Volume Bragg Grating Locked Alexandrite Laser
Abstract
:1. Introduction
2. Methods
2.1. Plane-Plane Diode-Pumped Alexandrite Laser
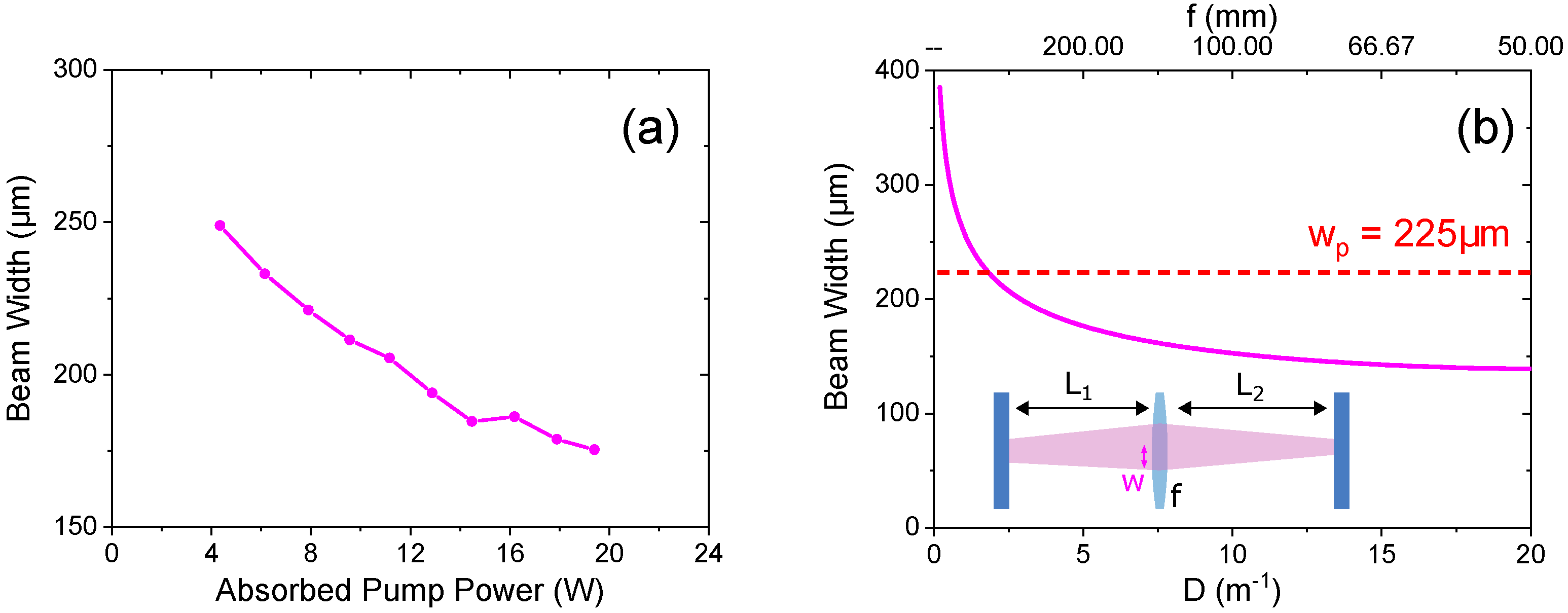
2.2. Convex-Plane Diode-Pumped Alexandrite Laser
3. Results and Discussion
3.1. Plane-Plane Diode-Pumped Alexandrite Laser
3.2. Convex-Plane Diode-Pumped Alexandrite Laser
4. Conclusions
Author Contributions
Funding
Institutional Review Board Statement
Informed Consent Statement
Data Availability Statement
Conflicts of Interest
References
- Song, D.H.; Seo, H.S. Spectrally combined three-diode-pumped compact femtosecond Ti:sapphire laser exceeding 1 W mode-locked power. Opt. Express 2021, 29, 32649–32657. [Google Scholar] [CrossRef] [PubMed]
- Demirbas, U.; Thesinga, J.; Kellert, M.; Reuter, S.; Sumpf, B.; Pergament, M.; Kärtner, F.X. Mode-locked Cr:LiSAF laser far off the gain peak: Tunable sub-200-fs pulses near 1 µm. Appl. Opt. 2021, 60, 9054–9061. [Google Scholar] [CrossRef] [PubMed]
- Okuyucu, S.; Ozturk, Y.; Demirbas, U. Passively Q-switched Cr:LiCAF laser with a saturable Bragg reflector. Appl. Phys. B 2021, 127, 54. [Google Scholar] [CrossRef]
- Tawy, G.; Minassian, A.; Damzen, M.J. High-power 7.4 W TEM00 and wavelength-tunable alexandrite laser with a novel cavity design and efficient fibre-coupled diode-pumping. OSA Contin. 2020, 3, 1638–1649. [Google Scholar] [CrossRef]
- Sonnenschein, V.; Tomita, H.; Kotaro, K.; Koya, H.; Studer, D.; Terabayashi, R.; Weber, F.; Wendt, K.; Nishizawa, N.; Iguchi, T. A direct diode pumped Ti:sapphire laser with single-frequency operation for high resolution spectroscopy. Hyperfine Interact 2020, 241, 32. [Google Scholar] [CrossRef]
- Munk, A.; Strotkamp, M.; Jungbluth, B.; Froh, J.; Mense, T.; Mauer, A.; Höffner, J. Rugged diode-pumped Alexandrite laser as an emitter in a compact mobile lidar system for atmospheric measurements. Appl. Opt. 2021, 60, 4668–4679. [Google Scholar] [CrossRef] [PubMed]
- Walling, J.; Peterson, O.; Jenssen, H.; Morris, R.; O’Dell, E. Tunable alexandrite lasers. IEEE J. Quantum Electron. 1980, 16, 1302–1315. [Google Scholar] [CrossRef]
- Demirbas, U. Power scaling potential of continuous-wave Cr:LiSAF and Cr:LiCAF lasers in thin-disk geometry. Appl. Opt. 2018, 57, 10207–10217. [Google Scholar] [CrossRef] [PubMed]
- Moulton, P.F.; Cederberg, J.G.; Stevens, K.T.; Foundos, G.; Koselja, M.; Preclikova, J. Optimized InGaN-diode pumping of Ti:sapphire crystals. Opt. Mater. Express 2019, 9, 2131–2146. [Google Scholar] [CrossRef]
- Miao, Z.W.; Yu, H.J.; Zou, S.Z.; He, C.J.; Zhao, P.F.; Lou, B.J.; Lin, X.C. Low-threshold-intensity 3.8-W continuous-wave Ti:Sapphire oscillator directly pumped with green diodes. Appl. Phys. B 2021, 127, 105. [Google Scholar] [CrossRef]
- Hemmer, M.; Joly, Y.; Glebov, L.; Bass, M.; Richardson, M. Volume Bragg Grating assisted broadband tunability and spectral narrowing of Ti:Sapphire oscillators. Opt. Express 2009, 17, 8212–8219. [Google Scholar] [CrossRef] [PubMed]
- Sennaroglu, A.; Morova, Y. Divalent (Cr2+), trivalent (Cr3+), and tetravalent (Cr4+) chromium ion-doped tunable solid-state lasers operating in the near and mid-infrared spectral regions. Appl. Phys. B 2022, 128, 9. [Google Scholar] [CrossRef]
- Tawy, G.; Wang, J.; Damzen, M.J. Pump-induced lensing effects in diode pumped Alexandrite lasers. Opt. Express 2019, 27, 35865–35883. [Google Scholar] [CrossRef] [PubMed]
- Tawy, G.; Damzen, M.J. Tunable, dual wavelength and self-Q-switched Alexandrite laser using crystal birefringence control. Opt. Express 2019, 27, 17507–17520. [Google Scholar] [CrossRef] [PubMed]
- Sheng, X.; Tawy, G.; Sathian, J.; Minassian, A.; Damzen, M.J. Unidirectional single-frequency operation of a continuous-wave Alexandrite ring laser with wavelength tunability. Opt. Express 2018, 26, 31129–31136. [Google Scholar] [CrossRef] [PubMed]
- Sathian, J.; Tawy, G.; Sheng, X.; Minassian, A.; Damzen, M.J. Nonastigmatic alexandrite ring laser design with wavelength-tunable single-longitudinal-mode operation. J. Opt. Soc. Am. B 2020, 37, 2185–2192. [Google Scholar] [CrossRef]
- Tawy, G.; Minassian, A.; Damzen, M.J. 8.5 W Linear and 3.6 W Ring TEM00 Diode-Pumped Alexandrite Lasers. In Proceedings of the 2021 Conference on Lasers and Electro-Optics Europe European Quantum Electronics Conference (CLEO/Europe-EQEC), Munich, Germany, 21–25 June 2021. [Google Scholar]







Publisher’s Note: MDPI stays neutral with regard to jurisdictional claims in published maps and institutional affiliations. |
© 2022 by the authors. Licensee MDPI, Basel, Switzerland. This article is an open access article distributed under the terms and conditions of the Creative Commons Attribution (CC BY) license (https://creativecommons.org/licenses/by/4.0/).
Share and Cite
Tawy, G.; Minassian, A.; Damzen, M.J. Volume Bragg Grating Locked Alexandrite Laser. Optics 2022, 3, 53-59. https://doi.org/10.3390/opt3010007
Tawy G, Minassian A, Damzen MJ. Volume Bragg Grating Locked Alexandrite Laser. Optics. 2022; 3(1):53-59. https://doi.org/10.3390/opt3010007
Chicago/Turabian StyleTawy, Goronwy, Ara Minassian, and Michael J. Damzen. 2022. "Volume Bragg Grating Locked Alexandrite Laser" Optics 3, no. 1: 53-59. https://doi.org/10.3390/opt3010007
APA StyleTawy, G., Minassian, A., & Damzen, M. J. (2022). Volume Bragg Grating Locked Alexandrite Laser. Optics, 3(1), 53-59. https://doi.org/10.3390/opt3010007
