Grindability of Torrefied Camelina Straw and Microparticle Evaluation by Confocal Laser Scanning Microscopy for Use as Biofuel
Abstract
1. Introduction
2. Materials and Methods
2.1. Material Preparation
2.2. Torrefaction Experiment
2.3. Particle Density and Bulk Density
2.4. Particle Size and Particle Size Distribution
2.5. Grinding Trials
2.6. Confocal Laser Scanning Microscopy Assay
2.7. Statistical Analysis
3. Results
3.1. Microwave Torrefied Biomass and Solid Yield Fractions
3.2. Experimental Verification of Predictive Models
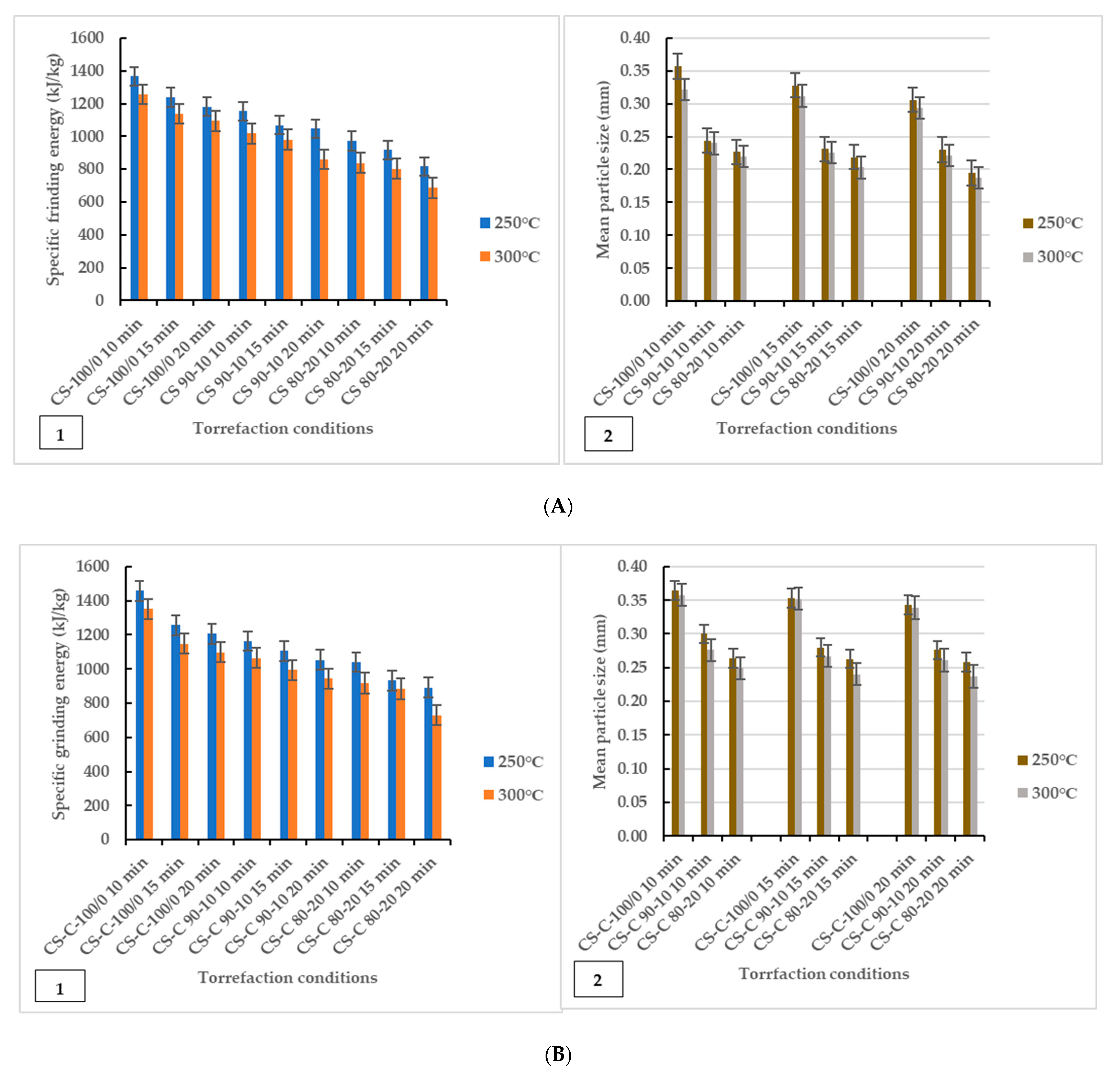
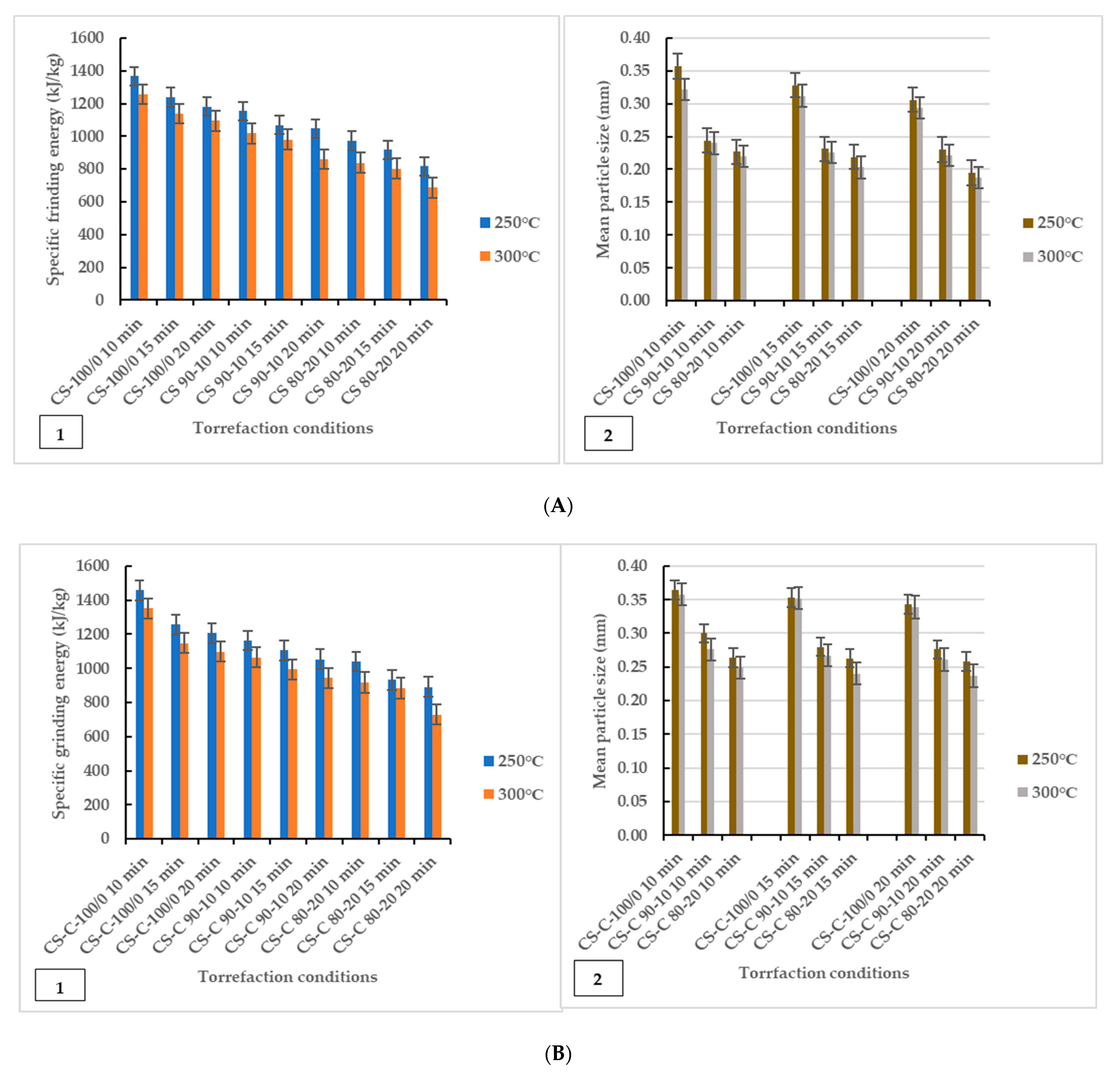
3.3. Particle Size Distribution of Torrefied Biomass
3.4. Specific Grinding Energy of Torrefied Biomass
3.5. Confocal Laser Scanning Microscopy Evaluation
4. Applications of Carbon-Based Microwave Absorbers in Microwave Torrefaction
5. Conclusions
Supplementary Materials
Author Contributions
Funding
Data Availability Statement
Acknowledgments
Conflicts of Interest
Abbreviations
| ANOVA | Analysis of variance |
| ASABE | American Society of Agricultural and Biological Engineers |
| CLSM | Confocal laser scanning microscopy |
| CS | Camelina straw |
| CV | Coefficient of variation |
| kJ | kilojoule |
| L/ha | Liquid per hectare |
| MFI | Mean fluorescence intensity |
| RSM | Response surface methodology |
| SEM | Scanning electron microscope |
| SFI | Sum fluorescence intensity |
| UDD | User-defined design |
References
- Davis, M.; Moronkeji, A.; Ahiduzzaman, M.; Kumar, A. Assessment of renewable energy transition pathway for a fossil fuel-dependent electricity-producing jurisdiction. Energy Sustain. Dev. 2020, 59, 243–261. [Google Scholar] [CrossRef]
- Agu, O.S.; Tabil, L.G.; Mupondwa, E. Actualization and adoption of renewable energy usage in remote communities in Canada by 2050: A review. Energies 2023, 16, 3601. [Google Scholar] [CrossRef]
- Energy Information Administration U.S. 2021—International Energy Outlook. Available online: https://www.eia.gov/outlooks/ieo/narrative/sub-topic-01/php/2021 (accessed on 8 July 2023).
- Littlejohns, J.; Rehmann, L.; Murdy, R.; Oo, A.; Neill, S. Current state and future prospects for liquid biofuels in Canada. Biofuel Res. J. 2018, 5, 759–779. [Google Scholar] [CrossRef]
- IEA, Canada Energy Policy Review 2022—IEA. Available online: https://iea.blob.core.windows.net/assets/7ec2467c-78b4-4c0c-a966-a42b8861ec5a/Canada2022.pdf (accessed on 13 July 2023).
- Liu, T.; McConkey, B.; Huffman, T.; Smith, S.; MacGregor, B.; Yemshanov, D.; Kulshreshtha, S. Potential and impacts of renewable energy production from agricultural biomass in Canada. Appl. Energy 2014, 130, 222–229. [Google Scholar] [CrossRef]
- Neupane, D.; Lohaus, R.H.; Solomon, J.K.; Cushman, J.C. Realizing the potential of camelina sativa as a bioenergy crop for a changing global climate. Plants 2022, 11, 772. [Google Scholar] [CrossRef]
- Mupondwa, E.; Li, X.; Tabil, L.G.; Falk, K.; Gugel, R. Technoeconomic analysis of camelina oil extraction as feedstock for biojet fuel in the Canadian Prairies. Biomass Bioenergy 2016, 95, 221–234. [Google Scholar] [CrossRef]
- Krzyżaniak, M.; Stolarski, M.J.; Graban, L.; Lajszner, W.; Kuriata, T. Camelina and crambe oil crops for bioeconomy—Straw utilization for energy. Energies 2020, 13, 1503. [Google Scholar] [CrossRef]
- Alberghini, B.; Zanetti, F.; Corso, M.; Boutet, S.; Lepiniec, L.; Vecchi, A.; Monti, A. Camelina [Camelina sativa (L.) Crantz] seeds as a multi-purpose feedstock for bio-based applications. Ind. Crops Prod. 2022, 182, 114944. [Google Scholar] [CrossRef]
- Agu, O.S.; Tabil, L.G.; Mupondwa, E.; Emadi, B.; Dumonceaux, T. Impact of biochar addition in microwave torrefaction of camelina straw and switchgrass for biofuel production. Fuels 2022, 3, 588–606. [Google Scholar] [CrossRef]
- Usmani, Z.; Sharma, M.; Awasthi, A.K.; Lukk, T.; Tuohy, M.G.; Gong, L.; Nguyen-Tri, P.; Goddard, A.D.; Bill, R.M.; Nayak, S.; et al. Lignocellulosic biorefineries: The current state of challenges and strategies for efficient commercialization. Renew. Sust. Energy Rev. 2021, 148, 111258. [Google Scholar] [CrossRef]
- Khalsa, J.H.; Leistner, D.; Weller, N.; Darvell, L.I.; Dooley, B. Torrefied biomass pellets—Comparing grindability in different laboratory mills. Energies 2016, 9, 794. [Google Scholar] [CrossRef]
- Wang, L.; Riva, L.; Skreiberg, O.; Khalil, R.; Bartocci, P.; Yang, Q. Effect of torrefaction on properties of pellets produced from woody biomass. Energy Fuels 2020, 34, 15343–15354. [Google Scholar] [CrossRef]
- Bridgeman, T.; Jones, J.; Williams, A.; Waldron, D. An investigation of the grindability of two torrefied energy crops. Fuel 2010, 89, 3911–3918. [Google Scholar] [CrossRef]
- Wang, P.; Howard, B.H. Impact of thermal pretreatment temperatures on woody biomass chemical composition, physical properties and microstructure. Energies 2018, 11, 25. [Google Scholar] [CrossRef]
- Xu, J. Microwave pretreatment. In Pretreatment of Biomass: Processes and Technologies; Pandey, A., Ed.; Elsevier: Waltham, MA, USA, 2015; pp. 157–172. [Google Scholar] [CrossRef]
- Kostas, E.T.; Beneroso, D.; Robinson, J.P. The application of microwave heating in bioenergy: A review on the microwave pre-treatment and upgrading technologies for biomass. Renew. Sustain. Energy Rev. 2017, 77, 12–27. [Google Scholar] [CrossRef]
- Wang, M.; Huang, Y.; Chiueh, P.; Kuan, W.; Lo, S. Microwave-induced torrefaction of rice husk and sugarcane residues. Energy 2012, 37, 177–184. [Google Scholar] [CrossRef]
- Singh, S.; Chakraborty, J.P.; Mondal, M.K. Torrefaction of woody biomass (Acacia nilotica): Investigation of fuel and flow properties to study its suitability as a good quality solid fuel. Renew. Energy 2020, 153, 711–724. [Google Scholar] [CrossRef]
- Huang, Y.; Sung, H.; Chiueh, P.; Lo, S. Microwave torrefaction of sewage sludge and Leucaena. J. Taiwan Inst. Chem. Eng. 2017, 70, 236–243. [Google Scholar] [CrossRef]
- Mohd Fuad, M.A.H.; Hasan, M.F.; Ani, F.N. Microwave torrefaction for viable fuel production: A review on theory, affecting factors, potential and challenges. Fuel 2019, 253, 512–526. [Google Scholar] [CrossRef]
- Mohamed, B.A.; Kim, C.S.; Ellis, N.; Bi, X. Microwave-assisted catalytic pyrolysis of switchgrass for improving bio-oil and biochar properties. Bioresour. Technol. 2016, 201, 121–132. [Google Scholar] [CrossRef]
- Li, J.; Dai, J.; Liu, G.; Zhang, H.; Gao, Z.; Fu, J.; He, Y.; Huang, Y. Biochar from microwave pyrolysis of biomass: A review. Biomass Bioenergy 2016, 94, 228–244. [Google Scholar] [CrossRef]
- Satpathy, S.K.; Tabil, L.G.; Meda, V.; Naik, S.N.; Prasad, R. Torrefaction of wheat and barley straw after microwave heating. Fuel 2014, 124, 269–278. [Google Scholar] [CrossRef]
- Ethaib, S.; Omar, R.; Kamal, S.M.; Awang Biak, D.R.; Zubaidi, S.L. Microwave-assisted pyrolysis of biomass waste: A mini-review. Processes 2020, 8, 1190. [Google Scholar] [CrossRef]
- Liu, D.; Baral, N.R.; Liang, L.; Scown, C.D.; Sun, N. Torrefaction of almond shell as a renewable agent for plastics: Techno-economic analysis and comparison to bioethanol process. Environ. Res. Infrastruct. Sustain. 2023, 3, 015004. [Google Scholar] [CrossRef]
- Zheng, X.; Zhong, Z.; Zhang, B.; Du, H.; Wang, W.; Li, Q.; Yang, Y.; Qi, R.; Li, Z. Techno-economic analysis and life cycle assessment of hydrogenation upgrading and supercritical ethanol upgrading processes based on fast pyrolysis of cornstalk for biofuel. Biomass Conv. Bioref. 2023. [Google Scholar] [CrossRef]
- Gao, W.; Wang, J.; Akhtar, A.; Wei, J.; Li, B.; Xu, D.; Zhang, S.; Zhang, S.; Wu, Y. Effects of carbonization on the physical properties and combustion behaviour of fiberboard sanding dust pellets. Renew. Energy 2023, 212, 263–273. [Google Scholar] [CrossRef]
- Iroba, K.L.; Baik, O.; Tabil, L.G. Torrefaction of biomass from municipal solid waste fractions II: Grindability characteristics, higher heating value, pelletability and moisture adsorption. Biomass Bioenergy 2017, 8–20. [Google Scholar] [CrossRef]
- Mani, S.; Tabil, L.G.; Sokhansanj, S. Grinding performance and physical properties of wheat and barley straws, corn stover and switchgrass. Biomass Bioenergy 2004, 27, 339–352. [Google Scholar] [CrossRef]
- Ibrahim, R.H.; Darvell, L.I.; Jones, J.M.; Williams, A. Physicochemical characterization of torrefied biomass. J. Anal. Appl. Pyrolysis 2013, 103, 21–30. [Google Scholar] [CrossRef]
- Manouchehrinejad, M.; Yue, Y.; de Morais, R.A.L.; Souza, L.M.O.; Singh, H.; Mani, S. Densification of Thermally Treated Energy Cane and Napier Grass. BioEnergy Res. 2018, 11, 538–550. [Google Scholar] [CrossRef]
- Phanphanich, M.; Mani, S. Impact of torrefaction on the grindability and fuel characteristics of forest biomass. Bioresour. Technol. 2011, 102, 1246–1253. [Google Scholar] [CrossRef]
- Bu, Q.; Liu, Y.; Liang, J.; Morgan, H.M.; Yan, L.; Xu, F.; Mao, H. Microwave-assisted co-pyrolysis of microwave torrefied biomass with waste plastics using ZSM-5 as a catalyst for high quality bio-oil. J. Anal. Appl. Pyrolysis 2018, 134, 536–543. [Google Scholar] [CrossRef]
- Khelfa, A.; Rodrigues, F.A.; Koubaa, M.; Vorobiev, E. Microwave-assisted pyrolysis of pine wood sawdust mixed with activated carbon for bio-oil and bio-char production. Process 2020, 8, 1437. [Google Scholar] [CrossRef]
- Agu, O.S.; Tabil, L.G.; Mupondwa, E.; Emadi, B. Torrefaction and Pelleting of Wheat and Barley Straw for Biofuel and Energy Applications. Front. Energy Res. 2021, 9, 699657. [Google Scholar] [CrossRef]
- Hackley, P.C.; Jubb, A.M.; Burruss, R.C.; Beaven, A.E. Fluorescence spectroscopy of ancient sedimentary organic matter via confocal laser scanning microscopy (CLSM). Int. J. Coal Geol. 2020, 223, 103445. [Google Scholar] [CrossRef]
- Depypere, F.; Van Oostveldt, P.; Pieters, J.; Dewettinck, K. Quantification of microparticle coating quality by confocal laser scanning microscopy (CLSM). Eur. J. Pharm. Biopharm. 2009, 73, 179–186. [Google Scholar] [CrossRef]
- Kim, Y.; Kim, B.; Kim, Y.; Lee, D.; Kim, S. The penetration ability of calcium silicate root canal sealers into dentinal tubules compared to conventional resin-based sealer: A confocal laser scanning microscopy study. Materials 2019, 12, 531. [Google Scholar] [CrossRef]
- Maggiano, C.; Dupras, T.; Schultz, M.; Biggerstaff, J. Confocal laser scanning microscopy: A flexible tool for simultaneous polarization and three-dimensional fluorescence imaging of archaeological compact bone. J. Archaeol. Sci. 2009, 36, 2392–2401. [Google Scholar] [CrossRef]
- Sanhueza, M.I.; Castillo, R.D.P.; Meléndrez, M.; Von Plessing, C.; Tereszczuk, J.; Osorio, G.; Pena-Farfal, C.; Fernandez, M.; Neira, J.Y. Confocal laser scanning microscopy as a novel tool of hyperspectral imaging for the localization and quantification of fluorescent active principles in pharmaceutical solid dosage forms. Microchem. J. 2021, 168, 106479. [Google Scholar] [CrossRef]
- Hernando, H.; Fermoso, J.; Moreno, I.; Coronado, J.M.; Serrano, D.P.; Pizarro, P. Thermochemical valorization of camelina straw waste via fast pyrolysis. Biomass Conv. Bioref. 2017, 7, 277–287. [Google Scholar] [CrossRef]
- Iroba, K.L.; Baik, O.; Tabil, L.G. Torrefaction of biomass from municipal solid waste fractions I: Temperature profiles, moisture content, energy consumption, mass yield, and thermochemical properties. Biomass Bioenergy 2017, 105, 320–330. [Google Scholar] [CrossRef]
- Hubbe, M.A.; Chandra, R.P.; Dogu, D.; Van Velzen, S.T.J. Analytical staining of cellulosic materials: A review. BioResources 2019, 14, 7387–7464. [Google Scholar] [CrossRef]
- Azargohar, R.; Soleimani, M.; Nosran, S.; Bond, T.; Karunakaran, C.; Dalai, A.K.; Tabil, L.G. Thermo-physical characterization of torrefied fuel pellet from co-pelletization of canola hulls and meal. Ind. Crops Prod. 2019, 128, 424–435. [Google Scholar] [CrossRef]
- Senol, H.; Ersan, M.; Gorgun, E. Optimization of temperature and pretreatments for methane yield hazelnut shells using the response surface methodology. Fuel 2020, 271, 117585. [Google Scholar] [CrossRef]
- Das, S.; Bhattacharya, A.; Haldar, S.; Ganguly, A.; Gu, S.; Ting, Y.P.; Chatterjee, P.K. Optimization of enzymatic saccharification of water hyacinth biomass for bioethanol: Comparison between artificial neural network and response surface methodology. Sustain. Mater. Technol. 2015, 3, 17–28. [Google Scholar] [CrossRef]
- Kang, K.; Nanda, S.; Sun, G.; Qiu, L.; Gu, Y.; Zhang, T.; Zhu, M.; Sun, R. Microwave-assisted hydrothermal carbonization of corn stalk for solid biofuel production: Optimization of process parameters and characterization of hydrochar. Energy 2019, 186, 115795. [Google Scholar] [CrossRef]
- Song, D.; Yang, S.E. Comparison of dentinal tubule penetration between a calcium silicate-based sealer with ultrasonic activation and an epoxy resin-based sealer: A study using confocal laser scanning microscopy. Eur. J. Dent. 2022, 16, 195–201. [Google Scholar] [CrossRef]
- Zhang, J.; Zou, G.; Tan, Y.; Liu, X.; Li, G.; Zhang, C. Investigating the effect of preheating conditions and size effect on asphalt blending in recycled asphalt mixture: New approach based on artificial aggregate and laser scanning confocal microscopy. Constr. Build. Mater. 2022, 353, 129094. [Google Scholar] [CrossRef]








| Parameters | Camelina Straw | Biochar | Coal ** |
|---|---|---|---|
| Moisture content (% w.b.) | 4.18 | 15.35 | 29.18 |
| Ash (% d.b.) | 1.41 | 7.67 | 15.20 |
| Volatile matter (wt. % d.b.) | 79.87 | 49.83 | 33.06 |
| Fixed carbon (% d.b.) * | 18.72 | 42.50 | 51.74 |
| Bulk density (kg/m3) | 88.13 | 209.53 | - |
| Carbon (% | 47.57 | 79.81 | 47.72 |
| Hydrogen (%) | 6.12 | 4.39 | 1.83 |
| Nitrogen (%) | 0.35 | 0.44 | 0.92 |
| Sulphur (%) | 0.07 | 0.04 | 15.06 |
| Oxygen (%) | 45.89 | 15.32 | 34.47 |
| HHV (MJ/kg) | 19.05 | 32.89 | 16.43 |
| Sample | T T (°C) | RT (min) | SY (%) | MC (%d.b.) | AC (% d.b.) | ML (%) | DT | BD (kg/m3) | PD (kg/m3) | dgw (mm) | ||||||||
| CS | CS-C | CS | CS-C | CS | CS-C | CS | CS-C | CS | CS-C | CS | CS-C | CS | CS-C | CS | CS-C | |||
| Raw CS | 88.13 | 22.38 | 1170.00 | |||||||||||||||
| T-100/0 | 250 °C | 10 | 80.80 | 88.08 | 1.48 | 1.69 | 3.10 | 2.94 | 19.20 | 11.92 | 0.06 | 0.09 | 105.53 | 49.30 | 1168.00 | 1126.80 | 0.411 | 0.543 |
| T-100/0 | 15 | 78.35 | 85.25 | 1.39 | 1.50 | 3.38 | 3.07 | 21.65 | 14.75 | 0.08 | 0.10 | 115.60 | 52.70 | 1164.80 | 1122.30 | 0.409 | 0.534 | |
| T-100/0 | 20 | 74.30 | 77.20 | 1.36 | 1.48 | 3.55 | 3.12 | 25.70 | 22.80 | 0.12 | 0.14 | 117.80 | 54.50 | 1155.20 | 1116.40 | 0.400 | 0.516 | |
| T-90/10 | 10 | 68.15 | 71.18 | 2.06 | 2.18 | 3.18 | 3.21 | 31.85 | 28.82 | 0.12 | 0.10 | 166.13 | 102.03 | 1234.20 | 1203.10 | 0.359 | 0.500 | |
| T-90/10 | 15 | 60.43 | 62.85 | 1.71 | 2.07 | 4.37 | 3.72 | 39.57 | 37.15 | 0.15 | 0.16 | 170.00 | 106.53 | 1329.20 | 1243.10 | 0.344 | 0.493 | |
| T-90/10 | 20 | 53.80 | 58.58 | 1.65 | 1.96 | 4.49 | 3.90 | 46.20 | 41.42 | 0.18 | 0.17 | 178.53 | 108.07 | 1365.90 | 1271.00 | 0.332 | 0.481 | |
| T-80/20 | 10 | 64.63 | 65.50 | 1.92 | 2.00 | 4.22 | 3.84 | 35.37 | 34.50 | 0.17 | 0.15 | 183.70 | 117.60 | 1258.10 | 1219.90 | 0.335 | 0.482 | |
| T-80/20 | 15 | 58.03 | 59.25 | 1.68 | 1.86 | 4.60 | 4.05 | 41.97 | 40.75 | 0.19 | 0.17 | 195.00 | 125.70 | 1332.70 | 1260.60 | 0.324 | 0.461 | |
| T-80/20 | 20 | 51.43 | 55.30 | 1.60 | 1.72 | 4.73 | 4.50 | 48.57 | 44.70 | 0.23 | 0.20 | 203.07 | 129.50 | 1398.10 | 1283.10 | 0.309 | 0.455 | |
| T-100/0 | 300 °C | 10 | 78.28 | 82.55 | 1.41 | 1.60 | 3.25 | 3.57 | 21.72 | 17.45 | 0.09 | 0.11 | 116.80 | 51.07 | 1144.30 | 1055.10 | 0.360 | 0.519 |
| T-100/0 | 15 | 75.60 | 80.85 | 1.30 | 1.49 | 3.42 | 3.88 | 24.40 | 19.15 | 0.12 | 0.13 | 123.70 | 55.50 | 1136.10 | 1051.80 | 0.353 | 0.508 | |
| T-100/0 | 20 | 71.60 | 75.00 | 1.28 | 1.36 | 3.61 | 4.45 | 28.40 | 25.00 | 0.14 | 0.16 | 125.40 | 61.80 | 1131.10 | 948.90 | 0.349 | 0.493 | |
| T-90/10 | 10 | 54.05 | 51.98 | 1.94 | 2.03 | 4.55 | 4.18 | 45.95 | 48.02 | 0.14 | 0.19 | 175.40 | 107.80 | 1205.20 | 1173.70 | 0.347 | 0.478 | |
| T-90/10 | 15 | 52.13 | 50.40 | 1.64 | 1.82 | 4.69 | 4.44 | 47.87 | 49.60 | 0.18 | 0.20 | 178.07 | 118.20 | 1226.10 | 1187.80 | 0.332 | 0.469 | |
| T-90/10 | 20 | 47.40 | 46.50 | 1.57 | 1.73 | 4.90 | 4.79 | 52.60 | 53.50 | 0.22 | 0.23 | 195.00 | 125.00 | 1237.70 | 1190.80 | 0.316 | 0.458 | |
| T-80/20 | 10 | 51.33 | 50.05 | 1.79 | 1.88 | 5.18 | 5.61 | 48.67 | 49.95 | 0.20 | 0.22 | 197.00 | 129.00 | 1221.60 | 1197.70 | 0.331 | 0.461 | |
| T-80/20 | 15 | 49.13 | 47.28 | 1.57 | 1.66 | 5.33 | 6.40 | 50.87 | 52.72 | 0.24 | 0.26 | 213.30 | 131.80 | 1232.70 | 1199.80 | 0.311 | 0.451 | |
| T-80/20 | 20 | 45.18 | 44.63 | 1.45 | 1.47 | 5.84 | 6.83 | 54.82 | 55.37 | 0.27 | 0.28 | 225.60 | 136.30 | 1250.60 | 1208.10 | 0.300 | 0.441 | |
| Ground | Sieve aperture size (mm) | 1.41 | 0.84 | 0.60 | 0.30 | 0.21 | 0.15 | Pan |
| Mass percentage (%) | 6.53 | 35.29 | 28.20 | 23.66 | 3.43 | 1.46 | 1.42 | |
| Chopped | Sieve aperture size (mm) | Tapper louvre | 29.9 | 18 | 8.98 | 5.61 | 1.65 | Pan |
| Mass percentage (%) | 0.00 | 5.84 | 7.91 | 15.34 | 21.34 | 27.94 | 2.45 |
Disclaimer/Publisher’s Note: The statements, opinions and data contained in all publications are solely those of the individual author(s) and contributor(s) and not of MDPI and/or the editor(s). MDPI and/or the editor(s) disclaim responsibility for any injury to people or property resulting from any ideas, methods, instructions or products referred to in the content. |
© 2024 by the authors. Licensee MDPI, Basel, Switzerland. This article is an open access article distributed under the terms and conditions of the Creative Commons Attribution (CC BY) license (https://creativecommons.org/licenses/by/4.0/).
Share and Cite
Agu, O.S.; Tabil, L.G.; Mupondwa, E.; Emadi, B. Grindability of Torrefied Camelina Straw and Microparticle Evaluation by Confocal Laser Scanning Microscopy for Use as Biofuel. Fuels 2024, 5, 137-156. https://doi.org/10.3390/fuels5020009
Agu OS, Tabil LG, Mupondwa E, Emadi B. Grindability of Torrefied Camelina Straw and Microparticle Evaluation by Confocal Laser Scanning Microscopy for Use as Biofuel. Fuels. 2024; 5(2):137-156. https://doi.org/10.3390/fuels5020009
Chicago/Turabian StyleAgu, Obiora S., Lope G. Tabil, Edmund Mupondwa, and Bagher Emadi. 2024. "Grindability of Torrefied Camelina Straw and Microparticle Evaluation by Confocal Laser Scanning Microscopy for Use as Biofuel" Fuels 5, no. 2: 137-156. https://doi.org/10.3390/fuels5020009
APA StyleAgu, O. S., Tabil, L. G., Mupondwa, E., & Emadi, B. (2024). Grindability of Torrefied Camelina Straw and Microparticle Evaluation by Confocal Laser Scanning Microscopy for Use as Biofuel. Fuels, 5(2), 137-156. https://doi.org/10.3390/fuels5020009

