Abstract
The energy generated from renewable sources has an intermittent nature since solar irradiation and wind speed vary continuously. Hence, their energy should be stored to be utilized throughout their shortage. There are various forms of energy storage systems while the most widespread technique is the battery storage system since its cost is low compared to other techniques. Therefore, batteries are employed in several applications like power systems, electric vehicles, and smart grids. Due to the merits of the lithium-ion (Li-ion) battery, it is preferred over other kinds of batteries. However, the accuracy of the Li-ion battery model is essential for estimating the state of charge (SOC). Additionally, it is essential for consistent simulation and operation throughout various loading and charging conditions. Consequently, the determination of real battery model parameters is vital. An innovative application of the red-billed blue magpie optimizer (RBMO) for determining the model parameters and the SOC of the Li-ion battery is presented in this article. The Shepherd model parameters are determined using the suggested optimization algorithm. The RBMO-based modeling approach offers excellent execution in determining the parameters of the battery model. The suggested approach is compared to other programmed algorithms, namely dandelion optimizer, spider wasp optimizer, barnacles mating optimizer, and interior search algorithm. Moreover, the suggested RBMO is statistically evaluated using Kruskal–Wallis, ANOVA tables, Friedman rank, and Wilcoxon rank tests. Additionally, the Li-ion battery model estimated via the RBMO is validated under variable loading conditions. The fetched results revealed that the suggested approach achieved the least errors between the measured and estimated voltages compared to other approaches in two studied cases with values of 1.4951 × 10−4 and 2.66176 × 10−4.
1. Introduction
The widespread utilization of fossil fuels pollutes the environment and causes a rise in the atmospheric temperature around the world, necessitating the expansion of the advancement of numerous alternate energy sources. Renewable energies (REs) like solar and wind energies have lately gotten much interest as alternate solutions. The availability of RE sources (RESs) is intermittent and unpredictable, hence RESs have faced a conflict between time of abundance and time of use. These variable characteristics establish substantial issues for the power networks like power quality and instability concerns. Therefore, to continuously guarantee the presence of electrical energy, REs have to be stored [1,2]. There are a variety of energy storage systems (ESSs) which include chemical, electrical, electrochemical, magnetic, thermal, biological, and mechanical ESSs. The choice of appropriate ESS relies greatly on the energy source, the energy needed for particular utilization, funding, and the infrastructure feasibility [3]. The storage of the electrical energy produced through RESs in the electrochemical energy form via rechargeable batteries is mostly executed [4]. In RE utilizations, the battery cycle should have high stability, and its discharge rate density should be high. The lithium-ion (Li-ion) batteries have several advantages such as large energy density, excellent efficiency, and extended lifetime so they are progressively employed for numerous energy storage utilizations such as power systems, microgrids, and electric vehicles (EVs) [5,6,7,8,9]. However, the Li-ion batteries need to be maintained continuously as the most delicate and pricey element [10]. The electrochemical properties of the battery may deteriorate due to irreversible electrolyte dynamics [11]. Additionally, numerous operating situations may quicken their deterioration including overcharging, intense discharge, and interior electrical short-circuit [12]. Several schemes of energy and battery management involve the battery model in their control rules. However, battery deterioration certainly results in parametric variants [13]. Hence, determination of the battery parameters is needed for the sake of a precise model. Furthermore, the determination of the battery model enables the evaluation of the state of charge (SOC) which points out the deterioration ratio [14,15]. The SOC is used in conjunction with other variables, namely the current, voltage, ambient temperature, and thermal properties to estimate the battery temperature which is vital to guarantee the safety of ESSs. Alternatively, battery temperature can be measured physically or estimated using ultrasonic reflection waves [16]. The SOC directly restricts and affects the EV routing choices that guarantee the chosen route is not only the speediest or shortest but also feasible given the current battery SOC [17]. Advanced routing approaches consider the SOC as the restriction and optimization coefficient [18]. However, the direct measurement of the battery equivalent circuit cannot be performed. The model-based approach is the only way to determine the battery equivalent circuit. Numerous models of Li-ion battery have been constructed and explained, such as data-based models which employ the measurements and look-up tables [19], equivalent circuit models [20] including the RC and Thevenin model, and electrical distribution models including current density distribution models [21]. Electrochemical models involve chemical properties such as the pseudo-two-dimensional model [22] and the Shepherd model which is simpler and precisely depicts the non-linearities of the battery [23]. Several approaches were utilized for determining the Li-ion battery model parameters: switched optimizers, iterative least squares and their uncoupled kinds [24,25,26], and least-square deviation as well as absolute deviation techniques [27]. The latter is aimed at the minimization of deviations between estimated and real battery voltages. Other approaches including sliding mode and confidence zone optimization were also employed to determine the Li-ion battery model parameters [28,29]. Numerous kinds of Kalman filter such as extended (EKF), unscented (UKF), and dual filters (DKF), were also widely employed for determining the parameters and the SOC of the Li-ion battery [30,31,32]. The parameters, SOC, and state-of-health of the Li-ion battery were determined using machine learning (ML) [33,34,35,36] and data-driven approaches [37,38,39]. Despite these approaches yielding actual and good findings, they required enormous datasets, a large memory size, and complex processes. Numerous optimization techniques were employed for determining the Li-ion battery model parameters such as particle swarm optimizer (PSO) [40], genetic algorithm (GA) [41], artificial ecosystem optimizer (AEO) [42], modified white shark optimizer (WSO) [43], bald eagle algorithm (BEA) [44], modified BEA [45], and gazelle optimizer [46]. These optimizers were employed to minimize the deviations between estimated and real battery voltages for extracting the optimal parameters of the Li-ion battery model. Metaheuristic algorithms generally have various merits such as independence on initial conditions, accuracy, and reaching global optimal solutions, and bypassing local optima. Accordingly, they can solve various non-linear optimization problems. The limitations of the published approaches employed in estimating the battery model parameters are listed in Table 1.
Table 1.
Limitations of some published approaches employed in estimating battery parameters.
However, in accordance with the no-free-lunch theorem, there is no optimizer that can solve all problems with equal effectiveness. This encourages the utilization of new optimizers to improve execution and processes. Hence, the authors suggest employing the red-billed blue magpie optimizer (RBMO) for the determination of the Shepherd model parameters of the Li-ion battery.
The RBMO was designed in 2024 [47] inspired by the hunting behavior of the red-billed blue magpie (RBM). This algorithm was effectively utilized for other non-linear optimization problems, namely thermal-electrical arrangement [48], planning trajectory and tracing control of vehicles [49,50], and modeling fuel cells [51].
The contributions of this article are listed below:
- The RBMO is suggested for the first time for determining the parameters of the Li-ion battery.
- The results attained via the RBMO are compared with those attained via other algorithms.
- The model and the SOC of the Li-ion battery estimated via the RBMO are validated under variable loading conditions.
2. Model of Li-Ion Battery
In this article, the Shepherd model described in [52] is employed for the Li-ion battery. This model is chosen since it requires only a few data points from the manufacturer’s datasheet and the battery discharge curve. The chosen model easily reflects macro-level properties for both the current and voltage indicating an essential level of simulation. Figure 1 illustrates the Shepherd model equivalent circuit which includes an internal resistance and regulated voltage source which is determined in both charging and discharging modes.
Figure 1.
Model of the Li-ion battery.
The battery terminal voltage () can be stated as follows [53]:
where is the open circuit voltage and the coefficient of polarization is denoted by . The term represents the battery size, refers to the removed actual charge, is the battery current, and denotes the internal resistance of the battery. The terms and are the amplitude and inverse time constant of the exponential zone, respectively.
The modified Shepherd model presented in [52] uses the polarization voltage term and resistance effect for the discharge model as
where the filtered current is denoted by .
The battery voltage during charging mode is computed as follows:
Also, the battery SOC can be formulated as
where is the initial value of the battery SOC. The Li-ion battery discharge characteristics are displayed in Figure 2. The term Vfull represents the battery voltage at rated capacity, while Vnom and Vexp are the normal voltage and the voltage at the end of the exponential zone, respectively.
Figure 2.
Li-ion battery discharge characteristics.
There are certain missing data points on the manufacturer’s datasheet; they can be identified using metaheuristic techniques with the help of experiential data. In this article, the process of parameter estimation is formulated as an optimization problem aimed at minimizing the error between the experimental and simulated battery voltages as follows:
where is the objective function, symbolizes the quantity of datasets, , and are the simulated and experimental terminal voltages at instant . In the formulated problem, seven design variables to be determined are [, , , , , , τ]. These parameters should be defined inside the problem search space as follows:
where and are the maximum and minimum boundaries of the search space, respectively.
3. RBMO
The RBMO is an optimizer that replicates the intelligence of the RBM swarm. The RBMO was published in 2024 [47]. The RBMO has been proven to be very successful when employed in various applications such as thermal-electrical arrangement [48], planning trajectory and the tracing control of vehicles [49,50], and modeling fuel cells [51]. The RBMO draws motivation from the chasing performance of the RBMs involving target seeking, attack, and food retention. The primary habitats of the RBM are forests in China, India, and Southeast Asia. The RBM feeds on fruits, insects, and small vertebrates. Through wandering in small sets, the RBMs discover food more effortlessly and cooperate to increase productivity. Additionally, the RBMs store food to be eaten later and obtain nourishment from the trees and the land.
Several critical parts of the RBMO algorithm are expanded by drawing on the natural behavior of RBMs. These birds are recognized for their cooperative foraging behavior, vocal communication, and social intelligence. They usually forage in tiny, coordinated groups that rely on leader-following, alert calls, and food-sharing behaviors. These processes promoted a balance between exploration and exploitation in RBMO, in which agents communicate information about food sources (solutions) and alter their motions as needed. Biologically based concepts like information sharing, emulating the magpies’ use of visual and vocal cues to communicate resource-rich areas, adaptive movement patterns based on their abrupt directional changes and non-linear flight paths, and memory and learning abilities reflected in the RBMO through fitness-based probability weighting and adaptive memory components are all incorporated into the approach.
The mathematical model of the RBMO contains the stages of exploration and exploitation.
3.1. Initialization
The RBMO produces a random initial solution as follows:
where and are the lower and upper limits of solution , is a random number between 0 and 1, is the quantity of the population, and is the problem dimension.
3.2. Seeking Food
The RBMs naturally seek in small sets of 2−5 birds or large sets of 10 and above birds for improving search efficacy. Seeking agent locations are updated using Equations (8) and (9) for small and large sets, respectively.
where is the current iteration, symbolizes the jth new seeking agent location, and are random numbers between 0 and 1, symbolizes the quantity of small sets of RMBs randomly chosen from the population, symbolizes the pth randomly chosen bird, symbolizes the jth bird, symbolizes the seeking agent randomly chosen in the current iteration, and symbolizes the quantity of large sets of RMBs randomly chosen from the population.
3.3. Attacking Prey
The RMBs show great skill and collaboration throughout attacking prey. Small prey is targeted by a small set as modeled mathematically in Equation (10), while big prey is targeted by a large set as presented in Equation (11).
where symbolizes the food position, , is the maximum number of iterations, and and are random numbers employed for generating standard normal distribution (standard deviation 1, mean 0).
3.4. Storing Food
The RMBs store extra food for consumption later as follows:
where and symbolize the values of the objective function before and after the update of the ith RBM position, respectively. The RBMO has an excellent search scheme and fully robust execution. All details of the RBMO and comparison of its characteristic properties with other meta-heuristic optimization algorithms, accompanied by its pseudo-code can be found in [47]. The flowchart of the RBMO is revealed in Figure 3.
Figure 3.
The flowchart of the RBMO.
4. Results and Analysis
The suggested RBMO is validated through analyzing two Li-ion batteries with the aid of experimental terminal voltage data; the first one has nominal voltage and a rated capacity of 220 V and 120 Ah, respectively, whereas the second battery has 280 V and 1500 Ah. Table 2 displays the real data of the batteries under consideration. The suggested RBMO effectiveness in estimating accurate parameters for the battery model is evaluated by comparing it to other ways such as AEO [42], modified WSO [43], dandelion optimizer (DO), spider wasp optimizer (SWO), barnacles mating optimizer (BMO), and interior search algorithm (ISA). All approaches considered are executed with a population size of 25 and 150 iterations, while 10 independent runs are implemented.
Table 2.
Real data of batteries under study.
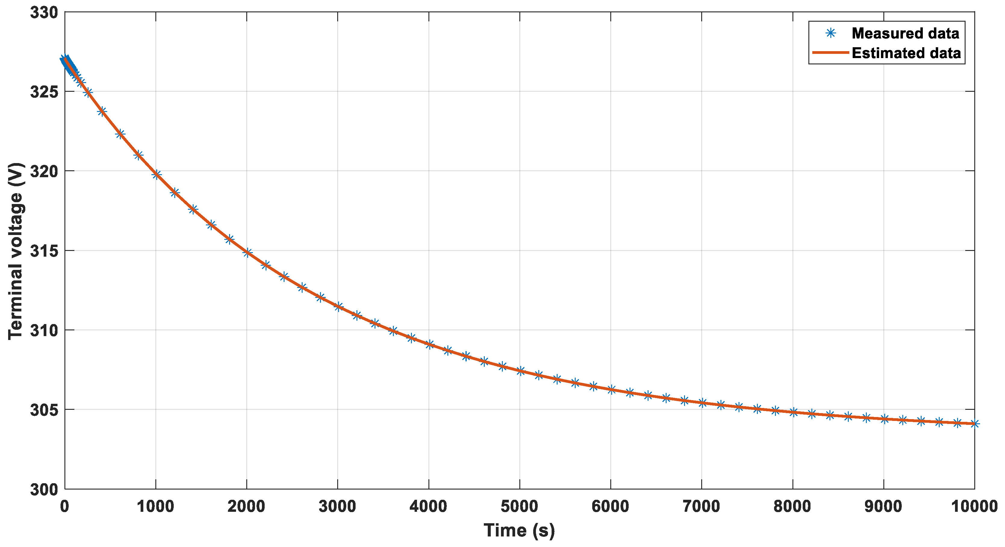
The optimal parameters obtained via the suggested approach and the others for the first considered battery are given in Table 3. Moreover, the best, worst, average, standard deviation (SD), and elapsed time per trial are recorded. The best fetched objective value is 1.4951 × 10−4 through the suggested RBMO, the ISA came second achieving 1.5092 × 10−4, while the SWO had the worst fitness value of 1.6620 × 10−3. The proposed strategy outperformed the others in terms of fitness value. Also, regarding SD value, the proposed RBMO is the best among the other comparable approaches as it achieved the least value of 6.5684 × 10−7. Also, the elapsed time per trial is recorded; the proposed strategy consumed 6434 s per trial, it is not the fastest among the considered approaches as the SWO consumed the least time of 113 s. This is not a disadvantage of the RBMO given the offline nature of battery parameter estimation. Figure 4 displays the convergence curves of the RBMO and other comparable methods when solving the first considered battery. The curves confirm the preferred technique, which settled in the lowest fitness value after the shortest number of iterations. The measured voltage and that of the established model through the suggested approach are shown in Figure 5. It is obvious that the estimated data strongly converge with the experimental data validating the competency of the suggested approach in predicting the right parameters of the first battery model.
Table 3.
Optimal parameters of the first considered battery obtained through the RBMO and the others.
Figure 4.
Convergence curves of the RBMO and others when solving battery 1.
Figure 5.
The measured and estimated curves fitted via the suggested RBMO when solving battery 1.
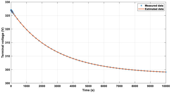
In order to confirm the validity of the suggested approach, a second battery of 1500 Ah capacity is analyzed. The RBMO is implemented in comparison to others; the obtained results are tabulated in Table 4. The suggested RBMO succeeded in achieving the least fitness value of 2.66176 × 10−4, ISA came second with a value of 2.76219 × 10−4, while the SWO came last with a fitness value of 3.29567 × 10−3. Also, the proposed strategy outperformed all in terms of SD with the least value of 6.04758 × 10−6. Figure 6 depicts the convergence curves of the RBMO and other comparable approaches, the curves show that the RBMO outperforms the others in determining the optimum parameters in the shortest number of iterations. Also, Figure 7 shows the experimental terminal voltage and that predicted using the suggested method demonstrating their high degree of convergence.
Table 4.
Optimal parameters of the second considered battery obtained through the RBMO and the others.
Figure 6.
Convergence curves of the RBMO and the others when solving battery 2.
Figure 7.
The measured and estimated curves fitted via the suggested RBMO when solving battery 2.
The obtained findings confirmed the robustness and competency of the suggested approach for creating the battery model by calculating its optimal parameters. The suggested RBMO is statistically tested using Kruskal–Wallis, ANOVA table, Friedman rank, and Wilcoxon rank tests. They were carried out on the first battery under consideration. Each optimizer executed ten runs and the run with the best fitness value was chosen as the best solution. Table 5 shows the statistical test findings for the RBMO and the others. The Kruskal–Wallis test yielded a p-value of 1.1664 × 10−8 indicating that not all data follow the same distribution. The proposed RBMO came first with a p-value of 1.6 according to the Friedman rank test while SWO was ranked last with a value of 9.4. Furthermore, the p-value obtained using the ANOVA table test is 1.9130 × 10−20 indicating that there is a significant difference between column means. The final test is the Wilcoxon rank test in which both p-value and h-value are calculated and displayed in Table 4. The Wilcoxon test confirmed that all methods rejected the same null median. This confirms the preference of RBMO performance among the others. Figure 8 shows a boxplot of fitness function based on the ANOVA table. The penguins created by the suggested RBMO had the smallest paddles when compared to the others. This signifies that the suggested strategy rejects the null hypothesis.
Table 5.
Statistical test findings for the RBMO and other comparable methods.
Figure 8.
Box graph based on ANOVA.
It is critical to examine the performance of the created battery model using the suggested RBMO under the disturbed load. To do so, the varied pattern of the battery current shown in Figure 9 is used. The battery terminal voltage and SOC are monitored and compared using experimental data extracted via the real parameters given in Table 2. After using the present pattern shown in Figure 9, the estimated curves are generated using the fetched parameters obtained through the provided approach. Figure 10 depicts the measured and estimated responses of the first considered battery to both terminal voltage and SOC. Both data for voltage and SOC are tightly converged confirming the ability of the built model to deal with load disturbance. Moreover, the derived curves of the second considered battery are shown in Figure 11 demonstrating that the estimated data closely converge to the experimental one. The proposed RBMO is effective in creating a robust battery model capable of responding to abrupt fluctuations in demand.
Figure 9.
Variable pattern of the battery current.

Figure 10.
The time response of (a) terminal voltage, (b) the SOC under the variable current pattern applied on battery 1.
Figure 11.
The time response of (a) terminal voltage, (b) the SOC under the variable current pattern applied on battery 2.
The obtained findings demonstrate the advantages of the suggested RBMO in developing a trustworthy model of various Li-ion batteries.
5. Conclusions
This article proposes a new methodology incorporating the RBMO to determine the optimal Li-ion battery model parameters. The Shepherd model has been used since it provides a practical physics-informed procedure to relate electrical performance with implicit electrochemical processes. This improves the comprehension of battery dynamics, enables precise SOC estimation, and upholds the increased efficiency of battery management systems, finally enhancing battery implementation, safety, and lifetime in practical applications. The model parameters have been determined with the aid of experimental terminal voltages while the error between them and those estimated from the established model is minimized. Two different batteries have been analyzed while the suggested RBMO has been compared to other programmed methods of BEO, modified WSO, DO, SWO, BMO, and ISA. Moreover, the proposed RBMO has been statistically assessed by the Kruskal–Wallis, ANOVA table, Friedman rank, and Wilcoxon rank tests.
The main findings of the article are stated as follows:
- The best fetched values of the fitness function, 1.4951 × 10−4 and 2.66176 × 10−4, have been obtained through the suggested RBMO for the two considered batteries, respectively.
- The RBMO has achieved the best SD values of 6.5684 × 10−4 and 6.04758 × 10−4 for the two batteries considered, respectively.
- Statistical tests have yielded the superiority of the suggested approach compared to the comparable methods.
- The performance examination of the RBMO for modeling and estimating the SOC of the Li-ion battery under the disturbed load has confirmed the ability of the built model to handle load disturbance.
The resilience and competency of the RBMO have been confirmed by the obtained findings, so it can be suggested as an efficient way for modeling the Li-ion battery. The suggested future work includes validation under dynamic conditions using hardware deployment test framework, considering the impact of temperature change and dynamic loading, and the correlation analysis between the current SOC estimation and model parameter error.
Author Contributions
Conceptualization, A.F. and A.M.A.; methodology, A.F. and A.M.A.; software, A.F. and A.M.A.; validation, A.F. and A.M.A.; formal analysis, A.F. and A.M.A.; investigation, A.F. and A.M.A.; resources, A.F. and A.M.A.; data curation, A.F. and A.M.A.; writing—original draft preparation, A.F. and A.M.A.; writing—review and editing, A.F. and A.M.A.; visualization, A.F. and A.M.A.; supervision, A.F.; project administration, A.F. and A.M.A.; funding acquisition, A.M.A. All authors have read and agreed to the published version of the manuscript.
Funding
This research was funded by the Deanship of Scientific Research at Northern Border University, Arar, KSA, through the project number “NBU-FFR-2025-2968-01”.
Institutional Review Board Statement
Not applicable.
Informed Consent Statement
Not applicable.
Data Availability Statement
The data that support the findings of this study are available from the corresponding author upon reasonable request.
Acknowledgments
The authors extend their appreciation to the Deanship of Scientific Research at Northern Border University, Arar, KSA, for funding this research work through project number “NBU-FFR-2025-2968-01”.
Conflicts of Interest
The authors confirm that there are no conflicts of interest.
References
- Nasser, M.; Hassan, H. Assessment of standalone streetlighting energy storage systems based on hydrogen of hybrid PV/electrolyzer/fuel cell/ desalination and PV/batteries. J. Energy Storage 2023, 63, 106985. [Google Scholar] [CrossRef]
- Dodón, A.; Quintero, V.; Austin, M.C.; Mora, D. Bio-inspired electricity storage alternatives to support massive demand-side energy generation: A review of applications at building scale. Biomimetics 2021, 6, 51. [Google Scholar] [CrossRef]
- Calati, M.; Hooman, K.; Mancin, S. Thermal storage based on phase change materials (PCMs) for refrigerated transport and distribution applications along the cold chain: A review. Int. J. Thermofluids 2022, 16, 100224. [Google Scholar] [CrossRef]
- Khan, M.; Ding, X.; Zhao, H.; Wang, Y.; Zhang, N.; Chen, X.; Xu, J. Recent Advancements in Selenium-Based Cathode Materials for Lithium Batteries: A Mini-Review. Electrochem 2022, 3, 285–308. [Google Scholar] [CrossRef]
- Mama, M.; Solai, E.; Capurso, T.; Danlos, A.; Khelladi, S. Comprehensive review of multi-scale Lithium-ion batteries modeling: From electro-chemical dynamics up to heat transfer in battery thermal management system. Energy Convers. Manag. 2025, 325, 119223. [Google Scholar] [CrossRef]
- Zhao, Z.; Liu, B.; Wang, F.; Zheng, S.; Yu, Q.; Zhai, Z.; Chen, X. Exploration of Imbalanced Regression in state-of-health estimation of Lithium-ion batteries. J. Energy Storage 2025, 105, 114542. [Google Scholar] [CrossRef]
- Yang, X.; Li, P.; Guo, C.; Yang, W.; Zhou, N.; Huang, X.; Yang, Y. Research progress on wide-temperature-range liquid electrolytes for lithium-ion batteries. J. Power Sources 2024, 624, 235563. [Google Scholar] [CrossRef]
- Madani, S.S.; Schaltz, E.; Kær, S.K. Thermal Simulation of Phase Change Material for Cooling of a Lithium-Ion Battery Pack. Electrochem 2020, 1, 439–449. [Google Scholar] [CrossRef]
- Alipour, M.; Hassanpouryouzband, A.; Kizilel, R. Investigation of the Applicability of Helium-Based Cooling System for Li-Ion Batteries. Electrochem 2021, 2, 135–148. [Google Scholar] [CrossRef]
- Pourvali Souraki, H.; Radmehr, M.; Rezanejad, M. Distributed energy storage system-based control strategy for hybrid DC/AC microgrids in grid-connected mode. Int. J. Energy Res. 2019, 43, 6283–6295. [Google Scholar] [CrossRef]
- Zhu, J.; Dewi Darma, M.S.; Knapp, M.; Sørensen, D.R.; Heere, M.; Fang, Q.; Wang, X.; Dai, H.; Mereacre, L.; Senyshyn, A.; et al. Investigation of lithium-ion battery degradation mechanisms by combining differential voltage analysis and alternating current impedance. J. Power Sources 2020, 448, 28–30. [Google Scholar] [CrossRef]
- Samadani, E.; Mastali, M.; Farhad, S.; Fraser, R.A.; Fowler, M. Li-ion battery performance and degradation in electric vehicles under different usage scenarios. Int. J. Energy Res. 2016, 40, 379–392. [Google Scholar] [CrossRef]
- Förstl, M.; Azuatalam, D.; Chapman, A.; Verbič, G.; Jossen, A.; Hesse, H. Assessment of residential battery storage systems and operation strategies considering battery aging. Int. J. Energy Res. 2020, 44, 718–731. [Google Scholar] [CrossRef]
- He, Z.; Ni, X.; Pan, C.; Li, W.; Han, S. Power Batteries State of Health Estimation of Pure Electric Vehicles for Charging Process. J. Electrochem. Energy Convers. Storage 2023, 21, 031007. [Google Scholar] [CrossRef]
- Liu, Z.; Qiu, Y.; Feng, J.; Chen, S.; Yang, C. A Simplified Fractional Order Modeling and Parameter Identification for Lithium-Ion Batteries. J. Electrochem. Energy Convers. Storage 2021, 19, 021001. [Google Scholar] [CrossRef]
- Zhang, R.; Li, X.; Sun, C.; Yang, S.; Tian, Y.; Tian, J. State of Charge and Temperature Joint Estimation Based on Ultrasonic Reflection Waves for Lithium-Ion Battery Applications. Batteries 2023, 9, 335. [Google Scholar] [CrossRef]
- Sarmah, S.B.; Kalita, P.; Garg, A.; Niu, X.; Zhang, X.-W.; Peng, X.; Bhattacharjee, D. A Review of State of Health Estimation of Energy Storage Systems: Challenges and Possible Solutions for Futuristic Applications of Li-Ion Battery Packs in Electric Vehicles. J. Electrochem. Energy Convers. Storage 2019, 16, 040801. [Google Scholar] [CrossRef]
- Lijun, F.; Changshi, L.; Zhang, W. Half-open time-dependent multi-depot electric vehicle routing problem considering battery recharging and swapping. Int. J. Ind. Eng. Comput. 2023, 14, 129–146. [Google Scholar] [CrossRef]
- De Pascali, L.; Biral, F.; Onori, S. Aging-Aware Optimal Energy Management Control for a Parallel Hybrid Vehicle Based on Electrochemical-Degradation Dynamics. IEEE Trans. Veh. Technol. 2020, 69, 10868–10878. [Google Scholar] [CrossRef]
- Hu, X.; Li, S.; Peng, H. A comparative study of equivalent circuit models for Li-ion batteries. J. Power Sources 2012, 198, 359–367. [Google Scholar] [CrossRef]
- Kim, U.S.; Yi, J.; Shin, C.B.; Han, T.; Park, S. Modeling the Thermal Behaviors of a Lithium-Ion Battery during Constant-Power Discharge and Charge Operations. J. Electrochem. Soc. 2013, 160, A990. [Google Scholar] [CrossRef]
- Zou, C.; Manzie, C.; Nešić, D. A Framework for Simplification of PDE-Based Lithium-Ion Battery Models. IEEE Trans. Control Syst. Technol. 2016, 24, 1594–1609. [Google Scholar] [CrossRef]
- Wang, Q.; Kang, J.; Tan, Z.; Luo, M. An online method to simultaneously identify the parameters and estimate states for lithium ion batteries. Electrochim. Acta 2018, 289, 376–388. [Google Scholar] [CrossRef]
- Kim, J.; Chun, H.; Kim, H.; Lee, M.; Han, S. Strategically switching metaheuristics for effective parameter estimation of electrochemical lithium-ion battery models. J. Energy Storage 2023, 64, 107094. [Google Scholar] [CrossRef]
- Lochrie, G.; Yoon, Y. Anti-Windup Co-Estimation of Open Circuit Voltage and Equivalent Circuit Model Parameters for Lithium-Ion Battery Diagnostics. IFAC-PapersOnLine 2023, 56, 11179–11184. [Google Scholar] [CrossRef]
- Zhang, C.; Allafi, W.; Dinh, Q.; Ascencio, P.; Marco, J. Online estimation of battery equivalent circuit model parameters and state of charge using decoupled least squares technique. Energy 2018, 142, 678–688. [Google Scholar] [CrossRef]
- Lai, Q.; Ahn, H.J.; Kim, Y.J.; Kim, Y.N.; Lin, X. New data optimization framework for parameter estimation under uncertainties with application to lithium-ion battery. Appl. Energy 2021, 295, 117034. [Google Scholar] [CrossRef]
- Fornaro, P.; Puleston, P.; Battaiotto, P. On-line parameter estimation of a Lithium-Ion battery/supercapacitor storage system using filtering sliding mode differentiators. J. Energy Storage 2020, 32, 101889. [Google Scholar] [CrossRef]
- Saleem, K.; Mehran, K.; Ali, Z. Online reduced complexity parameter estimation technique for equivalent circuit model of lithium-ion battery. Electr. Power Syst. Res. 2020, 185, 106356. [Google Scholar] [CrossRef]
- Shi, S.; Zhang, M.; Lu, M.; Wu, C.; Cai, X. State of Charge Estimation for Lithium-Ion Batteries Based on Extended Kalman Particle Filter and Orthogonal Optimized Battery Model. Adv. Theory Simul. 2024, 7, 2301022. [Google Scholar] [CrossRef]
- Wu, J.; Xu, H.; Zhu, P. State-of-Charge and State-of-Health Joint Estimation of Lithium-Ion Battery Based on Iterative Unscented Kalman Particle Filtering Algorithm With Fused Rauch–Tung–Striebel Smoothing Structure. J. Electrochem. Energy Convers. Storage 2023, 20, 041008. [Google Scholar] [CrossRef]
- Guo, F.; Hu, G.; Xiang, S.; Zhou, P.; Hong, R.; Xiong, N. A multi-scale parameter adaptive method for state of charge and parameter estimation of lithium-ion batteries using dual Kalman filters. Energy 2019, 178, 79–88. [Google Scholar] [CrossRef]
- Liu, Z.; Huang, Z.; Tang, L.; Wang, H. Lithium-Ion Battery Capacity Prediction Method Based on Improved Extreme Learning Machine. J. Electrochem. Energy Convers. Storage 2024, 22, 011002. [Google Scholar] [CrossRef]
- Han, Y.; Yuan, H.; Shao, Y.; Li, J.; Huang, X. Capacity Consistency Prediction and Process Parameter Optimization of Lithium-Ion Battery based on Neural Network and Particle Swarm Optimization Algorithm. Adv. Theory Simul. 2023, 6, 2300125. [Google Scholar] [CrossRef]
- Ma, S.; Sun, B.; Chen, X.; Zhang, X.; Zhang, X.; Zhang, W.; Ruan, H.; Zhao, X. Machine learning and feature engineering-based anode potential estimation method for lithium-ion batteries with application. J. Energy Storage 2024, 103, 114387. [Google Scholar] [CrossRef]
- Nicodemo, N.; Di Rienzo, R.; Lagnoni, M.; Bertei, A.; Baronti, F. Estimation of lithium-ion battery electrochemical properties from equivalent circuit model parameters using machine learning. J. Energy Storage 2024, 99, 113257. [Google Scholar] [CrossRef]
- Xu, Z.; Chen, Z.; Yang, L.; Zhang, S. State of health estimation for lithium-ion batteries based on incremental capacity analysis and Transformer modeling. Appl. Soft Comput. 2024, 165, 112072. [Google Scholar] [CrossRef]
- Hossain Lipu, M.S.; Rahman, M.S.A.; Mansor, M.; Rahman, T.; Ansari, S.; Fuad, A.M.; Hannan, M.A. Data driven health and life prognosis management of supercapacitor and lithium-ion battery storage systems: Developments, implementation aspects, limitations, and future directions. J. Energy Storage 2024, 98, 113172. [Google Scholar] [CrossRef]
- Sun, C.; Gao, M.; Xu, F.; Zhu, C.; Cai, H. Data-Driven State-of-Charge Estimation of a Lithium-Ion Battery Pack in Electric Vehicles Based on Real-World Driving Data. J. Energy Storage 2024, 101, 113986. [Google Scholar] [CrossRef]
- Wang, Z.; Feng, G.; Liu, X.; Gu, F.; Ball, A. A novel method of parameter identification and state of charge estimation for lithium-ion battery energy storage system. J. Energy Storage 2022, 49, 104124. [Google Scholar] [CrossRef]
- Shu, X.; Li, G.; Shen, J.; Lei, Z.; Chen, Z.; Liu, Y. A uniform estimation framework for state of health of lithium-ion batteries considering feature extraction and parameters optimization. Energy 2020, 204, 117957. [Google Scholar] [CrossRef]
- Ferahtia, S.; Djeroui, A.; Rezk, H.; Chouder, A.; Houari, A.; Machmoum, M. Optimal parameter identification strategy applied to lithium-ion battery model. Int. J. Energy Res. 2021, 45, 16741–16753. [Google Scholar] [CrossRef]
- Fathy, A.; Yousri, D.; Alharbi, A.G.; Abdelkareem, M.A. A New Hybrid White Shark and Whale Optimization Approach for Estimating the Li-Ion Battery Model Parameters. Sustainability 2023, 15, 5667. [Google Scholar] [CrossRef]
- Fathy, A.; Ferahtia, S.; Rezk, H.; Yousri, D.; Abdelkareem, M.A.; Olabi, A.G. Robust parameter estimation approach of Lithium-ion batteries employing bald eagle search algorithm. Int. J. Energy Res. 2022, 46, 10564–10575. [Google Scholar] [CrossRef]
- Ferahtia, S.; Rezk, H.; Djerioui, A.; Houari, A.; Motahhir, S.; Zeghlache, S. Modified bald eagle search algorithm for lithium-ion battery model parameters extraction. ISA Trans. 2023, 134, 357–379. [Google Scholar] [CrossRef]
- Hasanien, H.M.; Alsaleh, I.; Tostado-Véliz, M.; Alassaf, A.; Alateeq, A.; Jurado, F. Optimal parameters estimation of lithium-ion battery in smart grid applications based on gazelle optimization algorithm. Energy 2023, 285, 129509. [Google Scholar] [CrossRef]
- Fu, S.; Li, K.; Huang, H.; Ma, C.; Fan, Q.; Zhu, Y. Red-billed blue magpie optimizer: A novel metaheuristic algorithm for 2D/3D UAV path planning and engineering design problems. Artif. Intell. Rev. 2024, 57, 134. [Google Scholar] [CrossRef]
- Kong, W.; Zhou, M.; Hu, F.; Zhu, Z. Manuscript Title:Thermal-Electrical scheduling of Low-Carbon Industrial energy systems with rooftop PV: An improved Red-Billed blue magpie optimization approach. Therm. Sci. Eng. Prog. 2025, 61, 103599. [Google Scholar] [CrossRef]
- Sharma, A. Improved Red-Billed Blue Magpie Optimizer for Unmanned Aerial Vehicle Path Planning. In Proceedings of the 2024 International Conference on Computational Intelligence and Network Systems (CINS), Dubai, United Arab Emirates, 28–29 November 2024; pp. 1–6. [Google Scholar] [CrossRef]
- Zhang, Z.L.; Han, C.; Shen, K.; Hao, Q.; Jiang, J.; Zhang, Z. Trajectory Tracking Control for USVs Based on Redbilled Blue Magpie Optimized ADRC. J. Phys. Conf. Ser. 2024, 2891, 112019. [Google Scholar] [CrossRef]
- El-Fergany, A.A.; Agwa, A.M. Red-Billed Blue Magpie Optimizer for Electrical Characterization of Fuel Cells with Prioritizing Estimated Parameters. Technologies 2024, 12, 156. [Google Scholar] [CrossRef]
- Tremblay, O.; Dessaint, L.A. Experimental validation of a battery dynamic model for EV applications. In Proceedings of the 24th International Battery, Hybrid and Fuel Cell Electric Vehicle Symposium & Exhibition 2009 (EVS 24), Stavanger, Norway, 13–16 May 2009; Volume 2, pp. 930–939. [Google Scholar]
- Enache, B.; Lefter, E.; Stoica, C. Comparative study for generic battery models used for electric vehicles. In Proceedings of the 2013 8th International Symposium on Advanced Topics in Electrical Engineering (ATEE), Bucharest, Romania, 23–25 May 2013; pp. 1–6. [Google Scholar] [CrossRef]
Disclaimer/Publisher’s Note: The statements, opinions and data contained in all publications are solely those of the individual author(s) and contributor(s) and not of MDPI and/or the editor(s). MDPI and/or the editor(s) disclaim responsibility for any injury to people or property resulting from any ideas, methods, instructions or products referred to in the content. |
© 2025 by the authors. Licensee MDPI, Basel, Switzerland. This article is an open access article distributed under the terms and conditions of the Creative Commons Attribution (CC BY) license (https://creativecommons.org/licenses/by/4.0/).











