Abstract
We consider a toy model for the study of monitored dynamics in many-body quantum systems. We study the stochastic Schrödinger equation resulting from continuous monitoring with a rate of a random Hermitian operator, drawn from the Gaussian unitary ensemble (GUE) at every time t. Due to invariance by unitary transformations, the dynamics of the eigenvalues of the density matrix decouples from that of the eigenvectors, and is exactly described by stochastic equations that we derive. We consider two regimes: in the presence of an extra dephasing term, which can be generated by imperfect quantum measurements, the density matrix has a stationary distribution, and we show that in the limit of large size it matches with the inverse-Marchenko–Pastur distribution. In the case of perfect measurements, instead, purification eventually occurs and we focus on finite-time dynamics. In this case, remarkably, we find an exact solution for the joint probability distribution of ’s at each time t and for each size n. Two relevant regimes emerge: at short times , the spectrum is in a Coulomb gas regime, with a well-defined continuous spectral distribution in the limit. In that case, all moments of the density matrix become self-averaging and it is possible to exactly characterize the entanglement spectrum. In the limit of large times , one enters instead a regime in which the eigenvalues are exponentially separated , but fluctuations play an essential role. We are still able to characterize the asymptotic behaviors of the entanglement entropy in this regime.
1. Introduction
In recent years, the study of quantum many-body systems in the presence of continuous monitoring of its local degrees of freedom has received much attention. The motivations for this case are of various kinds: first, from a practical point of view, the combinations of measurements and quantum gates are essential ingredients of quantum computation [1,2]. In addition to this fact, recent studies have shown that quantum measurements (both projective and weak) can induce peculiar phase transitions, denominated measurement-induced phase transitions (MIPTs) [3,4,5], which arise exclusively by looking at the statistics of trajectories via nonlinear observables [6,7,8,9]. Prime examples are transitions in entanglement dynamics [3,4,5] or purification time [10] induced by increasing the strength of the measurements (e.g., the probability with which each site is measured in the case of projective measurements or the rate of measurements in the case of weak measurements). In this case, it was found that going from weak to strong measurements, one can move from a volume-law entangled phase [11,12,13] to an area-law one [14,15,16,17,18]. Results along these lines were initially obtained by using random circuits [19], in which quantum evolution occurs through unitary gates chosen from a uniform distribution (Haar) possibly within an appropriate subset of the unitary group. Then, in the limit of a large local Hilbert space dimension, it has been shown that a phase transition is present, and the corresponding critical point lies in the directed percolation universality class. However, it has been clarified that this simplification is not accurate in general [20]: the critical point is described by a peculiar conformal (scale invariant) theory not exactly solvable in general [21,22,23]. Following these results, much theoretical [24,25] and numerical [26,27,28,29] work has been devoted to thoroughly characterizing MIPTs by linking them to various other phenomena, such as quantum error correction [30], purification [31,32,33], state preparation, quantum communication [34], and the complexity of classical simulation of quantum systems [35,36]. Recent results have attempted to study this phenomenology in simplified toy models [37,38]. However, in the case of noninteracting systems (e.g., free fermions), it has been shown that the transition has a radically different nature: the volume-law phase is immediately unstable for arbitrarily weak quantum measurements [39,40,41,42,43,44,45], and yet, in some cases, a subvolume phase can survive before the onset of the area-law phase [46,47,48,49,50], with a universality class more akin to problems of Anderson localization and disordered conductors, studied in the context of nonlinear sigma models [51,52]. In the interacting case, one of the main difficulties in studying individual trajectories of monitored systems lies in the fact that the probability of each trajectory depends on the state itself, in accordance with Born’s rule. This aspect produces an inevitable nonlinearity when considering statistical averages over measurement outcomes, similar to that faced in disordered systems. In analogy to that approach, it is possible to proceed through the replica trick, thus studying N identical copies of the system and eventually considering the relevant limit (in contrast with the more common limit relevant in disordered systems [53,54]). The fundamental ingredient for the replica limit is the possibility of performing an analytic continuation in N by means of an exact formula. Some studies avoid this problem by replacing the limit with the simpler and more explicit case, where in fact two copies are considered. Alternatively, recent results have been obtained using mean-field models [55,56,57,58], where analytical progress can be achieved. In particular, in [59], a discrete fully connected model was introduced in which the dynamics in the presence of measurements can be mapped onto a variant of branching Brownian motion and then studied in terms of the Fisher and Kolmogorov–Petrovsky–Piskunov reaction-diffusion Equation [60,61,62]. However, the nature of these results in more general problems is not completely clear. More recently, a model of spin in the presence of noise and weak measurements has been introduced in which it is possible to study the dynamics in the presence of measurements analytically and in particular explicitly consider the limit [63]: this showed that the replica limit can be highly nontrivial, with a MIPT present for any integer , but disappearing in the limit.
Beyond the study of the transition, it becomes interesting to characterize the specific behavior of the two phases. In particular, the volume-law phase is hard to simulate from the classical point of view because of the strong presence of entanglement surviving very long times. In this paper, we focus on the characterization of the dynamics in the presence of weak measurements far from the critical point, within the volume-law phase. To do so, we introduce a model of the evolution of the density matrix of the system purely based on random matrices, akin to the one considered in Ref. [64]. We choose a dynamics based on the stochastic Schrödinger Equation [65], invariant under unitary rotations in the n-dimensional Hilbert space, such that the dynamics of the eigenvalues of the density matrix decouples from that of the eigenvectors, as is the case in Dyson Brownian motion (DBM). In this way, unitary dynamics becomes inessential since it does not affect the eigenvalues. Once we have derived a stochastic equation for the evolution of the eigenvalues, we study two relevant limits of it: in the first case, we consider dynamics induced by “imperfect” measurements, i.e., a case in which a fraction of the measurement results is unknown. This is effectively equivalent to introducing a dephasing term that on each trajectory tends to bring the density matrix closer to the identity. In this case, we prove the existence of a steady state that describes the distribution of the eigenvalues: at large n, the resulting ensemble is described by an inverse-Wishart matrix. Next, we explore the dynamics for perfect measures: in this case, the steady state at long times reduces trivially to a pure random state uniformly distributed in the steady state; however, this happens with a characteristic transient at small and intermediate times. We present the exact solution for the joint distribution of eigenvalues at all times and analyze its effects on the entanglement entropy.
2. Preliminaries on Unravelings and Trajectories
The combined dynamics of a quantum system undergoing both unitary evolution and measurements can always be modeled as a quantum channel [66], whose output contains both the state of the quantum system and the classical encoding of the results of the measurements. According to Choi’s theorem [67], a quantum channel can always be expressed in terms of a set of Kraus operators , first discussed in Ref. [68]. Those provide an explicit operator-sum decomposition of the quantum channel as , and describe the dynamics by means of linear maps from the system’s Hilbert space to itself. Because of trace-norm conservation, Kraus operators satisfy the condition , with the identity operator in the Hilbert space of the quantum system. However, the specific decomposition of in terms of the Kraus operators is not unique as with , for an arbitrary unitary transformation , define the same quantum channel . Different decompositions of the same quantum channel are referred to as unravelings. In the context of repeated measurement, the Kraus operators are factorized where labels the collection of all measurement outcomes performed at each time step. For MIPTs, one is interested in the single trajectory where the initial density matrix evolves as
where the probability of a specific trajectory has been introduced according to Born’s rule as . Given any functional of the state , we define the average over trajectories as
If the results of the measurements are not known, one only has access to linear functionals of the state, such as the quantum expectation of any observable, e.g., , which depends solely on the quantum channel and is independent on the specific unraveling. However, this is not true for nonlinear functionals such as the Renyi’s entropies, where one considers the functionals
and in particular, the Von Neumann entropy defined as the limit , or, explicitly,
where denotes the eigenvalues of . Quantities like can be used as order parameters for MIPTs. By discarding the Born’s weight for trajectories, one can define a different average
where all measurement outcomes have equal weight and are statistically independent at different times. Unbiased outcomes can be obtained via post-selection by artificially attributing the same probability to each trajectory. In some contexts, is used as an approximation for the more physical . We will see that both cases emerge naturally in our framework.
3. The Model
We consider a toy model for continuous monitoring in a quantum system with a Hilbert space of dimension n. Let us explain the model by splitting the unitary evolution and the monitoring parts. For the unitary evolution, we have the Hamiltonian increment
where hermiticity is ensured requiring that . Otherwise, the increments are chosen as a Hermitian Brownian motion with covariance . Equivalently, in the limit , we can write , where is an Hermitian matrix, drawn from the Gaussian unitary ensemble (GUE)
and the measure is over the independent entries of a Hermitian matrix (with a semi-circle spectrum of support in the large n limit). A crucial property of the GUE distribution is its invariance under unitary conjugation, for any unitary . The dynamics induced by such a unitary evolution is simply described by , where the Itô calculus conventions are implied. For measurements, let us first introduce the standard form of the stochastic Schrödinger Equation [65,69,70] for an imperfect monitoring of a Hermitian operator . Within a small time step , the system is evolved coupling the operator with an extra spin (ancilla) whose value along a reference direction is projectively measured with an outcome . As explained in the previous section, this evolution can be encoded into the Kraus operators (see Appendix A in Ref. [63] for a summary of this derivation), where is a rate quantifying the measurement strength. In the limit , the collection of measurements can be used to define a standard Wiener process () and one obtains the stochastic evolution equation
with the dephasing superoperator . The parameter quantifies an extra source of dephasing. It can be seen as due to a fraction of measurements whose outcomes are not known or more generally to a coupling with an external dephasing bath. The limit corresponds to perfect measurements. In our model, within each infinitesimal time step , we choose to be a random operator, with components drawn from the GUE distribution (7). We can thus introduce a Hermitian Brownian motion setting , satisfying . Using this, according to the rules of stochastic calculus, we can rewrite the dephasing part as , where . Note that at finite , is the product of two Gaussian distributions that is not Gaussian. However, this is irrelevant in the limit, where only the covariance is relevant to define a Wiener process.
In the following, we will assume that the density matrix is initially prepared in the infinite-temperature state . Thus, because both the Hamiltonian increment and the observable are always chosen from the GUE, the distribution of the density matrix at any time is itself invariant under unitary transformation. In other words, diagonalizing , u will be Haar distributed in the unitary group and will completely decouple from the dynamics of . In the following, we will focus on the dynamics and the distribution of the eigenvalues . As they are unaffected by the unitary dynamics, in the following we will ignore the latter.
4. The Case
Before dealing with the general n case, it is worth considering specifically the case as an instructive warm-up. We can parameterize the density matrix in terms of a vector , within the Bloch sphere (), as
where denotes the set of Pauli matrices. The modulus coincides with the difference between the two eigenvalues of , whereas the normalization of the trace, forcing , is implicit in the parameterization. It is also convenient to similarly parameterize the measurement operator as . We can assume to be traceless so that , as this contribution would be inessential in either case. The three remaining one-indexed random variables , , are real-valued and satisfy . In terms of these variables, the infinitesimal variation reads
This can be recast into a closed stochastic equation for the modulus (as required by unitary invariance), which takes the form
being the standard Wiener process satisfying defined before Equation (8). In order to recast the previous equation into the standard Langevin form, let us perform the change in variables , . In terms of , we indeed have , where the potential is given by the following:
As a consequence, the evolution of the probability distribution can be described through the associated Fokker–Planck (FP) equation
which admits a stationary probability distribution . Coming back to the original coordinate, one has
a result already derived in [63] in the context of mean-field approximation. Since , it follows that the purity has a nontrivial stationary distribution as well for any . As , the distribution becomes more and more peaked around , eventually collapsing to for : this is consistent with the fact that perfect measurements eventually lead to purification. For , the finite-time solution of Equation (13) can be explicitly worked out as follows:
normalized in . The origin of this form will be clarified for general n in Section 7.1.
We can use these results to compute the Von Neumann entropy (4). In particular, on each trajectory, it can be related to the variable r
with , the entropy of the maximally mixed state. We can compute the behavior of in different regimes; in the stationary state at , one has
For , the system purifies, and . For large times, we have
See Appendix B for the details of the derivation and for the higher orders.
5. Dynamics of the Spectrum
5.1. Stochastic Evolution of the Eigenvalues
In order to derive an evolution equation for the eigenvalues in the general case, we follow the standard approach [71] and make use of second-order perturbation theory, as follows:
Now, one has to substitute the infinitesimal variations as determined in Equation (8). To further simplify the calculation, we take advantage of unitary rotational invariance, so that at time t is assumed to be diagonal in an appropriate basis (no sum over ). Thus, we have
whereas for the off-diagonal elements, we simply have . We can consider the diagonal elements of and rescale them as , so that are standard Wiener increments. Then, one finally finds
where we rescaled . Let us notice that, as it should be, the evolution of Equation (21) preserves the trace, as . Additionally, for , the configuration , is a fixed point, since as expected, in the absence of any dephasing (), measurements eventually lead to purification and the density matrix reduces to a rank-1 projector. It is useful to further manipulate Equation (22) by rewriting , where we used . In such a way, we obtain
For , Equation (22) presents some analogy with the eigenvalue flow studied in [72], see Equation (28) therein with , and . The sum over is clearly a manifestation of the typical Coulombic repulsion between eigenvalues. On top of that, the form of the noise is non-diagonal, as a combined effect of exactly preserving the trace and attributing Born’s probability to trajectories. Then, in order to simplify the dynamics, we introduce a new set of unconstrained variables.
5.2. Mapping to Unconstrained Variables
As the dynamics of the eigenvalues exactly preserves the traces, it is useful to write them as in terms of a new set of variables . Of course, the mapping between the ’s and the y’s is not one-to-one, as a global rescaling of all the y’s does not affect the mapping. This freedom can be used to simplify the evolution of the y’s, in particular, by writing
we can look for a force term which is homogeneous of degree 1. From standard Itô calculus, one can verify that
where is an arbitrary homogeneous function (), which correctly reproduces Equation (22) for the evolution of the ’s. Equation (23) has the advantage of involving only a diagonal noise term, which is nonetheless multiplicative. We can further simplify its form setting , which leads to
where . Setting , one can express
where , the potential is
whereas the non-conservative force is given by . We will now explain how the dynamics induced by Equation (25) can be solved in different regimes.
6. Stationary State at and
We now consider the dynamics induced by imperfect measurements at finite in the large n limit. When the dephasing term dominates the right-hand side of Equation (22), the eigenvalue distribution is expected to be peaked around . Therefore, it is convenient to rescale the eigenvalues via
with the trace condition becoming . With this scaling, we can analyze the noise term in Equation (22), which is proportional to . Indeed, by summing the last term in quadrature, we see it scales like and can thus be neglected for . This can be understood as the sum being extensive and in the limit its fluctuations are subleading with respect to its average. In this scaling, Equation (22) becomes
This associated stochastic dynamics is exactly solvable even at finite n. Indeed, by introducing again logarithmic variables , we can reduce this to a Langevin equation, analogous to Equation (25), as follows:
We stress that this equation involves a completely conservative force where the potential now reads as follows:
It is helpful to comment between the relation of the variables introduced here and in Section 5.2. We can see that they match, up to an inessential shift of the center of mass. The initial value of the sum can be chosen arbitrarily and in the limit it becomes a conserved quantity. Since we implicitly chose , we can rewrite coherently with Section 5.2.
Thanks to the Langevin form of Equation (30), we can easily deduce the joint distribution
which is the stationary solution to the associated FP equation. In terms of the rescaled eigenvalues
which is, upon rescaling , the joint distribution function for the eigenvalues of a matrix in the inverse-Wishart ensemble, with . We refer to Appendix C for a brief discussion of such an ensemble.
Let us now introduce the one-particle density function
satisfying , . For matrices in the inverse-Wishart ensemble, the eigenvalue density takes the inverse-Marchenko–Pastur (IMP) expression reported in Equation (A12) of Appendix C. It is thus immediate to verify that the distribution for the rescaled eigenvalues defined above reads
and it is shown in Figure 1. The endpoints are given by
The distribution in Equation (35) is valid in the limit which is also needed for Equation (29) to become a valid approximation of the original Equation (22). The behavior of as x is varied and defines a sharply peaked distribution around for , as the interval collapses to a point. Conversely, in the limit of nearly perfect measurements , the rescaled eigenvalues spread on the positive semi-axis between and , whereas remains peaked around . As this corresponds to , this signals the purification dynamics induced by perfect measurements. For any finite n, it is important to notice, however, that even in this regime, one has to assume for our approximation to be valid, so that the limits , do not commute.
Figure 1.
Inverse-Marchenko–Pastur distribution. The spectral density for the rescaled eigenvalues defined in Equation (28) is shown. In the large n limit, it takes the inverse-Marchenko–Pastur form given in Equation (35). In both plots, the orange line displays the theoretical curve, whereas the blue histogram bars are computed after a numerical simulation (with ) of the weak measurement protocol. (a) The spectral density at in the range . At small x, most eigenvalues are located in vicinity of , as an effect of purification. (b) The spectral density at in its domain . For larger values of x, the rescaled eigenvalues take finite values around their average .
The Von Neumann entropy, defined in Equation (4), can be computed in the stationary state, in terms of the inverse-Marchenko–Pastur eigenvalue distribution above, as follows:
with the entropy of the maximally mixed state. The last integral on the right-hand side can be evaluated by means of contour integration
so that one has the remarkably simple exact formula, as follows:
In particular, this allows us to evaluate its asymptotic behavior in the opposite regimes and , as follows:
6.1. Finite Time Dynamics
The finite time evolution of the set of unconstrained used in this section has been studied in detail by one of the authors in Ref. [72]. Our Langevin Equation (30) indeed reduces to Equation (42) of Ref. [72] upon the identification , , , . Consistent with our result in Equation (35), a stationary inverse-Wishart distribution was also obtained there. Here, we briefly summarize the procedure and the results with our notation and parameters. The associated FP equation can be mapped to an imaginary time quantum problem via the transformation
with given in Equation (32) (we better discuss the quantum mapping from FP to Schrödinger in Section 7.1). The ensuing Schrödinger equation reads
with the Hermitian Hamiltonian
and the finite energy shift , which is the n-particle ground state of H. As the trajectories of the n particles are non-crossing, the problem is mapped onto fermions. The one-particle potential is of Morse type:
The single-particle spectrum of the Morse potential features a finite number of bound states at eigenenergy , with , , , and a continuum of scattering states , such that , with . Let us notice that the number of bound states is always greater than the number of particles, i.e., , and the scattering states are empty. The n-fermion ground state is thus . Consequently, the n-fermion energy states of the original FP operator are simply given by
so that the lowest eigenvalue is . The single-particle finite time evolution from an initial to a final w coordinate is determined by the Euclidean propagator using the spectral decomposition over the bound and the scattering states
Then, the n-fermion propagator is obtained in terms of the Karlin–McGregor determinant formula [73] for the probability evolution of n non-intersecting particles from to . From the quantum Euclidean propagator, one can write the solution to the original FP problem using Equation (41) as
given the initial condition .
7. The Perfect Measurement Dynamics
In this section, we present the full solution of the joint eigenvalue distribution for the measurement problem at arbitrary n and time t, setting .
7.1. Exact Solution at Finite Time
The stochastic Equation (25) takes the Langevin form
with the potential in Equation (27). The joint distribution for the variables w’s satisfies the FP equation
Formally, one can obtain a stationary solution to the FP equation, taking . Of course, this is not normalizable, consistent with the fact that at the density matrix simply purifies. Nonetheless, it can once again be used to convert the FP into a quantum problem, similarly to what was conducted in Section 6.1 with Equation (41). One has
which does satisfy a Schrödinger evolution with Hamiltonian operator
Remarkably, after using some algebra (see Appendix A and also [74,75]), one can show that
implying that the Schrödinger evolution in Equation (50) amounts to free diffusion with the additional non-crossing constraint when two w’s collide, which maps on free fermions, as the external Morse potential Equation (44) present in [72], see Equation (47), is absent here. The propagator for such dynamics can be obtained using the Karlin–McGregor determinant formula [73], also used in Equation (47). For a given initial condition , we can obtain the solution
which leads to
In this expression, we introduced the free diffusion propagator, namely . In the following, we focus on the case of the infinite-temperature initial state, where all the initial conditions coincide (the specific value is inessential). In that limit, Equation (54) further simplifies as , where
and the time dependent constants are both determined by enforcing the normalization of and , respectively.
7.2. Relation between the Two Averages
The distribution has appeared in [75,76] in studying the dynamics of the so-called isotropic Brownian motion in the context of May-Wigner instability. In contrast, the expression for has the extra factor , whose origin can be traced back to Born’s rule, expressing (up to an irrelevant normalization) the probability in Equation (1) as . It is useful to identify the
where is the unnormalized density matrix introduced in Equation (1). In analogy with other problems of a multiplicative process involving random matrices [77,78,79,80], we will refer to the variables as the Lyapunov exponents. In the following, consistent with the definition in Equation (5), we will add a subscript 0 to the averages computed with , with the general relation
for an arbitrary function . For instance, for the Renyi’s entropies we can write the following:
Then, using Equation (56), we can rewrite the Von Neumann entropy as
In particular, introducing the moments of the eigenvalues and of the trace as
we can express Equation (60) as
Thus, below we will study these moments with the measure . We observe that in Equation (55), one can recognize two Vandermonde determinants, since
where we set . This implies that describes a determinantal point process, which allows us to obtain several exact results, as discussed below.
8. Exact Results for the Unbiased Ensemble
8.1. Average of Schur’s Polynomials
The calculation of several quantities, including Renyi’s entropies (3), requires the expressions of correlation functions of the Lyapunov exponents w’s. Here, we explain how they can be expressed systematically. First, because of the symmetry under exchange in the w’s, we can restrict to symmetric functions. Then, because of the determinantal structure in Equation (63), following [81] a complete and useful basis of symmetric functions is given by Schur’s polynomials and each correlation function can be expressed once the expectation of Schur’s polynomials is known. To a partition of the integer , with , one associates the corresponding Schur polynomial via [82]
Setting and denoting , we can now express the average
where C is the normalization and the constant raised to the power m accounts for the shift of the center of mass and will be fixed below. We can use Andreief identity [83] to express it in terms of a single determinant
where we defined
We can thus express the coefficients in terms of the Hermite polynomials as
where again we absorbed some extra constants by redefining C. The fact that at large x, can be used to express the determinant
This last determinant is once again a Vandermonde one which can be expressed via (64). We can now plug this back into Equation (67) and fix the constant C using , where . We finally obtain
where we recognized the equality
which expresses the number of semistandard Young diagram of shape and n entries [82]. We can now use [82], with
where denotes the partition dual to , with . The above average can then be expressed as follows:
8.2. Power-Law Symmetric Polynomials
For later convenience, we also introduce the power-law symmetric polynomials
and additionally, for any integer partition , we can set
which form a complete linear basis for symmetric polynomials. For instance, we can express
Since Schur’s polynomials are also a complete basis, one can find a change in basis between the two. It is given as (see Equation (3.10) in [81,84])
where represents a character of the symmetric group , with , on the irreducible representation and the conjugacy class labeled, respectively, by the integer partitions and .
8.3. Calculation of the Moments
Thanks to the relation between power-law symmetric polynomials and Schur’s ones, given in Equation (79), we can use the previous result to express the moments of eigenvalues, c.f. Equation (61) with :
which corresponds to Equation (79) in the case , i.e., a single cycle of length m. In this case, the only non-vanishing characters are those related to L-shaped partitions , with . In particular, one has . Therefore, from Equation (74), we obtain , and
The sum in Equation (80) thus becomes
which can be expressed for integer n in terms of the hypergeometric function [85], obtaining the following:
In both expressions, we have fixed the value of using in our conventions. Note that as required, and that the lowest moments have simple expressions, e.g., one has .
Moreover, it is also possible to compute the moments of the trace defined in Equation (62), with , by making use of the same relation. We can express
where the sum is over the partition of the integer m.
8.4. Equivalent Formulations
Equation (55) can appear in different contexts that provide interesting interpretations. Following [86,87,88], and using (64) and (65), at a fixed time t, one can identify the Lyapunov exponents w’s with the spectrum of the matrix
where H is drawn from the GUE distribution (7) and , see also [89]. The scaled distribution of the largest eigenvalue of W was computed at large n in [90], see Section III there, and found to be GUE Tracy-Widom, since no localization transition takes place when the elements of D are equispaced; see also [91]. Besides, Equation (85) is particularly effective for numerical sampling from the distribution Equation (55).
Equivalently, the w’s can be seen as performing a DBM with in inverse time . For time inversion of the DBM we refer to, e.g., Appendix B in [90] with equally spaced initial condition. Indeed, one can rewrite (85) as
with , and the eigenvalues of X have the same joint law as a DBM at time s with initial condition . This correspondence is given in Appendix D. Note that the form a determinantal point process [88], whose kernel is given in Appendix E. The interpretation of Equation (85) already indicates a qualitative behavior for the spectrum of the w’s: at initial times, the first term dominates and the distribution will resemble the one of a GUE in with eigenvalues in the support . At larger times, the second term becomes more important and the distribution becomes uniformly spread in . It is also useful to write the distribution as a functional of the single particle density
with the functional
One can interpret this as the energy of gas particles in the presence of an external harmonic trap that repel each other. When , the different terms are of the same order: at large n, the particles will have a separation and a continuous description emerges. We will analyze this regime in the next section. We will then discuss the long-time regime which emerges when .
8.5. Coulomb Gas Regime
To quantitatively analyze the crossover between the semicircle and the uniform distribution predicted by the form Equation (85), we rescale the time in the following way
and consider the limit at fixed . The above correspondence in (86) shows that , and . The interpretation as a DBM in inverse time allows us to compute the limiting resolvent
using the complex Burgers equation (see details in Appendix D). One finds that satisfies the parametric equation
We can set and , where f is the spectral density. Eliminating the real part one finds (see Appendix D) that the density is the solution of
Its support is an interval with edges at . As anticipated from the qualitative analysis of Equation (85), the density interpolates (see Figure 2) between a semi-circle at small , with , and a square distribution at large with . At all times the density vanishes at the edges as a square root , with , and Wigner–Dyson gap statistics near the edges.
Figure 2.
Short time behavior. The density in the short time regime, with finite. features a crossover between a semi-circle at small and a square distribution at larger . (a) The small- semi-circle distribution is displayed for and increasing n from to . The red solid line shows the theoretical curve. (b) The large- square distribution is shown for and increasing n, with the red solid line showing the curve. (c) The crossover from semi-circle towards square distribution is shown for increasing from to . All solid lines represent the theoretical density on the rescaled axis, where is the edge coordinate for in the limit.
Although the density is known in parametric form, one can also use Equation (82) to extract the exponential moments. After some manipulation on the hypergeometric function, we find
where denotes the generalized Laguerre polynomial, with . A numerical check confirms that the density implicitly defined in Equation (92) satisfies
The fact that the variables become dense and described by a continuous distribution ensures that in Equation (62) is self-averaging and thus
8.6. Universal Regime
8.6.1. Scaling of the Edge
Now, we consider the situation where time is scaled as . Using the rescaled rate , we can equivalently say that whereas . In this regime the repulsion due to the term in becomes more relevant. As a result, the Lyapunov exponents w are well separated one from the other. More precisely, assuming the ordering , one expects that the separation between two consecutive variables , so that the position of the edge . However, each variable will have fluctuations of so that the interactions are relevant and complicate the analysis. A similar lattice structure was already demonstrated in a related model involving a -potential [92]. Here, the Coulombic repulsion is an additional ingredient that modifies that short-distance behavior. We can obtain a preliminary understanding of this regime by taking the limit from the general formula of moments (83). In this limit, the moments are dominated by the largest near the edge. We can determine their value expanding in Equations (81) and (82) and performing the sum, obtaining
where we also fixed . This formula suggests the existence of non-trivial statistics governing the fluctuations of the Lyapunov exponents w’s at the edge. However, we note that it does not define a normalized distribution since . This is due to a crossover at small m between a regime dominated by the bulk with and one dominated by the edge . An identical formula can be obtained in the analogous long-time limit considering the product of Wishart random matrices (see Equation (3.41) in [93]). This is a manifestation of universality expected at large times in monitored systems and more generally in products of random matrices [94].
The calculation of the moments of the trace in this regime is much more involved, but it can be expressed as in Equation (84). Indeed, in the limit of large n, we can replace [82]. One can understand this using counts the number of semistandard Young tableau of shape and involving n entries, whereas counts the number of standard Young tableau with entries . At large n, the difference between semistandard and standard Young tableau becomes irrelevant and . We thus obtain
which was obtained in [94] in a different model as an additional manifestation of the universality.
8.6.2. Asymptotics at Large
When , the separations are . Additionally, their fluctuations are much smaller than their separation. In this regime, we can approximate in the potential
which is the 1-dimensional Coulombic repulsion. This kind of potential was recently studied in [95] in the context of ranked diffusion. This potential induces a force , which simply counts the number of slower particles in the back of , minus the faster ones in its front. Assuming a given ordering , we obtain the simple dynamics
where the drift velocity . This equation is an example of ranked diffusion (RD), namely, a diffusion process in one dimension where the n particles undergo a drift term proportional to their respective rank [95,96]. In the RD problem, however, the particles can cross freely, whereas here they cannot cross, which leads to different types of fluctuations at finite t. Nevertheless, in both models in the regime , the equations decouple and can be solved separately, namely
where we recall that the ’s are n independent standard Brownian motions, each of variance t at time t. Equation (101) gives some characterization of the joint probability distribution of the Lyapunov exponents w in this large time regime. It is not complete however, as there are contributions of the joint cumulants of the which persist at infinite time. These were computed in Section III-D of Ref. [95] by a saddle point method, and that calculation is easily extended to the present model in Appendix F. As a result, Equation (101) must be treated with care when computing exponential moments.
9. Entanglement Entropies for Continuous Monitoring
Now, we make use of the results obtained in the previous section for the unbiased ensemble to characterize the behavior of the entanglement entropies.
9.1. Short Time Regime
First of all, let us consider the Coulomb gas regime. In this case, we can use the fact that the moments are self-averaging, i.e., . Thus, from Equation (58), we obtain
where the Von Neumann entropy can be recovered in the limit . Using for , and for , we also obtain the asymptotic expansions
from which we can extract the limit
where is the Euler–Mascheroni constant (not to be confused with the rescaled rate ). Note that in this regime, the Born rule (2) and unbiased outcomes (5) give the same result, since the weight of each trajectory factorizes from the rest.
9.2. Universal Regime
As we discussed in Section 8.6, this regime is much harder to address as the w’s are strongly correlated but the moments and are not independent: they are dominated by the behavior around the edge (see Equations (97) and (98)). However, we can still access the Von Neumann entropy by making use of Equation (63). Equation (97) admits a simple analytic continuation for and we obtain
Unfortunately, the dependence on m in Equation (98) is much less transparent. A way to perform the analytic continuation was developed in [94]. Here, we analyze the asymptotic behavior. At small ’s, because of the symmetry , where is the integer partition dual to , it is clear that is an even function of time for every m. Thus, at small , we can conclude that . Up to this order, the dynamics of Von Neumann entanglement is fully captured by Equation (105). Thus, we have
which connects nicely with the behavior for obtained in Equation (104), recalling that .
Although the regime of intermediate times is hard to access, we can still estimate the asymptotic expansion . As discussed in Section 8.6.2, the Lyapunov exponents separate linearly in time because of the drift Equation (101). Returning to the eigenvalues , it is evident that if , then , and the first eigenvalues are suppressed by purification. In particular, using Equation (101), we also have that
where are the drift velocities in Equation (100) and denotes the average over the independent Brownians. The sum of the first averages gives , yielding
Moreover, the ratio between any two eigenvalues ,
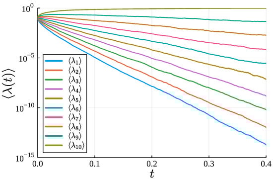
which is independent of number n of diffusing particles, and indicates that the first eigenvalues are logarithmically equispaced, as we show in Figure 3.
Figure 3.
Long-time ranked diffusion. Long-time dynamics of the averaged eigenvalues for , , , whereas the maximum eigenvalue tends to one as as time increases, the first eigenvalues are equispaced in logarithmic scale, i.e., .
Because of the exponential separation of the eigenvalues, from Equation (108), we obtain the estimate for the Von Neumann entropy
which is in agreement with the result of Equation (18) if one replaces . A more detailed discussion of this approximation is given in Appendix F.
Although this suggests that for any n only the two largest eigenvalues matter for the calculations, the prefactor of the asymptotic expression of does not reduce to the one from the model. Indeed, a more careful calculation (see Appendix G) shows that the saddle-point evaluation of the numerator of is shifted with respect to the one of the normalization, so that the two prefactors do not cancel out. In particular, we have
which once again agrees with the result of the case, whereas the prefactor tends to 1 in the limit.
10. Conclusions
In this work, we studied the purification dynamics induced by weak measurement, where the measurement operators are random matrices drawn from the GUE. The ensuing is written in terms of a stochastic Schrödinger equation, invariant under unitary transformation. Because of rotational invariance, we were able to determine the evolution of the density matrix eigenvalues , both for imperfect and perfect monitoring. In both cases, no MIPT takes place, as the system is far away from the critical point and is characterized by volume-law scaling of the entanglement entropy.
In the former case of imperfect measurements , we were able to thoroughly characterize the stationary distribution of the density matrix in the limit . There, the stationary joint probability distribution of the eigenvalues of the density matrix takes the typical expression of matrices from the inverse-Wishart ensemble, and the spectral density attains the corresponding inverse-Marchenko–Pastur form. Anyway, we showed that a solution for the finite-time stochastic dynamics also exists via a mapping to a quantum problem in imaginary time. In this context, the eigenvalue evolution at and for finite n is still unknown. The relevant case seems to suggest that the stationary state does not belong to the inverse-Wishart ensemble, and that a more sophisticated stratagem must be sought in order to treat the non-conservative forces due to additional dephasing.
In the case of perfect measurements , we were able to fully determine the joint distribution function for the eigenvalues, at both finite time and finite n. Again, this can be conducted by mapping the stochastic dynamics onto fermions in imaginary time. Surprisingly, those undergo free diffusion as the external potential due to weak measurement disappears. Moreover, this allows us to factorize the joint probability distribution with respect to the constraint, thus making the computation of average quantities accessible. We identify two different regimes. The first is a short-time one, where a Coulomb gas distribution appears with a time-dependent continuous density characterizing the spectrum of Lyapunov exponents. The density exhibits a characteristic crossover between the GUE semicircle and the uniform distribution. At later times, the Lyapunov exponents separate further and a continuous description is not possible anymore. Our calculations are perfectly consistent with the prediction of [94] and provide a new example supporting the universality of this regime. Subsequently, the Lyapunov exponents separate linearly over time, and the interactions between them become less important. In this regime, the dynamics resemble that of a ranked diffusion. We use this information to characterize the dynamics of entanglement in the various time regimes.
Some comments are important. It would certainly be intriguing to characterize the crossover at small and large times. Furthermore, from a technical point of view, it would be interesting to tie the regime emerging at long times with the spectral distribution of Lyapunov exponents near the edge.
Finally, interesting questions endure, characterizing the differences induced by studying the problem within other random matrix models, such as the Gaussian orthogonal ensemble.
Author Contributions
Conceptualization, A.D.L. and G.G.; methodology, A.D.L., G.G. and P.L.D.; investigation, A.D.L., G.G., P.L.D. and F.G.; writing—original draft preparation, A.D.L., G.G., P.L.D. and F.G.; writing—review and editing, F.G. All authors have read and agreed to the published version of the manuscript.
Funding
F.G. acknowledges support from Université Paris-Saclay. G.G. and A.D.L. acknowledge support by the ANR JCJC grant ANR-21-CE47-0003 (TamEnt). P.L.D. acknowledges support from ANR grant ANR-23-CE30-0020-01 EDIPS, and thanks KITP for hospitality, supported by NSF Grants No. NSF PHY-1748958 and PHY-2309135.
Data Availability Statement
No new data were created in this study.
Acknowledgments
We thank Alberto Rosso, Christophe Texier, and, in particular, Adam Nahum for discussions. Note added. Recently, Ref. [97] appeared, where a similar approach is independently studied in the case of unbiased outcomes. Equation (55) is also obtained and the Coulomb gas regime is studied, also identifying the crossover between a GUE and a uniform distribution.
Conflicts of Interest
The authors declare no conflicts of interest.
Appendix A. Identities
To perform the calculation in the text we use the following two identities:
and
The first one is well known from Calogero’s papers (see references and generalizations in, e.g., Appendix A of [74]) and the second is specific to the present case.
Appendix B. Finite-Time Von Neumann Entropy for the n = 2 Case
We will now derive an expression for assuming . In this case, the finite-time probability density is given by Equation (15), whereas we have
Replacing the explicit form of we obtain (setting for simplicity)
Expanding for large times, and considering , we have
hence making use of the identity
we find the result (18) present in the main text.
Appendix C. Inverse-Wishart Ensemble
The unitary () Wishart ensemble is defined by the distribution
for any squared matrix A, with integer [98,99]. A Wishart-distributed matrix A can be written as , with H a rectangular matrix with complex Gaussian entries. Equation (A7) leads to the following joint distribution for the eigenvalues , as follows:
The marginal distribution of the eigenvalues, i.e., the spectral density, can be obtained from the previous equation. In the limit of infinitely large matrices , a standard result is the Marchenko–Pastur distribution
with the rescaled eigenvalues . The endpoints of are defined by .
It is then possible to derive the inverse-Wishart ensemble of matrices . In terms of the eigenvalues , one simply has to find the distribution as follows:
or, in matrix terms
So it is easy to see that for , we have which does not fulfill the condition . The inverse-Marchenko–Pastur distribution for the eigenvalues of an inverse-Wishart matrix simply reads, following from Equation (A9):
with the inverse rescaled eigenvalues . The new endpoints are . Clearly, the spectral density in Equation (A12) is not well defined in the limit .
Appendix D. Equivalent Dyson Brownian Motion
Consider the DBM for
where the are independent standard Brownian motions, with , and we choose a fixed ordered initial condition . At fixed time s, has the same law as the spectrum of the random matrix . Its propagator takes the form
Until now, the initial condition is arbitrary. We now choose , regularly spaced. In this case, can be explicitly evaluated and one finds for as follows:
To make the connection with the distribution of the main text, we set and . Then, one recovers ; namely, one has
This is in agreement with (86) in the main text. The above correspondence is exact and valid for any n. We now consider the large n limit. In the text, we scaled time as and considered the limit at fixed . As mentioned in the text around (86), we can focus on the DBM in inverse time . Let us denote as its density, and its resolvent. We will now compute both quantities, and from them we will deduce
which are displayed in the text. The DBM density interpolates between being uniform in at small s, and a semi-circle of support at large s. To compute it at all times, we recall that its resolvent satisfies in the large n limit the complex Burgers equation
The general solution is
Here, we have a uniform initial density
Hence, one finds the parametric solution
Upon rescaling (A17) one obtains (91) in the text. To compute the DBM eigenvalue density , one sets and . Taking the imaginary part of (A21) gives
Inserting within the real part of (A21), one finds
where the two branches correspond to and . Equation (A23) determines for a given s. Upon the rescaling (A17), one obtains (92) in the text. Note that an analogous calculation was performed in [76] in a different context.
Appendix E. Kernel
From the relation to the DBM described in the previous Appendix, and from Ref. [88], one knows that the form a determinantal point process. This means that both their joint PDF and their correlation functions (obtained by integrating over some of the ) are equal to determinants involving a kernel. Here, we obtain a convenient form for this kernel using bi-orthogonal polynomials. We follow the method of Ref. [93], c.f. Equations (3.11)–(3.13) therein. To simplify the expressions, in this section we fix . Equivalently, one can recover the general form by replacing . One defines the two sets of polynomials
where is the Stirling number of the first kind. These polynomials are not monic, but they are normalized to have unit integral. Indeed, they satisfy the orthogonality relation
From these polynomials, one defines a first kernel as
To obtain a centered process, however, one defines the shifted kernel
Both kernels are self-reproducing, i.e., one has . The density of the for any n and any time t is then given by
and it is normalized to unity. One can check that one has indeed
We can also use a similarity transformation to re-write the Kernel as
with
with . This last form is analogous to Proposition 2.3 and Equation (2.18) in [88]. We can further expand the last term, using
One can check that the exact expression for the moments in (83) are recovered from (since the quadratic term in w cancels with the one in , the integration over w leads to a delta function), where the prefactor is related to the shift with respect to the edge position.
This form can be used to derive the limit of the kernel when , focusing on the neighborhood of the edge. We set
which is defined so that the largest Lyapunov is moved at . From the explicit limit, we obtain the expression
Exponentiating the denominator with an integral, we can also express
with
This is the kernel describing the Lyapunov exponents in the universal regime . A similar kernel was obtained in formula (1.15) in [100] and in formula VI.22 in [101] in the context of the universal edge statistics of products of Ginibre matrices. The connection to the Dyson Brownian motion was also discussed in [101].
Appendix F. Large Time Moments from a Saddle Point
We perform here a calculation analogous to the one in Section III-D of Ref. [95]. It is valid for any n. Let us denote the ordered sector . For , one can rewrite exactly (not keeping track of time-dependent normalizing constants) , with as follows:
recalling that . Let us compute . Changing variables to , one finds
For the term has a saddle point for
The saddle point remains in the ordered sector , providing for all . That case corresponds to the particle crossing being irrelevant. The interaction term takes the form (up to a time-dependent constant)
For , the last term is irrelevant compared to the first (provided the particle crossings are irrelevant). The saddle-point method then leads to
Taking derivatives of gives all the joint cumulants of the variables in the large time limit. This estimate is valid as long as the saddle point is in the sector.
Specializing , i.e., the largest of the w’s, gives
Since is dominated by the term , this result agrees with the formula (83) for at large time (from which we see that corrections are ). For a general , one obtains instead
In these results, we see that the prefactor includes the interactions with all the particles (not just the neighbor). Furthermore, we see from the condition that the saddle point remains in the sector that (i) Equation (A43) is valid for all (in agreement with (83)) (ii) Equation (A44) for is valid only for . Indeed, for , the rightmost particle is pulled out of the gas, and hence particle crossings are irrelevant. An “internal” particle, however, cannot be pulled too strongly without crossing its neighbors.
Finally, note that evaluating by the same method leads to an additional term in , plus another term , irrelevant at large times. Hence, we find by this saddle-point method in the limit.
Appendix G. Long-Time Entanglement Entropy
Here, we derive the long-time asymptotic expression for the entanglement entropy, for arbitrary value of n. We start from the expression of the entanglement entropy as computed in Equation (63), namely
where and are defined in Equations (61) and (62), respectively, and the average is taken on the probability distribution in Equation (63). Let us set for the rest of the section, and let us define , so that we have
with the notation . We exploited therein the permutation symmetry of the original integrals to order the new variables . For large t
up to exponentially small corrections in t, so that we have
where is the Vandermonde determinant and
Finally, the expression of the entanglement entropy becomes
which is exact up to exponentially small corrections. Because of the different exponential factors, the numerator and the denominator will have different saddle points. Let us now perform the calculations separately.
Numerator: imposing , one finds the solutions
Let us notice that . It is now convenient to introduce new variables . The integration domain is now
so that in the limit , we only have the constraint , up to exponentially small corrections. Let us now consider the Vandermonde determinant. The pair yields a factor . Instead, the other terms give the following:
up to terms, where we denoted with the symbol the sum over couples such that and , and with the Vandermonde determinant restricted to all pairs but the one. Let us notice that, by parity, the terms vanish once integrated on the Gaussian measure. Finally, we have that, up to terms, the numerator becomes
Introducing the rotated variables the last integral becomes trivial, so we have the following for the numerator:
Denominator: imposing again the condition , one finds the solutions
with instead . In terms of the new variables the integration domain is now
so that in the limit the integral will run on the whole up to exponentially small correction. In this case, the pair in the Vandermonde determinant should not be singled out. Analogously to the numerator case, moreover, the corrections coming from the Vandermonde determinant vanish once integrated. Finally, for the denominator we have the following:
up to corrections.
References
- Bonderson, P.; Freedman, M.; Nayak, C. Measurement-Only Topological Quantum Computation. Phys. Rev. Lett. 2008, 101, 010501. [Google Scholar] [CrossRef] [PubMed]
- Leung, D.W. Quantum computation by measurements. Int. J. Quantum Inf. 2004, 2, 33–43. [Google Scholar] [CrossRef]
- Skinner, B.; Ruhman, J.; Nahum, A. Measurement-Induced Phase Transitions in the Dynamics of Entanglement. Phys. Rev. X 2019, 9, 031009. [Google Scholar] [CrossRef]
- Li, Y.; Chen, X.; Fisher, M.P.A. Quantum Zeno effect and the many-body entanglement transition. Phys. Rev. B 2018, 98, 205136. [Google Scholar] [CrossRef]
- Li, Y.; Chen, X.; Fisher, M.P.A. Measurement-driven entanglement transition in hybrid quantum circuits. Phys. Rev. B 2019, 100, 134306. [Google Scholar] [CrossRef]
- Christopoulos, A.; Le Doussal, P.; Bernard, D.; De Luca, A. Universal Out-of-Equilibrium Dynamics of 1D Critical Quantum Systems Perturbed by Noise Coupled to Energy. Phys. Rev. X 2023, 13, 011043. [Google Scholar] [CrossRef]
- Hruza, L.; Bernard, D. Coherent Fluctuations in Noisy Mesoscopic Systems, the Open Quantum SSEP, and Free Probability. Phys. Rev. X 2023, 13, 011045. [Google Scholar] [CrossRef]
- Bernard, D. Can the macroscopic fluctuation theory be quantized? J. Phys. A Math. Theor. 2021, 54, 433001. [Google Scholar] [CrossRef]
- Zhou, T.; Nahum, A. Emergent statistical mechanics of entanglement in random unitary circuits. Phys. Rev. B 2019, 99, 174205. [Google Scholar] [CrossRef]
- Gullans, M.J.; Huse, D.A. Scalable Probes of Measurement-Induced Criticality. Phys. Rev. Lett. 2020, 125, 070606. [Google Scholar] [CrossRef]
- D’Alessio, L.; Kafri, Y.; Polkovnikov, A.; Rigol, M. From quantum chaos and eigenstate thermalization to statistical mechanics and thermodynamics. Adv. Phys. 2016, 65, 239–362. [Google Scholar] [CrossRef]
- Nahum, A.; Ruhman, J.; Vijay, S.; Haah, J. Quantum Entanglement Growth under Random Unitary Dynamics. Phys. Rev. X 2017, 7, 031016. [Google Scholar] [CrossRef]
- Kim, H.; Huse, D.A. Ballistic Spreading of Entanglement in a Diffusive Nonintegrable System. Phys. Rev. Lett. 2013, 111, 127205. [Google Scholar] [CrossRef]
- Bardarson, J.H.; Pollmann, F.; Moore, J.E. Unbounded Growth of Entanglement in Models of Many-Body Localization. Phys. Rev. Lett. 2012, 109, 017202. [Google Scholar] [CrossRef] [PubMed]
- Abanin, D.A.; Altman, E.; Bloch, I.; Serbyn, M. Colloquium: Many-body localization, thermalization, and entanglement. Rev. Mod. Phys. 2019, 91, 021001. [Google Scholar] [CrossRef]
- Calabrese, P.; Cardy, J. Evolution of entanglement entropy in one-dimensional systems. J. Stat. Mech. Theory Exp. 2005, 2005, P04010. [Google Scholar] [CrossRef]
- Chan, A.; De Luca, A.; Chalker, J.T. Solution of a Minimal Model for Many-Body Quantum Chaos. Phys. Rev. X 2018, 8, 041019. [Google Scholar] [CrossRef]
- Bertini, B.; Kos, P.; Prosen, T.c.v. Entanglement Spreading in a Minimal Model of Maximal Many-Body Quantum Chaos. Phys. Rev. X 2019, 9, 021033. [Google Scholar] [CrossRef]
- Fisher, M.P.; Khemani, V.; Nahum, A.; Vijay, S. Random Quantum Circuits. Annu. Rev. Condens. Matter Phys. 2023, 14, 335–379. [Google Scholar] [CrossRef]
- Lunt, O.; Szyniszewski, M.; Pal, A. Measurement-induced criticality and entanglement clusters: A study of one-dimensional and two-dimensional Clifford circuits. Phys. Rev. B 2021, 104, 155111. [Google Scholar] [CrossRef]
- Jian, C.M.; You, Y.Z.; Vasseur, R.; Ludwig, A.W.W. Measurement-induced criticality in random quantum circuits. Phys. Rev. B 2020, 101, 104302. [Google Scholar] [CrossRef]
- Zabalo, A.; Gullans, M.J.; Wilson, J.H.; Vasseur, R.; Ludwig, A.W.W.; Gopalakrishnan, S.; Huse, D.A.; Pixley, J.H. Operator Scaling Dimensions and Multifractality at Measurement-Induced Transitions. Phys. Rev. Lett. 2022, 128, 050602. [Google Scholar] [CrossRef] [PubMed]
- Nahum, A.; Wiese, K.J. Renormalization group for measurement and entanglement phase transitions. Phys. Rev. B 2023, 108, 104203. [Google Scholar] [CrossRef]
- Minato, T.; Sugimoto, K.; Kuwahara, T.; Saito, K. Fate of Measurement-Induced Phase Transition in Long-Range Interactions. Phys. Rev. Lett. 2022, 128, 010603. [Google Scholar] [CrossRef] [PubMed]
- Zhou, Y.N. Generalized Lindblad master equation for measurement-induced phase transition. SciPost Phys. Core 2023, 6, 023. [Google Scholar] [CrossRef]
- Tang, Q.; Zhu, W. Measurement-induced phase transition: A case study in the nonintegrable model by density-matrix renormalization group calculations. Phys. Rev. Res. 2020, 2, 013022. [Google Scholar] [CrossRef]
- Willsher, J.; Liu, S.W.; Moessner, R.; Knolle, J. Measurement-induced phase transition in a chaotic classical many-body system. Phys. Rev. B 2022, 106, 024305. [Google Scholar] [CrossRef]
- Li, Y.; Zou, Y.; Glorioso, P.; Altman, E.; Fisher, M.P.A. Cross Entropy Benchmark for Measurement-Induced Phase Transitions. Phys. Rev. Lett. 2023, 130, 220404. [Google Scholar] [CrossRef] [PubMed]
- Yang, Z.C.; Li, Y.; Fisher, M.P.A.; Chen, X. Entanglement phase transitions in random stabilizer tensor networks. Phys. Rev. B 2022, 105, 104306. [Google Scholar] [CrossRef]
- Choi, S.; Bao, Y.; Qi, X.L.; Altman, E. Quantum Error Correction in Scrambling Dynamics and Measurement-Induced Phase Transition. Phys. Rev. Lett. 2020, 125, 030505. [Google Scholar] [CrossRef]
- Gullans, M.J.; Huse, D.A. Dynamical Purification Phase Transition Induced by Quantum Measurements. Phys. Rev. X 2020, 10, 041020. [Google Scholar] [CrossRef]
- Ticozzi, F.; Viola, L. Quantum resources for purification and cooling: Fundamental limits and opportunities. Sci. Rep. 2014, 4, 5192. [Google Scholar] [CrossRef] [PubMed]
- Lóio, H.; De Luca, A.; De Nardis, J.; Turkeshi, X. Purification timescales in monitored fermions. Phys. Rev. B 2023, 108, L020306. [Google Scholar] [CrossRef]
- Kelly, S.P.; Poschinger, U.; Schmidt-Kaler, F.; Fisher, M.; Marino, J. Coherence requirements for quantum communication from hybrid circuit dynamics. SciPost Phys. 2023, 15, 250. [Google Scholar] [CrossRef]
- Vidal, G. Efficient Classical Simulation of Slightly Entangled Quantum Computations. Phys. Rev. Lett. 2003, 91, 147902. [Google Scholar] [CrossRef]
- Vidal, G. Efficient Simulation of One-Dimensional Quantum Many-Body Systems. Phys. Rev. Lett. 2004, 93, 040502. [Google Scholar] [CrossRef]
- Claeys, P.W.; Henry, M.; Vicary, J.; Lamacraft, A. Exact dynamics in dual-unitary quantum circuits with projective measurements. Phys. Rev. Res. 2022, 4, 043212. [Google Scholar] [CrossRef]
- Nahum, A.; Skinner, B. Entanglement and dynamics of diffusion-annihilation processes with Majorana defects. Phys. Rev. Res. 2020, 2, 023288. [Google Scholar] [CrossRef]
- Cao, X.; Tilloy, A.; Luca, A.D. Entanglement in a fermion chain under continuous monitoring. SciPost Phys. 2019, 7, 024. [Google Scholar] [CrossRef]
- Fidkowski, L.; Haah, J.; Hastings, M.B. How Dynamical Quantum Memories Forget. Quantum 2021, 5, 382. [Google Scholar] [CrossRef]
- Coppola, M.; Tirrito, E.; Karevski, D.; Collura, M. Growth of entanglement entropy under local projective measurements. Phys. Rev. B 2022, 105, 094303. [Google Scholar] [CrossRef]
- Santini, A.; Solfanelli, A.; Gherardini, S.; Giachetti, G. Observation of partial and infinite-temperature thermalization induced by repeated measurements on a quantum hardware. J. Phys. Commun. 2023, 7, 065007. [Google Scholar] [CrossRef]
- Piccitto, G.; Russomanno, A.; Rossini, D. Entanglement transitions in the quantum Ising chain: A comparison between different unravelings of the same Lindbladian. Phys. Rev. B 2022, 105, 064305. [Google Scholar] [CrossRef]
- Turkeshi, X.; Dalmonte, M.; Fazio, R.; Schirò, M. Entanglement transitions from stochastic resetting of non-Hermitian quasiparticles. Phys. Rev. B 2022, 105, L241114. [Google Scholar] [CrossRef]
- Turkeshi, X.; Biella, A.; Fazio, R.; Dalmonte, M.; Schiró, M. Measurement-induced entanglement transitions in the quantum Ising chain: From infinite to zero clicks. Phys. Rev. B 2021, 103, 224210. [Google Scholar] [CrossRef]
- Alberton, O.; Buchhold, M.; Diehl, S. Entanglement Transition in a Monitored Free–Fermion Chain: From Extended Criticality to Area Law. Phys. Rev. Lett. 2021, 126, 170602. [Google Scholar] [CrossRef] [PubMed]
- Buchhold, M.; Minoguchi, Y.; Altland, A.; Diehl, S. Effective Theory for the Measurement-Induced Phase Transition of Dirac Fermions. Phys. Rev. X 2021, 11, 041004. [Google Scholar] [CrossRef]
- Müller, T.; Diehl, S.; Buchhold, M. Measurement-Induced Dark State Phase Transitions in Long-Ranged Fermion Systems. Phys. Rev. Lett. 2022, 128, 010605. [Google Scholar] [CrossRef] [PubMed]
- Ladewig, B.; Diehl, S.; Buchhold, M. Monitored open fermion dynamics: Exploring the interplay of measurement, decoherence, and free Hamiltonian evolution. Phys. Rev. Res. 2022, 4, 033001. [Google Scholar] [CrossRef]
- Lucas, M.; Piroli, L.; De Nardis, J.; De Luca, A. Generalized deep thermalization for free fermions. Phys. Rev. A 2023, 107, 032215. [Google Scholar] [CrossRef]
- Fava, M.; Piroli, L.; Swann, T.; Bernard, D.; Nahum, A. Nonlinear Sigma Models for Monitored Dynamics of Free Fermions. Phys. Rev. X 2023, 13, 041045. [Google Scholar] [CrossRef]
- Poboiko, I.; Pöpperl, P.; Gornyi, I.V.; Mirlin, A.D. Theory of Free Fermions under Random Projective Measurements. Phys. Rev. X 2023, 13, 041046. [Google Scholar] [CrossRef]
- Mézard, M.; Parisi, G.; Virasoro, M.A. Spin Glass Theory and Beyond; World Scientific Publishing Company: Singapore, 1987; Volume 9. [Google Scholar]
- Bray, A.J.; Moore, M.A. Replica theory of quantum spin glasses. J. Phys. C Solid State Phys. 1980, 13, L655. [Google Scholar] [CrossRef]
- Lopez-Piqueres, J.; Ware, B.; Vasseur, R. Mean-field entanglement transitions in random tree tensor networks. Phys. Rev. B 2020, 102, 064202. [Google Scholar] [CrossRef]
- Vasseur, R.; Potter, A.C.; You, Y.Z.; Ludwig, A.W.W. Entanglement transitions from holographic random tensor networks. Phys. Rev. B 2019, 100, 134203. [Google Scholar] [CrossRef]
- Bentsen, G.S.; Sahu, S.; Swingle, B. Measurement-induced purification in large-N hybrid Brownian circuits. Phys. Rev. B 2021, 104, 094304. [Google Scholar] [CrossRef]
- Jian, S.K.; Liu, C.; Chen, X.; Swingle, B.; Zhang, P. Measurement-Induced Phase Transition in the Monitored Sachdev-Ye-Kitaev Model. Phys. Rev. Lett. 2021, 127, 140601. [Google Scholar] [CrossRef] [PubMed]
- Nahum, A.; Roy, S.; Skinner, B.; Ruhman, J. Measurement and Entanglement Phase Transitions in All-To-All Quantum Circuits, on Quantum Trees, and in Landau-Ginsburg Theory. PRX Quantum 2021, 2, 010352. [Google Scholar] [CrossRef]
- Fisher, R.A. The wave of advance of advantageous genes. Ann. Eugen. 1937, 7, 355–369. [Google Scholar] [CrossRef]
- Kolmogorov, A.N.; Petrovskii, I.; Piskunov, N.S. A Study of the Diffusion Equation with Increase in the Amount of Substance, and its Application to a Biological Problem. Mosc. Univ. Math. Bull. 1991, 6, 1–25. [Google Scholar]
- Derrida, B.; Spohn, H. Polymers on disordered trees, spin glasses, and traveling waves. J. Stat. Phys. 1988, 51, 817–840. [Google Scholar] [CrossRef]
- Giachetti, G.; De Luca, A. Elusive phase transition in the replica limit of monitored systems. arXiv 2023, arXiv:2306.12166. [Google Scholar] [CrossRef]
- Schomerus, H. Noisy monitored quantum dynamics of ergodic multi-qubit systems. J. Phys. A Math. Theor. 2022, 55, 214001. [Google Scholar] [CrossRef]
- Caves, C.M.; Milburn, G.J. Quantum-mechanical model for continuous position measurements. Phys. Rev. A 1987, 36, 5543–5555. [Google Scholar] [CrossRef] [PubMed]
- Nielsen, M.A.; Chuang, I. Quantum Computation and Quantum Information; Cambridge University Press: Cambridge, UK, 2002. [Google Scholar]
- Choi, M.D. Completely positive linear maps on complex matrices. Linear Algebra Its Appl. 1975, 10, 285–290. [Google Scholar] [CrossRef]
- Kraus, K. General state changes in quantum theory. Ann. Phys. 1971, 64, 311–335. [Google Scholar] [CrossRef]
- Diósi, L.; Gisin, N.; Strunz, W.T. Non-Markovian quantum state diffusion. Phys. Rev. A 1998, 58, 1699–1712. [Google Scholar] [CrossRef]
- Gisin, N.; Percival, I.C. The quantum-state diffusion model applied to open systems. J. Phys. A Math. Gen. 1992, 25, 5677. [Google Scholar] [CrossRef]
- Dyson, F.J. A Brownian-Motion Model for the Eigenvalues of a Random Matrix. J. Math. Phys. 2004, 3, 1191–1198. [Google Scholar] [CrossRef]
- Gautié, T.; Bouchaud, J.P.; Le Doussal, P. Matrix Kesten recursion, inverse-Wishart ensemble and fermions in a Morse potential. J. Phys. A Math. Theor. 2021, 54, 255201. [Google Scholar] [CrossRef]
- Karlin, S.; McGregor, J. Coincidence probabilities. Pac. J. Math. 1959, 9, 1141–1164. [Google Scholar] [CrossRef]
- Smith, N.R.; Doussal, P.L.; Majumdar, S.N.; Schehr, G. Full counting statistics for interacting trapped fermions. SciPost Phys. 2021, 11, 110. [Google Scholar] [CrossRef]
- Ipsen, J.R.; Schomerus, H. Isotropic Brownian motions over complex fields as a solvable model for May–Wigner stability analysis. J. Phys. A Math. Theor. 2016, 49, 385201. [Google Scholar] [CrossRef]
- Mergny, P.; Majumdar, S.N. Stability of large complex systems with heterogeneous relaxation dynamics. J. Stat. Mech. Theory Exp. 2021, 2021, 123301. [Google Scholar] [CrossRef]
- Derrida, B.; Hilhorst, H.J. Singular Behaviour of Certain Infinite Products of Random 2 × 2 Matrices. J. Phys. A Math. Gen. 1983, 16, 2641–2654. [Google Scholar] [CrossRef]
- Bouchard, J.P.; Georges, A.; Hansel, D.; Doussal, P.L.; Maillard, J.M. Rigorous Bounds and the Replica Method for Products of Random Matrices. J. Phys. A Math. Gen. 1986, 19, L1145–L1152. [Google Scholar] [CrossRef]
- Ipsen, J.R. Products of Independent Gaussian Random Matrices. arXiv 2015, arXiv:1510.06128. [Google Scholar] [CrossRef]
- Haake, F. Quantum Signatures of Chaos; Springer: Berlin/Heidelberg, Germany, 1991. [Google Scholar]
- Forrester, P.J. Global and local scaling limits for the β = 2 Stieltjes–Wigert random matrix ensemble. arXiv 2020, arXiv:math-ph/2011.11783. [Google Scholar] [CrossRef]
- Macdonald, I.G. Symmetric Functions and Hall Polynomials; Oxford University Press: Oxford, UK, 1998. [Google Scholar]
- Forrester, P.J. Meet Andréief, Bordeaux 1886, and Andreev, Kharkov 1882–1883. Random Matrices Theory Appl. 2019, 8, 1930001. [Google Scholar] [CrossRef]
- Jonnadula, B.; Keating, J.P.; Mezzadri, F. Symmetric function theory and unitary invariant ensembles. J. Math. Phys. 2021, 62, 093512. [Google Scholar] [CrossRef]
- Wikipedia Contributors. Hypergeometric Function—Wikipedia, the Free Encyclopedia. 2023. Available online: https://en.wikipedia.org/w/index.php?title=Hypergeometric_function&oldid=1177949416 (accessed on 22 December 2023).
- Brézin, E.; Hikami, S. Correlations of nearby levels induced by a random potential. Nucl. Phys. B 1996, 479, 697–706. [Google Scholar] [CrossRef]
- Brézin, E.; Hikami, S. Level spacing of random matrices in an external source. Phys. Rev. E 1998, 58, 7176–7185. [Google Scholar] [CrossRef]
- Johansson, K.J. Universality of the Local Spacing Distribution in Certain Ensembles of Hermitian Wigner Matrices. Commun. Math. Phys. 2001, 215, 683–705. [Google Scholar] [CrossRef]
- Claeys, T.; Wang, D. Random matrices with equispaced external source. Commun. Math. Phys. 2014, 328, 1023–1077. [Google Scholar] [CrossRef]
- Krajenbrink, A.; Le Doussal, P.; O’Connell, N. Tilted elastic lines with columnar and point disorder, non-Hermitian quantum mechanics, and spiked random matrices: Pinning and localization. Phys. Rev. E 2021, 103, 042120. [Google Scholar] [CrossRef]
- Claeys, T.; Kuijlaars, A.B.; Liechty, K.; Wang, D. Propagation of singular behavior for Gaussian perturbations of random matrices. Commun. Math. Phys. 2018, 362, 1–54. [Google Scholar] [CrossRef]
- Forrester, P.J. Properties of an exact crystalline many-body ground state. J. Stat. Phys. 1994, 76, 331–346. [Google Scholar] [CrossRef]
- Akemann, G.; Kieburg, M.; Wei, L. Singular value correlation functions for products of Wishart random matrices. J. Phys. A Math. Theor. 2013, 46, 275205. [Google Scholar] [CrossRef]
- De Luca, A.; Liu, C.; Nahum, A.; Zhou, T. Universality classes for purification in nonunitary quantum processes. arXiv 2023, arXiv:2312.17744. [Google Scholar]
- Flack, A.; Le Doussal, P.; Majumdar, S.N.; Schehr, G. Out-of-equilibrium dynamics of repulsive ranked diffusions: The expanding crystal. Phys. Rev. E 2023, 107, 064105. [Google Scholar] [CrossRef]
- Le Doussal, P. Ranked diffusion, delta Bose gas, and Burgers equation. Phys. Rev. E 2022, 105, L012103. [Google Scholar] [CrossRef] [PubMed]
- Bulchandani, V.B.; Sondhi, S.L.; Chalker, J.T. Random-matrix models of monitored quantum circuits. J. Stat. Phys. 2024, 191, 55. [Google Scholar] [CrossRef]
- Livan, G.; Novaes, M.; Vivo, P. Introduction to random matrices theory and practice. Monogr. Award 2018, 63, 54–57. [Google Scholar]
- Potters, M.; Bouchaud, J.P. A First Course in Random Matrix Theory: For Physicists, Engineers and Data Scientists; Cambridge University Press: Cambridge, UK, 2020. [Google Scholar]
- Liu, D.Z.; Wang, D.; Wang, Y. Lyapunov Exponent, Universality and Phase Transition for Products of Random Matrices. Commun. Math. Phys. 2023, 399, 1811–1855. [Google Scholar] [CrossRef]
- Akemann, G.; Burda, Z.; Kieburg, M. Universality of local spectral statistics of products of random matrices. Phys. Rev. E 2020, 102, 052134. [Google Scholar] [CrossRef]
Disclaimer/Publisher’s Note: The statements, opinions and data contained in all publications are solely those of the individual author(s) and contributor(s) and not of MDPI and/or the editor(s). MDPI and/or the editor(s) disclaim responsibility for any injury to people or property resulting from any ideas, methods, instructions or products referred to in the content. |
© 2024 by the authors. Licensee MDPI, Basel, Switzerland. This article is an open access article distributed under the terms and conditions of the Creative Commons Attribution (CC BY) license (https://creativecommons.org/licenses/by/4.0/).


