Vis and NIR Diffuse Reflectance Study in Disordered Bismuth Manganate—Lead Titanate Ceramics
Abstract
:1. Introduction
2. Materials and Methods
2.1. Preparation of Composite Ceramics
2.2. Vis-NIR Reflectance
2.3. Surface Morphology
3. Results
3.1. SEM Morphology
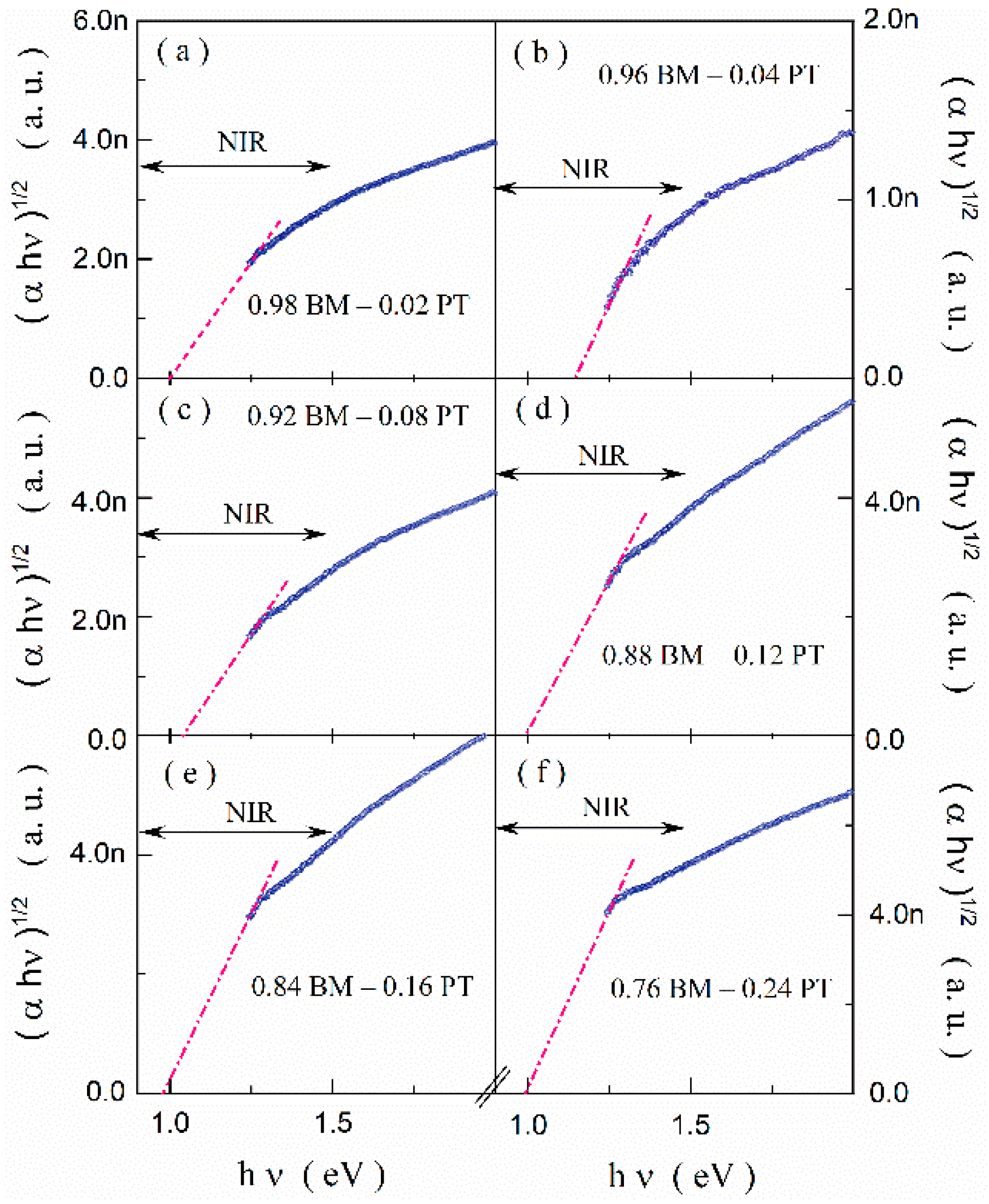
3.2. Vis-NIR Optical Features
4. Discussion
- In the case of BM and PT reference materials, it was possible to attribute determined Egap magnitudes to electric charge excitation from the VB to CB (BiMn2O5), to transition from IB to the CB (Bi12MnO20), and from VB to IB (PT);
- The (1 − x) BM–x PT composite exhibited Egap(NIR) = 1.00 ± 0.15 eV lower than Egap magnitudes of the reference compounds. This gap narrowing effect originated from a disorder;
- Determined properties of (1 − x) BM–x PT, especially the narrowing of the Egap magnitudes, of the order of 1 eV, which corresponds to marked light absorption in Vis and NIR, suggest potential optoelectrical applications.
Author Contributions
Funding
Institutional Review Board Statement
Data Availability Statement
Conflicts of Interest
References
- Li, S.; Morasch, J.; Klein, A.; Chirila, C.; Pintilie, L.; Jia, L.; Ellmer, K.; Naderer, M.; Reichmann, K.; Gröting, M.; et al. Influence of orbital contributions to the valence band alignment of Bi2O3, Fe2O3, BiFeO3, and Bi0.5Na0.5TiO3. Phys. Rev. B 2013, 88, 045428. [Google Scholar] [CrossRef]
- Rühle, S. Tabulated values of the Shockley—Queisser limit for single junction solar cells. Sol. Energy 2016, 130, 139–147. [Google Scholar] [CrossRef]
- Ehrler, B.; Alarcón-Lladó, E.; Tabernig, S.W.; Veeken, T.; Garnett, E.C.; Polman, A. Photovoltaics Reaching for the Shockley–Queisser Limit. ACS Energy Lett. 2020, 5, 3029–3033. [Google Scholar] [CrossRef]
- Genenko, Y.A.; Glaum, J.; Hoffmann, M.J.; Albe, K. Mechanisms of aging and fatigue in ferroelectrics. Mater. Sci. Eng. B 2015, 192, 52–82. [Google Scholar] [CrossRef]
- Grinberg, I.; West, D.V.; Torres, M.; Gou, G.; Stein, D.M.; Wu, L.; Chen, G.; Gallo, E.M.; Akbashev, A.R.; Davies, P.K.; et al. Perovskite oxides for visible-light-absorbing ferroelectric and photovoltaic materials. Nature 2013, 503, 509–512. [Google Scholar] [CrossRef]
- Sheikh, M.S.; Ghosh, D.; Bhowmik, T.K.; Dutta, A.; Bhattacharyya, S.; Sinha, T.P. When multiferroics become photoelectrochemical catalysts: A case study with BiFeO3/La2NiMnO6. Mater. Chem. Phys. 2020, 244, 122685. [Google Scholar] [CrossRef]
- Li, P.; Abe, H.; Ye, J. Band-Gap Engineering of NaNbO3 for Photocatalytic H2 Evolution with Visible Light. Int. J. Photoenergy 2014, 2014, 380421. [Google Scholar] [CrossRef] [Green Version]
- Hwang, D.W.; Kim, H.G.; Lee, J.S.; Kim, J.; Li, W.; Oh, S.H. Photocatalytic Hydrogen Production from Water over M-Doped La2Ti2O7 (M = Cr, Fe) under Visible Light Irradiation (λ > 420 nm). J. Phys. Chem. B 2005, 109, 2093–2102. [Google Scholar] [CrossRef]
- Ma, C.; Liu, Z.; Cai, Q.; Han, C.; Tong, Z. ZnO photoelectrode simultaneously modified with Cu2O and Co-Pi based on broader light absorption and efficiently photogenerated carrier separation. Inorg. Chem. Front. 2018, 5, 2571–2578. [Google Scholar] [CrossRef]
- Madusanka, H.T.D.S.; Herath, H.M.A.M.; Fernando, C.A.N. High photoresponse performance of self-powered n-Cu2O/p-CuI heterojunction based UV-Visible photodetector. Sens. Actuators A Phys. 2019, 296, 61–69. [Google Scholar] [CrossRef]
- He, L.; Fei, M.; Chen, J.; Tian, Y.; Jiang, Y.; Huang, Y.; Xu, K.; Hu, J.; Zhao, Z.; Zhang, Q.; et al. Graphitic C3N4 quantum dots for next-generation QLED displays. Mater. Today 2019, 22, 76–84. [Google Scholar] [CrossRef]
- Wang, D.; Ye, J.; Kako, T.; Kimura, T. Photophysical and Photocatalytic Properties of SrTiO3 Doped with Cr Cations on Different Sites. J. Phys. Chem. B 2006, 110, 15824–15830. [Google Scholar] [CrossRef] [PubMed]
- Bujakiewicz-Koronska, R.; Nalecz, D.M.; Molak, A.; Budziak, A. DOS calculation for stoichiometric and oxygen defected (Bi1/2Na1/2)(Mn1/2Nb1/2)O3. Ferroelectrics 2014, 463, 48–56. [Google Scholar] [CrossRef]
- Shi, H.; Li, X.; Iwai, H.; Zou, Z.; Ye, J. 2-Propanol photodegradation over nitrogen-doped NaNbO3 powders under visible-light irradiation. J. Phys. Chem. Solids 2009, 70, 931–935. [Google Scholar] [CrossRef]
- Zheng, D.; Deng, H.; Pan, Y.; Guo, Y.; Zhao, F.; Yang, P.; Chu, J. Modified multiferroic properties in narrow bandgap (1 − x)BaTiO3-xBaNb1/3Cr2/3O3-δ ceramics. Ceram. Int. 2020, 46, 26823–26828. [Google Scholar] [CrossRef]
- Varignon, J.; Bibes, M.; Zunger, A. Origin of band gaps in 3d perovskite oxides. Nat. Commun. 2019, 10, 1658. [Google Scholar] [CrossRef] [Green Version]
- Chen, L.; Zheng, G.; Yao, G.; Zhang, P.; Dai, S.; Jiang, Y.; Li, H.; Yu, B.; Ni, H.; Wei, S. Lead-Free Perovskite Narrow-Bandgap Oxide Semiconductors of Rare-Earth Manganates. ACS Omega 2020, 5, 8766–8776. [Google Scholar] [CrossRef]
- Butson, J.D.; Narangari, P.R.; Lysevych, M.; Wong-Leung, J.; Wan, Y.; Karuturi, S.K.; Tan, H.H.; Jagadish, C. InGaAsP as a Promising Narrow Band Gap Semiconductor for Photoelectrochemical Water Splitting. ACS Appl. Mater. Interfaces 2019, 11, 25236–25242. [Google Scholar] [CrossRef]
- Sathe, A.; Seki, M.; Zhou, H.; Chen, J.X.; Tabata, H. Bandgap engineering in V-substituted α-Fe2O3 photoelectrodes. Appl. Phys. Express 2019, 12, 091003. [Google Scholar] [CrossRef]
- Gadhoumi, F.; Kallel, I.; Benzarti, Z.; Abdelmoula, N.; Hamedoun, M.; Elmoussaoui, H.; Mezzane, D.; Khemakhem, H. Investigation of magnetic, dielectric and optical properties of BiFe0.5Mn0.5O3 multiferroic ceramic. Chem. Phys. Lett. 2020, 753, 137569. [Google Scholar] [CrossRef]
- Molak, A.; Pilch, M. Visible light absorbance enhanced by nitrogen embedded in the surface layer of Mn-doped sodium niobate crystals, detected by ultra violet—visible spectroscopy, x-Ray photoelectron spectroscopy, and electric conductivity tests. J. Appl. Phys. 2016, 119, 204901. [Google Scholar] [CrossRef]
- Mefford, J.T.; Hardin, W.G.; Dai, S.; Johnston, K.P.; Stevenson, K.J. Anion charge storage through oxygen intercalation in LaMnO3 perovskite pseudocapacitor electrodes. Nat. Mater. 2014, 13, 726–732. [Google Scholar] [CrossRef] [PubMed]
- Huang, Y.; Wei, Y.; Cheng, S.; Fan, L.; Li, Y.; Lin, J.; Wu, J. Photocatalytic property of nitrogen-doped layered perovskite K2La2Ti3O10. Sol. Energy Mater. Sol. Cells 2010, 94, 761–766. [Google Scholar] [CrossRef]
- Prosandeyev, S.A.; Teslenko, N.M.; Fisenko, A. V Breaking of symmetry of one-electron orbitals at oxygen vacancies in perovskite-type oxides. J. Phys. Condens. Matter 1993, 5, 9327–9344. [Google Scholar] [CrossRef]
- Srivastava, S. Study of Band Gap Tunablity in one-dimensional Photonic Crystals of Multiferroic-dielectric materials: Case Study in Near Infrared Region. SOP Trans. Appl. Phys. 2014, 2014, 22–32. [Google Scholar] [CrossRef]
- Benjwal, P.; Kar, K.K. Removal of methylene blue from wastewater under a low power irradiation source by Zn, Mn co-doped TiO2 photocatalysts. RSC Adv. 2015, 5, 98166–98176. [Google Scholar] [CrossRef]
- Xu, X.S.; Ihlefeld, J.F.; Lee, J.H.; Ezekoye, O.K.; Vlahos, E.; Ramesh, R.; Gopalan, V.; Pan, X.Q.; Schlom, D.G.; Musfeldt, J.L. Tunable band gap in Bi(Fe1−xMnx)O3 films. Appl. Phys. Lett. 2010, 96, 192901. [Google Scholar] [CrossRef] [Green Version]
- Mocherla, P.S.V.; Karthik, C.; Ubic, R.; Ramachandra Rao, M.S.; Sudakar, C. Tunable bandgap in BiFeO3 nanoparticles: The role of microstrain and oxygen defects. Appl. Phys. Lett. 2013, 103, 022910. [Google Scholar] [CrossRef]
- Niu, P.J.; Yan, J.L.; Xu, C.Y. First-principles study of nitrogen doping and oxygen vacancy in cubic PbTiO3. Comput. Mater. Sci. 2015, 98, 10–14. [Google Scholar] [CrossRef]
- Zametin, V.I. Absorption Edge Anomalies in Polar Semiconductors and Dielectrics at Phase Transitions. Phys. Status Solidi 1984, 124, 625–640. [Google Scholar] [CrossRef]
- Piskunov, S.; Kotomin, E.A.; Heifets, E.; Maier, J.; Eglitis, R.I.; Borstel, G. Hybrid DFT calculations of the atomic and electronic structure for ABO3 perovskite (001) surfaces. Surf. Sci. 2005, 575, 75–88. [Google Scholar] [CrossRef]
- Molak, A.; Wöjcik, K. Optic properties and EPR spectra of PbTiO3:Mn crystals. Ferroelectrics 1992, 125, 349–354. [Google Scholar] [CrossRef]
- Leonarska, A.; Ujma, Z.; Molak, A. Nano-size grain powders and ceramics of PbTiO3 obtained by the hydrothermal method and their electrical properties. Ferroelectrics 2014, 466, 42–50. [Google Scholar] [CrossRef]
- Belik, A.A. Polar and nonpolar phases of BiMO3: A review. J. Solid State Chem. 2012, 195, 32–40. [Google Scholar] [CrossRef]
- Samuel, V.; Navale, S.C.; Jadhav, A.D.; Gaikwad, A.B.; Ravi, V. Synthesis of ultrafine BiMnO3 particles at 100 °C. Mater. Lett. 2007, 61, 1050–1051. [Google Scholar] [CrossRef]
- Molak, A.; Mahato, D.K.; Szeremeta, A.Z. Synthesis and characterization of electrical features of bismuth manganite and bismuth ferrite: Effects of doping in cationic and anionic sublattice: Materials for applications. Prog. Cryst. Growth Charact. Mater. 2018, 64, 1–22. [Google Scholar] [CrossRef]
- Pilch, M.; Molak, A.; Koperski, J.; Zajdel, P. Influence of nitrogen flow during sintering of bismuth manganite ceramics on grain morphology and surface disorder. Phase Transit. 2017, 90, 112–124. [Google Scholar] [CrossRef]
- Muñoz, A.; Alonso, J.A.; Casais, M.T.; Martínez-Lope, M.J.; Martínez, J.L.; Fernández-Díaz, M.T. Magnetic structure and properties of BiMn2O5. Phys. Rev. B 2002, 65, 144423. [Google Scholar] [CrossRef] [Green Version]
- Chakrabartty, J. Oxide Perovskites for Solar Energy Conversion. Ph.D. Thesis, University of Quebec, Quebec, QC, Canada, 2018. [Google Scholar]
- Gaikwad, V.M.; Goyal, S.; Yanda, P.; Sundaresan, A.; Chakraverty, S.; Ganguli, A.K. Influence of Fe substitution on structural and magnetic features of BiMn2O5 nanostructures. J. Magn. Magn. Mater. 2018, 452, 120–128. [Google Scholar] [CrossRef]
- Zhang, J.; Xu, B.; Li, X.F.; Yao, K.L.; Liu, Z.L. Origin of the multiferroicity in BiMn2O5 from first-principles calculations. J. Magn. Magn. Mater. 2011, 323, 1599–1605. [Google Scholar] [CrossRef]
- Li, N.; Yao, K.; Gao, G.; Sun, Z.; Li, L. Charge, orbital and spin ordering in multiferroic BiMn2O5: Density functional theory calculations. Phys. Chem. Chem. Phys. 2011, 13, 9418. [Google Scholar] [CrossRef] [PubMed]
- Wu, X.; Li, M.; Li, J.; Zhang, G.; Yin, S. A sillenite-type Bi12MnO20 photocatalyst: UV, visible and infrared lights responsive photocatalytic properties induced by the hybridization of Mn 3d and O 2p orbitals. Appl. Catal. B Environ. 2017, 219, 132–141. [Google Scholar] [CrossRef]
- Chakrabartty, J.P.; Nechache, R.; Harnagea, C.; Rosei, F. Photovoltaic effect in multiphase Bi-Mn-O thin films. Opt. Express 2014, 22, A80. [Google Scholar] [CrossRef] [PubMed] [Green Version]
- Szeremeta, A.Z.; Pawlus, S.; Nowok, A.; Grzybowska, K.; Zubko, M.; Molak, A. Hydrostatic pressure influence on electric relaxation response of bismuth manganite ceramics. J. Am. Ceram. Soc. 2020, 103, 3732–3738. [Google Scholar] [CrossRef]
- Szeremeta, A.Z.; Nowok, A.; Zubko, M.; Pawlus, S.; Gruszka, I.; Koperski, J.; Molak, A. Influence of interfacial stresses on electrical properties of bismuth manganite—lead titanate—epoxy composite. Ceram. Int. 2021, 47, 34619–34632. [Google Scholar] [CrossRef]
- Szeremeta, A.Z. Relaxation Processes in Bismuth Manganite Which Was a Matrix for PbTiO3 or Was Doped to Pb(Zr0.70Ti0.30)O3 Ceramics. Ph.D. Thesis, University of Silesia, Katowice, Poland, 2018. (In Polish). [Google Scholar]
- Molak, A.; Leonarska, A.; Szeremeta, A. Electric current relaxation and resistance switching in non-homogeneous bismuth manganite. Ferroelectrics 2015, 485, 161–172. [Google Scholar] [CrossRef]
- Molak, A.; Ujma, Z.; Pilch, M.; Gruszka, I.; Pawelczyk, M. Resistance switching induced in BiMnO3 ceramics. Ferroelectrics 2014, 464, 59–71. [Google Scholar] [CrossRef]
- Molak, A.; Szeremeta, A.Z.; Zubko, M.; Nowok, A.; Balin, K.; Gruszka, I.; Pawlus, S. Influence of hydrostatic pressure on electrical relaxation in non-homogeneous bismuth manganite—Lead titanate ceramics. J. Alloys Compd. 2021, 854, 157219. [Google Scholar] [CrossRef]
- López, R.; Gómez, R. Band-gap energy estimation from diffuse reflectance measurements on sol–gel and commercial TiO2: A comparative study. J. Sol-Gel Sci. Technol. 2012, 61, 1–7. [Google Scholar] [CrossRef]
- Zanatta, A.R. Revisiting the optical bandgap of semiconductors and the proposal of a unified methodology to its determination. Sci. Rep. 2019, 9, 11225. [Google Scholar] [CrossRef] [Green Version]
- Makuła, P.; Pacia, M.; Macyk, W. How to Correctly Determine the Band Gap Energy of Modified Semiconductor Photocatalysts Based on UV–Vis Spectra. J. Phys. Chem. Lett. 2018, 9, 6814–6817. [Google Scholar] [CrossRef] [Green Version]
- Cai, M.-Q.; Tang, C.-H.; Tan, X.; Deng, H.-Q.; Hu, W.-Y.; Wang, L.-L.; Wang, Y.-G. First-principles study for the atomic structures and electronic properties of PbTiO3 oxygen-vacancies (001) surface. Surf. Sci. 2007, 601, 5412–5418. [Google Scholar] [CrossRef]
- de Lazaro, S.; Longo, E.; Sambrano, J.R.; Beltrán, A. Structural and electronic properties of PbTiO3 slabs: A DFT periodic study. Surf. Sci. 2004, 552, 149–159. [Google Scholar] [CrossRef]
- Gerges, M.K.; Mostafa, M.; Rashwan, G.M. Structural, optical and electrical properties of PbTiO3 nanoparticles prepared by Sol-Gel method. Int. J. Latest Res. Eng. Technol. 2016, 2, 42–49. [Google Scholar]
- Zhong, J.; Wu, W.; Liao, J.; Feng, W.; Jiang, Y.; Wang, L.; Kuang, D. The Rise of Textured Perovskite Morphology: Revolutionizing the Pathway toward High-Performance Optoelectronic Devices. Adv. Energy Mater. 2020, 10, 1902256. [Google Scholar] [CrossRef]
- Shamitha, C.; Senthil, T.; Wu, L.; Kumar, B.S.; Anandhan, S. Sol–gel electrospun mesoporous ZnMn2O4 nanofibers with superior specific surface area. J. Mater. Sci. Mater. Electron. 2017, 28, 15846–15860. [Google Scholar] [CrossRef]














| Atom | BM | Atom | PT | Atom | 0.96 BM –0.04 PT | Atom | 0.88 BM –0.12PT | Atom | 0.76 BM –0.24 PT |
|---|---|---|---|---|---|---|---|---|---|
| Bi | 50.2 | Pb | 48.5 | Bi | 45.0 | Bi | 43.6 | Bi | 36.5 |
| Mn | 49.8 | Ti | 51.5 | Mn | 51.4 | Mn | 45.1 | Mn | 38.3 |
| Pb | 1.5 | Pb | 6.2 | Pb | 13.8 | ||||
| Ti | 2.1 | Ti | 5.1 | Ti | 11.4 |
Publisher’s Note: MDPI stays neutral with regard to jurisdictional claims in published maps and institutional affiliations. |
© 2022 by the authors. Licensee MDPI, Basel, Switzerland. This article is an open access article distributed under the terms and conditions of the Creative Commons Attribution (CC BY) license (https://creativecommons.org/licenses/by/4.0/).
Share and Cite
Molak, A.; Szeremeta, A.Z.; Koperski, J. Vis and NIR Diffuse Reflectance Study in Disordered Bismuth Manganate—Lead Titanate Ceramics. Electron. Mater. 2022, 3, 101-114. https://doi.org/10.3390/electronicmat3010010
Molak A, Szeremeta AZ, Koperski J. Vis and NIR Diffuse Reflectance Study in Disordered Bismuth Manganate—Lead Titanate Ceramics. Electronic Materials. 2022; 3(1):101-114. https://doi.org/10.3390/electronicmat3010010
Chicago/Turabian StyleMolak, Andrzej, Anna Z. Szeremeta, and Janusz Koperski. 2022. "Vis and NIR Diffuse Reflectance Study in Disordered Bismuth Manganate—Lead Titanate Ceramics" Electronic Materials 3, no. 1: 101-114. https://doi.org/10.3390/electronicmat3010010
APA StyleMolak, A., Szeremeta, A. Z., & Koperski, J. (2022). Vis and NIR Diffuse Reflectance Study in Disordered Bismuth Manganate—Lead Titanate Ceramics. Electronic Materials, 3(1), 101-114. https://doi.org/10.3390/electronicmat3010010

