Predicting Chlorophyll-a in the Mauritanian–Senegalese Coastal Upwelling from Tropical Sea Surface Temperature
Abstract
1. Introduction
2. Materials and Methods
2.1. Identification of Predictors
2.2. Statistical Prediction Models
3. Results
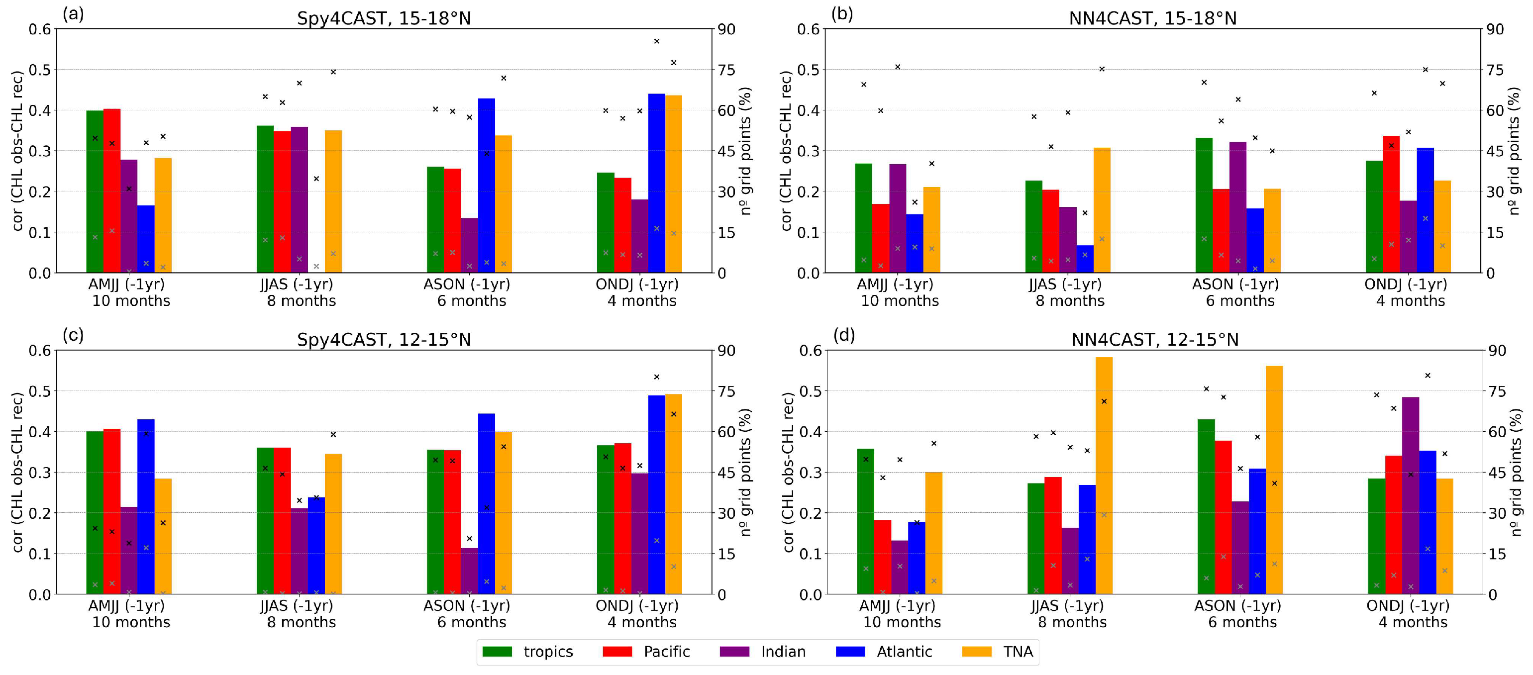
3.1. Assessment of SST Drivers and Chl-a Predictability Derived from MCA. Spy4CAST Model
3.2. Assessment of Chl-a Predictability Derived from DNN. NN4CAST Model
3.3. Role of the Atlantic Niño in AMJJ (−1 yr) and Atmospheric Impact in the MSCU
4. Discussion and Conclusions
Supplementary Materials
Author Contributions
Funding
Data Availability Statement
Conflicts of Interest
References
- Lathuiliere, C.; Echevin, V.; Lévy, M. Seasonal and intraseasonal surface chlorophyll-a variability along the northwest African coast. J. Geophys. Res. Ocean. 2008, 113. [Google Scholar] [CrossRef]
- Messié, M.; Chavez, F.P. Seasonal regulation of primary production in eastern boundary upwelling systems. Prog. Oceanogr. 2015, 134, 1–18. [Google Scholar] [CrossRef]
- Arteaga, L.; Pahlow, M.; Oschlies, A. Global patterns of phytoplankton nutrient and light colimitation inferred from an optimality-based model. Glob. Biogeochem. Cycles 2014, 28, 648–661. [Google Scholar] [CrossRef]
- Cassou, C.; Deser, C.; Terray, L.; Hurrell, J.W.; Drévillon, M. Summer sea surface temperature conditions in the North Atlantic and their impact upon the atmospheric circulation in early winter. J. Clim. 2004, 17, 3349–3363. [Google Scholar] [CrossRef]
- Ham, Y.G.; Kug, J.S.; Park, J.Y.; Jin, F.F. Sea surface temperature in the north tropical Atlantic as a trigger for El Niño/Southern Oscillation events. Nat. Geosci. 2013, 6, 112–116. [Google Scholar] [CrossRef]
- Cai, W.; Wu, L.; Lengaigne, M.; Li, T.; McGregor, S.; Kug, J.S.; Yu, J.Y.; Stuecker, M.F.; Santoso, A.; Li, X.; et al. Pantropical climate interactions. Science 2019, 363, eaav4236. [Google Scholar] [CrossRef] [PubMed]
- Latif, M.; Barnett, T.P. Interactions of the tropical oceans. J. Clim. 1995, 8, 952–964. [Google Scholar] [CrossRef]
- Saravanan, R.; Chang, P. Interaction between tropical Atlantic variability and El Niño–Southern oscillation. J. Clim. 2000, 13, 2177–2194. [Google Scholar] [CrossRef]
- Wang, C. Atlantic climate variability and its associated atmospheric circulation cells. J. Clim. 2002, 15, 1516–1536. [Google Scholar] [CrossRef]
- García-Serrano, J.; Cassou, C.; Douville, H.; Giannini, A.; Doblas-Reyes, F.J. Revisiting the ENSO teleconnection to the tropical North Atlantic. J. Clim. 2017, 30, 6945–6957. [Google Scholar] [CrossRef]
- Roy, C.; Reason, C. ENSO related modulation of coastal upwelling in the eastern Atlantic. Prog. Oceanogr. 2001, 49, 245–255. [Google Scholar] [CrossRef]
- Wade, M.; Rodríguez-Fonseca, B.; Martín-Rey, M.; Lazar, A.; López-Parages, J.; Gaye, A.T. Interdecadal changes in SST variability drivers in the Senegalese-upwelling: The impact of ENSO. Clim. Dyn. 2023, 60, 667–685. [Google Scholar] [CrossRef]
- Pradhan, Y.; Lavender, S.J.; Hardman-Mountford, N.J.; Aiken, J. Seasonal and inter-annual variability of chlorophyll-a concentration in the Mauritanian upwelling: Observation of an anomalous event during 1998–1999. Deep Sea Res. Part II Top. Stud. Oceanogr. 2006, 53, 1548–1559. [Google Scholar] [CrossRef]
- López-Parages, J.; Auger, P.A.; Rodríguez-Fonseca, B.; Keenlyside, N.; Gaetan, C.; Rubino, A.; Arisido, M.W.; Brochier, T. El Nino as a predictor of round sardinella distribution along the northwest African coast. Prog. Oceanogr. 2020, 186, 102341. [Google Scholar] [CrossRef]
- Zebiak, S.E. Air–sea interaction in the equatorial Atlantic region. J. Clim. 1993, 6, 1567–1586. [Google Scholar] [CrossRef]
- Chenillat, F.; Illig, S.; Jouanno, J.; Awo, F.M.; Alory, G.; Brehmer, P. How do climate modes shape the chlorophyll-a interannual variability in the tropical Atlantic? Geophys. Res. Lett. 2021, 48, e2021GL093769. [Google Scholar] [CrossRef]
- Saji, N.; Goswami, B.N.; Vinayachandran, P.; Yamagata, T. A dipole mode in the tropical Indian Ocean. Nature 1999, 401, 360–363. [Google Scholar] [CrossRef]
- Ma, X.; Chen, G.; Li, Y.; Zeng, L. Interannual variability of sea surface chlorophyll a in the southern tropical Indian Ocean: Local versus remote forcing. Deep Sea Res. Part I Oceanogr. Res. Pap. 2022, 190, 103914. [Google Scholar] [CrossRef]
- Rodríguez-Fonseca, B.; Polo, I.; García-Serrano, J.; Losada, T.; Mohino, E.; Mechoso, C.R.; Kucharski, F. Are Atlantic Niños enhancing Pacific ENSO events in recent decades? Geophys. Res. Lett. 2009, 36, L20705. [Google Scholar] [CrossRef]
- Kucharski, F.; Syed, F.; Burhan, A.; Farah, I.; Gohar, A. Tropical Atlantic influence on Pacific variability and mean state in the twentieth century in observations and CMIP5. Clim. Dyn. 2015, 44, 881–896. [Google Scholar] [CrossRef]
- Jiang, L.; Li, T. Impacts of tropical North Atlantic and equatorial Atlantic SST anomalies on ENSO. J. Clim. 2021, 34, 5635–5655. [Google Scholar] [CrossRef]
- Webster, P.J.; Moore, A.M.; Loschnigg, J.P.; Leben, R.R. Coupled ocean–atmosphere dynamics in the Indian Ocean during 1997–98. Nature 1999, 401, 356–360. [Google Scholar] [CrossRef]
- Klein, S.A.; Soden, B.J.; Lau, N.C. Remote sea surface temperature variations during ENSO: Evidence for a tropical atmospheric bridge. J. Clim. 1999, 12, 917–932. [Google Scholar] [CrossRef]
- Huang, G.; Hu, K.; Qu, X.; Tao, W.; Yao, S.; Zhao, G.; Jiang, W. A review about Indian Ocean basin mode and its impacts on East Asian summer climate. Chin. J. Atmos. Sci. 2016, 40, 121–130. [Google Scholar]
- Xie, S.P.; Hu, K.; Hafner, J.; Tokinaga, H.; Du, Y.; Huang, G.; Sampe, T. Indian Ocean capacitor effect on Indo–western Pacific climate during the summer following El Niño. J. Clim. 2009, 22, 730–747. [Google Scholar] [CrossRef]
- Izumo, T.; Vialard, J.; Lengaigne, M.; de Boyer Montegut, C.; Behera, S.K.; Luo, J.J.; Cravatte, S.; Masson, S.; Yamagata, T. Influence of the state of the Indian Ocean Dipole on the following year’s El Niño. Nat. Geosci. 2010, 3, 168–172. [Google Scholar] [CrossRef]
- Okumura, Y.M.; Deser, C. Asymmetry in the duration of El Niño and La Niña. J. Clim. 2010, 23, 5826–5843. [Google Scholar] [CrossRef]
- Ding, H.; Keenlyside, N.S.; Latif, M. Impact of the equatorial Atlantic on the El Niño southern oscillation. Clim. Dyn. 2012, 38, 1965–1972. [Google Scholar] [CrossRef]
- Keenlyside, N.S.; Ding, H.; Latif, M. Potential of equatorial Atlantic variability to enhance El Niño prediction. Geophys. Res. Lett. 2013, 40, 2278–2283. [Google Scholar] [CrossRef]
- Luo, J.J.; Liu, G.; Hendon, H.; Alves, O.; Yamagata, T. Inter-basin sources for two-year predictability of the multi-year La Niña event in 2010–2012. Sci. Rep. 2017, 7, 2276. [Google Scholar] [CrossRef]
- Rayner, N.; Parker, D.E.; Horton, E.; Folland, C.K.; Alexander, L.V.; Rowell, D.; Kent, E.C.; Kaplan, A. Global analyses of sea surface temperature, sea ice, and night marine air temperature since the late nineteenth century. J. Geophys. Res. Atmos. 2003, 108, 4407. [Google Scholar] [CrossRef]
- Gohin, F.; Druon, J.; Lampert, L. A five channel chlorophyll concentration algorithm applied to SeaWiFS data processed by SeaDAS in coastal waters. Int. J. Remote. Sens. 2002, 23, 1639–1661. [Google Scholar] [CrossRef]
- Hu, C.; Lee, Z.; Franz, B. Chlorophyll aalgorithms for oligotrophic oceans: A novel approach based on three-band reflectance difference. J. Geophys. Res. Ocean. 2012, 117, C01011. [Google Scholar] [CrossRef]
- Hersbach, H.; Bell, B.; Berrisford, P.; Hirahara, S.; Horányi, A.; Muñoz-Sabater, J.; Nicolas, J.; Peubey, C.; Radu, R.; Schepers, D.; et al. The ERA5 global reanalysis. Q. J. R. Meteorol. Soc. 2020, 146, 1999–2049. [Google Scholar] [CrossRef]
- Sylla, A.; Mignot, J.; Capet, X.; Gaye, A.T. Weakening of the Senegalo–Mauritanian upwelling system under climate change. Clim. Dyn. 2019, 53, 4447–4473. [Google Scholar] [CrossRef]
- Bretherton, C.S.; Smith, C.; Wallace, J.M. An intercomparison of methods for finding coupled patterns in climate data. J. Clim. 1992, 5, 541–560. [Google Scholar] [CrossRef]
- Widmann, M. One-dimensional CCA and SVD, and their relationship to regression maps. J. Clim. 2005, 18, 2785–2792. [Google Scholar] [CrossRef]
- Polo, I.; Rodríguez-Fonseca, B.; Losada, T.; García-Serrano, J. Tropical Atlantic variability modes (1979–2002). Part I: Time-evolving SST modes related to West African rainfall. J. Clim. 2008, 21, 6457–6475. [Google Scholar] [CrossRef]
- Durán-Fonseca, P.; Rodríguez-Fonseca, B. Spy4Cast Source Code (1.0). 2024. Available online: https://github.com/pabloduran016/Spy4CastManual (accessed on 9 September 2025).
- Galván-Fraile, V.; Rodríguez-Fonseca, B.; Polo, I.; Martín-Rey, M.; Moreno-García, M. Assessing seasonal climate predictability using a deep learning application: NN4CAST. EGUsphere 2025, 2025, 1–28. [Google Scholar] [CrossRef]
- Pastor, M.V.; Palter, J.B.; Pelegrí, J.L.; Dunne, J.P. Physical drivers of interannual chlorophyll variability in the eastern subtropical North Atlantic. J. Geophys. Res. Ocean. 2013, 118, 3871–3886. [Google Scholar] [CrossRef]
- Zhang, W.; Wang, Z.; Stuecker, M.F.; Turner, A.G.; Jin, F.F.; Geng, X. Impact of ENSO longitudinal position on teleconnections to the NAO. Clim. Dyn. 2019, 52, 257–274. [Google Scholar] [CrossRef]
- Chavez, F.P.; Messié, M. A comparison of eastern boundary upwelling ecosystems. Prog. Oceanogr. 2009, 83, 80–96. [Google Scholar] [CrossRef]
- Bindoff, N.L.; Cheung, W.W.; Kairo, J.G.; Arístegui, J.; Guinder, V.A.; Hallberg, R.; Hilmi, N.; Jiao, N.; Levin, L.; O’Donoghue, S.; et al. Changing Ocean, Marine Ecosystems, and Dependent Communities; Cambridge University Press: Cambridge, UK, 2022. [Google Scholar]
- Elhadj Bara, D.; Pierre, F. Analysis of Fish Consumption in the ECOWAS Region and Mauritania: Current Constraints and Future Challenges. Sustainability 2024, 16, 5429. [Google Scholar] [CrossRef]
- Park, J.Y.; Stock, C.A.; Dunne, J.P.; Yang, X.; Rosati, A. Seasonal to multiannual marine ecosystem prediction with a global Earth system model. Science 2019, 365, 284–288. [Google Scholar] [CrossRef]
- Gómara, I.; Rodríguez-Fonseca, B.; Mohino, E.; Losada, T.; Polo, I.; Coll, M. Skillful prediction of tropical Pacific fisheries provided by Atlantic Niños. Environ. Res. Lett. 2021, 16, 054066. [Google Scholar] [CrossRef]
- Richter, I. Climate model biases in the eastern tropical oceans: Causes, impacts and ways forward. Wiley Interdiscip. Rev. Clim. Change 2015, 6, 345–358. [Google Scholar] [CrossRef]
- Richter, I.; Xie, S.P. On the origin of equatorial Atlantic biases in coupled general circulation models. Clim. Dyn. 2008, 31, 587–598. [Google Scholar] [CrossRef]
- Tittensor, D.P.; Eddy, T.D.; Lotze, H.K.; Galbraith, E.D.; Cheung, W.; Barange, M.; Blanchard, J.L.; Bopp, L.; Bryndum-Buchholz, A.; Büchner, M.; et al. A protocol for the intercomparison of marine fishery and ecosystem models: Fish-MIP v1. 0. Geosci. Model Dev. 2018, 11, 1421–1442. [Google Scholar] [CrossRef]
- Calvo-Miguélez, E. Predicting Chlorophyll-A in the Mauritanian-Senegalese Coastal Upwelling from Tropical Sea Surface Temperature—Data. 2025. Available online: https://zenodo.org/records/15546638 (accessed on 29 May 2025).








Disclaimer/Publisher’s Note: The statements, opinions and data contained in all publications are solely those of the individual author(s) and contributor(s) and not of MDPI and/or the editor(s). MDPI and/or the editor(s) disclaim responsibility for any injury to people or property resulting from any ideas, methods, instructions or products referred to in the content. |
© 2025 by the authors. Licensee MDPI, Basel, Switzerland. This article is an open access article distributed under the terms and conditions of the Creative Commons Attribution (CC BY) license (https://creativecommons.org/licenses/by/4.0/).
Share and Cite
Calvo-Miguélez, E.; Rodríguez-Fonseca, B.; Galván-Fraile, V.; Gómara, I. Predicting Chlorophyll-a in the Mauritanian–Senegalese Coastal Upwelling from Tropical Sea Surface Temperature. Oceans 2025, 6, 81. https://doi.org/10.3390/oceans6040081
Calvo-Miguélez E, Rodríguez-Fonseca B, Galván-Fraile V, Gómara I. Predicting Chlorophyll-a in the Mauritanian–Senegalese Coastal Upwelling from Tropical Sea Surface Temperature. Oceans. 2025; 6(4):81. https://doi.org/10.3390/oceans6040081
Chicago/Turabian StyleCalvo-Miguélez, Elena, Belén Rodríguez-Fonseca, Víctor Galván-Fraile, and Iñigo Gómara. 2025. "Predicting Chlorophyll-a in the Mauritanian–Senegalese Coastal Upwelling from Tropical Sea Surface Temperature" Oceans 6, no. 4: 81. https://doi.org/10.3390/oceans6040081
APA StyleCalvo-Miguélez, E., Rodríguez-Fonseca, B., Galván-Fraile, V., & Gómara, I. (2025). Predicting Chlorophyll-a in the Mauritanian–Senegalese Coastal Upwelling from Tropical Sea Surface Temperature. Oceans, 6(4), 81. https://doi.org/10.3390/oceans6040081

