Hybrid Routing and Spectrum Allocation in Elastic Optical Networks by Machine Learning and Topological Metrics
Abstract
1. Introduction
- Modeling HRSA’s decision-making process using ML techniques;
- Identifying influential topological features in HRSA’s decisions;
- Quantifying feature importance using explainable AI (XAI) techniques;
- Providing a foundation for extracting simpler heuristics in future work.
2. Theoretical Basis
2.1. Machine Learning Models Used
- Attribute Selection: The tree starts with a root node that contains all the data. The algorithm selects the most informative attribute to divide the data into subgroups. The choice of attribute is usually based on measures of homogeneity, such as entropy or information gain;
- Data Splitting: Based on the selected attribute, the data is divided into subgroups, creating branches that lead to new nodes;
- Process Repetition: The process of attribute selection and splitting is recursively repeated for each subgroup until a stopping criterion is met, such as when all the data in a node belongs to the same class or when no information gain can be achieved with further splits;
- Final Nodes: The final nodes, or leaves, represent the predictive classes. Each leaf is labeled with the most common class among the data that arrived at that node.
2.2. Network Topological Metrics
3. Materials and Methods
3.1. Materials
3.2. Methodology
- Execution of the HRSA in each network. Each selected network is subject to HRSA decision which provides the policy to be used (R-SA or SA-R) for each source-destination node pairs. This step is performed in SimEON;
- Calculation of topology metrics for each network. This step is performed using the Python library NetworkX. There are initially 46 features, i.e., independent variables as listed below:
- Degree, betweenness, degree centrality, closeness centrality, eigenvector centrality, PageRank, eccentricity, and clustering coefficient for source and destination nodes. (This yields a total of 16 features, 8 for the source node and 8 for the destination node);
- Average link betweenness, average node betweenness, distance, number of hops, average node degree centrality, average node closeness centrality, average node eigenvector centrality, average node pagerank, average node eccentricity, and average node clustering coefficient. Since each of these 10 metrics is calculated over each of the K routes in the RSA, a total of features are obtained. In this paper, we have assumed .
- Construction of a dataset containing the values found in the previous steps. It contains rows. We consider 15 topologies and each contributes rows;
- Exclusion of missing network metric values when there are no possible alternative routes. This occurs, for example, when a given source-destination node pair does not have three available routes, but only two. In such cases, the corresponding row is excluded from the dataset, which resulted in rows, 1704 with the R-SA label, and 8504 with the SA-R label. If this is not carried out, the metrics associated with route k = 3 will be assigned as not a number (NaN);
- Standardization of dataset results to mean 0 and standard deviation 1. This preprocessing is done to avoid biases since ML models can be sensitive to the scales of the input variables;
- Balancing the dataset. We use the All KNN algorithm, considering four neighbors, to reduce the majority class so that bias towards it is avoided. At the end, the dataset contains 3984 rows, 1704 () with the label R-SA and 2280 () with the label SA-R;
- Selection of variables. Variance inflation factor (VIF) greater than 10 indicates high collinearity of a feature [39]. Thus, VIFs are computed, and the variable with the highest value is removed iteratively until all remaining variables present . At the end of this step, the dataset contains 23 features;
- Run ML model tunning and fitting. This step is divided into two sub-steps. The first is the hyperparameter tuning of the models, and the second is the fitting of the data by the models. We use the Python libraries and Scikit-learn [34] (for DT, RF, SVM and All KNN) and XGBoost [19] (for itself).
- 8.1
- Model tunning. A hyperparameter optimization process is conducted. 50 stratified folds are employed, and the weighted F1-score is used as the evaluation metric for selecting the best set of hyperparameters.
- 8.2
- Model fitting. The importance of the model’s features corresponds to the mean values computed over 50 folds. Each model was trained independently, and the mean of the importances over 50 folds provides a more robust estimate.
3.3. Network Simulation Parameters
3.4. Machine Learning Models Tunning and Fitting
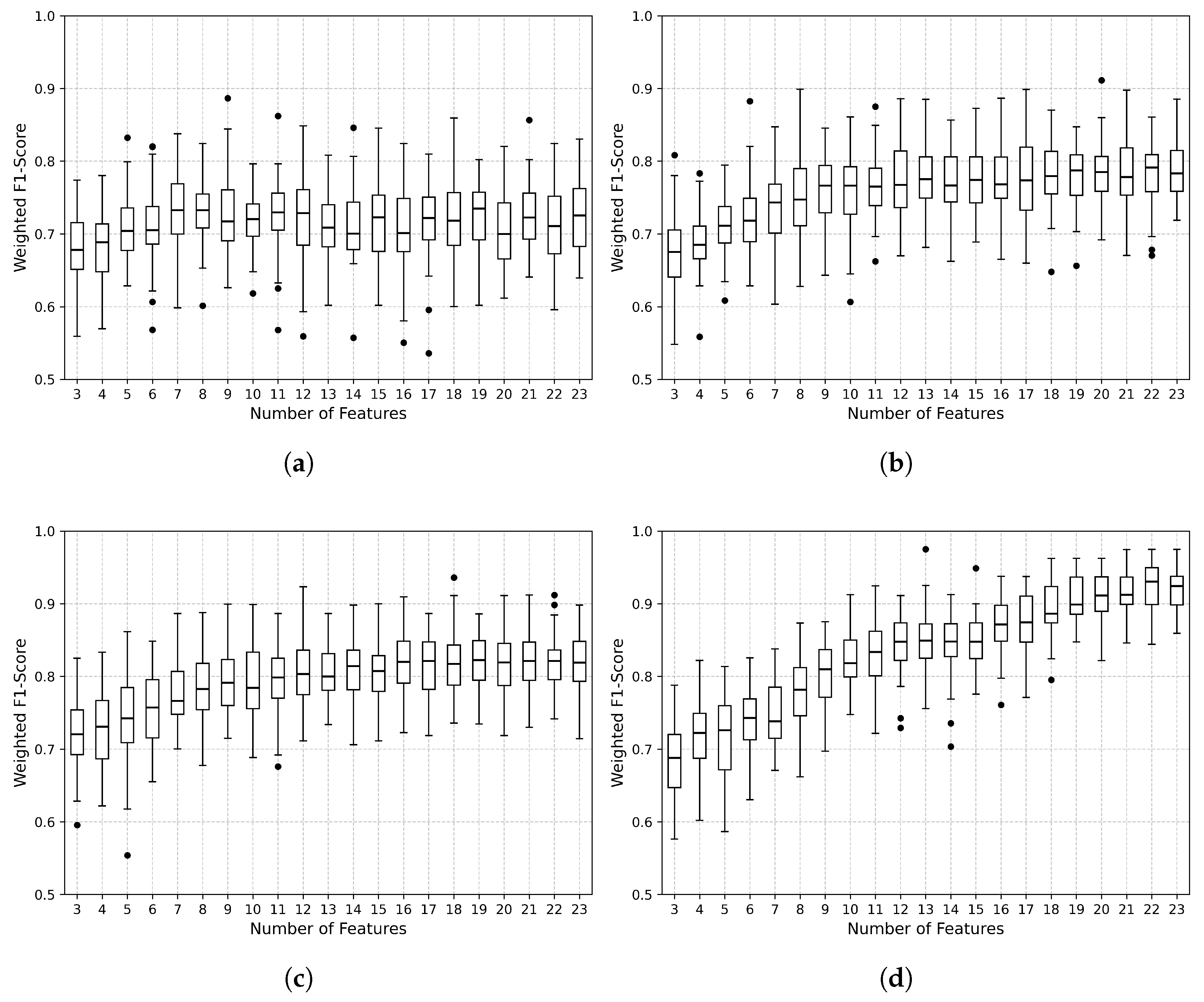
4. Results
4.1. Features Selection
4.2. Interpretations on HRSA Decisions
4.3. Comparison Among the Four Most Relevant Feature Sets Derived from the Analysis
5. Conclusions
Author Contributions
Funding
Data Availability Statement
Acknowledgments
Conflicts of Interest
References
- Gu, R.; Yang, Z.; Ji, Y. Machine learning for intelligent optical networks: A comprehensive survey. J. Netw. Comput. Appl. 2020, 157, 102576. [Google Scholar] [CrossRef]
- International Telecommunication Union. Measuring Digital Development: Facts and Figures 2024; International Telecommunication Union: Geneva, Switzerland, 2024. Available online: https://www.itu.int/dms_pub/itu-d/opb/ind/d-ind-ict_mdd-2024-4-pdf-e.pdf (accessed on 6 May 2025).
- Zhang, Y.; Xin, J.; Li, X.; Huang, S. Overview on routing and resource allocation based machine learning in optical networks. Opt. Fiber Technol. 2020, 60, 102355. [Google Scholar] [CrossRef]
- Datta, D. Optical Networks, 1st ed.; Oxford University Press: Oxford, UK, 2021. [Google Scholar]
- Alyatama, A.; Alrashed, I.; Alhusaini, A. Adaptive routing and spectrum allocation in elastic optical networks. Opt. Switch. Netw. 2017, 24, 12–20. [Google Scholar] [CrossRef]
- Bonani, L.H.; Queiroz, J.C.F.; Abbade, M.L.F.; Callegati, F. Load balancing in fixed-routing optical networks with weighted ordering heuristics. J. Opt. Commun. Netw. 2019, 11, 26–38. [Google Scholar] [CrossRef]
- Christodoulopoulos, K.; Tomkos, I.; Varvarigos, E.A. Elastic bandwidth allocation in flexible OFDM-based optical networks. J. Light. Technol. 2011, 29, 1354–1366. [Google Scholar] [CrossRef]
- Wang, R.; Mukherjee, B. Spectrum management in heterogeneous bandwidth optical networks. Opt. Switch. Netw. 2014, 11, 83–91. [Google Scholar] [CrossRef]
- Dinarte, H.A.; Correia, B.V.; Chaves, D.A.; Almeida, R.C., Jr. Routing and spectrum assignment: A metaheuristic for hybrid ordering selection in elastic optical networks. Comput. Netw. 2021, 197, 108287. [Google Scholar] [CrossRef]
- Hernández-Chulde, C.; Casellas, R.; Martínez, R.; Vilalta, R.; Muñoz, R. Experimental evaluation of a latency-aware routing and spectrum assignment mechanism based on deep reinforcement learning. J. Opt. Commun. Netw. 2023, 15, 925–937. [Google Scholar] [CrossRef]
- Zou, Y.; Cai, X.; Zhu, M.; Gu, J.; Wang, Y.; Zhao, G.; Shi, C.; Zhang, J.; Cai, Y.; Lei, M. Nonlinear impairment-aware rmsa under the sliding scheduled traffic model for eons based on deep reinforcement learning. J. Light. Technol. 2023, 41, 6854–6864. [Google Scholar] [CrossRef]
- Tanaka, T.; Shimoda, M. Pre-and post-processing techniques for reinforcement-learning-based routing and spectrum assignment in elastic optical networks. J. Opt. Commun. Netw. 2023, 15, 1019–1029. [Google Scholar] [CrossRef]
- Tomek, I. An Experiment with the Edited Nearest-Neighbor Rule. IEEE Trans. Syst. Man Cybern. 1976, 6, 448–452. [Google Scholar]
- Géron, A. Hands-on Machine Learning with Scikit-Learn, Keras, and TensorFlow: Concepts, Tools, and Techniques to Build Intelligent Systems, 2nd ed.; O’Reilly Media, Inc.: Boston, MA, USA, 2019. [Google Scholar]
- El Mrabet, M.A.; El Makkaoui, K.; Faize, A. Supervised machine learning: A survey. In Proceedings of the 2021 4th International Conference on Advanced Communication Technologies and Networking (CommNet), Rabat, Morocco, 3–5 December 2021; pp. 1–10. [Google Scholar]
- Hastie, T.; Tibshirani, R.; Friedman, J.H.; Friedman, J.H. The Elements of Statistical Learning: Data Mining, Inference, and Prediction, 2nd ed.; Springer: New York, NY, USA, 2009. [Google Scholar]
- Ferri, C.; Hernández-Orallo, J.; Modroiu, R. An experimental comparison of performance measures for classification. Pattern Recognit. Lett. 2009, 30, 27–38. [Google Scholar] [CrossRef]
- Salani, M.; Rottondi, C.; Tornatore, M. Routing and spectrum assignment integrating machine-learning-based QoT estimation in elastic optical networks. In Proceedings of the 2019 IEEE Conference on Computer Communications (INFOCOM), Paris, France, 29 April–2 May 2019; pp. 1738–1746. [Google Scholar]
- Chen, T.; Guestrin, C. Xgboost: A scalable tree boosting system. In Proceedings of the 22nd ACM SIGKDD International Conference on Knowledge Discovery and Data Mining, San Francisco, CA, USA, 13 August 2016; pp. 785–794. [Google Scholar]
- Jashvantbhai Pandya, R. Machine learning-oriented resource allocation in C+ L+ S bands extended SDM–EONs. IET Commun. 2020, 14, 1957–1967. [Google Scholar] [CrossRef]
- Barabási, A. Network Science, 2nd ed.; Cambridge University Press: Cambridge, UK, 2015; Available online: https://networksciencebook.com/ (accessed on 13 August 2024).
- Coscia, M. The Atlas for the Aspiring Network Scientist. Available online: https://www.networkatlas.eu/ (accessed on 5 January 2025).
- Matzner, R.; Ahuja, A.; Sadeghi, R.; Doherty, M.; Beghelli, A.; Savory, S.J.; Bayvel, P. Topology Bench: Systematic graph-based benchmarking for core optical networks. J. Opt. Commun. Netw. 2024, 17, 7–27. [Google Scholar] [CrossRef]
- Carvalho, R.V.B.; Pinheiro, D.; Dinarte, H.A.; Almeida, R.C.; Mello, D.A.D.A.; Bastos-Filho, C.J.A. Exploring the impact of topological features on ordering routing and spectrum assignment in elastic optical networks. In Proceedings of the 2024 SBFoton International Optics and Photonics Conference (SBFoton IOPC), Salvador, Brazil, 11–13 November 2024; pp. 1–3. [Google Scholar]
- Boccaletti, S.; Latora, V.; Moreno, Y.; Chavez, M.; Hwang, D. Complex networks: Structure and dynamics. Phys. Rep. 2006, 424, 175–308. [Google Scholar] [CrossRef]
- Shao, C.; Cui, P.; Xun, P.; Peng, Y.; Jiang, X. Rank correlation between centrality metrics in complex networks: An empirical study. Open Phys. 2018, 16, 1009–1023. [Google Scholar] [CrossRef]
- International Telecommunication Union. The PageRank Citation Ranking: Bringing Order to the Web; Stanford InfoLab: Stanford, CA, USA, 2024; Available online: http://ilpubs.stanford.edu:8090/422/ (accessed on 14 May 2025).
- Hage, P.; Harary, F. Eccentricity and centrality in networks. Soc. Netw. 1995, 17, 57–63. [Google Scholar] [CrossRef]
- Zhang, J.; Luo, Y. Degree centrality, betweenness centrality, and closeness centrality in social network. In Proceedings of the 2017 2nd International Conference on Modelling, Simulation and Applied Mathematics (MSAM2017), Bangkok, Thailand, 26–27 March 2017. [Google Scholar]
- Freeman, L.C. Centrality in social networks conceptual clarification. Soc. Netw. 1978, 1, 215–239. [Google Scholar] [CrossRef]
- Bonacich, P. Some unique properties of eigenvector centrality. Soc. Netw. 2007, 29, 555–564. [Google Scholar] [CrossRef]
- Omar, Y.M.; Plapper, P. A survey of information entropy metrics for complex networks. Entropy 2020, 22, 1417. [Google Scholar] [CrossRef]
- Zhang, P.; Wang, T.; Yan, J. PageRank centrality and algorithms for weighted, directed networks. Phys. A Stat. Mech. Its Appl. 2022, 586, 126438. [Google Scholar] [CrossRef]
- Pedregosa, F.; Varoquaux, G.; Gramfort, A.; Michel, V.; Thirion, B.; Grisel, O.; Blondel, M.; Prettenhofer, P.; Weiss, R.; Dubourg, V.; et al. Scikit-learn: Machine learning in Python. J. Mach. Learn. Res. 2011, 12, 2825–2830. [Google Scholar]
- Hagberg, A.A.; Schult, D.A.; Swart, P.J. Exploring network structure, dynamics, and function using networkx. In Proceedings of the 7th Python in Science Conference (SciPy2008), Pasadena, CA, USA, 19–24 August 2008; pp. 11–15. [Google Scholar]
- Akiba, T.; Sano, S.; Yanase, T.; Ohta, T.; Koyama, M. Optuna: A next-generation hyperparameter optimization framework. In Proceedings of the 25th ACM SIGKDD International Conference on Knowledge Discovery & Data Mining, Anchorage, AK, USA, 25 July 2019; pp. 2623–2631. [Google Scholar]
- Cavalcante, M.A.; Pereira, H.A.; Almeida, R.C. SimEON: An open-source elastic optical network simulator for academic and industrial purposes. Photonic Netw. Commun. 2017, 34, 193–201. [Google Scholar] [CrossRef]
- Cavalcante, M.A.; Pereira, H.A.; Chaves, D.A.R.; Almeida, R.C. Applying Power Series Routing algorithm in transparent elastic optical networks. In Proceedings of the 2015 SBMO/IEEE MTT-S International Microwave and Optoelectronics Conference (IMOC), Porto de Galinhas, Brazil, 3–6 November 2015; pp. 1–5. [Google Scholar]
- Dormann, C.F.; Elith, J.; Bacher, S.; Buchmann, C.; Carl, G.; Carré, G.; Marquéz, J.R.G.; Gruber, B.; Lafourcade, B.; Leitão, P.J.; et al. Collinearity: A review of methods to deal with it and a simulation study evaluating their performance. Ecography 2013, 36, 27–46. [Google Scholar] [CrossRef]
- Reeves, C.R. Handbook of Metaheuristics, 2nd ed.; Springer: New York, NY, USA, 2010. [Google Scholar]
- Xuan, H.; Wang, Y.; Xu, Z.; Hao, S.; Wang, X. New optimization model for routing and spectrum assignment with nodes insecurity. Opt. Commun. 2017, 389, 42–50. [Google Scholar] [CrossRef]
- Paira, S.; Halder, J.; Chatterjee, M.; Bhattacharya, U. On energy efficient survivable multipath based approaches in space division multiplexing elastic optical network: Crosstalk-aware and fragmentation-aware. IEEE Access 2020, 8, 47344–47356. [Google Scholar] [CrossRef]
- Olszewski, I.; Szcześniak, I. The trade-offs between optimality and feasibility in online routing with dedicated path protectio40in elastic optical networks. Entropy 2022, 24, 891. [Google Scholar] [CrossRef]
- Alves, M.M.; Almeida, R.C.; Dos Santos, A.F.; Pereira, H.A.; Assis, K.D.R. Impairment-aware fixed-alternate BSR routing heuristics applied to elastic optical networks. J. Supercomput. 2020, 77, 1475–1501. [Google Scholar] [CrossRef]
- Durand, F.; Abrão, T. Energy efficiency analysis in adaptive fec-based lightpath elastic optical networks. J. Circuits Syst. Comput. 2015, 24, 1550133. [Google Scholar] [CrossRef]
- Hai, D.T. On solving the 1 + 1 routing, wavelength and network coding assignment problem with a bi-objective integer linear programming model. Telecommun. Syst. 2019, 71, 155–165. [Google Scholar] [CrossRef]
- Tachibana, T.; Hirota, Y.; Suzuki, K.; Tsuritani, T.; Hasegawa, H. Metropolitan area network model design using regional railways information for beyond 5G research. IEICE Trans. Commun. 2023, 106, 296–306. [Google Scholar] [CrossRef]
- Tang, B.; Huang, Y.-C.; Xue, Y.; Zhou, W. Deep reinforcement learning-based rmsa policy distillation for elastic optical networks. Mathematics 2022, 10, 3293. [Google Scholar] [CrossRef]
- Carvalho, R.V.B.; Pinheiro, D.; Dinarte, H.A.; Almeida, R.C., Jr.; Bastos-Filho, C.J.A. The Role of Topological Features in Routing and Spectrum Assignment Prioritization: A Decision Tree Analysis for Elastic Optical Networks. In Proceedings of the 21st SBMO/IEEE MTT-S International Microwave and Optoelectronics Conference (IMOC), Campina Grande, Brazil, 9–12 November 2025. [Google Scholar]
- Retzlaff, C.O.; Angerschmid, A.; Saranti, A.; Schneeberger, D.; Röttger, R.; Müller, H.; Holzinger, A. Post-hoc vs ante-hoc explanations: XAI design guidelines for data scientists. Cogn. Syst. Res. 2024, 86, 101243. [Google Scholar] [CrossRef]
- Lundberg, S.M.; Lee, S.I. A unified approach to interpreting model predictions. In Proceedings of the Advances in Neural Information Processing Systems 30 (NIPS 2017), Long Beach, CA, USA, 4–9 December 2017; Volume 30. [Google Scholar]


| Topology | Number of Nodes | Number of Links | Mean Degree | Load 1 |
|---|---|---|---|---|
| ARPANET [41] | 20 | 32 | 240 | |
| CHNNET [41] | 15 | 27 | 320 | |
| Cost239 [42] | 11 | 26 | 560 | |
| EON_RT [9] | 25 | 34 | 180 | |
| European [43] | 28 | 41 | 210 | |
| Finland [44] | 12 | 19 | 270 | |
| Germany [45] | 17 | 26 | 210 | |
| Italy [46] | 14 | 29 | 360 | |
| JPN12 [47] | 12 | 17 | 150 | |
| JPN25 [47] | 25 | 43 | 170 | |
| JPN48 [47] | 48 | 164 | 190 | |
| NOFN-India [20] | 59 | 135 | 210 | |
| NSFNET [9] | 14 | 21 | 290 | |
| PacificBell [44] | 17 | 23 | 200 | |
| US Backbone [48] | 24 | 42 | 330 |
| ML Model | Hyperparameters and Values Sets (Selected Values) | Framework |
|---|---|---|
| DT | Maximum tree depth: from 1 to 10 (10) Minimum number of samples per leaf: 2, 5, 10 (2) Split quality criterion: Gini, entropy, log loss (Gini) | Grid search |
| RF | Number of trees: 50, 75, 100, 125, 150, 175, 200 (175) | Grid search |
| XGBoost | Learning rate (log scale): from to () 1 Maximum tree depth: from 3 to 10 (10) Minimum number of instances on a child node: from 1 to 10 (1) Minimum reduction in loss to allow for a split: from 0 to 5 () 1 Fraction of training samples: from to () 1 Fraction of features that used to build each tree: from to () 1 L1 regularization term: from to () 1 L2 regularization term: from to () 1 | Optuna |
| SVM | Regularization parameter (C): to 1000 (5) Kernel coefficient (): from to 100 () Tolerance: from to () | Grid search |
| ML Model | Mean of Weighted F1-Scores (23 Features) | SD of Weighted F1-Scores (23 Features) | Mean of Weighted F1-Scores (Enough Features) | SD of Weighted F1-Scores (Enough Features) |
|---|---|---|---|---|
| DT | ||||
| RF | ||||
| XGBoost | ||||
| SVM |
| Feature | Metric Classification | Network Element | |
|---|---|---|---|
| Sou Eing Cent | Spectral | Node | |
| Dest Clus Coeff | Structural | Node | |
| Sou Ecc | Space | Node | |
| Dest Ecc | Space | Node | |
| Dist k = 1 | Space | Link | |
| Dest Degree | Structural | Node | |
| Mean Clus Coeff k = 3 | Structural | Node | |
| Dist k = 2 | Space | Link | |
| Sou Clus Coeff | Structural | Node | |
| Dest Eing Cent | Spectral | Node | |
| Hops k = 3 | Structural | Link | |
| Dist k = 3 | Space | Node | |
| Mean Eing Cent k = 3 | Spectral | Node | |
| Mean Link Bet k = 2 | Structural | Link | |
| Sou Degree | Structural | Node | |
| Mean Eing Cent k = 2 | Spectral | Node | |
| Mean Link Bet k = 3 | Structural | Link | |
| Mean Link Bet k = 1 | Structural | Link | |
| Dest Bet | Structural | Node | |
| Sou Bet | Structural | Node |
| Feature | SVM | XGBoost | RF | DT |
|---|---|---|---|---|
| Sou Eing Cent | ||||
| Dest Clus Coeff | - | - | - | |
| Sou Ecc | - | - | - | |
| Dest Ecc | - | - | - | |
| Dist k = 1 | ||||
| Dest Degree | - | - | - | |
| Mean Clus Coeff k = 3 | ||||
| Dist k = 2 | - | - | ||
| Sou Clus Coeff | - | - | - | |
| Dest Eing Cent | - | - | - | |
| Hops k = 3 | - | - | - | |
| Dist k = 3 | - | - | - | |
| Mean Eing Cent k = 3 | - | |||
| Mean Link Bet k = 2 | - | |||
| Sou Degre | - | - | - | |
| Mean Eing Cent k = 2 | - | - | - | |
| Mean Link Bet k = 3 | ||||
| Mean Link Bet k = 1 | - | |||
| Dest Bet | ||||
| Sou Bet | - | |||
| Dest Page | - | - | ||
| Sou Page | - | - | ||
| Dest Degree Cent | - | - | - |
| Classification/Type | SVM | XGBoost | RF | DT |
|---|---|---|---|---|
| Structural | ||||
| Space | ||||
| Spectral | ||||
| Node | ||||
| Link |
Disclaimer/Publisher’s Note: The statements, opinions and data contained in all publications are solely those of the individual author(s) and contributor(s) and not of MDPI and/or the editor(s). MDPI and/or the editor(s) disclaim responsibility for any injury to people or property resulting from any ideas, methods, instructions or products referred to in the content. |
© 2025 by the authors. Licensee MDPI, Basel, Switzerland. This article is an open access article distributed under the terms and conditions of the Creative Commons Attribution (CC BY) license (https://creativecommons.org/licenses/by/4.0/).
Share and Cite
Carvalho, R.; Pinheiro, D.; Dinarte, H.; Almeida, R., Jr.; Bastos-Filho, C. Hybrid Routing and Spectrum Allocation in Elastic Optical Networks by Machine Learning and Topological Metrics. Optics 2025, 6, 57. https://doi.org/10.3390/opt6040057
Carvalho R, Pinheiro D, Dinarte H, Almeida R Jr., Bastos-Filho C. Hybrid Routing and Spectrum Allocation in Elastic Optical Networks by Machine Learning and Topological Metrics. Optics. 2025; 6(4):57. https://doi.org/10.3390/opt6040057
Chicago/Turabian StyleCarvalho, Renan, Diego Pinheiro, Henrique Dinarte, Raul Almeida, Jr., and Carmelo Bastos-Filho. 2025. "Hybrid Routing and Spectrum Allocation in Elastic Optical Networks by Machine Learning and Topological Metrics" Optics 6, no. 4: 57. https://doi.org/10.3390/opt6040057
APA StyleCarvalho, R., Pinheiro, D., Dinarte, H., Almeida, R., Jr., & Bastos-Filho, C. (2025). Hybrid Routing and Spectrum Allocation in Elastic Optical Networks by Machine Learning and Topological Metrics. Optics, 6(4), 57. https://doi.org/10.3390/opt6040057

