The Electrocatalytic Oxygen Evolution Reaction Activity of Rationally Designed NiFe-Based Glycerates
Abstract
1. Introduction
2. Synthesis of Nickel–Iron Glycerate (NiFeG) Microspheres
3. Result and Discussion
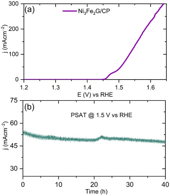
4. Electrocatalytic OER Results and Discussions
5. Post Characterizations
6. Conclusions
Supplementary Materials
Author Contributions
Funding
Institutional Review Board Statement
Informed Consent Statement
Data Availability Statement
Acknowledgments
Conflicts of Interest
References
- Jamesh, M.-I.; Sun, X. Recent Progress on Earth Abundant Electrocatalysts for Oxygen Evolution Reaction (OER) in Alkaline Medium to Achieve Efficient Water Splitting—A Review. J. Power Sources 2018, 400, 31–68. [Google Scholar] [CrossRef]
- Zhao, J.; Zhang, J.; Li, Z.; Bu, X. Recent Progress on NiFe-Based Electrocatalysts for the Oxygen Evolution Reaction. Small 2020, 16, 2003916. [Google Scholar] [CrossRef] [PubMed]
- He, Y.; Kang, Z.; Li, J.; Li, Y.; Tian, X. Recent Progress of Manganese Dioxide Based Electrocatalysts for the Oxygen Evolution Reaction. Ind. Chem. Mater. 2023, 1, 312–331. [Google Scholar] [CrossRef]
- Ying, J.; Chen, J.-B.; Xiao, Y.-X.; Cordoba De Torresi, S.I.; Ozoemena, K.I.; Yang, X.-Y. Recent Advances in Ru-Based Electrocatalysts for Oxygen Evolution Reaction. J. Mater. Chem. A 2023, 11, 1634–1650. [Google Scholar] [CrossRef]
- Shan, J.; Guo, C.; Zhu, Y.; Chen, S.; Song, L.; Jaroniec, M.; Zheng, Y.; Qiao, S.-Z. Charge-Redistribution-Enhanced Nanocrystalline Ru@IrOx Electrocatalysts for Oxygen Evolution in Acidic Media. Chem 2019, 5, 445–459. [Google Scholar] [CrossRef]
- Binninger, T.; Doublet, M.-L. The Ir–OOOO–Ir Transition State and the Mechanism of the Oxygen Evolution Reaction on IrO2(110). Energy Environ. Sci. 2022, 15, 2519–2528. [Google Scholar] [CrossRef] [PubMed]
- Wang, C.; Jin, L.; Shang, H.; Xu, H.; Shiraishi, Y.; Du, Y. Advances in Engineering RuO2 Electrocatalysts towards Oxygen Evolution Reaction. Chin. Chem. Lett. 2021, 32, 2108–2116. [Google Scholar] [CrossRef]
- Yu, J.; He, Q.; Yang, G.; Zhou, W.; Shao, Z.; Ni, M. Recent Advances and Prospective in Ruthenium-Based Materials for Electrochemical Water Splitting. ACS Catal. 2019, 9, 9973–10011. [Google Scholar] [CrossRef]
- Trotochaud, L.; Ranney, J.K.; Williams, K.N.; Boettcher, S.W. Solution-Cast Metal Oxide Thin Film Electrocatalysts for Oxygen Evolution. J. Am. Chem. Soc. 2012, 134, 17253–17261. [Google Scholar] [CrossRef]
- Lu, X.; Xue, H.; Gong, H.; Bai, M.; Tang, D.; Ma, R.; Sasaki, T. 2D Layered Double Hydroxide Nanosheets and Their Derivatives Toward Efficient Oxygen Evolution Reaction. Nano-Micro Lett. 2020, 12, 86. [Google Scholar] [CrossRef]
- Lim, C.S.; Chua, C.K.; Sofer, Z.; Klímová, K.; Boothroyd, C.; Pumera, M. Layered Transition Metal Oxyhydroxides as Tri-Functional Electrocatalysts. J. Mater. Chem. A 2015, 3, 11920–11929. [Google Scholar] [CrossRef]
- Ao, K.; Wei, Q.; Daoud, W.A. MOF-Derived Sulfide-Based Electrocatalyst and Scaffold for Boosted Hydrogen Production. ACS Appl. Mater. Interfaces 2020, 12, 33595–33602. [Google Scholar] [CrossRef]
- Liu, Y.; Guo, Y.; Liu, Y.; Wei, Z.; Wang, K.; Shi, Z. A Mini Review on Transition Metal Chalcogenides for Electrocatalytic Water Splitting: Bridging Material Design and Practical Application. Energy Fuels 2023, 37, 2608–2630. [Google Scholar] [CrossRef]
- Kawashima, K.; Márquez, R.A.; Smith, L.A.; Vaidyula, R.R.; Carrasco-Jaim, O.A.; Wang, Z.; Son, Y.J.; Cao, C.L.; Mullins, C.B. A Review of Transition Metal Boride, Carbide, Pnictide, and Chalcogenide Water Oxidation Electrocatalysts. Chem. Rev. 2023, 123, 12795–13208. [Google Scholar] [CrossRef]
- Zhang, J.; Liu, J.; Xi, L.; Yu, Y.; Chen, N.; Sun, S.; Wang, W.; Lange, K.M.; Zhang, B. Single-Atom Au/NiFe Layered Double Hydroxide Electrocatalyst: Probing the Origin of Activity for Oxygen Evolution Reaction. J. Am. Chem. Soc. 2018, 140, 3876–3879. [Google Scholar] [CrossRef]
- Guo, Y.; Zhang, C.; Zhang, J.; Dastafkan, K.; Wang, K.; Zhao, C.; Shi, Z. Metal–Organic Framework-Derived Bimetallic NiFe Selenide Electrocatalysts with Multiple Phases for Efficient Oxygen Evolution Reaction. ACS Sustain. Chem. Eng. 2021, 9, 2047–2056. [Google Scholar] [CrossRef]
- Sakamaki, A.; Yoshida-Hirahara, M.; Ogihara, H.; Kurokawa, H. One-Step Synthesis of Highly Active NiFe Electrocatalysts for the Oxygen Evolution Reaction. Langmuir 2022, 38, 5525–5531. [Google Scholar] [CrossRef]
- Park, K.R.; Jeon, J.; Choi, H.; Lee, J.; Lim, D.-H.; Oh, N.; Han, H.; Ahn, C.; Kim, B.; Mhin, S. NiFe Layered Double Hydroxide Electrocatalysts for an Efficient Oxygen Evolution Reaction. ACS Appl. Energy Mater. 2022, 5, 8592–8600. [Google Scholar] [CrossRef]
- Han, Q.; Luo, Y.; Li, J.; Du, X.; Sun, S.; Wang, Y.; Liu, G.; Chen, Z. Efficient NiFe-Based Oxygen Evolution Electrocatalysts and Origin of Their Distinct Activity. Appl. Catal. B Environ. 2022, 304, 120937. [Google Scholar] [CrossRef]
- Larcher, D.; Sudant, G.; Patrice, R.; Tarascon, J.-M. Some Insights on the Use of Polyols-Based Metal Alkoxides Powders as Precursors for Tailored Metal-Oxides Particles. Chem. Mater. 2003, 15, 3543–3551. [Google Scholar] [CrossRef]
- Nguyen, T.X.; Su, Y.; Lin, C.; Ruan, J.; Ting, J. A New High Entropy Glycerate for High Performance Oxygen Evolution Reaction. Adv. Sci. 2021, 8, 2002446. [Google Scholar] [CrossRef] [PubMed]
- Septiani, N.L.W.; Kaneti, Y.V.; Fathoni, K.B.; Guo, Y.; Ide, Y.; Yuliarto, B.; Jiang, X.; Nugraha; Dipojono, H.K.; Golberg, D.; et al. Tailorable Nanoarchitecturing of Bimetallic Nickel–Cobalt Hydrogen Phosphate via the Self-Weaving of Nanotubes for Efficient Oxygen Evolution. J. Mater. Chem. A 2020, 8, 3035–3047. [Google Scholar] [CrossRef]
- Wang, M.; Jiang, J.; Ai, L. Layered Bimetallic Iron–Nickel Alkoxide Microspheres as High-Performance Electrocatalysts for Oxygen Evolution Reaction in Alkaline Media. ACS Sustain. Chem. Eng. 2018, 6, 6117–6125. [Google Scholar] [CrossRef]
- Dong, Z.; Zhang, W.; Xiao, Y.; Wang, Y.; Luan, C.; Qin, C.; Dong, Y.; Li, M.; Dai, X.; Zhang, X. One-Pot-Synthesized CoFe-Glycerate Hollow Spheres with Rich Oxyhydroxides for Efficient Oxygen Evolution Reaction. ACS Sustain. Chem. Eng. 2020, 8, 5464–5477. [Google Scholar] [CrossRef]
- Anantharaj, S.; Kundu, S.; Noda, S. “The Fe Effect”: A Review Unveiling the Critical Roles of Fe in Enhancing OER Activity of Ni and Co Based Catalysts. Nano Energy 2021, 80, 105514. [Google Scholar] [CrossRef]
- Hobbs, C.; Jaskaniec, S.; McCarthy, E.K.; Downing, C.; Opelt, K.; Güth, K.; Shmeliov, A.; Mourad, M.C.D.; Mandel, K.; Nicolosi, V. Structural Transformation of Layered Double Hydroxides: An In Situ TEM Analysis. NPJ 2D Mater. Appl. 2018, 2, 4. [Google Scholar] [CrossRef]
- Kaneti, Y.V.; Salunkhe, R.R.; Wulan Septiani, N.L.; Young, C.; Jiang, X.; He, Y.-B.; Kang, Y.-M.; Sugahara, Y.; Yamauchi, Y. General Template-Free Strategy for Fabricating Mesoporous Two-Dimensiional Mixed Oxide Nanosheets via Self-Deconstruction/Reconstruction of Monodispersed Metal Glycerate Nanospheres. J. Mater. Chem. A 2018, 6, 5971–5983. [Google Scholar] [CrossRef]
- Mao, C.; Shi, Z.; Peng, J.; Ou, L.; Chen, Y.; Huang, J. Hierarchically Porous Carbonized Wood Decorated with MoNi4-Embedded MoO2 Nanosheets: An Efficient Electrocatalyst for Water Splitting. Adv. Funct. Mater. 2023, 2308337. [Google Scholar] [CrossRef]
- Liu, G.; Sun, Z.; Shi, X.; Wang, X.; Shao, L.; Liang, Y.; Lu, X.; Liu, J.; Guo, Z. 2D-Layer-Structure Bi to Quasi-1D-Structure NiBi3: Structural Dimensionality Reduction to Superior Sodium and Potassium Ion Storage. Adv. Mater. 2023, 35, 2305551. [Google Scholar] [CrossRef]
- Li, L.; Ma, P.; Hussain, S.; Jia, L.; Lin, D.; Yin, X.; Lin, Y.; Cheng, Z.; Wang, L. FeS2/Carbon Hybrids on Carbon Cloth: A Highly Efficient and Stable Counter Electrode for Dye-Sensitized Solar Cells. Sustain. Energy Fuels 2019, 3, 1749–1756. [Google Scholar] [CrossRef]
- He, J.; Zou, Y.; Huang, Y.; Li, C.; Liu, Y.; Zhou, L.; Dong, C.-L.; Lu, X.; Wang, S. Interlayer Ligand Engineering of β-Ni(OH)2 for Oxygen Evolution Reaction. Sci. China Chem. 2020, 63, 1684–1693. [Google Scholar] [CrossRef]
- Putra, R.P.; Rachman, I.B.; Horino, H.; Rzeznicka, I.I. γ-NiOOH Electrocatalyst Derived from a Nickel Dithiooxamide Chelate Polymer for Oxygen Evolution Reaction in Alkaline Solutions. Catal. Today 2022, 397–399, 308–315. [Google Scholar] [CrossRef]
- Ferreira, E.B.; Tahmasebi, S.; Jerkiewicz, G. On the Catalytic Activity and Corrosion Behavior of Polycrystalline Nickel in Alkaline Media in the Presence of Neutral and Reactive Gases. Electrocatalysis 2021, 12, 146–164. [Google Scholar] [CrossRef]
- Wilhelm, M.; Bastos, A.; Neves, C.; Martins, R.; Tedim, J. Ni-Fe Layered Double Hydroxides for Oxygen Evolution Reaction: Impact of Ni/Fe Ratio and Crystallinity. Mater. Des. 2021, 212, 110188. [Google Scholar] [CrossRef]
- Faid, A.Y.; Barnett, A.O.; Seland, F.; Sunde, S. Ni/NiO Nanosheets for Alkaline Hydrogen Evolution Reaction: In Situ Electrochemical-Raman Study. Electrochim. Acta 2020, 361, 137040. [Google Scholar] [CrossRef]
- Nieuwoudt, M.K.; Comins, J.D.; Cukrowski, I. The Growth of the Passive Film on Iron in 0.05 M NaOH Studied In Situ by Raman Micro-Spectroscopy and Electrochemical Polarisation. Part I: Near-Resonance Enhancement of the Raman Spectra of Iron Oxide and Oxyhydroxide Compounds: Near Resonance Enhancement of Raman Spectra of Iron Oxides and Oxyhydroxides. J. Raman Spectrosc. 2011, 42, 1335–1339. [Google Scholar] [CrossRef]
- Yan, P.; Liu, Q.; Zhang, H.; Qiu, L.; Wu, H.B.; Yu, X.-Y. Deeply Reconstructed Hierarchical and Defective NiOOH/FeOOH Nanoboxes with Accelerated Kinetics for the Oxygen Evolution Reaction. J. Mater. Chem. A 2021, 9, 15586–15594. [Google Scholar] [CrossRef]
- Wu, B.; Gong, S.; Lin, Y.; Li, T.; Chen, A.; Zhao, M.; Zhang, Q.; Chen, L. A Unique NiOOH@FeOOH Heteroarchitecture for Enhanced Oxygen Evolution in Saline Water. Adv. Mater. 2022, 34, 2108619. [Google Scholar] [CrossRef]









Disclaimer/Publisher’s Note: The statements, opinions and data contained in all publications are solely those of the individual author(s) and contributor(s) and not of MDPI and/or the editor(s). MDPI and/or the editor(s) disclaim responsibility for any injury to people or property resulting from any ideas, methods, instructions or products referred to in the content. |
© 2024 by the authors. Licensee MDPI, Basel, Switzerland. This article is an open access article distributed under the terms and conditions of the Creative Commons Attribution (CC BY) license (https://creativecommons.org/licenses/by/4.0/).
Share and Cite
Singh, V.K.; Malik, B.; Konar, R.; Avraham, E.S.; Nessim, G.D. The Electrocatalytic Oxygen Evolution Reaction Activity of Rationally Designed NiFe-Based Glycerates. Electrochem 2024, 5, 70-83. https://doi.org/10.3390/electrochem5010005
Singh VK, Malik B, Konar R, Avraham ES, Nessim GD. The Electrocatalytic Oxygen Evolution Reaction Activity of Rationally Designed NiFe-Based Glycerates. Electrochem. 2024; 5(1):70-83. https://doi.org/10.3390/electrochem5010005
Chicago/Turabian StyleSingh, Vivek Kumar, Bibhudatta Malik, Rajashree Konar, Efrat Shawat Avraham, and Gilbert Daniel Nessim. 2024. "The Electrocatalytic Oxygen Evolution Reaction Activity of Rationally Designed NiFe-Based Glycerates" Electrochem 5, no. 1: 70-83. https://doi.org/10.3390/electrochem5010005
APA StyleSingh, V. K., Malik, B., Konar, R., Avraham, E. S., & Nessim, G. D. (2024). The Electrocatalytic Oxygen Evolution Reaction Activity of Rationally Designed NiFe-Based Glycerates. Electrochem, 5(1), 70-83. https://doi.org/10.3390/electrochem5010005

