Dynamic Response Analysis of Wind Turbine Structure to Turbulent Wind Load: Comparative Assessment in Time and Frequency Domains
Abstract
:1. Introduction
2. Materials and Methods
2.1. Modeling the Wind Turbine Structure
2.2. Frequency Domain Analysis
2.3. Time Domain Analysis
- o
- Provide initial values for displacement, velocity and external force:
- o
- Solve for the acceleration:
- o
- Define an integration step Δt constant in the iterative process.
- o
- Determine an effective stiffness matrix :
- o
- Determine auxiliary matrices and :
- o
- Then proceed to an iterative process as follows:
- a.
- Solve the equation of dynamic equilibrium for the calculation of as:
- b.
- Determine displacement, velocity and acceleration variations as:
- c.
- Update the variables :
2.4. Evaluation and Validation Processes
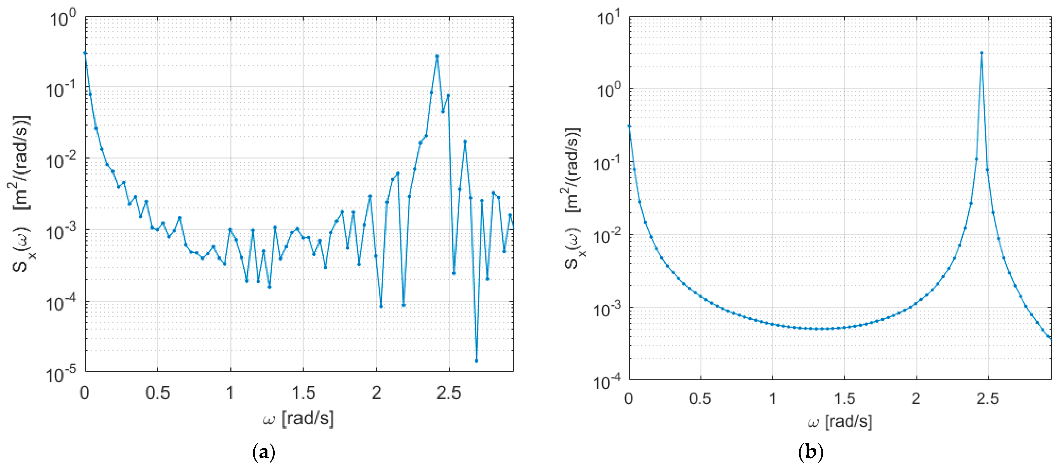
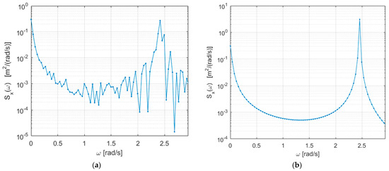
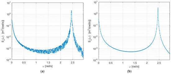
3. Results and Discussion
4. Conclusions
Author Contributions
Funding
Data Availability Statement
Acknowledgments
Conflicts of Interest
References
- Tamura, Y.; Kareem, A. Advanced Structural Wind Engineering; Springer: Tokyo, Japan, 2013. [Google Scholar]
- Burton, T.; Jenkins, N.; Sharpe, D.; Bossanyi, E. Wind Energy Handbook; John Wiley and Sons Ltd.: Chichester, UK, 2011. [Google Scholar]
- Shinozuka, M.; Jan, C.M. Digital simulation of random processes and its applications. J. Sound Vib. 1972, 25, 111–128. [Google Scholar] [CrossRef]
- Shinozuka, M. Monte Carlo solution of structural dynamics. Comput. Struct. 1972, 2, 855–874. [Google Scholar] [CrossRef]
- Wittig, L.E.; Sinha, A.K. Simulation of multi-correlated random processes using the FFT algorithm. J. Acoust. Soc. A 1975, 58, 630–634. [Google Scholar] [CrossRef]
- Newmark, N.M. A Method of computation for structural dynamics. ASCE J. Eng. Mech. Div. 1959, 85, 67–94. [Google Scholar] [CrossRef]
- Mirza, M.; Irfan, B.; Thomas, G. Recommendations for Practical Use of Numerical Methods in Linear and Nonlinear Dynamics; Hamburg University of Applied Sciences: Hamburg, Germany, 2021; Available online: https://www.coursehero.com/ (accessed on 22 April 2020).
- Wirsching, P.H.; Paez, T.L.; Keith, O. Random Vibrations Theory and Practice; John Wiley and Sons: New York, NY, USA, 1995. [Google Scholar]
- Anders, B. Noise and Vibration Analysis; John Wiley and Sons Ltd.: Hoboken, NJ, USA, 2011. [Google Scholar]
- Avitabile, P. Tutorial Notes: Structural Dynamics and Experimental Modal Analysis; University of Massachusetts: Lowell, MA, USA, 2000. [Google Scholar]
- Naess, A.; Moan, T. Stochastic Dynamics of Marine Structures; Cambridge University Press: Cambridge, UK, 2013. [Google Scholar]
- Barooni, M.; Ali, N.A.; Ashuri, T. An open-source comprehensive numerical model for dynamic response and loads analysis of floating offshore wind turbines. Energy 2018, 154, 442–454. [Google Scholar] [CrossRef]
- Cheng, X.; Wang, T.; Zhang, J.; Wang, P.; Tu, W.; Li, W. Dynamic response analysis of monopile offshore wind turbines to seismic and environmental loading considering the stiffness degradation of clay. Comput. Geotech. 2023, 155, 105210. [Google Scholar] [CrossRef]
- Bachynski, E.; Thys, M.; Delhaye, V. Dynamic response of a monopile wind turbine in waves: Experimental uncertainty analysis for validation of numerical tools. Appl. Ocean Res. 2019, 89, 96–114. [Google Scholar] [CrossRef]
- Xi, R.; Xu, C.; Du, X.; El Naggar, M.H.; Wang, P.; Liu, L.; Zhai, E. Framework for dynamic response analysis of monopile supported offshore wind turbine excited by combined wind-wave-earthquake loading. Ocean Eng. 2022, 247, 110743. [Google Scholar] [CrossRef]
- Sharma, T.; Choudhury, S.; Murari, V.; Shukla, K.K. The effect of shear web on the dynamic response of a wind turbine blade subjected to actual dynamic load. J. Mater. Des. Appl. 2021, 235, 1868–1878. [Google Scholar] [CrossRef]
- Tu, W.; He, Y.; Liu, L.; Liu, Z.; Zhang, X.; Ke, W. Time Domain Nonlinear Dynamic Response Analysis of Offshore Wind Turbines on Gravity Base Foundation under Wind and Wave Loads. J. Mar. Sci. Eng. 2022, 10, 1628. [Google Scholar] [CrossRef]
- Russo, S.; Contestabile, P.; Bardazzi, A.; Leone, E.; Iglesias, G.; Tomasicchio, G.R.; Vicinanza, D. Dynamic Loads and Response of a Spar BuoyWind Turbine with Pitch-Controlled Rotating Blades: An Experimental Study. Energies 2021, 14, 3598. [Google Scholar] [CrossRef]
- Kim, J.; Heo, S.; Koo, W. Analysis of Dynamic Response Characteristics for 5 MW Jacket-type Fixed Offshore Wind Turbine. J. Ocean. Eng. Technol. 2021, 35, 347–359. [Google Scholar] [CrossRef]
- Guo, S.; Li, Y.; Chen, W. Analysis on dynamic interaction between flexible bodies of large-sized wind turbine and its response to random wind loads. Renew. Energy 2021, 163, e123–e137. [Google Scholar] [CrossRef]
- Wang, S.; Huang, Y.; Li, L.; Liu, C.; Zhang, D. Dynamic analysis of wind turbines including nacelle–tower–foundation interaction for condition of incomplete structural parameters. Adv. Mech. Eng. 2017, 9, 1687814017692940. [Google Scholar] [CrossRef]
- Xie, S.Y.; Zhang, C.L.; He, J.; Jiang, J.; Gao, J. Dynamic response analysis and vibration control for a fixed-bottom offshore wind turbine subjected to multiple external excitations. China Ocean Eng. 2022, 36, 50–64. [Google Scholar] [CrossRef]
- Zhang, R.; Tang, Y.; Hu, J.; Ruan, S.; Chen, C. Dynamic response in frequency and time domains of a floating foundation for offshore wind turbines. Ocean Eng. 2013, 60, 115–123. [Google Scholar] [CrossRef]
- Tempel, D.-P.; Molenaar, D.-P. Wind turbine structural dynamics- A review of the principles for modern power generation, onshore and offshore. Wind. Eng. 2002, 26, 211–220. [Google Scholar] [CrossRef]
- Bending Frequencies of Beams, Rods, and Pipes. Available online: http://www.vibrationdata.com (accessed on 3 June 2023).
- Paz, M.; Kim, Y.H. Structural Dynamics: Theory and Computation, 6th ed.; Springer: Chama, Switzerland, 2019. [Google Scholar]
- IEC 61400-1, 2005-08; Wind Turbines Part 1: Design Requirements. International Electro-Technical Commission: Geneva, Belgium, 2005.
- Mendes, P.T.; Rodrigues, J.A.; Mendes, P. A Numerical Solution for Structural Vibration Problems; SYMCOMP: Lisbon, Portugal, 2013. [Google Scholar]










Disclaimer/Publisher’s Note: The statements, opinions and data contained in all publications are solely those of the individual author(s) and contributor(s) and not of MDPI and/or the editor(s). MDPI and/or the editor(s) disclaim responsibility for any injury to people or property resulting from any ideas, methods, instructions or products referred to in the content. |
© 2023 by the authors. Licensee MDPI, Basel, Switzerland. This article is an open access article distributed under the terms and conditions of the Creative Commons Attribution (CC BY) license (https://creativecommons.org/licenses/by/4.0/).
Share and Cite
Kelele, H.K.; Kahsay, M.B.; Nielsen, T.K. Dynamic Response Analysis of Wind Turbine Structure to Turbulent Wind Load: Comparative Assessment in Time and Frequency Domains. Appl. Mech. 2023, 4, 841-855. https://doi.org/10.3390/applmech4030043
Kelele HK, Kahsay MB, Nielsen TK. Dynamic Response Analysis of Wind Turbine Structure to Turbulent Wind Load: Comparative Assessment in Time and Frequency Domains. Applied Mechanics. 2023; 4(3):841-855. https://doi.org/10.3390/applmech4030043
Chicago/Turabian StyleKelele, Hailay Kiros, Mulu Bayray Kahsay, and Torbjørn Kristian Nielsen. 2023. "Dynamic Response Analysis of Wind Turbine Structure to Turbulent Wind Load: Comparative Assessment in Time and Frequency Domains" Applied Mechanics 4, no. 3: 841-855. https://doi.org/10.3390/applmech4030043
APA StyleKelele, H. K., Kahsay, M. B., & Nielsen, T. K. (2023). Dynamic Response Analysis of Wind Turbine Structure to Turbulent Wind Load: Comparative Assessment in Time and Frequency Domains. Applied Mechanics, 4(3), 841-855. https://doi.org/10.3390/applmech4030043

