]
- Lartigue, M.L.; Caminade, A.M.; Majoral, J.P. Chiroptical Properties of Dendrimers with Stereogenic End Groups. Tetrahedron-Asymmetry 1997, 8, 2697–2708. [Google Scholar] [CrossRef]
- Hameau, A.; Fruchon, S.; Bijani, C.; Barducci, A.; Blanzat, M.; Poupot, R.; Pavan, G.M.; Caminade, A.M.; Turrin, C.O. Theoretical and Experimental Characterization of Amino-PEG-Phosphonate-Terminated Polyphosphorhydrazone Dendrimers: Influence of Size and PEG Capping on Cytotoxicity Profiles. J. Polym. Sci. Part A Polym. Chem. 2015, 53, 761–774. [Google Scholar] [CrossRef]
- Hameau, A.; Colliere, V.; Grimoud, J.; Fau, P.; Roques, C.; Caminade, A.M.; Turrin, C.O. PPH Dendrimers Grafted on Silica Nanoparticles: Surface Chemistry, Characterization, Silver Colloids Hosting and Antibacterial Activity. RSC Adv. 2013, 3, 19015–19026. [Google Scholar] [CrossRef]
- Brahmi, Y.; Katir, N.; Hameau, A.; Essoumhi, A.; Essassi, E.; Caminade, A.M.; Bousmina, M.; Majoral, J.P.; El Kadib, A. Hierarchically Porous Nanostructures through Phosphonate-Metal Alkoxide Condensation and Growth Using Functionalized Dendrimeric Building Blocks. Chem. Commun. 2011, 47, 8626–8628. [Google Scholar] [CrossRef] [PubMed]
- Brahmi, Y.; Katir, N.; Ianchuk, M.; Colliere, V.; Essassi, E.; Ouali, A.; Caminade, A.M.; Bousmina, M.; Majoral, J.P.; El Kadib, A. Low Temperature Synthesis of Ordered Mesoporous Stable Anatase Nanocrystals: The Phosphorus Dendrimer Approach. Nanoscale 2013, 5, 2850–2856. [Google Scholar] [CrossRef] [PubMed]
- Lartigue, M.L.; Slany, M.; Caminade, A.M.; Majoral, J.P. Phosphorus-Containing Dendrimers: Synthesis of Macromolecules with Multiple Tri- and Tetrafunctionalization. Chem.–A Eur. J. 1996, 2, 1417–1426. [Google Scholar] [CrossRef]
- Riegert, D.; Pla-Quintana, A.; Fuchs, S.; Laurent, R.; Turrin, C.O.; Duhayon, C.; Majoral, J.P.; Chaumonnot, A.; Caminade, A.M. Diversified Strategies for the Synthesis of Bifunctional Dendrimeric Structures. Eur. J. Org. Chem. 2013, 2013, 5414–5422. [Google Scholar] [CrossRef]
- Riegert, D.; Bareille, L.; Laurent, R.; Majoral, J.P.; Caminade, A.M.; Chaumonnot, A. Silica Functionalized by Bifunctional Dendrimers: Hybrid Nanomaterials for Trapping CO2. Eur. J. Inorg. Chem. 2016, 2016, 3103–3110. [Google Scholar] [CrossRef]
- Lartigue, M.L.; Caminade, A.M.; Majoral, J.P. Synthesis and Reactivity of Dendrimers Based on Phosphoryl (P= O) Groups. Phosphorus Sulfur Silicon Relat. Elem. 1997, 123, 21–34. [Google Scholar] [CrossRef]
- Severac, M.; Leclaire, J.; Sutra, P.; Caminade, A.M.; Majoral, J.P. A New Way for the Internal Functionalization of Dendrimers. Tetrahedron Lett. 2004, 45, 3019–3022. [Google Scholar] [CrossRef]
- El Brahmi, N.; Mignani, S.M.; Caron, J.; El Kazzouli, S.; Bousmina, M.M.; Caminade, A.M.; Cresteil, T.; Majoral, J.P. Investigations on Dendrimer Space Reveal Solid and Liquid Tumor Growth-Inhibition by Original Phosphorus-Based Dendrimers and the Corresponding Monomers and Dendrons with Ethacrynic Acid Motifs. Nanoscale 2015, 7, 3915–3922. [Google Scholar] [CrossRef] [PubMed]
- El Brahmi, N.; El Kazzouli, S.; Mignani, S.; Laurent, R.; Ladeira, S.; Caminade, A.M.; Bousmina, M.; Majoral, J.P. Symmetrical and Unsymmetrical Incorporation of Active Biological Monomers on the Surface of Phosphorus Dendrimers. Tetrahedron 2017, 73, 1331–1341. [Google Scholar] [CrossRef]





























Publisher’s Note: MDPI stays neutral with regard to jurisdictional claims in published maps and institutional affiliations. |
© 2022 by the authors. Licensee MDPI, Basel, Switzerland. This article is an open access article distributed under the terms and conditions of the Creative Commons Attribution (CC BY) license (https://creativecommons.org/licenses/by/4.0/).
Share and Cite
Petriccone, M.; Laurent, R.; Turrin, C.-O.; Sebastián, R.M.; Caminade, A.-M. Specific Bifunctionalization on the Surface of Phosphorus Dendrimers Syntheses and Properties. Organics 2022, 3, 240-261. https://doi.org/10.3390/org3030018
Petriccone M, Laurent R, Turrin C-O, Sebastián RM, Caminade A-M. Specific Bifunctionalization on the Surface of Phosphorus Dendrimers Syntheses and Properties. Organics. 2022; 3(3):240-261. https://doi.org/10.3390/org3030018
Chicago/Turabian StylePetriccone, Massimo, Régis Laurent, Cédric-Olivier Turrin, Rosa Maria Sebastián, and Anne-Marie Caminade. 2022. "Specific Bifunctionalization on the Surface of Phosphorus Dendrimers Syntheses and Properties" Organics 3, no. 3: 240-261. https://doi.org/10.3390/org3030018
APA StylePetriccone, M., Laurent, R., Turrin, C.-O., Sebastián, R. M., & Caminade, A.-M. (2022). Specific Bifunctionalization on the Surface of Phosphorus Dendrimers Syntheses and Properties. Organics, 3(3), 240-261. https://doi.org/10.3390/org3030018

