Comparison of Natural and Synthetic Petroleum Coke Slag Viscosities under Reducing Conditions: Applicability of Predictive Models Using Factsage and Modified Urbain Model
Abstract
1. Introduction
2. Experimental Materials and Methods
2.1. Slag Preparation
2.2. Viscosity Measurement
2.3. Analytical
3. Modelling
3.1. FactSage
3.2. Viscosity Prediction Models
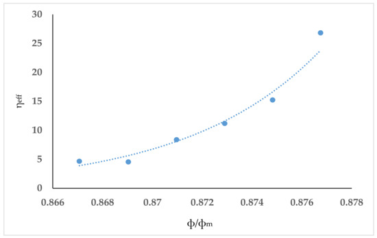
4. Results and Discussion
5. Conclusions
Author Contributions
Funding
Institutional Review Board Statement
Informed Consent Statement
Data Availability Statement
Conflicts of Interest
References
- Santos, A.R.; da Silva, R.J.; Reno, M.L.G. Analysis of Petroleum Coke Consumption in Some Industrial Sectors. J. Pet. Sci. Res. 2015, 4, 1–7. [Google Scholar] [CrossRef]
- Nakano, J.; Kwong, K.-S.; Bennett, J.; Lam, T.; Fernandez, L.; Komolwit, P.; Sridhar, S. Phase Equilibria in Synthetic Coal–Petcoke Slags (Al2O3–CaO–FeO–SiO2–V2O3) under Simulated Gasification Conditions. Energy Fuels 2011, 25, 3298–3306. [Google Scholar] [CrossRef]
- Murthy, B.N.; Sawarkar, A.N.; Deshmukh, N.A.; Mathew, T.; Joshi, J.B. Petroleum Coke Gasification: A Review. Can. J. Chem. Eng. 2014, 92, 441–468. [Google Scholar] [CrossRef]
- Stockman, L. Petroleum Coke: The Coal Hiding in the Tar Sands. Available online: http://priceofoil.org/2013/01/17/petroleum-coke-the-coal-hiding-in-the-tar-sands/ (accessed on 16 November 2020).
- Kerester, A. Gasification Can Help Meet the World’s Growing Demand for Cleaner Energy and Products. Available online: https://www.worldcoal.org/file_validate.php?file=cornerstone_v2i3_wca(29_09_2014).pdf (accessed on 16 November 2020).
- Carpenter, S.M.; Long III, H.A. Integration of carbon capture in IGCC systems. In Integrated Gasification Combined Cycle (IGCC) Technologies; Elsevier: Amsterdam, The Netherlands, 2017; pp. 445–460. ISBN 978-0-08-100167-7. [Google Scholar]
- Higman, C.; van der Burgt, M. Economics, Environmental, and Safety Issues. In Gasification; Elsevier/Gulf Professional Pub: Boston, MA, USA, 2003; pp. 329–354. ISBN 978-0-7506-7707-3. [Google Scholar]
- Krishnamoorthy, V.; Pisupati, S. A Critical Review of Mineral Matter Related Issues during Gasification of Coal in Fixed, Fluidized, and Entrained Flow Gasifiers. Energies 2015, 8, 10430–10463. [Google Scholar] [CrossRef]
- Banik, S.; Pisupati, S.V. Effects of Pressure and CO Concentration on Vanadium, Nickel and Iron Phase Transformations for Petcoke Slag Viscosity Correlation Development. Fuel 2019, 253, 238–248. [Google Scholar] [CrossRef]
- Duchesne, M.A.; Bronsch, A.M.; Hughes, R.W.; Masset, P.J. Slag Viscosity Modeling Toolbox. Fuel 2013, 114, 38–43. [Google Scholar] [CrossRef]
- van Dyk, J.C.; Waanders, F.B.; Benson, S.A.; Laumb, M.L.; Hack, K. Viscosity Predictions of the Slag Composition of Gasified Coal, Utilizing FactSage Equilibrium Modelling. Fuel 2009, 88, 67–74. [Google Scholar] [CrossRef]
- Zhao, F.; Xu, J.; Huo, W.; Wang, F.; Yu, G. Rheology and Viscosity Prediction of Bituminous Coal Slag in Reducing Atmosphere. J. Chem. Eng. Process Technol. 2015, 6, 1. [Google Scholar] [CrossRef]
- Zhu, J.; Kaneko, T.K.; Mu, H.; Bennett, J.P.; Sridhar, S. Effects of Measurement Materials and Oxygen Partial Pressure on the Viscosity of Synthetic Eastern and Western United States Coal Slags. Energy Fuels 2012, 26, 4465–4474. [Google Scholar] [CrossRef]
- Gills, T. National Institute of Standards & Technology Certificate Standard Reference Material 717a; NIST: Gaithersburg, MD, USA, 1996. [Google Scholar]
- Vargas, S.; Frandsen, F.J.; Dam-Johansen, K. Rheological Properties of High-Temperature Melts of Coal Ashes and Other Silicates. Progress Energy Combust. Sci. 2001, 27, 237–429. [Google Scholar] [CrossRef]
- Becerra, S.V.; Frandsen, F.; Dam-Johansen, K. Performance of Viscosity Models for High-Temperature Coal Ashes; Elsam-Idemitsu Kosan Cooperative Research Project; Department of Chemical Engineering, Technical University of Denmark: Kongens Lyngby, Denmark, 1997. [Google Scholar]
- Nowok, J.W. Viscosity and Structural State of Iron in Coal Ash Slags under Gasification Conditions. Energy Fuels 1995, 9, 534–539. [Google Scholar] [CrossRef]
- Kenneth Kaneko, T.; Zhu, J.; Howell, N.; Rozelle, P.; Sridhar, S. The Effects of Gasification Feedstock Chemistries on the Infiltration of Slag into the Porous High Chromia Refractory and Their Reaction Products. Fuel 2014, 115, 248–263. [Google Scholar] [CrossRef]
- Jastrzębska, I.; Szczerba, J.; Stoch, P.; Błachowski, A.; Ruebenbauer, K.; Prorok, R.; Śnieżek, E. Crystal Structure and Mössbauer Study of FeAl2O4. Nukleonika 2015, 60, 47–49. [Google Scholar] [CrossRef]
- Browning, G.J.; Bryant, G.W.; Hurst, H.J.; Lucas, J.A.; Wall, T.F. An Empirical Method for the Prediction of Coal Ash Slag Viscosity. Energy Fuels 2003, 17, 731–737. [Google Scholar] [CrossRef]
- Roscoe, R. The Viscosity of Suspensions of Rigid Spheres. Br. J. Appl. Phys. 1952, 3, 267–269. [Google Scholar] [CrossRef]
- He, C.; Ilyushechkin, A.; Bai, J.; Hla, S.S.; Kong, L.-X.; Li, W. Viscosity and Crystallisation Behaviour of Coal Ash Slag from the Primary Phase of Anorthite. Fuel Process. Technol. 2020, 213, 106680. [Google Scholar] [CrossRef]
- Mills, K.C.; Rhine, J.M. The Measurement and Estimation of the Physical Properties of Slags Formed during Coal Gasification: 1. Properties Relevant to Fluid Flow. Fuel 1989, 68, 193–200. [Google Scholar] [CrossRef]
- Park, W.; Oh, M.S. Slagging of Petroleum Coke Ash Using Korean Anthracites. J. Ind. Eng. Chem. 2008, 14, 350–356. [Google Scholar] [CrossRef]
- Li, J.; Zhao, J.; Dai, X.; Bai, J.; Fang, Y. Effect of Vanadium on the Petroleum Coke Ash Fusibility. Energy Fuels 2017, 31, 2530–2537. [Google Scholar] [CrossRef]
- Wang, Z.; Bai, J.; Kong, L.; Bai, Z.; Li, W. Effect of V and Ni on Ash Fusion Temperatures. Energy Fuels 2013, 27, 7303–7313. [Google Scholar] [CrossRef]
- Duchesne, M.A.; Ilyushechkin, A.Y.; Hughes, R.W.; Lu, D.Y.; McCalden, D.J.; Macchi, A.; Anthony, E.J. Flow Behaviour of Slags from Coal and Petroleum Coke Blends. Fuel 2012, 97, 321–328. [Google Scholar] [CrossRef]






| Species | Pre-Fusion Composition (wt %) | Post-Fusion Composition (wt %) |
|---|---|---|
| Al2O3 | 8.77 | 7.30 |
| BaO | 0.31 | 0.17 |
| CaO | 16.02 | 12.56 |
| Fe2O3 | 28.40 | 24.34 |
| K2O | 3.10 | 3.08 |
| MgO | 2.32 | 1.81 |
| MnO | 0.04 | 0.04 |
| Na2O | 2.32 | 2.04 |
| NiO | 10.32 | 18.68 |
| P2O5 | 0.70 | 0.59 |
| SiO2 | 20.45 | 17.17 |
| SrO | 0.13 | 0.09 |
| TiO2 | 0.72 | 0.58 |
| V2O5 | 6.41 | 11.55 |
| Total | 100.00 | 100.00 |
| Phases (g) | T (°C) | |||||
|---|---|---|---|---|---|---|
| 1250 | 1275 | 1300 | 1325 | 1350 | 1375 | |
| Slaq-liq#1 (l) | 62.97 | 62.99 | 63.02 | 63.04 | 63.06 | 63.09 |
| Clinopyroxene#1 (l) | 0.15 | 0.15 | 0.15 | 0.15 | 0.15 | 0.15 |
| Ni_Solid_FCC (s) | 14.50 | 14.48 | 14.46 | 14.44 | 14.41 | 14.38 |
| FeV2O4_solid (s) | 14.08 | 14.08 | 14.08 | 14.08 | 14.08 | 14.08 |
| Total | 91.71 | 91.71 | 91.71 | 91.71 | 91.70 | 91.70 |
| Slag-liq#1 Composition | ||||||
| Na2O | 0.88 | 0.91 | 0.93 | 0.96 | 0.98 | 1.00 |
| K2O | 0.99 | 1.03 | 1.06 | 1.09 | 1.11 | 1.14 |
| Al2O3 | 3.28 | 3.37 | 3.45 | 3.53 | 3.62 | 3.70 |
| SiO2 | 17.10 | 17.10 | 17.10 | 17.10 | 17.10 | 17.10 |
| NaAlO2 | 2.85 | 2.78 | 2.71 | 2.64 | 2.57 | 2.51 |
| KAlO2 | 4.31 | 4.24 | 4.16 | 4.08 | 4.01 | 3.92 |
| CaO | 12.56 | 12.56 | 12.56 | 12.56 | 12.56 | 12.56 |
| FeO | 16.03 | 16.01 | 16.00 | 15.98 | 15.96 | 15.95 |
| Fe2O3 | 1.26 | 1.28 | 1.29 | 1.31 | 1.33 | 1.35 |
| MgO | 1.81 | 1.81 | 1.81 | 1.81 | 1.81 | 1.81 |
| NiO | 0.18 | 0.21 | 0.23 | 0.27 | 0.30 | 0.34 |
| TiO2 | 0.58 | 0.58 | 0.58 | 0.58 | 0.58 | 0.58 |
| BaO | 0.17 | 0.17 | 0.17 | 0.17 | 0.17 | 0.17 |
| SrO | 0.09 | 0.09 | 0.09 | 0.09 | 0.09 | 0.09 |
| NaFeO2 | 0.27 | 0.27 | 0.27 | 0.27 | 0.27 | 0.27 |
| P2O5 | 0.59 | 0.59 | 0.59 | 0.59 | 0.59 | 0.59 |
| KFeO2 | 0.00 | 0.00 | 0.01 | 0.01 | 0.01 | 0.01 |
Publisher’s Note: MDPI stays neutral with regard to jurisdictional claims in published maps and institutional affiliations. |
© 2021 by the authors. Licensee MDPI, Basel, Switzerland. This article is an open access article distributed under the terms and conditions of the Creative Commons Attribution (CC BY) license (http://creativecommons.org/licenses/by/4.0/).
Share and Cite
D’Souza, S.A.; Banik, S.; Vuthaluru, H.B.; Pisupati, S.V. Comparison of Natural and Synthetic Petroleum Coke Slag Viscosities under Reducing Conditions: Applicability of Predictive Models Using Factsage and Modified Urbain Model. Fuels 2021, 2, 37-47. https://doi.org/10.3390/fuels2010003
D’Souza SA, Banik S, Vuthaluru HB, Pisupati SV. Comparison of Natural and Synthetic Petroleum Coke Slag Viscosities under Reducing Conditions: Applicability of Predictive Models Using Factsage and Modified Urbain Model. Fuels. 2021; 2(1):37-47. https://doi.org/10.3390/fuels2010003
Chicago/Turabian StyleD’Souza, Suzanna A., Shubhadeep Banik, Hari B. Vuthaluru, and Sarma V. Pisupati. 2021. "Comparison of Natural and Synthetic Petroleum Coke Slag Viscosities under Reducing Conditions: Applicability of Predictive Models Using Factsage and Modified Urbain Model" Fuels 2, no. 1: 37-47. https://doi.org/10.3390/fuels2010003
APA StyleD’Souza, S. A., Banik, S., Vuthaluru, H. B., & Pisupati, S. V. (2021). Comparison of Natural and Synthetic Petroleum Coke Slag Viscosities under Reducing Conditions: Applicability of Predictive Models Using Factsage and Modified Urbain Model. Fuels, 2(1), 37-47. https://doi.org/10.3390/fuels2010003

