A Theoretical Description of Node-Aligned Resonant Waveguide Gratings
Abstract
1. Introduction
2. Results and Discussion
2.1. Definition of Geometry and Symmetry Parameters
2.2. Geometry with
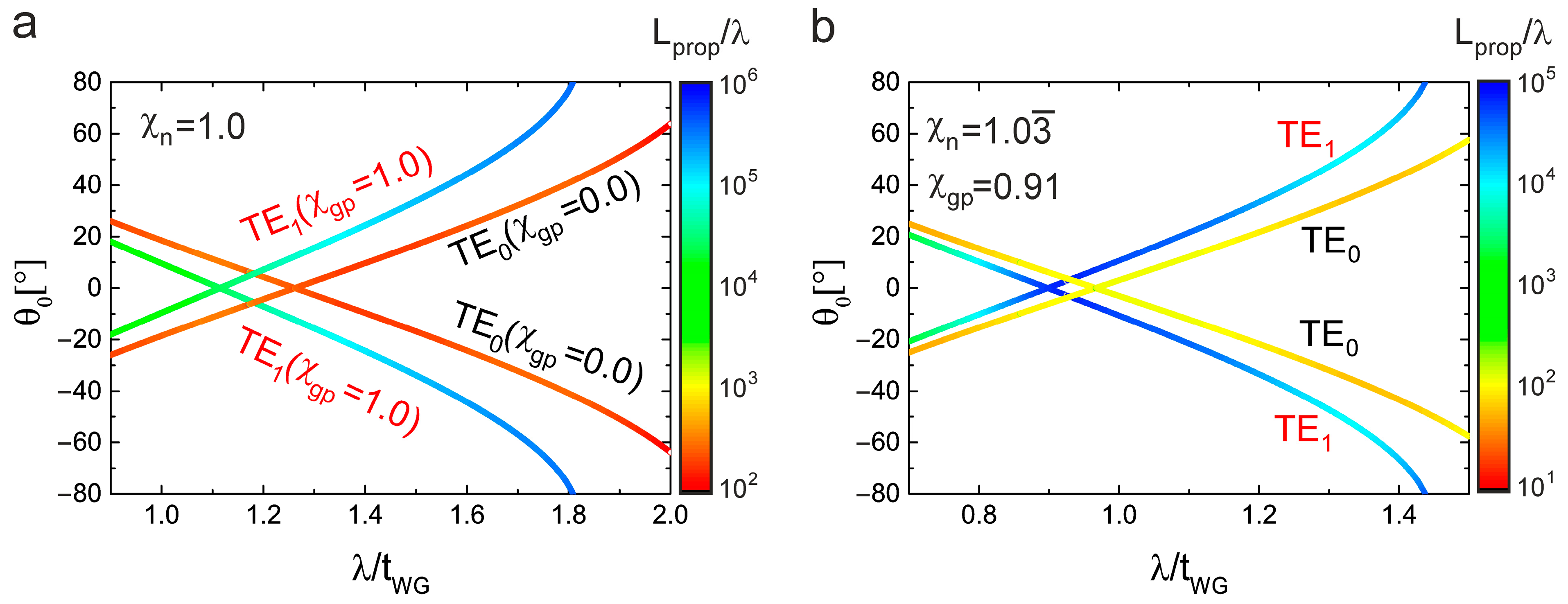
2.3. Geometry with with Variation in Symmetry Parameters
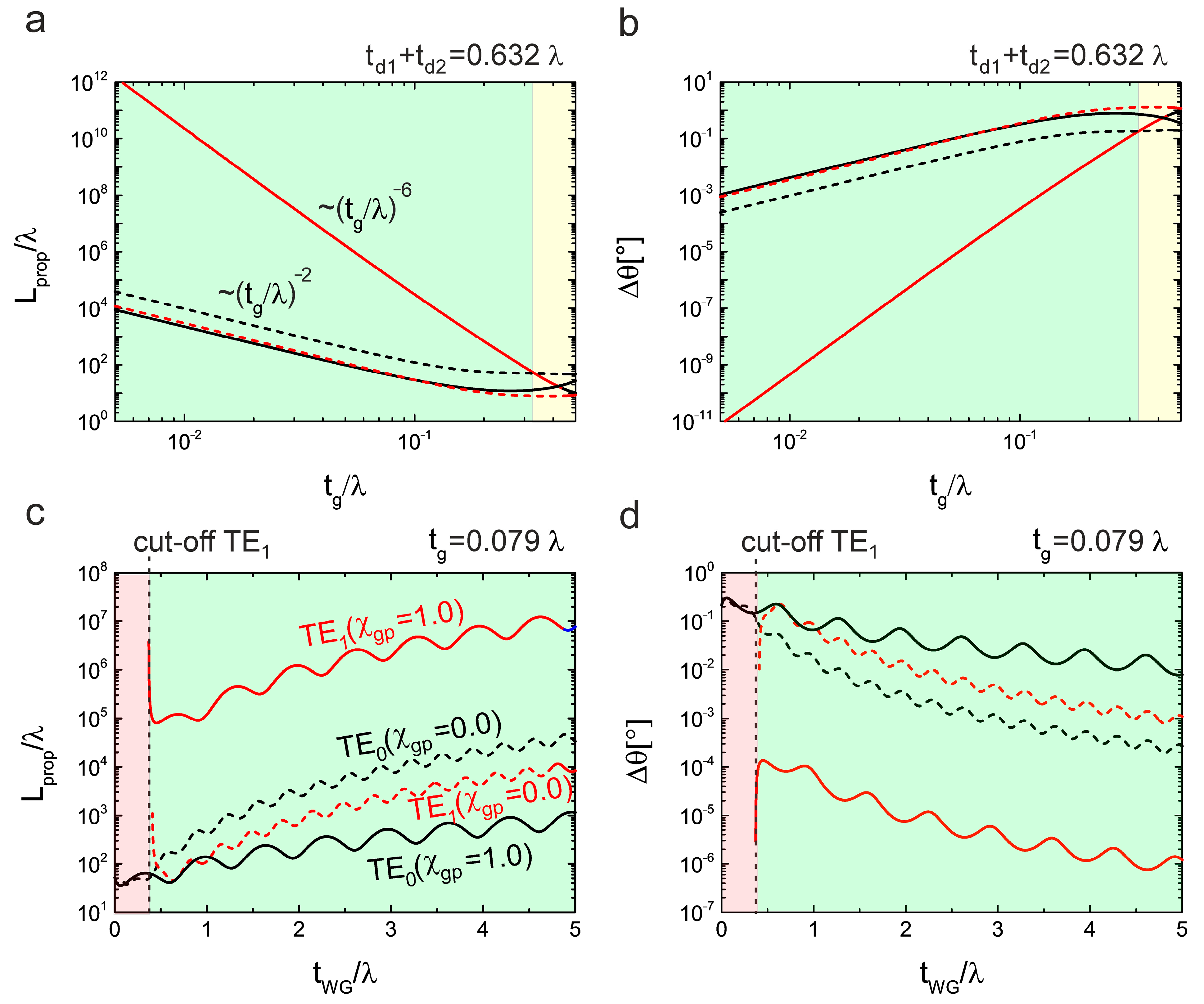
2.4. Sensitivity to Asymmetric Refractive Index Changes
3. Conclusions
4. Methods
Supplementary Materials
Author Contributions
Funding
Institutional Review Board Statement
Informed Consent Statement
Data Availability Statement
Acknowledgments
Conflicts of Interest
References
- Belt, M.; Davenport, M.L.; Bowers, J.E.; Blumenthal, D.J. Ultra-low-loss Ta2O5-core/SiO2-clad planar waveguides on Si substrates. Optica 2017, 4, 532–536. [Google Scholar] [CrossRef]
- Yeniay, A.; Gao, R.; Takayama, K.; Gao, R.; Garito, A.F. Ultra-low-loss polymer waveguides. J. Light. Technol. 2004, 22, 154–158. [Google Scholar] [CrossRef]
- Rickman, A.; Reed, G.T.; Weiss, B.L.; Namavar, F. Low-loss planar optical waveguides fabricated in SIMOX material. IEEE Photonics Technol. Lett. 1992, 4, 633–635. [Google Scholar] [CrossRef]
- Yang, L.; Saavedra, S.S.; Armstrong, N.R.; Hayes, J. Fabrication and Characterization of Low-Loss, Sol-Gel Planar Waveguides. Anal. Chem. 1994, 66, 1254–1263. [Google Scholar] [CrossRef]
- Ura, S.; Inoue, J.; Kintaka, K.; Awatsuji, Y. Proposal of small-aperture guided-mode resonance filter. In Proceedings of the 2011 13th International Conference on Transparent Optical Networks, Stockholm, Sweden, 26–30 June 2011; pp. 1–4. [Google Scholar]
- Wang, S.S.; Magnusson, R. Design of waveguide-grating filters with symmetrical line shapes and low sidebands. Opt. Lett. 1994, 19, 919–921. [Google Scholar] [CrossRef]
- Kintaka, K.; Majima, T.; Inoue, J.; Hatanaka, K.; Nishii, J.; Ura, S. Cavity-resonator-integrated guided-mode resonance filter for aperture miniaturization. Opt. Express 2012, 20, 1444–1449. [Google Scholar] [CrossRef]
- Thurman, S.T.; Morris, G.M. Controlling the spectral response in guided-mode resonance filter design. Appl. Opt. 2003, 42, 3225–3233. [Google Scholar] [CrossRef]
- Wang, S.S.; Magnusson, R. Multilayer waveguide-grating filters. Appl. Opt. 1995, 34, 2414–2420. [Google Scholar] [CrossRef]
- Flanders, D.C.; Kogelnik, H.; Schmidt, R.V.; Shank, C.V. Grating filters for thin-film optical waveguides. Appl. Phys. Lett. 1974, 24, 194–196. [Google Scholar] [CrossRef]
- Kehl, F.; Follonier, S. Self-referenced waveguide grating sensor. Opt. Lett. 2016, 41, 1447–1450. [Google Scholar] [CrossRef]
- Song, F.; Xiao, J.; Xie, A.J.; Seo, S.-W. A polymer waveguide grating sensor integrated with a thin-film photodetector. J. Opt. 2013, 16, 15503. [Google Scholar] [CrossRef] [PubMed][Green Version]
- Zaytseva, N.; Miller, W.; Goral, V.; Hepburn, J.; Fang, Y. Microfluidic resonant waveguide grating biosensor system for whole cell sensing. Appl. Phys. Lett. 2011, 98, 163703. [Google Scholar] [CrossRef]
- Ferrie, A.M.; Wu, Q.; Fang, Y. Resonant waveguide grating imager for live cell sensing. Appl. Phys. Lett. 2010, 97, 223704. [Google Scholar] [CrossRef] [PubMed]
- Nellen, P.M.; Tiefenthaler, K.; Lukosz, W. Integrated optical input grating couplers as biochemical sensors. Sens. Actuators 1988, 15, 285–295. [Google Scholar] [CrossRef]
- Clerc, D.; Lukosz, W. Integrated optical output grating coupler as biochemical sensor. Sens. Actuators B Chem. 1994, 19, 581–586. [Google Scholar] [CrossRef]
- Vörös, J.; Ramsden, J.J.; Csúcs, G.; Szendrő, I.; De Paul, S.M.; Textor, M.; Spencer, N.D. Optical grating coupler biosensors. Biomaterials 2002, 23, 3699–3710. [Google Scholar] [CrossRef]
- Kumada, A.; Hidaka, K. Directly High-Voltage Measuring System Based on Pockels Effect. IEEE Trans. Power Deliv. 2013, 28, 1306–1313. [Google Scholar] [CrossRef]
- Gervais, F.; Fonseca, V. Lithium Tantalate (LiTaO3). In Handbook of Optical Constants of Solids; Academic Press: Cambridge, MA, USA, 1997; pp. 777–805. ISBN 978-0-12-544415-6. [Google Scholar]
- Weis, R.S.; Gaylord, T.K. Lithium niobate: Summary of physical properties and crystal structure. Appl. Phys. A 1985, 37, 191–203. [Google Scholar] [CrossRef]
- Wang, Q.; Zhang, D.; Huang, Y.; Ni, Z.; Chen, J.; Zhong, Y.; Zhuang, S. Type of tunable guided-mode resonance filter based on electro-optic characteristic of polymer-dispersed liquid crystal. Opt. Lett. 2010, 35, 1236–1238. [Google Scholar] [CrossRef]
- Forouzmand, A.; Mosallaei, H. Electro-optical Amplitude and Phase Modulators Based on Tunable Guided-Mode Resonance Effect. ACS Photonics 2019, 6, 2860–2869. [Google Scholar] [CrossRef]
- Görrn, P. Method for Concentrating Light and Light Concentrator. U.S. Patent 10,558,027, 2 July 2014. [Google Scholar]
- Rabe, T.; Görrn, P.; Lehnhardt, M.; Tilgner, M.; Riedl, T.; Kowalsky, W. Highly sensitive determination of the polaron-induced optical absorption of organic charge-transport materials. Phys. Rev. Lett. 2009, 102, 137401. [Google Scholar] [PubMed]
- Görrn, P.; Rabe, T.; Riedl, T.; Kowalsky, W. Loss reduction in fully contacted organic laser waveguides using TE 2 modes. Appl. Phys. Lett. 2007, 91, 041113. [Google Scholar]
- Ura, S.; Yamada, K.; Lee, K.J.; Kintaka, K.; Inoue, J.; Magnusson, R. Guided-mode resonances in two-story waveguides. In Proceedings of the 2017 19th International Conference on Transparent Optical Networks (ICTON), Girona, Spain, 2–6 July 2017; pp. 1–4. [Google Scholar]
- Görrn, P. Waveguide, Method of Projecting Light from a Waveguide, and Display. U.S. Patent 10,739,623, 20 October 2017. [Google Scholar]
- Tamir, T.; Zhang, S. Modal transmission-line theory of multilayered grating structures. J. Light. Technol. 1996, 14, 914–927. [Google Scholar] [CrossRef]
- Meudt, M.; Bogiadzi, C.; Wrobel, K.; Görrn, P. Hybrid Photonic–Plasmonic Bound States in Continuum for Enhanced Light Manipulation. Adv. Opt. Mater. 2020, 8, 2000898. [Google Scholar] [CrossRef]
- Park, J.; Shin, K.; Lee, C. Roll-to-Roll Coating Technology and Its Applications: A Review. Int. J. Precis. Eng. Manuf. 2016, 17, 537–550. [Google Scholar] [CrossRef]
- Guo, L.J. Nanoimprint Lithography: Methods and Material Requirements. Adv. Mater. 2007, 19, 495–513. [Google Scholar] [CrossRef]
- Lu, C.; Lipson, R.H. Interference lithography: A powerful tool for fabricating periodic structures. Laser Photon. Rev. 2010, 4, 568–580. [Google Scholar] [CrossRef]





Publisher’s Note: MDPI stays neutral with regard to jurisdictional claims in published maps and institutional affiliations. |
© 2022 by the authors. Licensee MDPI, Basel, Switzerland. This article is an open access article distributed under the terms and conditions of the Creative Commons Attribution (CC BY) license (https://creativecommons.org/licenses/by/4.0/).
Share and Cite
Meudt, M.; Henkel, A.; Buchmüller, M.; Görrn, P. A Theoretical Description of Node-Aligned Resonant Waveguide Gratings. Optics 2022, 3, 60-69. https://doi.org/10.3390/opt3010008
Meudt M, Henkel A, Buchmüller M, Görrn P. A Theoretical Description of Node-Aligned Resonant Waveguide Gratings. Optics. 2022; 3(1):60-69. https://doi.org/10.3390/opt3010008
Chicago/Turabian StyleMeudt, Maik, Andreas Henkel, Maximilian Buchmüller, and Patrick Görrn. 2022. "A Theoretical Description of Node-Aligned Resonant Waveguide Gratings" Optics 3, no. 1: 60-69. https://doi.org/10.3390/opt3010008
APA StyleMeudt, M., Henkel, A., Buchmüller, M., & Görrn, P. (2022). A Theoretical Description of Node-Aligned Resonant Waveguide Gratings. Optics, 3(1), 60-69. https://doi.org/10.3390/opt3010008

