Mixing Enhancement Study in Axisymmetric Trapped-Vortex Combustor for Propane, Ammonia and Hydrogen
Abstract
1. Introduction
Scope of Current Work
2. Materials and Methods
2.1. Geometry
2.2. Governing Equations
2.3. Solution Procudure
2.4. Boundary Conditions
2.5. Grid-Independence Study
2.6. Validation Study
3. Results and Discussion
3.1. Impact of Transverse Injection Angle for Propane under Idle and Low-Power Conditions
3.2. Mixing Enhancement of Fuel and Air for Hydrogen and Ammonia
4. Conclusions
- (a)
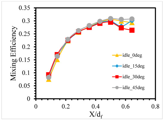
- As the operating conditions approach realism, the mixing efficiency also increases, which suggests that the trapped-vortex combustor is suitable for operating under realistic conditions.
- (b)
- The 45-degree- and 30-degree-angled air injectors have superior mixing throughout the cavity compared to the 0- and 15-degree angles for all three fuel types, with the 45-degree angle having slightly higher mixing efficiency overall.
- (c)
- The 30-degree-angled fuel injector had the lowest mixing efficiency around the fuel injectors, which is important because this will lower the temperature around the fuel jets and reduce the possibility of damage to them, reducing the chance of fire reaching the fuel injectors. However, reacting simulations will require observation of this phenomenon.
- (d)
- Propane and ammonia showed similar trends in terms of fuel injection trajectory trends. Fuel shifted towards the bottom of the cavity as the air injector angle increased, but a significant difference was observed on the 30-degree angled injector, where the fuel injection moved more towards the bottom of the cavity compared to the other angles.
- (e)
- Hydrogen, on the other hand, had completely different injection behavior compared to the other two fuels. The fuel moved towards the upside of the cavity rather than moving into the cavity. A promising event was that as the air injector angle increased, the trajectory of the hydrogen moved towards the inside of the cavity. Even though this is positive, it suggests that hydrogen usage in trapped-vortex combustors requires some modification.
Author Contributions
Funding
Data Availability Statement
Acknowledgments
Conflicts of Interest
Nomenclature
| daft | Afterbody Diameter |
| dc | Combustor Diameter |
| dca | Diameter of the Cavity Air Injector |
| df | Forebody Diameter |
| dfuel | Fuel Injection Diameter |
| ds | Spindle Diameter |
| g | Acceleration due to gravity |
| k | Turbulent Kinetic Energy (J) |
| L | Length of the Combustor |
| Lair1 | Distance of Inner Cavity Air Injection |
| Lair2 | Distance of Outer Cavity Air Injection |
| Lca | Cavity Length |
| Lf | Distance of Fuel Injection |
| NOx | Nitrogen Emission |
| Pr | Prandtl Number |
| S | Modulus of the mean rate-of-strain tensor |
| taft | Thickness of Afterbody |
| tf | Thickness of Forebody |
| Greek | |
| Turbulence kinetic energy from buoyancy | |
| Kinetic energy from mean velocity gradient | |
| Stress tensor generated by molecular viscosity | |
| Source Terms | |
| Turbulence viscosity | |
| Eddy viscosity | |
| Addition of fluctuating dilation in compressible turbulence to overall dissipation | |
| Turbulent Schmidt Number | |
| Turbulent Diffusivity | |
| Production of species | |
| Rate of creation by addition from the dispersed phase and user-defined sources | |
| Mass fraction of species | |
| Abbreviation | |
| PISO | Pressure Implicit with Splitting of Operators |
| PRESTO | Pressure-Staggering Option |
| QUICK | Quadratic Upstream Interpolation for Convective Kinematics |
| RANS | Reynolds-Averaged Navier–Stokes |
| SST | Shear-Stress Transport |
| TVC | Trapped Vortex Combustor |
References
- Hsu, K.-Y.; Goss, L.P.; Trump, D.D.; Roquemore, W.M. Performance of a Trapped-Vortex Combustor. In Proceedings of the 33rd Aerospace Sciences Meeting and Exhibit, Reno, NV, USA, 9–12 January 1995. [Google Scholar]
- Roquemore, W.M.; Shouse, D.; Burrus, D.; Johnson, A.; Cooper, C.; Duncart, B.; Hsu, K.-Y.; Katta, V.R.; Sturgess, G.J.; Vihineiv, I.; et al. Trapped Vortex Combustor Concept for Gas Turbine Engines. In Proceedings of the 39th Aerospace Sciences Meeting and Exhibit, Reno, NV, USA, 8–11 January 2001. [Google Scholar]
- Lefebvre, A.H.; Ballal, D.R. GAS Turbine Combustion: Alternative Fuels and Emissions, 3rd ed.; CRC Press: Boca Raton, FL, USA, 2010. [Google Scholar]
- Kumar, P.K.E.; Mishra, D.P. Numerical simulation of cavity flow structure in an axisymmetric trapped vortex combustor. Aerosp. Sci. Technol. 2012, 21, 16–23. [Google Scholar] [CrossRef]
- Little, B.H.; Whipkey, R.R. Locked Vortex Afterbodies. J. Aircr. 1979, 16, 289–295. [Google Scholar] [CrossRef]
- Mair, W.A. The Effect of a Rear-Mounted Disc on the Drag of a Blunt-Based Body of Revolution. Aeronaut. Q. 1965, 16, 350–360. [Google Scholar] [CrossRef]
- Katta, V.R.; Roquemore, W.M. Numerical Studies On Trapped-Vortex Combustor. In Proceedings of the 32nd Joint Propulsion Conference and Exhibit, Lake Buena Vista, FL, USA, 1–3 July 1996. [Google Scholar]
- Ghenai, C.; Zbeeb, K.; Janajreh, I. Combustion of alternative fuels in vortex trapped combustor. Energy Convers. Manag. 2013, 65, 819–828. [Google Scholar] [CrossRef]
- Krishna, S.; Ravikrishna, R.V. Optical diagnostics of fuel-air mixing and vortex formation in a cavity combustor. Exp. Therm. Fluid. Sci. 2015, 61, 163–176. [Google Scholar] [CrossRef]
- Singhal, A.; Ravikrishna, R.V. Single cavity trapped vortex combustor dynamics-Part-1: Experiments. Sage J. 2011, 3, 23–44. [Google Scholar] [CrossRef]
- Sies, M.M.; Wahid, M.A. Numerical investigation of the asymmetrical vortex combustor running on biogas. J. Adv. Res. Fluid. Mech. Therm. Sci. 2020, 74, 1–18. [Google Scholar] [CrossRef]
- Yan, P.; Fan, W.; Xu, H.; Zhang, R. Numerical Study of NOx Generation in a Trapped Vortex Combustor Fuelled by Kerosene Blended with Ethanol. IOP Conf. Ser. Earth Environ. Sci. 2021, 721, 012005. [Google Scholar] [CrossRef]
- Cecere, D.; Giacomazzi, E.; Di Nardo, A.; Calchetti, G. Gas Turbine Combustion Technologies for Hydrogen Blends. Energies 2023, 16, 6829. [Google Scholar] [CrossRef]
- Rizkalla, H.; Hernandez, F.; Bullard, T.; Benoit, J.; Stuttaford, P.; Thomassen, A. “Future-proofing” today’s industrial gas turbines: Combustion system fuel flexibility improvements for hydrogen consumption in a renewable dominated marketplace. In Proceedings of the Future of Gas Turbine Technology, 9th International Gas Turbine Conference, Brussels, Belgium, 10–11 October 2018. [Google Scholar]
- Sharifzadeh, R.; Afshari, A. Assessment of a hydrogen-fueled swirling trapped-vortex combustor using large-eddy simulation. Fuel 2024, 357, 129847. [Google Scholar] [CrossRef]
- Guo, Y.; Gong, C.; Huang, Y.; Duan, F.; He, X. Combustion and emission performance of swirling-flow single trapped vortex combustor. Appl. Therm. Eng. 2024, 236, 121678. [Google Scholar] [CrossRef]
- Zhang, J.; Wang, M.; Wang, L.; Wang, J.; Jiang, P.; He, X. Experimental Investigation on Liner Cooling Characteristics of a Mixed-Flow Trapped Vortex Combustor. J. Therm. Sci. 2023, 32, 2222–2234. [Google Scholar] [CrossRef]
- Jiang, P.; Xiong, S.; Xu, W.; Du, Z.; He, X. Experimental study on the influence of inlet velocity and fuel/air ratio on outlet temperature profile performance in a turboshaft engine combustor. Fuel 2024, 357, 129715. [Google Scholar] [CrossRef]
- Kang, Y.; Wang, C.; Fang, G.; Xing, F.; Chan, S. Flow and Combustion Characteristics of Wave Rotor–Trapped Vortex Combustor System. Energies 2023, 16, 326. [Google Scholar] [CrossRef]
- Jeong, S.M.; Han, H.S.; Sung, B.K.; Kim, W.; Choi, J.Y. Reactive Flow Dynamics of Low-Frequency Instability in a Scramjet Combustor. Aerospace 2023, 10, 932. [Google Scholar] [CrossRef]
- Uluk, H.S.; Dakka, S.; Singh, K.; Jefferson-Loveday, R. Non-reacting Numerical Simulation of Axisymmetric Trapped Vortex Combustor. In Proceedings of the ICAAAE 2023: XVII. International Conference on Aeronautical and Aerospace Engineering, London, UK, 11–12 December 2023. [Google Scholar]
- Ansys Fluent Theory Guide. 2022. Available online: http://www.ansys.com (accessed on 12 February 2024).
- Feng, Y.; Li, X.; Ren, X.; Gu, C.; Lv, X.; Li, S.; Wang, Z. Experimental and Numerical Investigation of the Non-Reacting Flow in a High-Fidelity Heavy-Duty Gas Turbine DLN Combustor. Energies 2022, 15, 9551. [Google Scholar] [CrossRef]
- Fąfara, J.M.; Modliński, N. Computational Fluid Dynamics (CFD) Assessment of the Internal Flue Gases Recirculation (IFGR) Applied to Gas Microturbine in the Context of More Hydrogen-Enriched Fuel Use. Energies 2023, 16, 6703. [Google Scholar] [CrossRef]
- Benim, A.C.; Canal, C.D.; Boke, Y.E. A validation study for rans based modelling of swirling pulverized fuel flames. Energies 2021, 14, 7323. [Google Scholar] [CrossRef]
- Li, Z.; Liu, Z.; Chen, P.; Liu, J.; Wu, J. Numerical Comparative Study of Fuel Cavitation in Microchannels under Different Turbulence Models. Energies 2022, 15, 8265. [Google Scholar] [CrossRef]
- Lin, J.; Li, H.; Zhang, Y.; Yang, J. Experimental and Numerical Study of a Two-Stage Swirl Burner. Energies 2022, 15, 1097. [Google Scholar] [CrossRef]
- Cao, C.; Gao, Y.; Wang, S.; Liu, F.; Liu, C.; Mu, Y.; Mei, D.; Xu, G. Numerical Investigation on Mechanism of Swirling Flow of the Prefilming Air-Blast Fuel Injector. Energies 2023, 16, 650. [Google Scholar] [CrossRef]
- Liu, S.; Zhao, N.; Zhang, J.; Yang, J.; Li, Z.; Zheng, H. Experimental and numerical investigations of plasma ignition characteristics in gas turbine combustors. Energies 2019, 12, 1511. [Google Scholar] [CrossRef]
- Wang, K.; Li, F.; Zhou, T.; Ao, Y. Numerical Study of Combustion and Emission Characteristics for Hydrogen Mixed Fuel in the Methane-Fueled Gas Turbine Combustor. Aerospace 2023, 10, 72. [Google Scholar] [CrossRef]
- Lim, J.T.; Ng, E.Y.-K.; Saeedipour, H.; Lee, H.K. Numerical Simulation of Effective Heat Recapture Ammonia Pyrolysis System for Hydrogen Energy. Inventions 2024, 9, 56. [Google Scholar] [CrossRef]
- Hu, G.; Qin, Q.; Jin, W.; Li, J. Large Eddy Simulation of the Influences of the Pilot-Stage Structure on the Flow Characteristics in a Centrally Staged High-Temperature-Rise Combustor. Aerospace 2022, 9, 782. [Google Scholar] [CrossRef]
- Liu, Y.-Y.; Li, R.-M.; He-Xia, L.; Mao-Lin, Y. Effects of Fuelling Scheme on the Performance of a Trapped Vortex Combustor Rig. In Proceedings of the 45th AIAA/ASME/SAE/ASEE Joint Propulsion Conference & Exhibit, Denver, CO, USA, 2–5 August 2009. [Google Scholar]
- Carusotto, S.; Goel, P.; Baratta, M.; Misul, D.A.; Salvadori, S.; Cardile, F.; Forno, L.; Toppino, M.; Valsania, M. Combustion Characterization in a Diffusive Gas Turbine Burner for Hydrogen-Compliant Applications. Energies 2022, 15, 4117. [Google Scholar] [CrossRef]
- Farisco, F.; Castellanos, L.; Woisetschläger, J.; Sanz, W. Numerical steady and transient evaluation of a confined swirl stabilized burner. Int. J. Turbomach. Propuls. Power 2021, 6, 46. [Google Scholar] [CrossRef]
- Chemical-Kinetic Mechanisms for Combustion Applications. San Diego Mechanism Web Page, Mechanical and Aerospace Engineering (Combustion Research), University of California at San Diego. 2024, Volume 5. Available online: http://combustion.ucsd.edu (accessed on 25 January 2024).
- Celik, I.B.; Li, J. Assessment of numerical uncertainty for the calculations of turbulent tow over a backward-facing step. Int. J. Numer. Meth. Fluids 2005, 49, 1015–1031. [Google Scholar] [CrossRef]
- Sundararaj, R.H.; Kumar, R.D.; Raut, A.K.; Sekar, T.C.; Pandey, V.; Kushari, A.; Puri, S.K. Combustion and emission characteristics from biojet fuel blends in a gas turbine combustor. Energy 2019, 182, 689–705. [Google Scholar] [CrossRef]
- Gerdroodbary, M.B.; Fallah, K.; Pourmirzaagha, H. Characteristics of transverse hydrogen jet in presence of multi air jets within scramjet combustor. Acta Astronaut. 2017, 132, 25–32. [Google Scholar] [CrossRef]
























| Parameters | Values (mm) |
|---|---|
| Combustor Length, L | 150 |
| Forebody Diameter, df | 70 |
| Combustor Diameter, dc | 80 |
| Afterbody Diameter, daft | 50.8 |
| Spindle Diameter, ds | 9 |
| Cavity Length, Lca | 41.3 |
| Fuel Injection Diameter, dfuel | 1.75 |
| Cavity Injection Diameter, dca | 2.29 |
| Distance of Inner Cavity Air Injection, Lair1 | 11 |
| Distance of Outer Cavity Air Injection, Lair2 | 19 |
| Distance of Fuel Injection, Lt | 14 |
| Thickness of Afterbody, taft | 18 |
| Thickness of Forebody, tf | 5 |
| Case | Main Air Velocity (m/s) | Fuel Velocity (m/s) | Injection Air Velocity (m/s) | Transverse Air Injection Angle | Lateral Air Injection Angle | Operating Condition Temperature (K) | Fuel Type |
|---|---|---|---|---|---|---|---|
| Case 1 | 42 | 22 | 10 | 0 | 0 | 375 | Propane |
| Case 2 | 42 | 22 | 10 | 15 | 0 | 375 | Propane |
| Case 3 | 42 | 22 | 10 | 30 | 0 | 375 | Propane |
| Case 4 | 42 | 22 | 10 | 45 | 0 | 375 | Propane |
| Case 5 | 42 | 22 | 10 | 0 | 0 | 500 | Propane |
| Case 6 | 42 | 22 | 10 | 15 | 0 | 500 | Propane |
| Case 7 | 42 | 22 | 10 | 30 | 0 | 500 | Propane |
| Case 8 | 42 | 22 | 10 | 45 | 0 | 500 | Propane |
| Case 9 | 42 | 22 | 10 | 0 | 0 | 375 | Hydrogen |
| Case 10 | 42 | 22 | 10 | 15 | 0 | 375 | Hydrogen |
| Case 11 | 42 | 22 | 10 | 30 | 0 | 375 | Hydrogen |
| Case 12 | 42 | 22 | 10 | 45 | 0 | 375 | Hydrogen |
| Case 13 | 42 | 22 | 10 | 0 | 0 | 375 | Ammonia |
| Case 14 | 42 | 22 | 10 | 15 | 0 | 375 | Ammonia |
| Case 15 | 42 | 22 | 10 | 30 | 0 | 375 | Ammonia |
| Case 16 | 42 | 22 | 10 | 45 | 0 | 375 | Ammonia |
| Abbreviation | Dimension |
|---|---|
| Mesh Number 1 | 2,970,000 |
| Mesh Number 2 | 3,500,000 |
| Mesh Number 3 | 4,690,000 |
| Mesh Number 4 | 6,950,000 |
Disclaimer/Publisher’s Note: The statements, opinions and data contained in all publications are solely those of the individual author(s) and contributor(s) and not of MDPI and/or the editor(s). MDPI and/or the editor(s) disclaim responsibility for any injury to people or property resulting from any ideas, methods, instructions or products referred to in the content. |
© 2024 by the authors. Licensee MDPI, Basel, Switzerland. This article is an open access article distributed under the terms and conditions of the Creative Commons Attribution (CC BY) license (https://creativecommons.org/licenses/by/4.0/).
Share and Cite
Uluk, H.S.; Dakka, S.M.; Singh, K. Mixing Enhancement Study in Axisymmetric Trapped-Vortex Combustor for Propane, Ammonia and Hydrogen. Modelling 2024, 5, 600-624. https://doi.org/10.3390/modelling5020032
Uluk HS, Dakka SM, Singh K. Mixing Enhancement Study in Axisymmetric Trapped-Vortex Combustor for Propane, Ammonia and Hydrogen. Modelling. 2024; 5(2):600-624. https://doi.org/10.3390/modelling5020032
Chicago/Turabian StyleUluk, Heval Serhat, Sam M. Dakka, and Kuldeep Singh. 2024. "Mixing Enhancement Study in Axisymmetric Trapped-Vortex Combustor for Propane, Ammonia and Hydrogen" Modelling 5, no. 2: 600-624. https://doi.org/10.3390/modelling5020032
APA StyleUluk, H. S., Dakka, S. M., & Singh, K. (2024). Mixing Enhancement Study in Axisymmetric Trapped-Vortex Combustor for Propane, Ammonia and Hydrogen. Modelling, 5(2), 600-624. https://doi.org/10.3390/modelling5020032

