Majority and Minority Charge Carrier Traps in n-Type 4H-SiC Studied by Junction Spectroscopy Techniques
Abstract
:1. Introduction
2. Materials and Methods
2.1. Schottky Barrier Diode
2.2. Measurement Techniques
2.2.1. Deep-Level Transient Spectroscopy (DLTS)
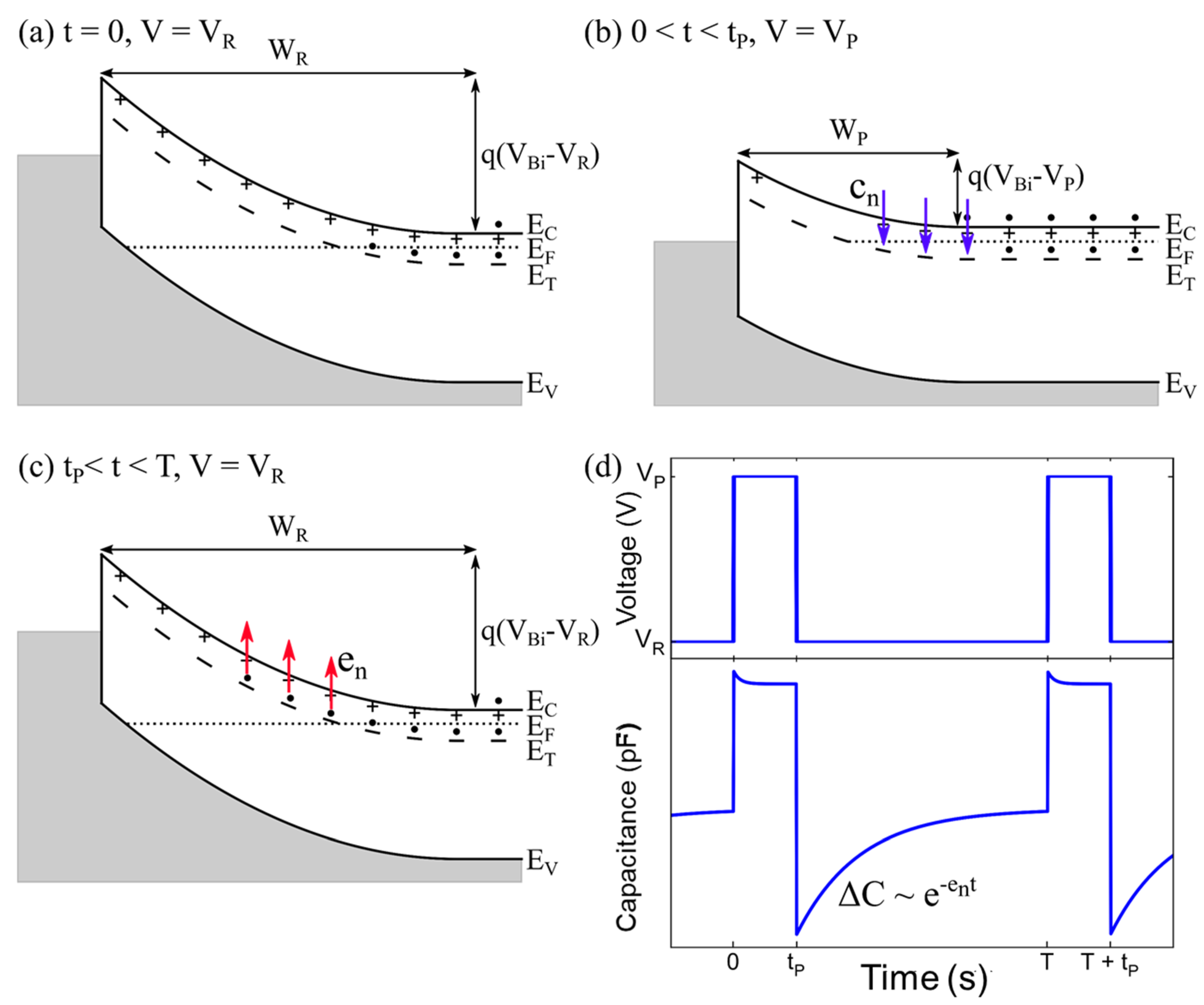
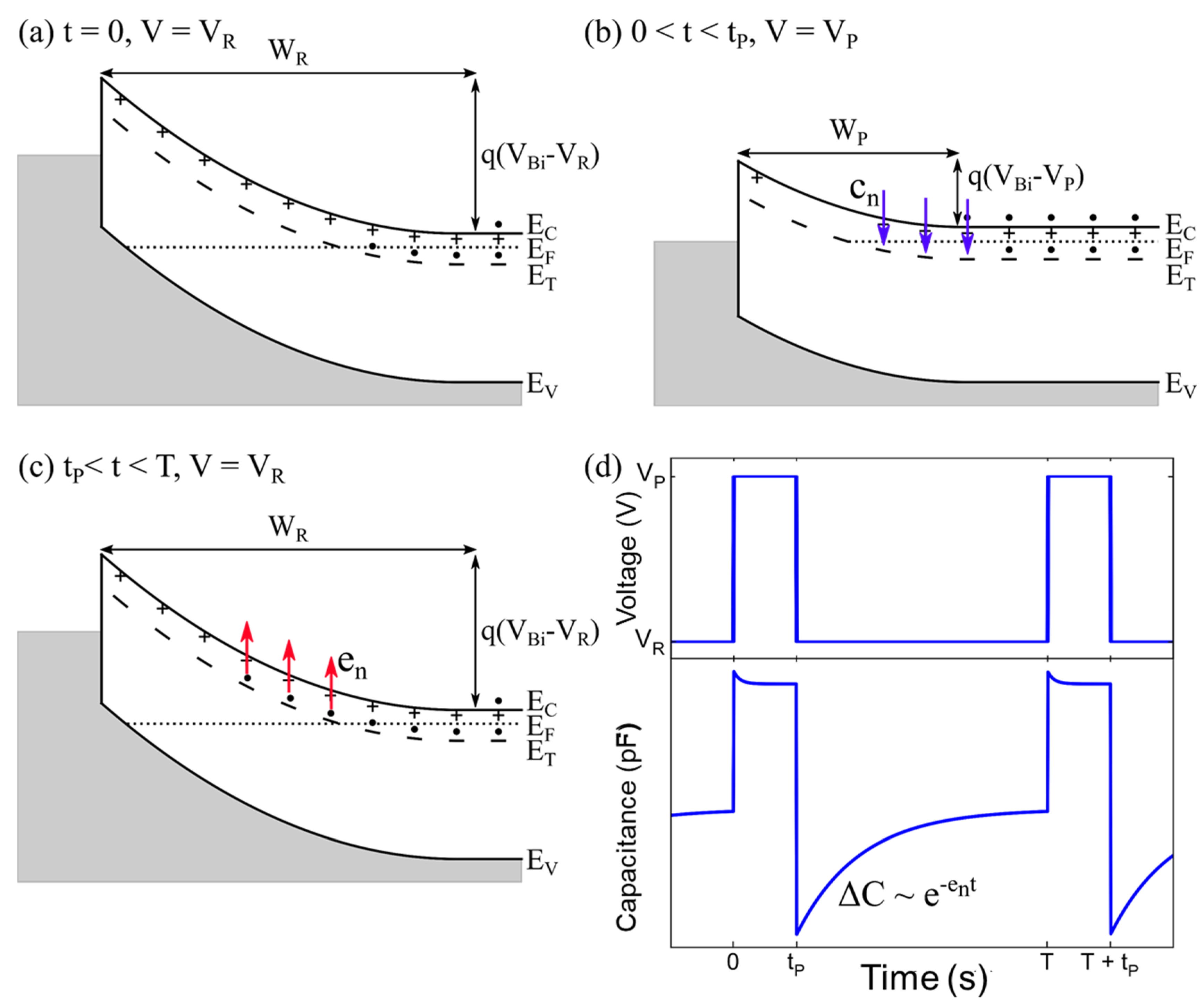
2.2.2. Minority Carrier Transient Spectroscopy (MCTS)
3. Electrically Active Defects in n-Type 4H-SiC
3.1. Majority Charge Carrier Traps
3.2. Minority Charge Carrier Traps
4. Conclusions
Author Contributions
Funding
Data Availability Statement
Conflicts of Interest
References
- Kimoto, T.; Cooper, J.A. Fundamentals of Silicon Carbide Technology: Growth, Characterization, Devices, and Applications; John Wiley & Sons Singapore Pte. Ltd: Singapore, 2014. [Google Scholar] [CrossRef]
- Yang, A.; Murata, K.; Miyazawa, T.; Tawara, T.; Tsuchida, H. Analysis of carrier lifetimes in N+B-doped n-type 4H-SiC epilayers. J. Appl. Phys. 2019, 126, 055103. [Google Scholar] [CrossRef]
- Bathen, M.E.; Galeckas, A.; Müting, J.; Ayedh, H.M.; Grossner, U.; Coutinho, J.; Frodason, Y.K.; Vines, L. Electrical charge state identification and control for the silicon vacancy in 4H-SiC. NPJ Quantum Inf. 2019, 5, 111. [Google Scholar] [CrossRef] [Green Version]
- Radulović, V.; Yamazaki, Y.; Pastuović, Ž.; Sarbutt, A.; Ambrožič, K.; Bernat, R.; Ereš, Z.; Coutinho, J.; Ohshima, T.; Capan, I.; et al. Silicon carbide neutron detector testing at the JSI TRIGA reactor for enhanced border and port security. Nucl. Instrum. Methods Phys. Res. Sect. A Accel. Spectrometers Detect. Assoc. Equip. 2020, 972, 164122. [Google Scholar] [CrossRef]
- Coutinho, J.; Torres, V.J.B.; Capan, I.; Brodar, T.; Ereš, Z.; Bernat, R.; Radulović, V. Silicon carbide diodes for neutron detection. Nucl. Inst. Methods Phys. Res. A 2020, 986, 164793. [Google Scholar] [CrossRef]
- Zhang, J.; Storasta, L.; Bergman, J.P.; Son, N.T.; Janzén, E. Electrically active defects in n-type 4H-silicon carbide grown in a vertical hot-wall reactor. J. Appl. Phys. 2003, 93, 4708–4714. [Google Scholar] [CrossRef]
- Beyer, F.C.; Hemmingsson, C.G.; Leone, S.; Lin, Y.C.; Gällström, A.; Henry, A.; Janzén, E. Deep levels in iron doped n- and p-type 4H-SiC. J. Appl. Phys. 2011, 110, 123701. [Google Scholar] [CrossRef] [Green Version]
- Alfieri, G.; Kimoto, T. Detection of minority carrier traps in p-type 4H-SiC. Appl. Phys. Lett. 2014, 104, 092105. [Google Scholar] [CrossRef]
- Okuda, T.; Alfieri, G.; Kimoto, T.; Suda, J. Oxidation-induced majority and minority carrier traps in n-and p-type 4H-SiC. Appl. Phys. Express 2015, 8, 1301. [Google Scholar] [CrossRef]
- Peaker, A.R.; Markevich, V.P.; Coutinho, J. Tutorial: Junction spectroscopy techniques and deep-level defects in semiconductors. J. Appl. Phys. 2018, 123, 161559. [Google Scholar] [CrossRef] [Green Version]
- Peaker, A.R.; Dobachewski, L. Laplace-transform deep-level spectroscopy: The technique and its applications to the study of point defects in semiconductors. J. Appl. Phys. 2004, 96, 4689. [Google Scholar] [CrossRef] [Green Version]
- Hamilton, B.; Peaker, A.R.; Wight, D.R. Deep-state-controlled minority-carrier lifetime in n-type gallium phosphide. J. Appl. Phys. 1979, 50, 6373–6385. [Google Scholar] [CrossRef]
- Brunwin, R.; Hamilton, B.; Jordan, P.; Peaker, A.R. Detection of minority-carrier traps using transient spectroscopy. Electron. Lett. 1979, 15, 349–350. [Google Scholar] [CrossRef]
- Markevich, V.P.; Peaker, A.R.; Capan, I.; Lastovskii, S.B.; Dobaczewski, L.; Emtsev, V.V.; Abrosimov, N.V. Electrically active defects induced by irradiations with electrons, neutrons and ions in Ge-rich SiGe alloys. Phys. B Condens. Matter 2007, 401–402, 184–187. [Google Scholar] [CrossRef]
- Brodar, T. Characterization of Electrically Active Defects in 4H-SiC by Transient Spectroscopy Methods. Ph.D. Thesis, University of Zagreb, Zagreb, Serbia, 2021. [Google Scholar]
- Brodar, T.; Bakrač, L.; Capan, I.; Ohshima, T.; Snoj, L.; Radulović, V.; Pastuović, Ž. Depth Profile Analysis of Deep Level Defects in 4H-SiC Introduced by Radiation. Crystals 2020, 10, 845. [Google Scholar] [CrossRef]
- Son, N.T.; Trinh, X.T.; Løvlie, L.S.; Svensson, B.G.; Kawahara, K.; Suda, J.; Kimoto, T.; Umeda, T.; Isoya, J.; Makino, T.; et al. Negative-U System of Carbon Vacancy in 4H-SiC. Phys. Rev. Lett. 2012, 109, 187603. [Google Scholar] [CrossRef] [Green Version]
- Pastuović, Z.; Siegele, R.; Capan, I.; Brodar, I.; Sato, S.; Ohshima, T. Deep level defects in 4H-SiC introduced by ion implantation: The role of single ion regime. J. Phys. Condens. Matter 2017, 29, 475701. [Google Scholar] [CrossRef] [Green Version]
- Hemmingsson, C.G.; Son, N.T.; Ellison, A.; Zhang, J.; Janzén, E. Negative- U centers in 4 H silicon carbide. Phys. Rev. B 1998, 58, R10119–R10122. [Google Scholar] [CrossRef]
- Capan, I.; Brodar, T.; Pastuović, Z.; Siegele, R.; Ohshima, T.; Sato, S.I.; Makino, T.; Snoj, L.; Radulović, V.; Coutinho, J.; et al. Double negatively charged carbon vacancy at the h- and k-sites in 4H-SiC: Combined Laplace-DLTS and DFT study. J. Appl. Phys. 2018, 123, 161597. [Google Scholar] [CrossRef] [Green Version]
- Capan, I.; Brodar, T.; Coutinho, J.; Ohshima, T.; Markevich, V.P.; Peaker, A.R. Acceptor levels of the carbon vacancy in 4 H-SiC: Combining Laplace deep level transient spectroscopy with density functional modeling. J. Appl. Phys. 2018, 124, 245701. [Google Scholar] [CrossRef] [Green Version]
- Capan, I.; Brodar, T.; Makino, T.; Radulovic, V.; Snoj, L. M-Center in Neutron-Irradiated 4H-SiC. Crystals 2021, 11, 1404. [Google Scholar] [CrossRef]
- Capan, I.; Brodar, T.; Bernat, R.; Pastuović, Ž.; Makino, T.; Ohshima, T.; Gouveia, J.D.; Coutinho, J. M-center in 4H-SiC: Isothermal DLTS and first principles modeling studies. J. Appl. Phys. 2021, 130, 125703. [Google Scholar] [CrossRef]
- Brodar, T.; Capan, I.; Radulović, V.; Snoj, L.; Pastuović, Z.; Coutinho, J.; Ohshima, T. Laplace DLTS study of deep defects created in neutron-irradiated n-type 4H-SiC. Nucl. Instrum. Methods Phys. Res. Sect. B Beam Interact. Mater. Atoms. 2018, 437, 27–31. [Google Scholar] [CrossRef] [Green Version]
- Storasta, L.; Bergman, J.P.; Janzén, E.; Henry, A.; Lu, J. Deep levels created by low energy electron irradiation in 4H-SiC. J. Appl. Phys. 2004, 96, 4909–4915. [Google Scholar] [CrossRef]
- Alfieri, G.; Mihaila, A. Isothermal annealing study of the EH1 and EH3 levels in n-type 4H-SiC. J. Phys. Condens. Matter 2020, 32, 46. [Google Scholar] [CrossRef]
- Karsthof, R.; Bathen, M.E.; Galeckas, A.; Vines, L. Conversion pathways of primary defects by annealing in proton-irradiated n-type 4H-SiC. Phys. Rev. B 2020, 102, 184111. [Google Scholar] [CrossRef]
- Nakane, H.; Kato, M.; Ohkouchi, Y.; Trinh, X.T.; Ivanov, I.G.; Ohshima, T.; Son, N.T. Deep levels related to the carbon antisite–vacancy pair in 4H-SiC. J. Appl. Phys. 2021, 130, 065703. [Google Scholar] [CrossRef]
- Alfieri, G.; Kimoto, T. Resolving the EH6/7 level in 4H-SiC by Laplace-transform deep level transient spectroscopy. Appl. Phys. Lett. 2013, 102, 152108. [Google Scholar] [CrossRef] [Green Version]
- Capan, I.; Yamazaki, Y.; Oki, Y.; Brodar, T.; Makino, T.; Ohshima, T. Minority Carrier Trap in n-Type 4H–SiC Schottky Barrier Diodes. Crystals 2019, 9, 328. [Google Scholar] [CrossRef] [Green Version]
- Capan, I.; Brodar, T.; Yamazaki, Y.; Oki, Y.; Ohshima, T.; Chiba, Y.; Hijikata, Y.; Snoj, L.; Radulović, V. Influence of neutron radiation on majority and minority carrier traps in n-type 4H-SiC. Nucl. Inst. Methods Phys. Res. 2020, B478, 224–228. [Google Scholar] [CrossRef]
- Bockstedte, M.; Mattausch, A.; Pankratov, O. Boron in SiC: Structure and Kinetics. Mater Sci. Forum 2001, 353–356, 447–450. [Google Scholar] [CrossRef]









| Trap Label | Identification | Activation Energy (eV) | References |
|---|---|---|---|
| EH1 | Ci | Ec − 0.40 | [25,26] |
| EH3 | Ci | Ec − 0.70 | [25,26] |
| S1 | VSi (−3/−) | Ec − 0.40 | [3,22] |
| S2 | VSi (=/−) | Ec − 0.70 | [3,22] |
| Z1 | Vc (=/0) | Ec − 0.59 | [17,19,20,21] |
| Z2 | Vc (=/0) | Ec − 0.67 | [17,19,20,21] |
| EH4/5 | Csi-Vc (+/0) | Ec − 1.10 | [27,28] |
| EH6 | Vc (0/++) | Ec − 1.30 | [17,18,29] |
| EH7 | Vc (0/++) | Ec − 1.40 | [17,18,29] |
| B | Bsi | Ev + 0.28 | [2,7,30,31,32] |
| D-center | Bc | Ev + 0.54 | [2,7,30,31,32] |
Publisher’s Note: MDPI stays neutral with regard to jurisdictional claims in published maps and institutional affiliations. |
© 2022 by the authors. Licensee MDPI, Basel, Switzerland. This article is an open access article distributed under the terms and conditions of the Creative Commons Attribution (CC BY) license (https://creativecommons.org/licenses/by/4.0/).
Share and Cite
Capan, I.; Brodar, T. Majority and Minority Charge Carrier Traps in n-Type 4H-SiC Studied by Junction Spectroscopy Techniques. Electron. Mater. 2022, 3, 115-123. https://doi.org/10.3390/electronicmat3010011
Capan I, Brodar T. Majority and Minority Charge Carrier Traps in n-Type 4H-SiC Studied by Junction Spectroscopy Techniques. Electronic Materials. 2022; 3(1):115-123. https://doi.org/10.3390/electronicmat3010011
Chicago/Turabian StyleCapan, Ivana, and Tomislav Brodar. 2022. "Majority and Minority Charge Carrier Traps in n-Type 4H-SiC Studied by Junction Spectroscopy Techniques" Electronic Materials 3, no. 1: 115-123. https://doi.org/10.3390/electronicmat3010011
APA StyleCapan, I., & Brodar, T. (2022). Majority and Minority Charge Carrier Traps in n-Type 4H-SiC Studied by Junction Spectroscopy Techniques. Electronic Materials, 3(1), 115-123. https://doi.org/10.3390/electronicmat3010011

