Mole Fraction Dependent Passive Voltage Amplification in FE-DE Heterostructure
Abstract
1. Introduction
2. Isolated Ferroelectric Capacitor
3. Ferroelectric Capacitor Connected in Series with Dielectric Capacitor
4. Dynamic Response of Heterostructure
5. Temperature Analysis of Heterostructure
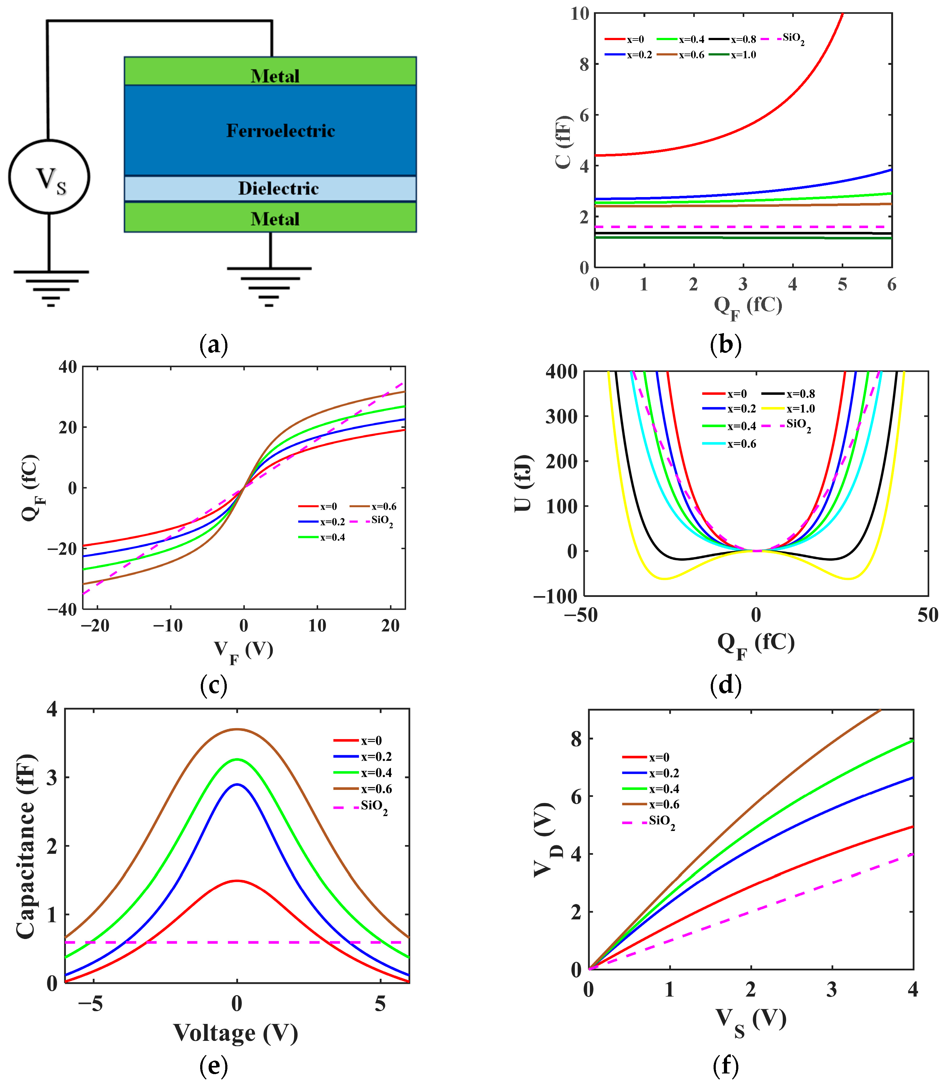
6. Conclusions
Author Contributions
Funding
Data Availability Statement
Conflicts of Interest
References
- Tiwari, B.; Babu, T.; Choudhary, R.N.P. Review on Different Preparation Techniques of Lead Zirconate Titanate. Int. Res. J. Adv. Sci. Hub 2020, 2, 121–126. [Google Scholar] [CrossRef]
- Bowen, C.R.; Kim, H.A.; Weaver, P.M.; Dunn, S. Piezoelectric and ferroelectric materials and structures for energy harvesting applications. Energy Environ. Sci. 2014, 7, 25–44. [Google Scholar] [CrossRef]
- Ren, T.L.; Zhao, H.J.; Liu, L.T.; Li, Z.J. Piezoelectric and ferroelectric films for microelectronic applications. Mater. Sci. Eng. B 2003, 99, 159–163. [Google Scholar] [CrossRef]
- Sriram, S.; Bhaskaran, M.; Mitchell, A. Piezoelectric Thin Film Deposition: Novel Self-Assembled Island Structures and Low Temperature Processes on Silicon. In Piezoelectric Ceramics; Suaste-Gomez, E., Ed.; Sciyo: Rijeka, Croatia, 2010. [Google Scholar] [CrossRef]
- Awadhiya, B.; Kondekar, P.N.; Meshram, A.D. Analogous behavior of FE-DE heterostructure at room temperature and ferroelectric capacitor at Curie temperature. Superlattices Microstruct. 2018, 123, 306–310. [Google Scholar] [CrossRef]
- Singh, S.; Gupta, R.; Priyanka; Singh, R.; Bhalla, S.K. Design and Simulation-Based Analysis of Triple Metal Gate with Ferroelectric-SiGe Heterojunction Based Vertical TFET for Performance Enhancement. Silicon 2022, 14, 11015–11025. [Google Scholar] [CrossRef]
- Rahi, S.B.; Tayal, S.; Upadhyay, A.K. A review on emerging negative capacitance field effect transistor for low power electronics. Microelectron. J. 2021, 116, 105242. [Google Scholar] [CrossRef]
- Kobayashi, M.; Hiramoto, T. On device design for steep-slope negative-capacitance field-effect-transistor operating at sub-0.2V supply voltage with ferroelectric HfO2 thin film. AIP Adv. 2016, 6, 025113. [Google Scholar] [CrossRef]
- Ratnesh, R.K.; Goel, A.; Kaushik, G.; Garg, H.; Chandan; Singh, M.; Prasad, B. Advancement and challenges in MOSFET scaling. Mater. Sci. Semicond. Process. 2021, 134, 106002. [Google Scholar] [CrossRef]
- Rai, A.; Gupta, D.; Mishra, H.; Nandan, D.; Qamar, S. Beyond Si-Based CMOS Devices: Needs, Opportunities, and Challenges. In Beyond Si-Based CMOS Devices: Materials to Architecture; Singh, S., Sharma, S.K., Nandan, D., Eds.; Springer Nature: Singapore, 2024; pp. 3–25. [Google Scholar] [CrossRef]
- Awadhiya, B.; Kondekar, P.N.; Yadav, S.; Upadhyay, P.; Jaisawal, R.K.; Rathore, S. Effect of Scaling on Passive Voltage Amplification in FE-DE Hetero Structure. In Proceedings of the 2021 International Conference on Control, Automation, Power and Signal Processing (CAPS), Jabalpur, India, 10–12 December 2021; pp. 1–4. [Google Scholar] [CrossRef]
- Bain, A.K.; Chand, P. Ferroelectrics: Principles and Applications; John Wiley & Sons: Hoboken, NJ, USA, 2017. [Google Scholar]
- Haertling, G.H. Ferroelectric Ceramics: History and Technology. J. Am. Ceram. Soc. 1999, 82, 797–818. [Google Scholar] [CrossRef]
- Awadhiya, B.; Kondekar, P.N.; Meshram, A.D. Passive voltage amplification in non-leaky ferroelectric–dielectric heterostructure. Micro. Nano Lett. 2018, 13, 1399–1403. [Google Scholar] [CrossRef]
- Khan, A.I.; Radhakrishna, U.; Salahuddin, S.; Antoniadis, D. Work Function Engineering for Performance Improvement in Leaky Negative Capacitance FETs. IEEE Electron Device Lett. 2017, 38, 1335–1338. [Google Scholar] [CrossRef]
- Jain, A.; Alam, M.A. Stability Constraints Define the Minimum Subthreshold Swing of a Negative Capacitance Field-Effect Transistor. IEEE Trans. Electron Devices 2014, 61, 2235–2242. [Google Scholar] [CrossRef]
- Khan, A.I. On the Microscopic Origin of Negative Capacitance in Ferroelectric Materials: A Toy Model. In Proceedings of the 2018 IEEE International Electron Devices Meeting (IEDM), Atlanta, GA, USA, 1–5 December 2018; pp. 9.3.1–9.3.4. [Google Scholar] [CrossRef]
- Wong, J.C.; Salahuddin, S. Negative Capacitance Transistors. Proc. IEEE 2019, 107, 49–62. [Google Scholar] [CrossRef]
- Liu, T.; Yang, C.; Si, J.; Sun, W.; Su, D.; Li, C.; Yuan, X.; Huang, S.; Cheng, X.; Cheng, Z. Self-Poled Bismuth Ferrite Thin Film Micromachined for Piezoelectric Ultrasound Transducers. Adv. Mater. 2025, 37, 2414711. [Google Scholar] [CrossRef] [PubMed]
- Khan, A.I.; Radhakrishna, U.; Chatterjee, K.; Salahuddin, S.; Antoniadis, D.A. Negative Capacitance Behavior in a Leaky Ferroelectric. IEEE Trans. Electron Devices 2016, 63, 4416–4422. [Google Scholar] [CrossRef]
- Trolier-McKinstry, S.; Zhu, W.; Akkopru-Akgun, B.; He, F.; Ko, S.W. Reliability of piezoelectric films for MEMS. Jpn. J. Appl. Phys. 2023, 62, SM0802. [Google Scholar] [CrossRef]
- Kumar, B.N.; Babu, T.; Tiwari, B.; Choudhary, R.N.P. Review on PZT as a mechanical engineering material. Ferroelectrics 2024, 618, 125–138. [Google Scholar] [CrossRef]
- Chugh, D.; Kwon, H.K.; Haddon-Vukasin, G.D.; Kenny, T.W.; Chandorkar, S.A. Sensing Voltage at Electrically Floating Nodes: A Path Toward Enhancing Performance and Robustness in Capacitive MEMS Resonators. J. Microelectromech. Syst. 2025, 34, 116–133. [Google Scholar] [CrossRef]
- Lamba, A.; Chaujar, R.; Deen, M.J. Negative capacitance FinFETs for low power applications: A review. Micro. Nanostruct. 2025, 205, 208177. [Google Scholar] [CrossRef]
- Kumar, A.; Chaturvedi, S.; Kumar, S. Negative capacitance double-gate MOSFET for advanced low-power electronic applications. Microelectron. J. 2025, 159, 106656. [Google Scholar] [CrossRef]





Disclaimer/Publisher’s Note: The statements, opinions and data contained in all publications are solely those of the individual author(s) and contributor(s) and not of MDPI and/or the editor(s). MDPI and/or the editor(s) disclaim responsibility for any injury to people or property resulting from any ideas, methods, instructions or products referred to in the content. |
© 2025 by the authors. Licensee MDPI, Basel, Switzerland. This article is an open access article distributed under the terms and conditions of the Creative Commons Attribution (CC BY) license (https://creativecommons.org/licenses/by/4.0/).
Share and Cite
Chamarahalli Manjunatha, A.; Suresh, P.; Bhat, A.; Mishra, V.; Nanjappa, Y.; Awadhiya, B.; Agrawal, S. Mole Fraction Dependent Passive Voltage Amplification in FE-DE Heterostructure. Electron. Mater. 2025, 6, 11. https://doi.org/10.3390/electronicmat6030011
Chamarahalli Manjunatha A, Suresh P, Bhat A, Mishra V, Nanjappa Y, Awadhiya B, Agrawal S. Mole Fraction Dependent Passive Voltage Amplification in FE-DE Heterostructure. Electronic Materials. 2025; 6(3):11. https://doi.org/10.3390/electronicmat6030011
Chicago/Turabian StyleChamarahalli Manjunatha, Archana, Pratheeksha Suresh, Akshatha Bhat, Vikash Mishra, Yashwanth Nanjappa, Bhaskar Awadhiya, and Sachin Agrawal. 2025. "Mole Fraction Dependent Passive Voltage Amplification in FE-DE Heterostructure" Electronic Materials 6, no. 3: 11. https://doi.org/10.3390/electronicmat6030011
APA StyleChamarahalli Manjunatha, A., Suresh, P., Bhat, A., Mishra, V., Nanjappa, Y., Awadhiya, B., & Agrawal, S. (2025). Mole Fraction Dependent Passive Voltage Amplification in FE-DE Heterostructure. Electronic Materials, 6(3), 11. https://doi.org/10.3390/electronicmat6030011

