Alkaloid Extract of Ageratina adenophora Stem as Green Inhibitor for Mild Steel Corrosion in One Molar Sulfuric Acid Solution
Abstract
1. Introduction
2. Materials and Methods
2.1. Chemicals and Instruments
2.2. Plant Collection and Alkaloid Extraction
2.3. Qualitative Tests for As-Prepared Alkaloid
2.4. Preparation of MS Specimen, Corrosive Media, and Inhibitor Solution
2.5. Weight Loss Measurement
2.6. Electrochemical Measurements
3. Results
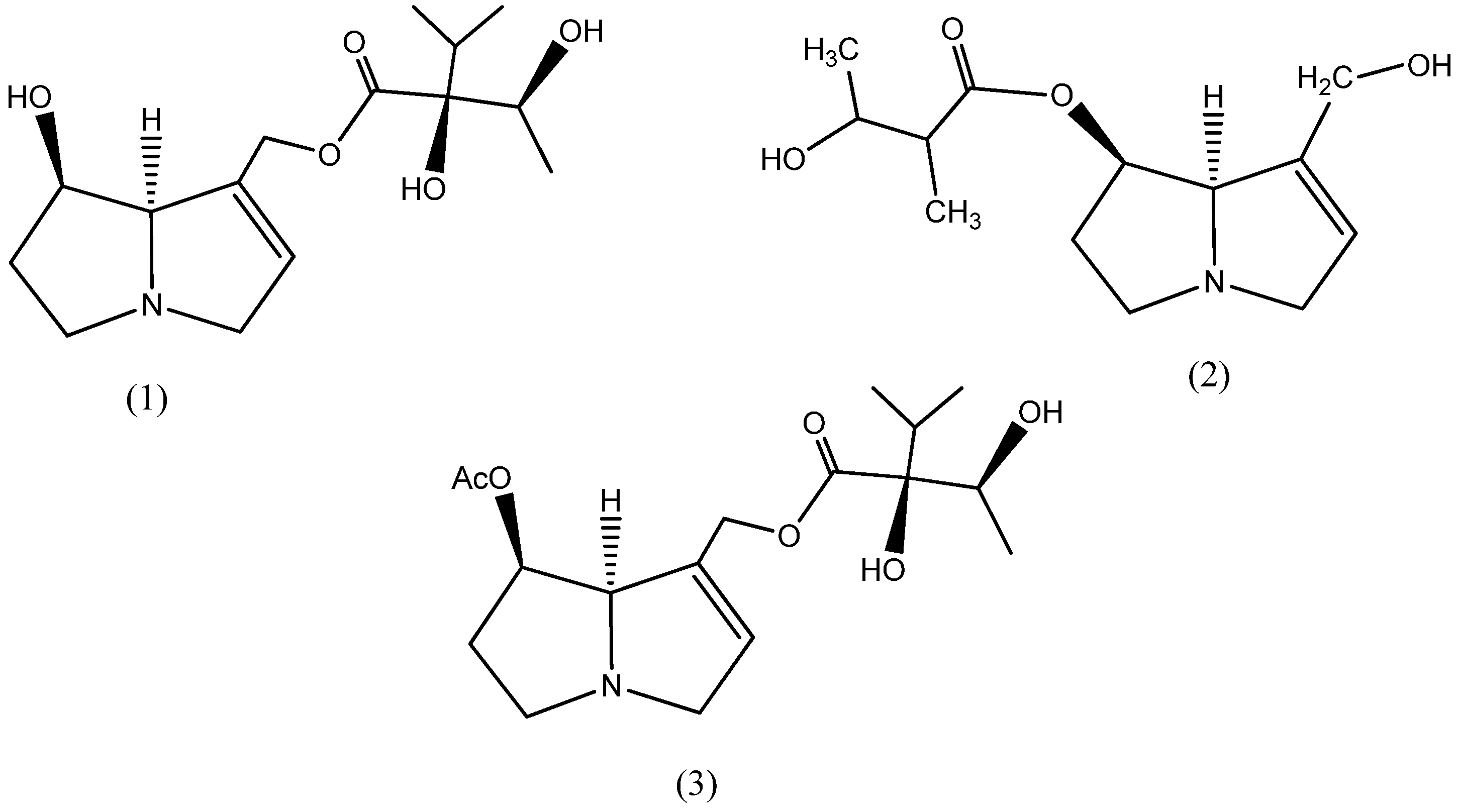
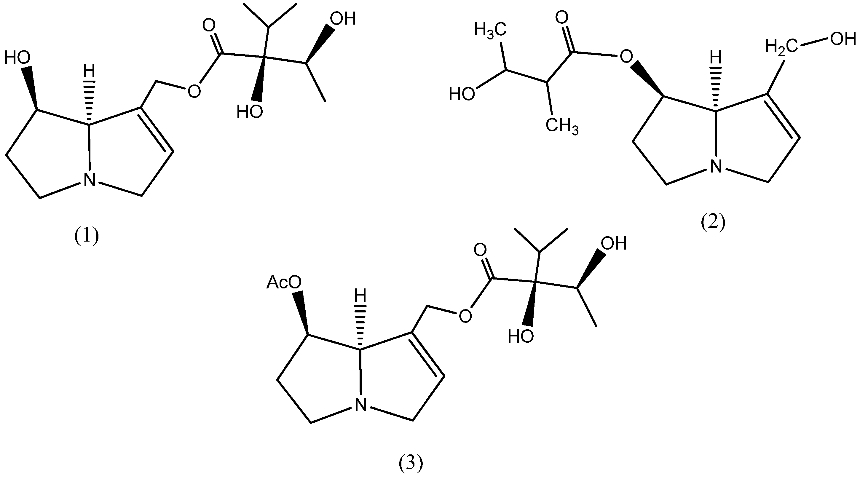
3.1. Alkaloid Characterization
3.2. Weight Loss Measurements
3.2.1. Effect of Inhibitor Concentration and Immersion Time
3.2.2. Effect of Temperature
3.2.3. Adsorption Isotherm
3.2.4. Corrosion Kinetics
3.2.5. Thermodynamics of Corrosion
3.3. Electrochemical Measurements
3.3.1. Potentiodynamic Polarization Tests (PDP)
3.3.2. Electrochemical Impedance Spectroscopy (EIS)
4. Discussion and Inhibition Mechanism
5. Conclusions
Author Contributions
Funding
Institutional Review Board Statement
Informed Consent Statement
Data Availability Statement
Acknowledgments
Conflicts of Interest
References
- Roberge, P.R. Corrosion Engineering: Principles and Practice; McGraw-Hill: New York, NY, USA, 2008; ISBN 978-0-07-148243-1. [Google Scholar]
- Hou, B.; Li, X.; Ma, X.; Du, C.; Zhang, D.; Zheng, M.; Xu, W.; Lu, D.; Ma, F. The Cost of Corrosion in China. Npj Mater. Degrad. 2017, 1, 4. [Google Scholar] [CrossRef]
- Koch, G. Cost of Corrosion. In Trends in Oil and Gas Corrosion Research and Technologies; Elsevier: Amsterdam, The Netherlands, 2017; pp. 3–30. ISBN 978-0-08-101105-8. [Google Scholar]
- Karki, N. Development of Green Corrosion Inhibitor for Mild Steel Corrosion in Acidic Medium. Ph.D. Thesis, Tribhuvan University, Kathmandu, Nepal, 2020. [Google Scholar]
- Petrovic, Z. Catastrophes Caused by Corrosion. Vojn. Glas. 2016, 64, 1048–1064. [Google Scholar] [CrossRef]
- King, M.J.; Davenport, W.G.; Moats, M.S. Sulfuric Acid Manufacture: Analysis, Control, and Optimization, 2nd ed.; Elsevier: Amsterdam, The Netherlands, 2013; ISBN 978-0-08-098226-7. [Google Scholar]
- Thapa, O.; Thapa Magar, J.; Oli, H.B.; Rajaure, A.; Nepali, D.; Bhattarai, D.P.; Mukhiya, T. Alkaloids of Solanum Xanthocarpum Stem as Green Inhibitor for Mild Steel Corrosion in One Molar Sulphuric Acid Solution. Electrochem 2022, 3, 54. [Google Scholar] [CrossRef]
- Groysman, A. Corrosion for Everybody; Springer: Berlin/Heidelberg, Germany, 2010; ISBN 978-90-481-3477-9. [Google Scholar]
- Hryniewicz, T.; Rokosz, K.; Rokicki, R. Electrochemical and XPS Studies of AISI 316L Stainless Steel after Electropolishing in a Magnetic Field. Corros. Sci. 2008, 50, 2676–2681. [Google Scholar] [CrossRef]
- Voevodin, N.N.; Balbyshev, V.N.; Khobaib, M.; Donley, M.S. Nanostructured Coatings Approach for Corrosion Protection. Prog. Org. Coat. 2003, 47, 416–423. [Google Scholar] [CrossRef]
- Breston, J.N. Corrosion Control with Organic Inhibitors. Ind. Eng. Chem. 1952, 44, 1755–1761. [Google Scholar] [CrossRef]
- Sastri, V.S. Green Corrosion Inhibitors: Theory and Practice; Wiley Series in Corrosion; Wiley: Hoboken, NJ, USA, 2011; ISBN 978-0-470-45210-3. [Google Scholar]
- Fdil, R.; Tourabi, M.; Derhali, S.; Mouzdahir, A.; Sraidi, K.; Jama, C.; Zarrouk, A.; Bentiss, F. Evaluation of Alkaloids Extract of Retama monosperma (L.) Boiss. Stems as a Green Corrosion Inhibitor for Carbon Steel in Pickling Acidic Medium by Means of Gravimetric, AC Impedance and Surface Studies. J. Mater. Environ. Sci. 2018, 9, 358–369. [Google Scholar] [CrossRef]
- Idouhli, R.; Oukhrib, A.; Khadiri, M.; Zakir, O.; Aityoub, A.; Abouelfida, A.; Benharref, A.; Benyaich, A. Understanding the Corrosion Inhibition Effectiveness Using Senecio anteuphorbium L. Fraction for Steel in Acidic Media. J. Mol. Struct. 2021, 1228, 129478. [Google Scholar] [CrossRef]
- Ngouné, B.; Pengou, M.; Nouteza, A.M.; Nanseu-Njiki, C.P.; Ngameni, E. Performances of Alkaloid Extract from Rauvolfia Macrophylla Stapf toward Corrosion Inhibition of C38 Steel in Acidic Media. ACS Omega 2019, 4, 9081–9091. [Google Scholar] [CrossRef]
- Palaniappan, N.; Cole, I.; Caballero-Briones, F.; Manickam, S.; Justin Thomas, K.R.; Santos, D. Experimental and DFT Studies on the Ultrasonic Energy-Assisted Extraction of the Phytochemicals of Catharanthus roseus as Green Corrosion Inhibitors for Mild Steel in NaCl Medium. RSC Adv. 2020, 10, 5399–5411. [Google Scholar] [CrossRef]
- Karki, R.; Bajgai, A.K.; Khadka, N.; Thapa, O.; Mukhiya, T.; Oli, H.B.; Bhattarai, D.P. Acacia Catechu Bark Alkaloids as Novel Green Inhibitors for Mild Steel Corrosion in a One Molar Sulphuric Acid Solution. Electrochem 2022, 3, 44. [Google Scholar] [CrossRef]
- Babbar, N. An Introduction to Alkaloids and Their Applications in Pharmaceutical Chemistry. Pharm. Innov. J. 2015, 4, 74–75. [Google Scholar]
- Faiz, M.; Zahari, A.; Awang, K.; Hussin, H. Corrosion Inhibition on Mild Steel in 1 M HCl Solution by Cryptocarya Nigra Extracts and Three of Its Constituents (Alkaloids). RSC Adv. 2020, 10, 6547–6562. [Google Scholar] [CrossRef]
- Hanini, K.; Benahmed, M.; Boudiba, S.; Selatnia, I.; Akkal, S.; Laouer, H. Experimental and Theoretical Studies of Taxus Baccata Alkaloid Extract as Eco-Friendly Anticorrosion for Carbon Steel in Acidic Solution. Prot. Met. Phys. Chem. Surf. 2021, 57, 222–233. [Google Scholar] [CrossRef]
- Ngouné, B.; Pengou, M.; Nanseu-Njiki, C.P.; Ngameni, E. A Comparative Study Using Solution Analysis, Electrochemistry and Mass Change for the Inhibition of Carbon Steel by the Plant Alkaloid Voacangine. Corros. Eng. Sci. Technol. 2020, 55, 138–144. [Google Scholar] [CrossRef]
- Shao, H.; Yin, X.; Zhang, K.; Yang, W.; Chen, Y.; Liu, Y. N-[2-(3-Indolyl)Ethyl]-Cinnamamide Synthesized from Cinnamomum Cassia Presl and Alkaloid Tryptamine as Green Corrosion Inhibitor for Q235 Steel in Acidic Medium. J. Mater. Res. Technol. 2022, 20, 916–933. [Google Scholar] [CrossRef]
- Oli, H.B.; Thapa Magar, J.; Khadka, N.; Subedee, A.; Bhattarai, D.P.; Pant, B. Coriaria Nepalensis Stem Alkaloid as a Green Inhibitor for Mild Steel Corrosion in 1 M H2SO4 Solution. Electrochem 2022, 3, 47. [Google Scholar] [CrossRef]
- Djellali, S.; Ferkous, H.; Sahraoui, R.; Meharga, S. Efficiency of Alkaloids Crude Extract of Cinnamomum Zeylanicum as Corrosion Inhibitor of Mild Steel in Sulfuric Acid Solution. In Recent Advances in Environmental Science from the Euro-Mediterranean and Surrounding Regions, 2nd ed.; Ksibi, M., Ghorbal, A., Chakraborty, S., Chaminé, H.I., Barbieri, M., Guerriero, G., Hentati, O., Negm, A., Lehmann, A., Römbke, J., et al., Eds.; Environmental Science and Engineering; Springer International Publishing: Cham, Switzerland, 2021; pp. 1379–1384. ISBN 978-3-030-51209-5. [Google Scholar]
- Chapagain, A.; Acharya, D.; Das, A.K.; Chhetri, K.; Oli, H.B.; Yadav, A.P. Alkaloid of Rhynchostylis Retusa as Green Inhibitor for Mild Steel Corrosion in 1 M H2SO4 Solution. Electrochem 2022, 3, 13. [Google Scholar] [CrossRef]
- Wan, F.; Liu, W.; Guo, J.; Qiang, S.; Li, B.; Wang, J.; Yang, G.; Niu, H.; Gui, F.; Huang, W.; et al. Invasive Mechanism and Control Strategy of Ageratina Adenophora (Sprengel). Sci. China Life Sci. 2010, 53, 1291–1298. [Google Scholar] [CrossRef]
- Zhao, M.; Lu, X.; Zhao, H.; Yang, Y.; Hale, L.; Gao, Q.; Liu, W.; Guo, J.; Li, Q.; Zhou, J.; et al. Ageratina Adenophora Invasions Are Associated with Microbially Mediated Differences in Biogeochemical Cycles. Sci. Total Environ. 2019, 677, 47–56. [Google Scholar] [CrossRef]
- Thapa, A.; Pokharel, A.; Karki, H.; Yadav, R.K.; Paudel, N.; Bharati, S.; Shrestha, T.; Maharjan, B.; Karanjit, S.; Shrestha, R.L. Phytochemical Analysis, Cytotoxicity, Antibacterial and Antioxidant Activities of Extracts of Leaf of Ageratina Adenophora (Spreng.). Amrit Res. J. 2022, 3, 84–93. [Google Scholar] [CrossRef]
- Zhou, Z.-Y.; Liu, W.-X.; Pei, G.; Ren, H.; Wang, J.; Xu, Q.-L.; Xie, H.-H.; Wan, F.-H.; Tan, J.-W. Phenolics from Ageratina adenophora Roots and Their Phytotoxic Effects on Arabidopsis thaliana Seed Germination and Seedling Growth. J. Agric. Food Chem. 2013, 61, 11792–11799. [Google Scholar] [CrossRef] [PubMed]
- Poudel, A.S.; Jha, P.K.; Shrestha, B.B.; Muniappan, R. Biology and Management of the Invasive Weed Ageratina adenophora (Asteraceae): Current State of Knowledge and Future Research Needs. Weed Res. 2019, 59, 79–92. [Google Scholar] [CrossRef]
- Giri, S.; Sahu, R.; Paul, P.; Nandi, G.; Dua, T.K. An Updated Review on Eupatorium Adenophorum Spreng. [Ageratina Adenophora (Spreng.)]: Traditional Uses, Phytochemistry, Pharmacological Activities and Toxicity. Pharmacol. Res. Mod. Chin. Med. 2022, 2, 100068. [Google Scholar] [CrossRef]
- Devkota, A.; Das, R.K. Phytochemical Screening and In-Vitro Evaluation of Antimicrobial Activity of Invasive Species Ageratina Adenophora Collected from Kathmandu Valley, Nepal. Sci. World 2022, 15, 120–126. [Google Scholar] [CrossRef]
- Rosuman, P.F.; Lirio, L.G. Alkaloids as Taxonomic Marker of Four Selected Species of Eupatorium Weeds. SPU Res. J. Glob. Educ. 2016, 1, 114–117. [Google Scholar]
- Verma, C.; Verma, D.K.; Ebenso, E.E.; Quraishi, M.A. Sulfur and Phosphorus Heteroatom-Containing Compounds as Corrosion Inhibitors: An Overview. Heteroat. Chem. 2018, 29, e21437. [Google Scholar] [CrossRef]
- Setzer, W. The Phytochemistry of Cherokee Aromatic Medicinal Plants. Medicines 2018, 5, 121. [Google Scholar] [CrossRef]
- Becerra, J.J. Phytochemical and Analytical Studies of Feed and Medicinal Plants in Relation to the Presence of Toxic Pyrrolizidine Alkaloids; Universitäts-und Landesbibliothek Bonn: Bonn, Germany, 2013. [Google Scholar]
- Li, D.; Zhang, P.; Guo, X.; Zhao, X.; Xu, Y. The Inhibition of Mild Steel Corrosion in 0.5 MH 2 SO 4 Solution by Radish Leaf Extract. RSC Adv. 2019, 9, 40997–41009. [Google Scholar] [CrossRef]
- Du, H.; Hao, K.; Wang, Q.; Huang, X.; Wu, J.; Li, H.; Huang, C.; Xu, L.; Yin, L.; Lin, J. Studies on Crystal Structures, Optical, Dyeing and Biological Properties of Protoberberine Alkaloids and Their Supramolecular Salts. Bioorganic Chem. 2023, 130, 106256. [Google Scholar] [CrossRef]
- Kokilaramani, S.; Rajasekar, A.; AlSalhi, M.S.; Devanesan, S. Characterization of Methanolic Extract of Seaweeds as Environmentally Benign Corrosion Inhibitors for Mild Steel Corrosion in Sodium Chloride Environment. J. Mol. Liq. 2021, 340, 117011. [Google Scholar] [CrossRef]
- Silverstein, R.M.; Webster, F.X. Spectrometric Identification of Organic Compounds, 6th ed.; Wiley: New Delhi, India, 2005; ISBN 978-81-265-0972-0. [Google Scholar]
- Sharma, Y.R. Elementary Organic Spectroscopy; S. Chand Publishing: New Delhi, India, 2007; ISBN 81-219-2884-2. [Google Scholar]
- Yu, G.; Ma, C.; Li, J. Flame Retardant Effect of Cytosine Pyrophosphate and Pentaerythritol on Polypropylene. Compos. Part B Eng. 2020, 180, 107520. [Google Scholar] [CrossRef]
- Oli, H.B.; Parajuli, D.L.; Sharma, S.; Chapagain, A.; Yadav, A.P. Adsorption Isotherm and Activation Energy of Inhibition of Alkaloids on Mild Steel Surface in Acidic Medium. Amrit Res. J. 2021, 2, 59–67. [Google Scholar] [CrossRef]
- Wang, J.; Guo, X. Adsorption Isotherm Models: Classification, Physical Meaning, Application and Solving Method. Chemosphere 2020, 258, 127279. [Google Scholar] [CrossRef]
- Ituen, E.; Akaranta, O.; James, A. Evaluation of Performance of Corrosion Inhibitors Using Adsorption Isotherm Models: An Overview. Chem. Sci. Int. J. 2017, 18, 1–34. [Google Scholar] [CrossRef]
- Andoor, P.A.; Okeoma, K.B.; Mbamara, U.S. Adsorption and Thermodynamic Studies of the Corrosion Inhibition Effect of Rosmarinus Officinalis L. Leaves on Aluminium Alloy in 0.25 M HCl and Effect of an External Magnetic Field. Int. J. Phys. Sci. 2021, 16, 79–95. [Google Scholar]
- Karki, N.; Choudhary, Y.; Yadav, A.P. Thermodynamic, Adsorption and Corrosion Inhibition Studies of Mild Steel by Artemisia Vulgaris Extract from Methanol as Green Corrosion Inhibitor in Acid Medium. J. Nepal Chem. Soc. 2018, 39, 76–85. [Google Scholar] [CrossRef]
- Tan, B.; Zhang, S.; He, J.; Li, W.; Qiang, Y.; Wang, Q.; Xu, C.; Chen, S. Insight into Anti-Corrosion Mechanism of Tetrazole Derivatives for X80 Steel in 0.5 M H2SO4 Medium: Combined Experimental and Theoretical Researches. J. Mol. Liq. 2021, 321, 114464. [Google Scholar] [CrossRef]
- Karki, N.; Neupane, S.; Gupta, D.K.; Das, A.K.; Singh, S.; Koju, G.M.; Chaudhary, Y.; Yadav, A.P. Berberine Isolated from Mahonia Nepalensis as an Eco-Friendly and Thermally Stable Corrosion Inhibitor for Mild Steel in Acid Medium. Arab. J. Chem. 2021, 14, 103423. [Google Scholar] [CrossRef]
- Elmsellem, H.; Nacer, H.; Halaimia, F.; Aouniti, A.; Lakehal, I.; Chetouani, A.; Al-Deyab, S.; Warad, I.; Touzani, R.; Hammouti, B. Anti-Corrosive Properties and Quantum Chemical Study of (E)-4-Methoxy-N-(Methoxybenzylidene) Aniline and (E)-N-(4-Methoxybenzylidene)-4-Nitroaniline Coating on Mild Steel in Molar Hydrochloric. Int. J. Electrochem. Sci. 2014, 9, 5328–5351. [Google Scholar]
- Alagta, A.; Felhösi, I.; Bertoti, I.; Kálmán, E. Corrosion Protection Properties of Hydroxamic Acid Self-Assembled Monolayer on Carbon Steel. Corros. Sci. 2008, 50, 1644–1649. [Google Scholar] [CrossRef]
- Bentiss, F.; Traisnel, M.; Lagrenee, M. The Substituted 1, 3, 4-Oxadiazoles: A New Class of Corrosion Inhibitors of Mild Steel in Acidic Media. Corros. Sci. 2000, 42, 127–146. [Google Scholar] [CrossRef]
- Hegazy, M.; Abdallah, M.; Awad, M.; Rezk, M. Three Novel Di-Quaternary Ammonium Salts as Corrosion Inhibitors for API X65 Steel Pipeline in Acidic Solution. Part I: Experimental Results. Corros. Sci. 2014, 81, 54–64. [Google Scholar] [CrossRef]
- Komary, M.; Komarizadehasl, S.; Tošić, N.; Segura Pérez, I.; Lozano-Galant, J.A.; Turmo, J. Low-Cost Technologies Used in Corrosion Monitoring. Sensors 2023, 23, 1309. [Google Scholar] [CrossRef]
- Karki, N.; Neupane, S.; Chaudhary, Y.; Gupta, D.K.; Yadav, A.P. Berberis Aristata: A Highly Efficient and Thermally Stable Green Corrosion Inhibitor for Mild Steel in Acidic Medium. Anal. Bioanal. Electrochem. 2020, 12, 970–988. [Google Scholar]
- Erami, R.S.; Amirnasr, M.; Meghdadi, S.; Talebian, M.; Farrokhpour, H.; Raeissi, K. Carboxamide Derivatives as New Corrosion Inhibitors for Mild Steel Protection in Hydrochloric Acid Solution. Corros. Sci. 2019, 151, 190–197. [Google Scholar] [CrossRef]
- Qiang, Y.; Zhang, S.; Tan, B.; Chen, S. Evaluation of Ginkgo Leaf Extract as an Eco-Friendly Corrosion Inhibitor of X70 Steel in HCl Solution. Corros. Sci. 2018, 133, 6–16. [Google Scholar] [CrossRef]














| Plant/Part | Substrate | Medium | Experimental Details | Results | Ref. |
|---|---|---|---|---|---|
| Coriaria nepalensis/Stem | Mild Steel (MS) | 1M H2SO4 |
|
| [23] |
| Cinnamomum zeylanicum/Bark | MS | 1M H2SO4 |
|
| [24] |
| Taxus baccata/Aerial parts | Carbon steel | 1M HCl |
|
| [20] |
| Rhynchostylis retusa | MS | 1M H2SO4 |
|
| [25] |
| Modes | Mayer’s Test | Dragendroff’s Test | Wagner’s Test |
|---|---|---|---|
| Observation | ![]() | ![]() | ![]() |
| Precipitate | Orange | Orange-red | Reddish brown |
| Inference | Presence | Presence | Presence |
| Medium | A (g/cm2) | Ea (kJ/mol) | ΔH° (kJ/mol) | Ea–ΔH° | ΔS° (J/mol K) |
|---|---|---|---|---|---|
| Acid | 32.98 | 48.54 ± 3.90 | 45.96 ± 3.88 | 2.58 | −76.63 |
| 200 ppm | 31.24 | 107.26 ± 30.85 | 104.67 ± 30.88 | 2.59 | 104.69 |
| 400 ppm | 29.21 | 114.14 ± 29.95 | 111.56 ± 29.98 | 2.58 | 123.55 |
| 600 ppm | 30.36 | 113.14 ± 33.28 | 110.57 ± 33.30 | 2.57 | 118.08 |
| 800 ppm | 29.08 | 139.28 ± 33.62 | 136.70 ± 33.64 | 2.58 | 197.96 |
| Medium | OCP (V) | Current Density (μA/cm2) | Anodic Slope | Cathodic Slope | Efficiency (%) |
|---|---|---|---|---|---|
| Acid | −0.485 | 1.14 | −5.77 ± 0.05 | 7.32 ± 0.09 | – |
| 200 ppm | −0.468 | 0.31 | −6.14 ± 0.03 | 12.19 ± 0.24 | 72.81 |
| 400 ppm | −0.480 | 0.28 | −5.83 ± 0.03 | 18.11 ± 0.41 | 75.44 |
| 600 ppm | −0.472 | 0.18 | −6.67 ± 0.02 | 13.56 ± 0.37 | 84.21 |
| 800 ppm | −0.478 | 0.10 | −7.31 ± 0.04 | 20.17 ± 0.60 | 91.23 |
| Medium | Rs (Ω cm2) | CPE (μΩ Sn cm−2) | n | Rct(inh) (Ω cm2) | %IE |
|---|---|---|---|---|---|
| 200 ppm | 17.31 | 338.04 | 0.888 | 15.71 | 58.05 |
| 400 ppm | 17.42 | 197.07 | 0.892 | 21.7 | 69.63 |
| 600 ppm | 16.92 | 184.79 | 0.858 | 31.45 | 79.05 |
| 800 ppm | 17.51 | 102.4 | 0.885 | 88.25 | 92.53 |
Disclaimer/Publisher’s Note: The statements, opinions and data contained in all publications are solely those of the individual author(s) and contributor(s) and not of MDPI and/or the editor(s). MDPI and/or the editor(s) disclaim responsibility for any injury to people or property resulting from any ideas, methods, instructions or products referred to in the content. |
© 2023 by the authors. Licensee MDPI, Basel, Switzerland. This article is an open access article distributed under the terms and conditions of the Creative Commons Attribution (CC BY) license (https://creativecommons.org/licenses/by/4.0/).
Share and Cite
Thapa Magar, J.; Budhathoki, I.K.; Rajaure, A.; Oli, H.B.; Bhattarai, D.P. Alkaloid Extract of Ageratina adenophora Stem as Green Inhibitor for Mild Steel Corrosion in One Molar Sulfuric Acid Solution. Electrochem 2023, 4, 84-102. https://doi.org/10.3390/electrochem4010009
Thapa Magar J, Budhathoki IK, Rajaure A, Oli HB, Bhattarai DP. Alkaloid Extract of Ageratina adenophora Stem as Green Inhibitor for Mild Steel Corrosion in One Molar Sulfuric Acid Solution. Electrochem. 2023; 4(1):84-102. https://doi.org/10.3390/electrochem4010009
Chicago/Turabian StyleThapa Magar, Jamuna, Indra Kumari Budhathoki, Anil Rajaure, Hari Bhakta Oli, and Deval Prasad Bhattarai. 2023. "Alkaloid Extract of Ageratina adenophora Stem as Green Inhibitor for Mild Steel Corrosion in One Molar Sulfuric Acid Solution" Electrochem 4, no. 1: 84-102. https://doi.org/10.3390/electrochem4010009
APA StyleThapa Magar, J., Budhathoki, I. K., Rajaure, A., Oli, H. B., & Bhattarai, D. P. (2023). Alkaloid Extract of Ageratina adenophora Stem as Green Inhibitor for Mild Steel Corrosion in One Molar Sulfuric Acid Solution. Electrochem, 4(1), 84-102. https://doi.org/10.3390/electrochem4010009




