Statistical Decomposition of the Recent Increase in the Intensity of Tropical Storms
Abstract
1. Introduction
- (a)
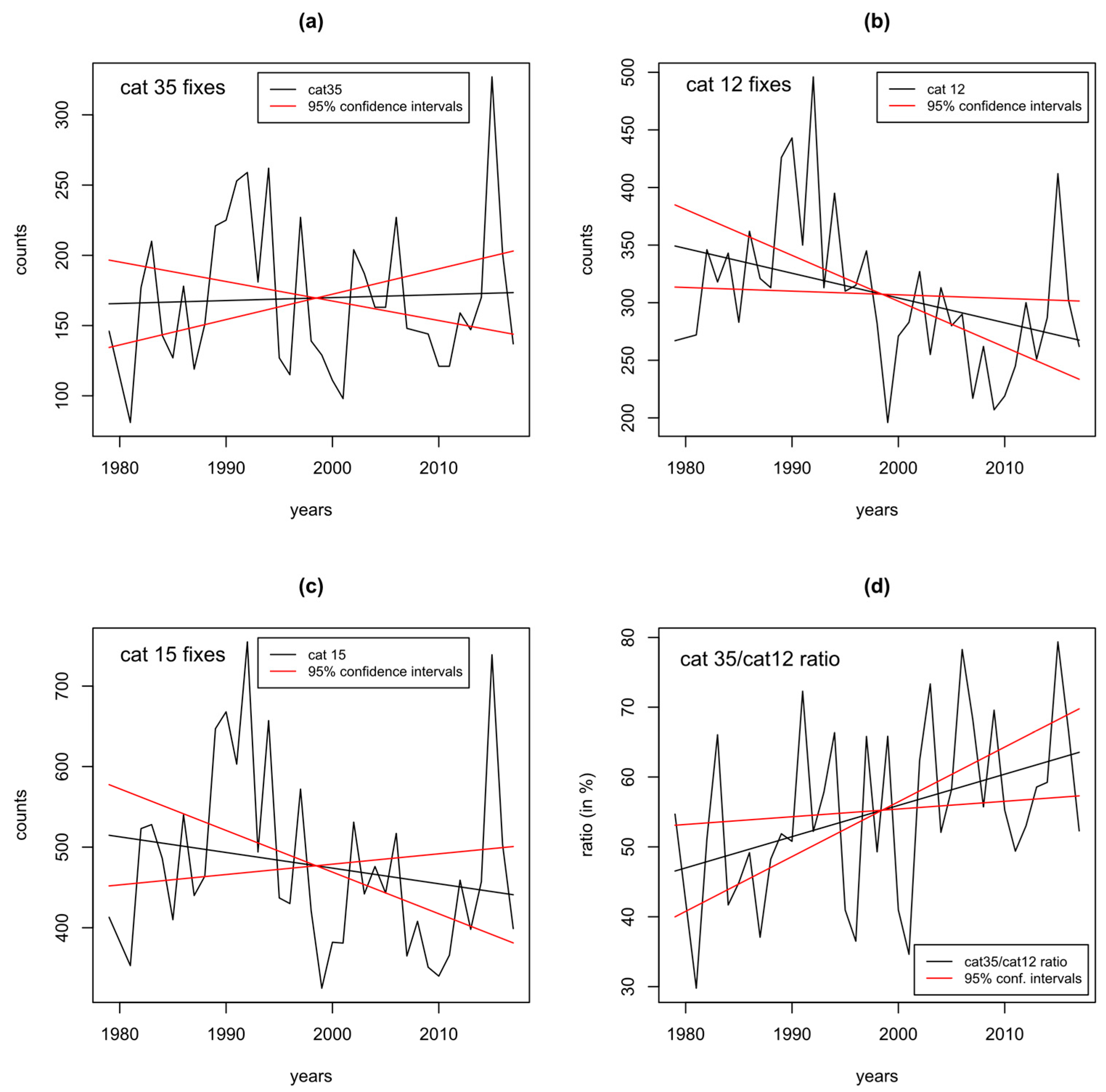
- is the increase in the MH ratio driven by changes in the numerator (the number of cat35 fixes), the denominator (the number of cat15 fixes), or both?
- (b)
- is the increase in the MH ratio driven by any particular strength categories, or is it driven by several strength categories?
- (c)
- is the increase driven by any particular regions, or is it the result of similar changes in all regions?
2. Dataset and Increase in the MH Ratio
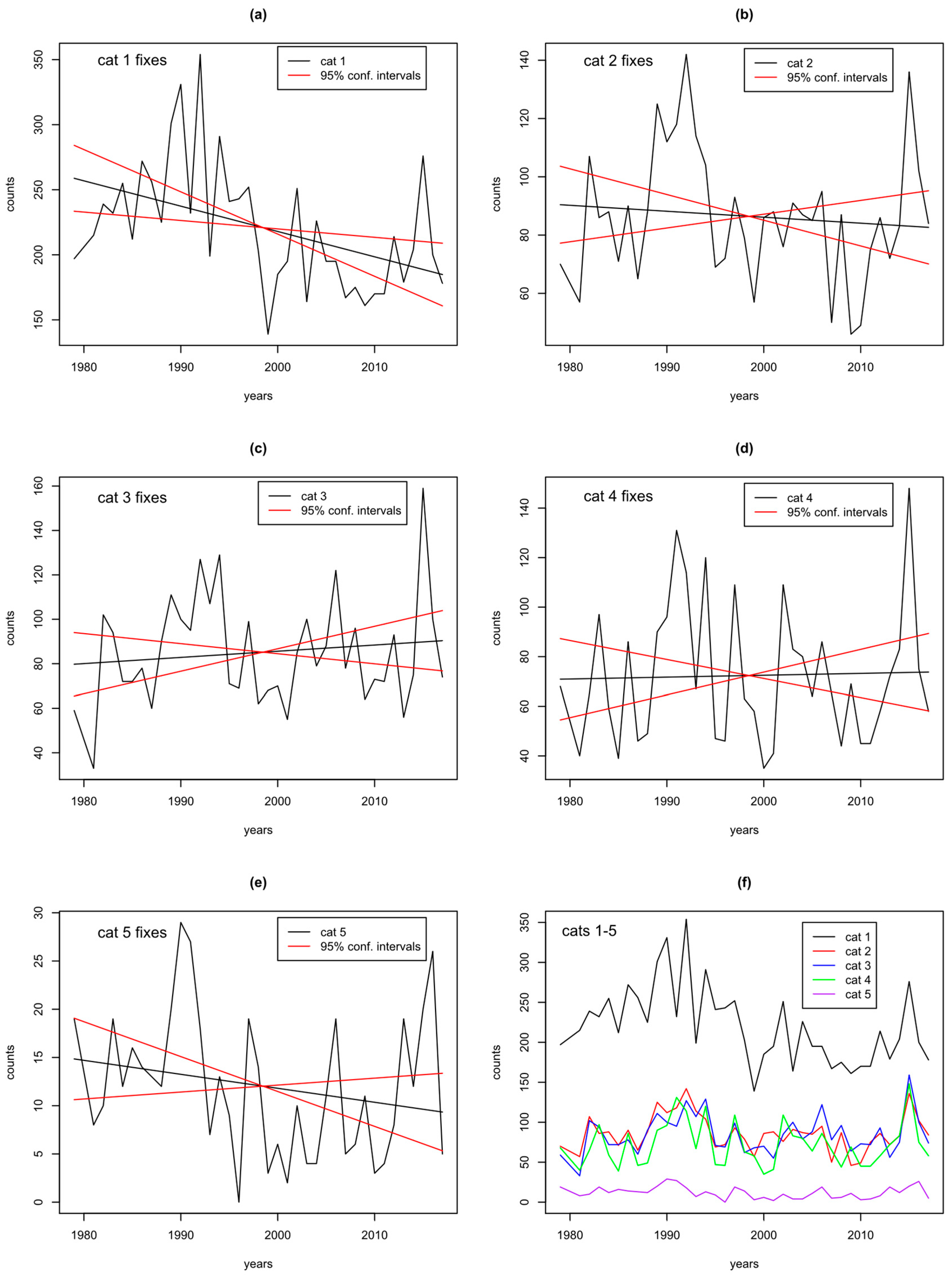
3. Results
3.1. Numerator vs. Denominator
3.2. Category of Storm Fixes
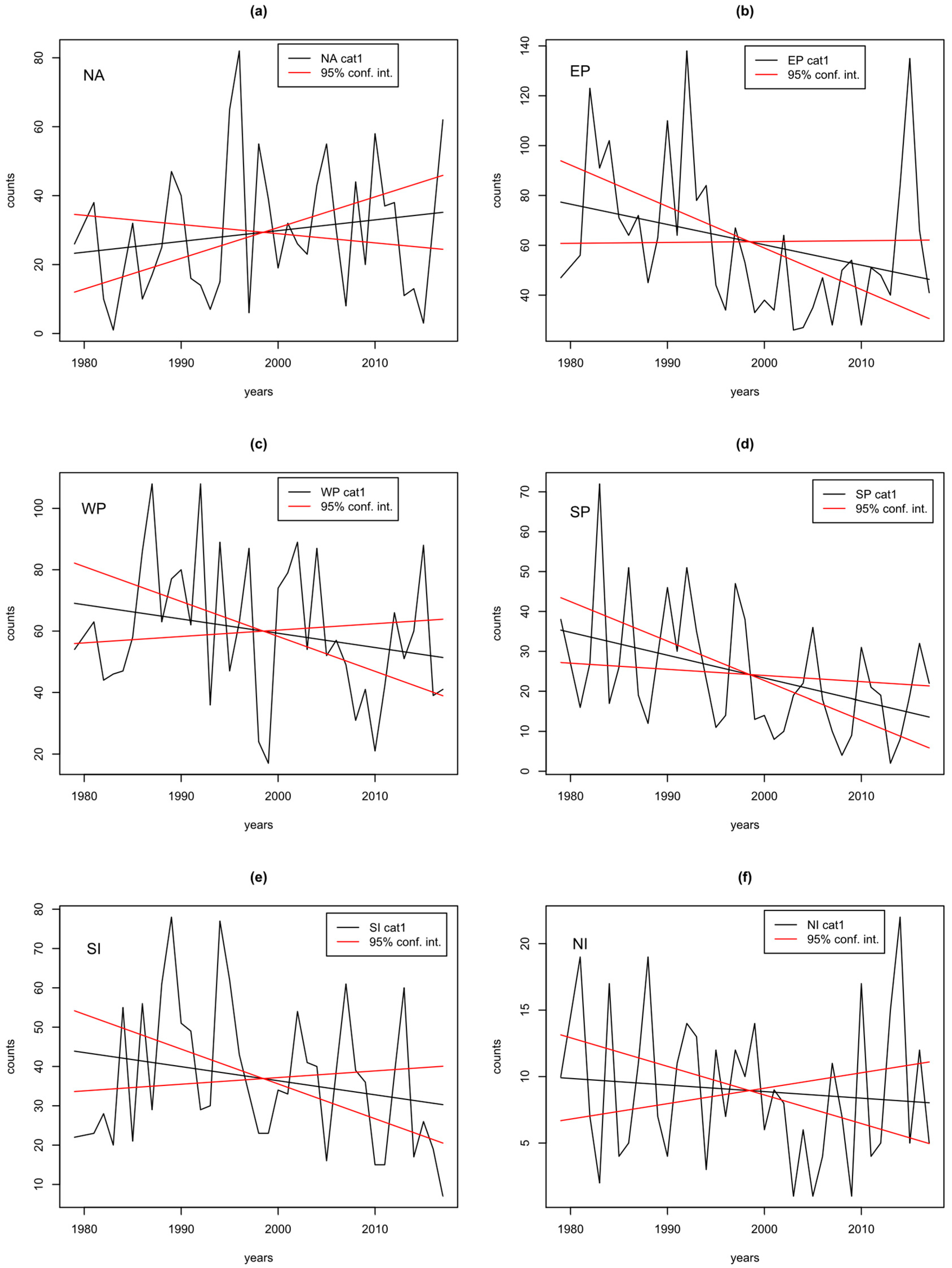
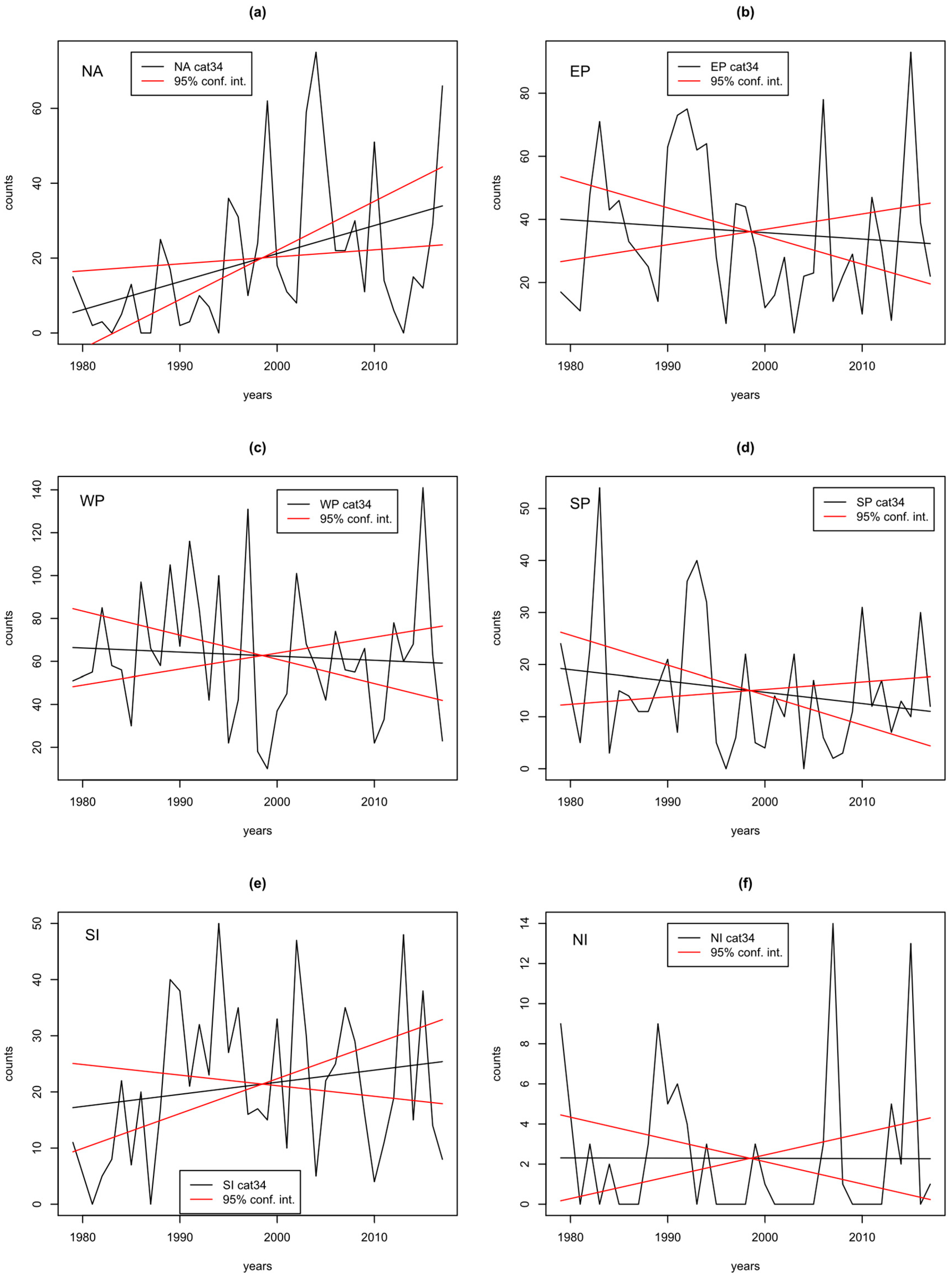
3.3. Regional Analysis
4. Quantitative Analysis
4.1. Decomposition by Numerator and Denominator
4.2. Decomposition by Category of Storm
4.3. Decomposition by Region
4.4. Regional Analysis of Ratios
4.5. Discussion
- (1)
- The upward trend in the global MH ratio is mainly driven by a downward trend in the number of cat1 fixes in basins other than the North Atlantic.
- (2)
- A secondary and less important driver is the upward trend in the number of cat34 fixes in the North Atlantic. Although this driver is less important than the decrease in the cat1 fixes, without it the trend in the MH ratio is no longer significant.
- (3)
- Of the other five basins, only one shows a significant upward trend in the basin-level ratio (while noting that the trends in individual basins are subject to a greater extent to observational errors)
- (4)
- The small upward trend in global total cat35 fixes shown in Figure 2a does not reflect a uniform global increase in cat35 fixes, but is driven by the large increase in the North Atlantic, an increase in the Southern Indian Ocean, and decreases in the three Pacific basins.
5. Conclusions
Author Contributions
Funding
Acknowledgments
Conflicts of Interest
Appendix A


References
- Emanuel, K. The dependence of hurricane intensity of climate. Nature 1987, 326, 483–485. [Google Scholar] [CrossRef]
- Sobel, A.; Camargo, S.; Hall, T.; Lee, C.; Tippett, M.; Wing, A. Human influence on tropical cyclone intensity. Science 2016, 353, 242–246. [Google Scholar] [CrossRef] [PubMed]
- Knutson, T.; Camargo, S.; Chan, J.; Emanuel, K.; Ho, C.; Kossin, J.; Mohapatra, M.; Satoh, M.; Sugi, M.; Walsh, K.; et al. Tropical cyclones and climate change assessment: Part II: Projected response to anthropogenic warming. Bull. Am. Meteorol. Soc. 2020, 101, E303–E322. [Google Scholar] [CrossRef]
- Landsea, C.; Harper, B.; Hoarau, K.; Knaff, J. Can we detect trends in extreme tropical cyclones? Science 2006, 313, 452–454. [Google Scholar] [CrossRef] [PubMed]
- Goldenberg, S.; Landsea, C.; Mestas-Nunez, A.; Gray, B. The Recent Increase in Atlantic Hurricane Activity: Causes and Implications. Science 2001, 293, 474–479. [Google Scholar] [CrossRef] [PubMed]
- Elsner, J.; Kossin, J.; Jagger, T. The increasing intensity of the strongest tropical cyclones. Nature 2008, 455, 92–95. [Google Scholar] [CrossRef] [PubMed]
- Knutson, T.; Camargo, S.; Chan, J.; Emanuel, K.; Ho, C.; Kossin, J.; Mohapatra, M.; Satoh, M.; Sugi, M.; Walsh, K.; et al. Tropical cyclones and climate change assessment: Part 1: Detection and attribution. Bull. Am. Meteorol. Soc. 2019, 100, 1987–2007. [Google Scholar] [CrossRef]
- Kossin, J.; Knapp, K.; Olander, T.; Velden, C. Global Increase in major tropical cyclone exceedance probability over the past four decades. Proc. Natl. Acad. Sci. USA 2020, 117, 11975–11980. [Google Scholar] [CrossRef] [PubMed]
- Kossin, J.; Olander, T.; Knapp, K. Trend analysis with a new global record of tropical cyclone intensity. J. Clim. 2013, 26, 9960–9976. [Google Scholar] [CrossRef]
- Knapp, K.R.; Kossin, J.P. New global tropical cyclone data from ISCCP B1 geostationary satellite observations. J. Appl. Remote Sens. 2007, 1, 013505. [Google Scholar]
- Knapp, K.; Kruk, K.; Levinson, D.; Diamond, H.; Neumann, C. The international best track archive for climate stewardship (IBTrACS): Unifying tropical cyclone best track data. Bull. Am. Meteorol. Soc. 2010, 91, 363–376. [Google Scholar] [CrossRef]
- Holland, G.; Bruyere, C. Recent intense hurricane response to global climate change. Clim. Dyn. 2014, 42, 617–627. [Google Scholar] [CrossRef]
- Dunstone, N.J.; Smith, D.M.; Booth, B.B.; Hermanson, L.; Eade, R. Anthropogenic aerosol forcing of Atlantic tropical storms. Nat. Geosci. 2013, 6, 534–539. [Google Scholar] [CrossRef]
- Murikami, H.; Delworth, T.L.; Cooke, W.F.; Zhao, M.; Xiang, B.; Hsu, P.C. Detected climatic change in global distribution of tropical cyclones. Proc. Natl. Acad. Sci. USA 2020, 117, 10706–10714. [Google Scholar] [CrossRef] [PubMed]
- Yan, X.; Zhang, R.; Knutson, T. The role of Atlantic overturning circulation in the recent decline of Atlantic major hurricane frequency. Nat. Commun. 2017, 8, 1695. [Google Scholar] [CrossRef] [PubMed]
- Pausata, F.S.; Camargo, S.J. Tropical cyclone activity affected by volcanically induced ITCZ shifts. Proc. Natl. Acad. Sci. USA 2019, 116, 7732–7737. [Google Scholar] [CrossRef] [PubMed]




| Trend | Significance | |
|---|---|---|
| cat1 | −1.95 | 0.004 |
| cat2 | −0.20 | 0.54 |
| cat3 | 0.28 | 0.45 |
| cat4 | 0.08 | 0.86 |
| cat5 | −0.14 | 0.18 |
| cat12 | −2.15 | 0.02 |
| cat15 | −1.94 | 0.23 |
| cat35 | 0.21 | 0.79 |
| cat1 | cat2 | cat3 | cat4 | cat5 | Total | |
|---|---|---|---|---|---|---|
| NA | −12 | −12 | 31 | 23 | 3 | 33 |
| EP | 32 | 6 | −7 | −7 | −1 | 23 |
| WP | 18 | 5 | 2 | −16 | −12 | −3 |
| SP | 23 | 8 | −10 | −5 | −1 | 15 |
| SI | 14 | 3 | 5 | 10 | 1 | 33 |
| NI | 2 | −1 | 0 | 0 | 0 | 1 |
| total | 77 | 9 | 21 | 5 | −10 | 102 |
| cat1 | cat2 | cat3 | cat4 | cat5 | Total | |
|---|---|---|---|---|---|---|
| NA | 12 | 12 | 17 | 13 | 1 | 55 |
| EP | −32 | −6 | −4 | −4 | −1 | −47 |
| WP | −18 | −4 | 1 | −9 | −6 | −36 |
| SP | −22 | −8 | −6 | −3 | 0 | −39 |
| SI | −14 | −3 | 3 | 6 | 1 | −7 |
| NI | −2 | 1 | 0 | 0 | 0 | −1 |
| total | −76 | −8 | 11 | 3 | −5 | −75 |
| ALL | -NA | NA | EP | WP | SP | SI | NI | |
|---|---|---|---|---|---|---|---|---|
| Trend | 0.07 | 0.05 | 0.31 | 0.04 | 0.00 | 0.12 | 0.23 | −0.04 |
| Significance | 0.0099 | 0.0910 | 0.0036 | 0.4782 | 0.9735 | 0.1576 | 0.0003 | 0.7083 |
Publisher’s Note: MDPI stays neutral with regard to jurisdictional claims in published maps and institutional affiliations. |
© 2020 by the authors. Licensee MDPI, Basel, Switzerland. This article is an open access article distributed under the terms and conditions of the Creative Commons Attribution (CC BY) license (http://creativecommons.org/licenses/by/4.0/).
Share and Cite
Jewson, S.; Lewis, N. Statistical Decomposition of the Recent Increase in the Intensity of Tropical Storms. Oceans 2020, 1, 311-325. https://doi.org/10.3390/oceans1040021
Jewson S, Lewis N. Statistical Decomposition of the Recent Increase in the Intensity of Tropical Storms. Oceans. 2020; 1(4):311-325. https://doi.org/10.3390/oceans1040021
Chicago/Turabian StyleJewson, Stephen, and Nicholas Lewis. 2020. "Statistical Decomposition of the Recent Increase in the Intensity of Tropical Storms" Oceans 1, no. 4: 311-325. https://doi.org/10.3390/oceans1040021
APA StyleJewson, S., & Lewis, N. (2020). Statistical Decomposition of the Recent Increase in the Intensity of Tropical Storms. Oceans, 1(4), 311-325. https://doi.org/10.3390/oceans1040021

