Next Article in Journal
Generalized Probabilities in Statistical Theories
Previous Article in Journal
A DFT Study on the Interaction of Doped Carbon Nanotubes with H2S, SO2 and Thiophene
 
 
Font Type:
Arial Georgia Verdana
Font Size:
Aa Aa Aa
Line Spacing:
Column Width:
Background:
Article

The Underlying Order Induced by Orthogonality and the Quantum Speed Limit

by
Francisco J. Sevilla
,
Andrea Valdés-Hernández
*,† and
Alan J. Barrios
Instituto de Física, Universidad Nacional Autónoma de México, Apdo. Postal 20-364, Ciudad de México 01000, Mexico
*
Author to whom correspondence should be addressed.
These authors contributed equally to this work.
Quantum Rep. 2021, 3(3), 376-388; https://doi.org/10.3390/quantum3030024
Submission received: 9 June 2021 / Revised: 22 July 2021 / Accepted: 22 July 2021 / Published: 24 July 2021

Abstract

We perform a comprehensive analysis of the set of parameters { r i } that provide the energy distribution of pure qutrits that evolve towards a distinguishable state at a finite time τ , when evolving under an arbitrary and time-independent Hamiltonian. The orthogonality condition is exactly solved, revealing a non-trivial interrelation between τ and the energy spectrum and allowing the classification of { r i } into families organized in a 2-simplex, δ 2 . Furthermore, the states determined by { r i } are likewise analyzed according to their quantum-speed limit. Namely, we construct a map that distinguishes those r i s in δ 2 correspondent to states whose orthogonality time is limited by the Mandelstam–Tamm bound from those restricted by the Margolus–Levitin one. Our results offer a complete characterization of the physical quantities that become relevant in both the preparation and study of the dynamics of three-level states evolving towards orthogonality.

1. Introduction

The progress on the experimental manipulation of quantum states and control of quantum dynamics to achieve specific tasks has been based on well-established theoretical elements that have pointed to new applications in quantum information science. One of these elements refers to the time τ required by an initial pure state to reach (for the first time) an orthogonal, distinguishable state when evolved under a unitary (Hamiltonian) transformation [1,2,3,4,5,6,7,8,9,10,11,12]. This orthogonality time τ represents the time required to perform an elementary computational step, and it establishes a characteristic scale for the dynamical evolution of the system. Its study has therefore both practical and fundamental implications [13,14,15].
Specially relevant is the minimal amount of time required to reach orthogonality, setting a lower bound for τ known as the quantum speed limit (QSL), τ qsl . Fundamental limitations on the QSL have been discovered [3,16,17,18,19], particularly related to the state’s energy dispersion in the form of the Mandelstam–Tamm (MT) bound or to the state’s mean energy (relative to the minimum energy), as discovered by Margolus and Levitin (ML) [20]. Since then, there has been an impressive progress on the investigations regarding the minimal amount of transformation linking two orthogonal states (see, e.g., the reviews [21,22]).
In their seminal work, Levitin and Toffoli [6] investigated the tightness of the unified bound that encompasses the MT and the ML bound. They demonstrated that only equally-weighted superpositions of two energy eigenstates saturate both bounds and attain the QSL, whereas for superpositions of three energy eigenstates the unified bound is tight, so τ may be arbitrarily close, although not equal, to τ qsl . Further investigations consider more general situations as the case of systems of qubits [23] or mixed quantum states [24,25]. More recently, an experimental confirmation of the unified bound has been observed using fast matter wave interferometry of a single atom moving in an optical trap [26], and a theoretical analysis of the feasibility for measuring QSLs in ultracold atom experiments was presented by del Campo [27].
Despite the progress boosted by Levitin and Toffoli, a thorough analysis of the necessary and sufficient conditions for a pure state, in a low-dimensional Hilbert space, to evolve towards an orthogonal one in a finite τ is far from having being completed and is still a pending task. The present paper contributes to this effort by presenting a detailed and comprehensive study of the conditions on both: the expansion coefficients { r i } of the state in the energy representation, and the system’s accessible energy levels, that guarantee that a given initial (pure) state in a three-dimensional Hilbert space attains a distinguishable one in a finite amount of time. This analysis is presented in Section 2 for states that evolve under the action of a time-independent, otherwise arbitrary, Hamiltonian. Starting from the orthogonality condition, we classify the allowed sets { r 1 , r 2 , r 3 } into two main families and establish their precise relation with the energy-level spacing and τ . The relation among the coefficients, the energy-level spacing, and the orthogonality time is afterwards represented in a diagram in which the families are depicted. Furthermore, the set of allowed r i s is recognized as a 2-simplex contained in the probability 2-simplex of R 3 . We further investigate, in Section 3, whether the quantum speed limit of the states determined by the coefficients { r i } found is given by either the MT or the ML bound. Finally, we present a summary and some concluding remarks in Section 4.
Our results disclose the exact and non-trivial interrelation among the orthogonality time, the Hamiltonian eigenvalues and the parameters that provide the energy distribution in qutrit systems, which have potential applications in the dynamics of neutrino oscillations [28], the laser-driven transformations of an atomic qutrit [29], the quantum Fourier transform of a superconducting qutrit [30] or the transfer of quantum information [31]. They also offer a complete characterization of practical value when attempting to prepare low-dimensional states that evolve towards a distinguishable one, either by specifying the appropriate initial state once a specific Hamiltonian is given or an appropriate transformation whenever the initial state is fixed.

2. Necessary and Sufficient Conditions for Reaching Orthogonality

We start by carrying out an analysis in the three-dimensional Hilbert space H 3 , to determine the conditions that drive a pure state under an arbitrary (time-independent) Hamiltonian evolution into an orthogonal state in a finite time. Our analysis is general enough and does not depend on the peculiarities of the physical system, opening the possibility of analyzing the minimal amount of transformation between orthogonal states for specific transformations of interest in the engineering of quantum computation.
An arbitrary initial pure state ψ ( 0 ) in H 3 can be expanded in the eigenbasis { E i } ( i = 1 , 2 , 3 ) of a Hamiltonian H ^ , namely H ^ E i = E i E i , as
ψ ( 0 ) = i = 1 3 r i e i θ i E i ,
where 0 θ i 2 π , and the triad of coefficients r i forms a probability distribution { r 1 , r 2 , r 3 } for which 0 r i 1 and i = 1 3 r i = 1 .
We consider initial states whose expansion (1) involves non-degenerate eigenstates E i and assume that their corresponding eigenvalues E i are ordered according to E 1 < E 2 < E 3 . Thus, the evolved state, ψ ( t ) = e i H ^ t / ψ ( 0 ) , is given explicitly by
ψ ( t ) = i = 1 3 r i e i θ i e i E i t / E i ,
and the overlap ψ ( 0 ) | ψ ( t ) , which measures how distinguishable the state ψ ( t ) is from the initial one ψ ( 0 ) , reads ψ ( 0 ) | ψ ( t ) = i = 1 3 r i e i E i t / . The system thus attains an orthogonal (distinguishable) state at time t = τ whenever
ψ ( 0 ) | ψ ( τ ) = i r i e i E i τ / = 0 .
Along with the normalization condition, we have two equations (the real and imaginary parts of (3)) and four unknowns: r 1 , r 2 , r 3 and τ . In what follows, we identify the families of triads { r i } that solve Equation (3) in terms of the orthogonality time τ and the frequencies ω i j ( E i E j ) / .

2.1. Families of Allowed Triads { r i }

Family I: Case with ω i j τ = n π for some i > j .
In this case, the coefficients r i s that solve Equation (3) and comply with i r i = 1 satisfy
1 + r i [ ( 1 ) n 1 ] + r k ( cos ω j k τ 1 ) = 0 ,
r k sin ω j k τ = 0 ,
with k { 1 , 2 , 3 } such that k i , j .
From Equation (4b), we see that this family of solutions naturally splits into two subfamilies, depending on whether r k = 0 or sin ω j k τ = 0 [32,33]. In the first case ( r k = 0 ), Equation (4a) admits only odd values of n, and consequently r i = r j = 1 / 2 . This first subfamily thus gives rise to pure states corresponding to the extensively studied case of an effective two-level (qubit) system in an equally-weighted superposition. Therefore, from now on, we refer to this family as Family I-qubit. Its elements, obtained by varying the three possible values of k, read explicitly:
I - qubit = 1 2 , 1 2 , 0 , 1 2 , 0 , 1 2 , 0 , 1 2 , 1 2 .
The second subfamily corresponds to the situation for which, in addition to ω i j τ = n π , we have sin ω j k τ = 0 and r k 0 , so that | ω j k | τ = m π with m a positive integer. An element of this subfamily thus reaches an orthogonal state at
τ = n π ω i j = m π | ω j k | , n , m = 1 , 2 , ,
from which it follows that the separations between energy levels are related by ω i j / | ω j k | = n / m . According to Equation (4), we have that odd values of n give the triads: r j = r i + r k = 1 / 2 for odd values of m, and r i = r j + r k = 1 / 2 for even values of m; while even values of n and odd values of m give r k = r i + r j = 1 / 2 (no solution exists for nandm even). All the elements of the second subfamily, namely
I - b = 1 2 , r , 1 2 r , r , 1 2 , 1 2 r , r , 1 2 r , 1 2 ,
with 0 < r < 1 / 2 , can be obtained from all the possible sets of indices { i , j , k } with i > j .
Family II: Case with ω i j τ n π for all pairs ( i , j ) .
In this case, the orthogonality condition (3), together with the normalization constraint i r i = 1 , implies that the solution coefficients { r i } are of the form
r i = sin ω j k τ sin ω 31 τ + sin ω 12 τ + sin ω 23 τ ,
provided the indices ( i , j , k ) are taken in a cyclic permutation of ( 1 , 2 , 3 ) , and sin ω 31 τ + sin ω 12 τ + sin ω 23 τ 0 ; when this quantity equals zero no solution for ψ ( 0 ) | ψ ( τ ) = 0 and i r i = 1 exists. Consequently, the largest family of triads { r i } with non-vanishing elements that solve Equation (3) is II = { r i } , with r i given by those coefficients of the form (8) that comply with the additional restriction 0 < r i < 1 (the solution r i = 0 for some i is excluded since it is already contained in Family I, whereas the solution r i = 1 for some i is ruled out since it corresponds to a stationary state that never reaches orthogonality). Notice that the decomposition ω 31 = ω 32 + ω 21 implies that the triad { r i } can be written in terms of ω 21 , ω 32 and τ only.
Equations (5), (7) and (8) determine all the coefficients { r i } that guarantee the evolution of the corresponding initial qutrit (1) to an orthogonal state. In the first two cases (Families I-qubit and I-b), the coefficients do not depend on the specific Hamiltonian; only the orthogonality time is determined by the energy-level spacing. In Family II, in contrast, the coefficients, the orthogonality time and the energy-level separations are related in a more complex way. In particular, for a fixed Hamiltonian, in order to determine τ , the set { r i } must be specified, and, conversely, to determine the latter, the value of τ must be given. The explicit relation (8) may find practical applications in determining, for example, which initial state should be prepared for it to become distinguishable at a desired τ given a certain generator H ^ .

2.2. The Solution Diagram

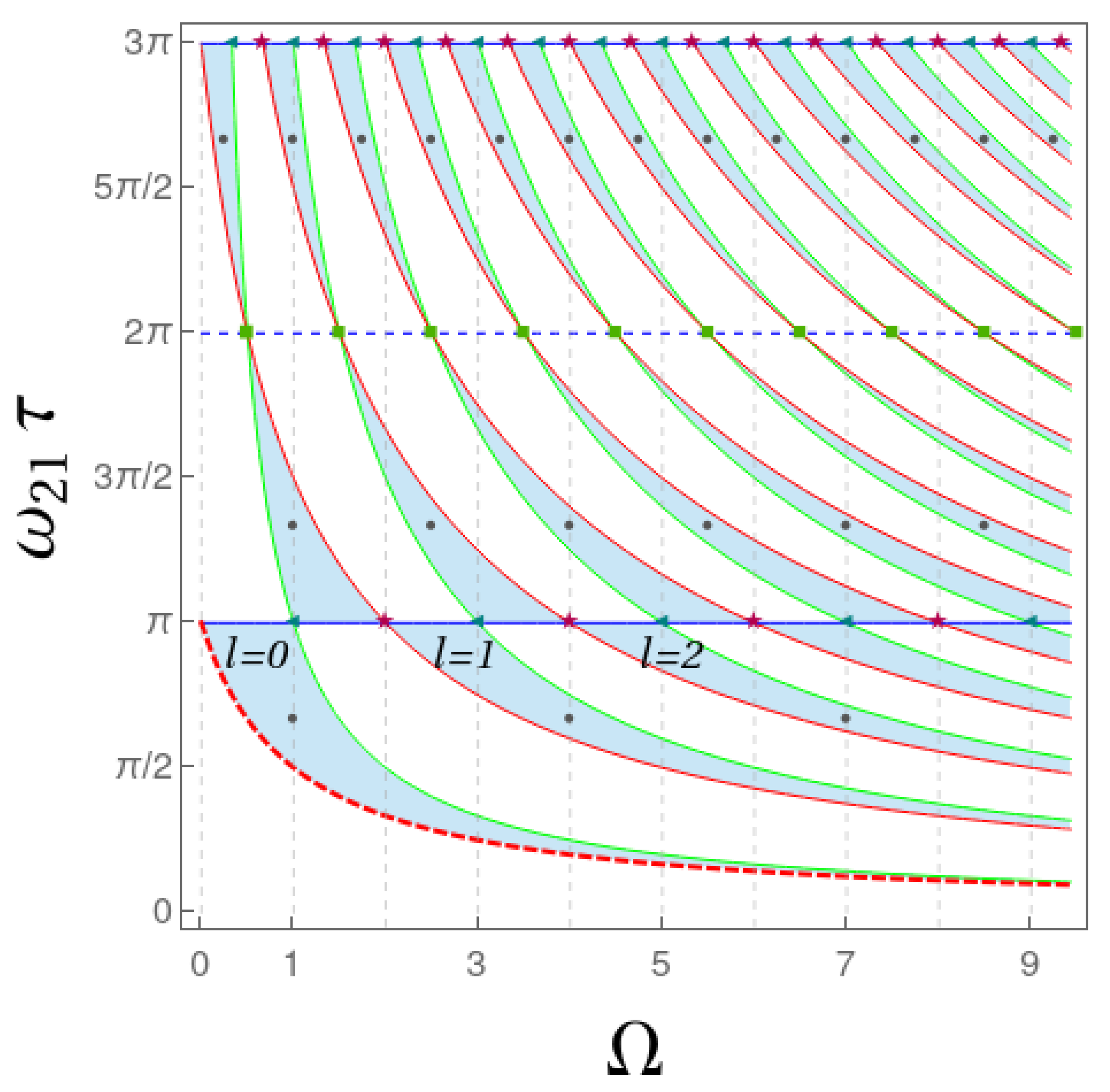
Imposing the condition 0 < r i < 1 on the solutions in Equation (8) clearly restricts the possible values of the frequencies ω i j and the orthogonality time τ . To get insight into the set of values allowed by this restriction, we identify the elements that pertain to Family II in the phase diagram corresponding to the space determined by the dimensionless orthogonality time ω 21 τ and the ratio Ω = ω 32 / ω 21 . This diagram is shown in Figure 1, and the permitted values—numerically calculated consistently with Equation (8) and the condition 0 < r i < 1 —form the ‘zebra stripe’-like pattern depicted by the blue shaded regions, excluding the borders. Thus, each point in the blue region represents a triad { r 1 , r 2 , r 3 } that satisfies Equation (8) for the corresponding values of ω 21 τ and Ω . Likewise, the points in the borders of the zebra stripes represent triads that pertain to Family I, as shown in what follows.
According to the results in Section 2.1, for the { r i } s of Family I-qubit, we have:
  • 1 2 , 1 2 , 0 corresponds to
    ω 21 τ = ( 2 l + 1 ) π , l = 0 , 1 , ,
    and is represented by the horizontal solid-blue lines in Figure 1.
  • 1 2 , 0 , 1 2 corresponds to ω 31 τ = π , 3 π , 5 π , . By writing ω 31 = ω 21 ( 1 + Ω ) , this is equivalently expressed as
    ω 21 τ = ( 2 l + 1 ) π 1 + Ω , l = 0 , 1 , ,
    represented by the red curves.
  • 0 , 1 2 , 1 2 corresponds to ω 32 τ = π , 3 π , 5 π , . With ω 32 = Ω ω 21 , this amounts to
    ω 21 τ = ( 2 l + 1 ) π Ω , l = 0 , 1 , ,
    represented by solid-green curves.
For the triads in Family I-b, an analysis of the cases described below Equation (6) shows that:
1 2 , r , 1 2 r corresponds to
ω 21 τ = ( 2 l + 1 ) π and Ω = 2 ( l + 1 ) 2 l + 1 ,
with l , l = 0 , 1 . Consequently, the points representing these triads (marked with a star symbol) are found in the intersections of the solid-blue lines with the lines (not shown in Figure 1) Ω = 2 ( l + 1 ) / ( 2 l + 1 ) .
r , 1 2 , 1 2 r corresponds to
ω 21 τ = ( 2 l + 1 ) π and Ω = 2 l + 1 2 l + 1 ,
with l , l = 0 , 1 . The triads are therefore located at the intersections (marked with the left-triangle symbol) of the solid-blue lines with the lines (not shown) Ω = ( 2 l + 1 ) / ( 2 l + 1 ) .
r , 1 2 r , 1 2 corresponds to
ω 21 τ = 2 ( l + 1 ) π and Ω = 2 l + 1 2 ( l + 1 ) ,
with l , l = 0 , 1 . The set of coefficients are thus located at the intersections (marked with square symbol) of the dashed-blue lines with the lines (not shown) Ω = ( 2 l + 1 ) / 2 ( l + 1 ) .
The above results confirm that the borders of the blue shaded regions do indeed represent solutions in Family I. The interior of the zebra stripes, as stated above, contains those that pertain to Family II, which can be located arbitrarily near to the borders. This can be verified as follows. For simplicity, we consider the zebra stripes (labeled as l = 0 , 1 , ) contained in the region R 1 = ( 0 , ) × ( 0 , π ) of the diagram ω 21 τ vs. Ω . In R 1 , we have that sin ω 21 τ > 0 , which, together with the condition r 3 > 0 , implies that the denominator in Equation (8) is a negative quantity; consequently, r 1 > 0 gives sin ω 32 τ > 0 , which leads to the conditions
0 < ω 21 τ < π ,
2 l π < ω 32 τ < ( 2 l + 1 ) π ,
for l = 0 , 1 , . By use of these inequalities and the relation ω 31 = ω 32 + ω 21 , we have 2 l π < ω 31 τ < 2 ( l + 1 ) π . However, the condition r 2 > 0 implies that sin ω 31 τ < 0 , and consequently the bounds of ω 31 τ are tightened to
( 2 l + 1 ) π < ω 31 τ < 2 ( l + 1 ) π .
Now, by writing ω 32 = Ω ω 21 and ω 31 = ω 21 ( 1 + Ω ) , the inequalities (15) are satisfied for each l if
max 2 l π Ω , ( 2 l + 1 ) π 1 + Ω < ω 21 τ < min π , ( 2 l + 1 ) π Ω , 2 ( l + 1 ) π 1 + Ω ,
obtaining finally that the lth zebra stripe in R 1 is correspondingly delimited by the boundaries expressed in the inequalities
( 2 l + 1 ) π 1 + Ω < ω 21 τ < π 2 l Ω 2 l + 1 , ( 2 l + 1 ) π Ω Ω 2 l + 1 .
The lower and upper bounds in this expression correspond, respectively, to the red and green (or blue) borders seen above. Therefore, since ω 21 τ can be arbitrarily close to the bounds, there is a point inside the zebra stripes that approximates to the borders as much as desired. Physically, this means that there is a triad { r i } for which the orthogonality time can be arbitrarily close to the limiting values in Equation (17).

2.3. Orthogonality Time

From the lower bound of Equation (17), we get the minimal orthogonality time for the lth zebra stripe:
τ < ( l ) = ( 2 l + 1 ) π 1 + Ω 1 ω 21 = ( 2 l + 1 ) π ω 31 .
Taking l = 0 in Equation (18), we get
τ min min { l } [ τ < ( l ) ] = τ < ( 0 ) = π ω 31 ,
thus τ < ( 0 ) —represented by the red-dashed curve in Figure 1—stands for the global minimal possible amount of time required to reach orthogonality. Since τ min ω 31 1 , orthogonality can be reached more quickly as the separation between the extreme levels increases. Recall, however, that this minimal time is not attainable for states in Family II, lying inside the zebra stripe; however, as discussed above, it is always possible to find a point inside the blue-shaded area corresponding to a three-level state that attains orthogonality at a time arbitrarily close to τ min .
The two upper bounds in Equation (17) coincide whenever Ω = 2 l + 1 . For l = 0 , this occurs when the separation between levels coincide, so that ω 32 = ω 21 = ω and ω 31 = 2 ω . This equally-spaced case is indicated with the vertical dashed line Ω = 1 in Figure 1 and corresponds, according to Equation (8), to
r 2 = cos ω τ cos ω τ 1 ,
r 3 = r 1 = 1 2 ( 1 cos ω τ ) .
As a particular example of this equally-spaced energy levels case, we find the τ s for the equally-probable superposition, corresponding to r 1 = r 2 = r 3 = 1 / 3 (represented in Figure 1 by dark dots at the ‘center’ of each zebra stripe). From Equation (20), we have that ω τ must satisfy cos ω τ = 1 / 2 , which leads to
τ = 2 π 3 ω , 4 π 3 ω , 8 π 3 ω , .
The first of these values, τ 1 = 2 π / 3 ω (corresponding to the dot inside the l = 0 zebra stripe), determines the time at which ψ ( t ) = 1 3 i e i θ i e i E i t / E i becomes distinguishable from the initial state ψ ( 0 ) for the first time, while the second, τ 2 = 2 τ 1 (second point on the vertical line Ω = 1 ), gives the time at which a second distinguishable state, ψ ( 2 τ 1 ) , orthogonal to ψ ( 0 ) and ψ ( τ 1 ) , is reached [34]. This is a particular example (for N = 3 ) of the previously studied case of equally-weighted superpositions of N non-degenerate and equally-spaced states [34]. Furthermore, the regular distribution of the dark dots in the middle of each zebra stripe is a consequence of a more general property, namely, that each distribution corresponding to a given τ and Ω in stripe l = 0 periodically appears in all other stripes at the same τ and Ω l = Ω + 2 π l / τ .
In Figure 1, we observe that, for 0 < Ω 1 , there exist triads of Family II that give rise to states ψ ( 0 ) and ψ ( τ ) that are mutually orthogonal for any τ in the interval τ min = π / ω 31 < τ < π / ω 21 . For Ω > 1 in the region R 1 , the allowed values of the orthogonality time are grouped into bands, whose number increases, decreasing their width, as Ω acquires higher values. In any case, it should be noted that at least one solution exists for all Ω , meaning that a three-level system can be made to reach an orthogonal state in a finite time τ < π / ω 21 , provided the expansion coefficients { r i } , which specify the initial state preparation (1), are adequately chosen.
Before ending this section, and in order to gain more insight into the geometric representation of the allowed { r i } s, we now focus on the space ( r 1 , r 2 , r 3 ) and identify in it the triads for which mutually orthogonal states, ψ ( τ ) and ψ ( 0 ) , exist. Such points form a subset δ 2 of the standard 2-simplex Δ 2 in R 3 , the latter defined by the points ( r 1 , r 2 , r 3 ) that satisfy r i 0 and i r i = 1 and represented by the light-blue shaded face in Figure 2. δ 2 , which is in itself a 2-simplex, is depicted as the colored triangle. Its vertices and edges (its boundary) correspond, respectively, to the elements of the Families I-qubit and I-b, and its interior is filled with by those { r i } in Family II. As can be seen in the figure, these latter points do satisfy 0 < r i < 1 / 2 , meaning, in particular, that for highly unbalanced superpositions of energy eigenstates the orthogonality condition cannot be met.

3. The Quantum Speed Limit

It is a well-established fact that, for given energetic resources, the orthogonality time of an initial state cannot be less than the (minimal) time imposed by the so-called quantum speed limit. The QSL establishes a natural and intrinsic time-scale of the system’s dynamics and becomes relevant when characterizing the evolution rate of the system. It is therefore the central quantity of this section, aimed at determining the quantum speed limit of the states associated to the expansion coefficients that belong to the Families I and II.
The fundamental limits on the speed at which a pure quantum state evolves towards an orthogonal one under a (time-independent) Hamiltonian have been advanced in the form of lower bounds, either in terms of the relative mean energy E (as measured from the lowest eigenvalue that contributes to (1), say E j ) [16],
τ π 2 E , E = ( H ^ E j ) ,
or in terms of the energy dispersion [20] σ H ^ = H ^ 2 H ^ 2 ,
τ π 2 σ H ^ ,
with H ^ n = i r i E i n . Equations (22a) and (22b) are, respectively, the celebrated Margolus–Levitin (ML) and Mandestam-Tamm (MT) bounds. In [6], Levitin and Toffoli considered the unified bound [6]
τ τ qsl max π 2 E , π 2 σ H ^ ,
with τ qsl denoting the quantum speed limit. They proved that only for states in an equally-weighted superposition of two energy eigenstates both bounds (ML and MT) coincide and the quantum speed limit is attained, whereas for superpositions of three energy eigenstates the unified bound is tight, so τ may be arbitrarily close, although not equal, to τ qsl . This means that for the triads { r i } in Family I-qubit τ qsl = τ , whereas for those in the Families I-b and II it holds that τ qsl < τ . Our aim is thus to discern which of the two bounds, ML or MT, determines the quantum speed limit of the states (1) specified by the elements of these latter families. We do so by analyzing the parameter
α = σ H ^ E ,
which evidently determines τ qsl as the Mandelstam–Tamm bound whenever α < 1 , as the Margolus–Levitin bound provided α > 1 and by either of them (being equal) for α = 1 .
In terms of the transition frequencies ω i j and the coefficients r i , E and σ H ^ are explicitly given by
E = H ^ E j = ω i j r i + ω k j r k ,
σ H ^ = 2 2 i , k = 1 3 r i r k ω i k 2 .
For the triads in Family I-qubit, Equation (24) reduces to E = σ H ^ = ω i j / 2 ; therefore, α = 1 , bounds (22a) and (22b) coincide, and it is verified that τ = τ qsl , with τ qsl = π / ω i j . Notice that, among the three members of Family I-qubit, the one with the lowest quantum speed limit is 1 2 , 0 , 1 2 (represented by the red vertex of δ 2 in Figure 2), which gives rise to the fastest qubit ψ ( 0 ) = 1 2 e i θ 1 E 1 + e i θ 3 E 3 that reaches a distinguishable state at τ given precisely by Equation (19).
When all three coefficients r i are nonzero, we can rewrite Equation (24) as follows
E = H ^ E 1 = ω 21 [ r 2 + r 3 ( 1 + Ω ) ] ,
σ H ^ = ω 21 r 1 r 2 + r 1 r 3 ( 1 + Ω ) 2 + r 2 r 3 Ω 2 ,
from which α can be expressed as
α = r 2 + r 3 1 + Ω 2 r 2 + r 3 ( 1 + Ω ) 2 1 .
This allows the realization of a quantitative analysis of the quantum speed limit of states given rise by Families I and II. For an arbitrary fixed { r i } , α depends explicitly on the energy separations only through the ratio Ω = ω 32 / ω 21 . However, for the { r i } in Family II, the detailed dependence of α on Ω becomes more intricate due to Equation (8). In Figure 3, we show a large sample of points of the 2-simplex δ 2 that correspond to coefficients for which α , computed from (26), is larger than 1 (the Margolus–Levitin subset δ ML 2 , colored in magenta), and similarly coefficients for which α < 1 (the Mandelstam–Tamm subset δ MT 2 , colored in cyan), for different values of Ω in the region ( 0 , 3 π 2 ] × ( 0 , 18 π ] of the space ω 21 τ Ω . The figure reveals the complex spreading of both subsets within the orthogonality simplex δ 2 , induced by the quantum speed limit; notably, there is no sharp separation between the elements of δ MT 2 and those of δ ML 2 . They appear rather mixed, although exhibiting a marked accumulation of cyan points around the edge r , 1 2 r , 1 2 and the vertex 0 , 1 2 , 1 2 . These become diluted towards the opposite vertex 1 2 , 1 2 , 0 , whereas the magenta points are more dense near the vertices 1 2 , 0 , 1 2 and 1 2 , 1 2 , 0 .
The case of the triads in Family I-b, represented by the edges of δ 2 in Figure 3, allows for a direct and simple analytical analysis for determining the corresponding range of α . With this purpose, it is convenient to analyze separately the three possible sets { r i = 1 / 2 = r j + r k } as follows:
1 2 , r , 1 2 r , 0 < r < 1 2 . These points form the edge that goes from the vertex 1 2 , 0 , 1 2 to 1 2 , 1 2 , 0 of the 2-simplex δ 2 in Figure 2 and Figure 3, and they correspond to
α = 1 + r ( 1 2 r ) Ω 2 r + ( 1 2 r ) ( 1 + Ω ) 2 > 1 for all Ω ,
where the inequality follows from the fact that 0 < 1 2 r < 1 .
r , 1 2 r , 1 2 , 0 < r < 1 2 . These points form the edge that goes from the vertex 1 2 , 0 , 1 2 to 0 , 1 2 , 1 2 in Figure 2 and Figure 3, and give
α = 1 ( 1 2 r ) ( 1 r + Ω ) 1 r + 1 2 Ω 2 < 1 for all Ω .
r , 1 2 , 1 2 r , 0 < r < 1 2 . This set of points lies along the edge that goes from the vertex 0 , 1 2 , 1 2 to 1 2 , 1 2 , 0 in Figure 2 and Figure 3, and their corresponding α reads
α = 1 + ( 1 2 r ) ( 1 + Ω ) r ( 1 + Ω ) 1 1 r + Ω 1 2 r 2 .
Unlike the previous cases, here, the range of α depends on the range of Ω . For Ω 1 we have α < 1 , whereas for Ω > 1 we find three cases:
α > 1 for 1 1 + Ω < r < 1 2 ,
α = 1 for r = 1 1 + Ω ,
α < 1 for 0 < r < 1 1 + Ω .
In this way, for a given Ω , the edge under consideration is divided into two segments, one cyan and one magenta, separated by the point at r = ( 1 + Ω ) 1 . Notice that such segments are not appreciated in Figure 3, since (as explained above) this figure considers a sample of different values of Ω and not a single one.
Finally, Table 1 contains a practical summary of our main results, which completely characterize all qutrits that evolve towards an orthogonal state under a time-independent, otherwise arbitrary, Hamiltonian.

4. Summary and Final Remarks

In this paper, we completely determine and organize the set of coefficients { r i } that provide the energy distribution and give rise to initial states (1) that reach an orthogonal state in a finite time τ , when evolving under an arbitrary time-independent Hamiltonian. A geometric organization of such coefficients is established, both in the solution diagram in the space ω 21 τ - Ω and in the 2-simplex in R 3 . In the first case, the sets { r i } are represented by points according to the allowed values of τ and the corresponding energy-levels separation, and characteristic regions whose shape resembles zebra-like stripes emerge. The interior of each of these regions is filled with triads of Family II ( r i 0 , 1 / 2 for all i), whereas the borders correspond to triads of Family I: continuous borders represent coefficients associated to qubit states ( r i = 0 for some i), and their intersections represent elements of Subfamily I-b ( r i = 1 / 2 for some i, r j 0 for all j). In the second geometric representation, the { r i } s are organized in the central 2-simplex δ 2 , contained in the 2-simplex Δ of R 3 . In this case as well, the elements in Family II fill the interior (satisfying 0 < r i < 1 / 2 ) , whereas elements in Family I lie along the borders (edges and vertices) of δ 2 .
As is clear from the results in Figure 1, the minimum orthogonality time τ min (19) of the qubit corresponding to the triad R 13 1 2 , 0 , 1 2 (dotted red line) bounds from below the orthogonality time of any other qubit or qutrit with the same energetic resources. The other qubits that attain an orthogonal state (representing equally weighted superpositions of eigenstates with energies E 1 and E 2 and E 2 and E 3 , respectively) correspond to the triads R 12 1 2 , 1 2 , 0 and R 23 0 , 1 2 , 1 2 and have orthogonality times that are bounded according to: τ min < τ R 12 τ R 23 whenever ω 21 ω 32 and τ min < τ R 23 τ R 12 provided ω 32 ω 21 (see Equations (9) and (11) with l = 0 ). In the latter case, there exist qutrits whose orthogonality times may acquire any value within the interval ( τ min , τ R 23 ) , whose length diminishes as ω 32 / ω 21 increases. Such qutrits are represented in the blue shaded region of the l = 0 zebra stripe in Figure 1.
We furthermore analyze the quantum speed limit of the pure states given rise by the points within the 2-simplex δ 2 , by constructing a map where the states whose orthogonality time is bounded by the Margolus–Levitin bound are distinguished from those for which the Mandelstam–Tamm bound limits the time evolution towards orthogonality.
Our investigation constitutes a comprehensive analysis of the exact solutions of the orthogonality condition ψ ( 0 ) | ψ ( τ ) = 0 in three-level systems. It reveals a rich underlying geometric structure and hierarchy of the allowed parameters that conform the energy distributions, while allowing for the establishment of limiting values for the orthogonality time in terms of the energy levels spacing. Further, knowledge of the expansion coefficients and their relation with τ provides central tools to analyze the detailed dynamics of qutrits evolving towards orthogonality and explore its relation with other relevant features, such as the amount of entanglement in composite three-level systems, which strongly depends on the sets { r i } .
We consider that our study contributes from both theoretical and practical points of view to the efforts ultimately aimed at establishing the conditions under which a N-level state transforms into a distinguishable one under a unitary transformation, irrespective of the peculiarities of the physical system. In this sense, it should be stressed that, although we assume a Hamiltonian evolution, the analysis just performed can be immediately extended to more general continuous unitary transformations e i G ^ γ , with G ^ an appropriate ( γ -independent) generator and γ the corresponding evolution parameter. Our findings are thus applicable to any pure state (of single or composite systems) that can be expressed as a superposition of any three, non-degenerate, eigenvectors of G ^ and throw light onto the γ -distribution and the amount of evolution γ required to reach an orthogonal state under the transformation governed by G ^ . The results here presented thus acquire relevance in the realm of the dynamics of low-dimensional states, as well as in the field of quantum information processing, in which knowing and approximating to the fundamental limits of a quantum dynamical process improves quantum control technologies.

Author Contributions

Conceptualization, F.J.S. and A.V.-H.; methodology, A.V.-H. and F.J.S.; validation, A.V.-H. and F.J.S.; formal analysis, F.J.S., A.V.-H. and A.J.B.; investigation, F.J.S., A.V.-H. and A.J.B.; writing—original draft preparation, A.V.-H. and F.J.S.; writing—review and editing, A.J.B., A.V.-H. and F.J.S.; visualization, F.J.S. All authors have read and agreed to the published version of the manuscript.

Funding

This work was supported by UNAM-PAPIIT IN110120 (F.J.S. and A.J.B.) and UNAM-PAPIIT IN113720 (A.V.-H.).

Conflicts of Interest

The authors declare no conflict of interest.

References

  1. Fonda, L.; Ghirardi, G.C.; Rimini, A. Decay theory of unstable quantum systems. Rep. Prog. Phys. 1978, 41, 587–631. [Google Scholar] [CrossRef]
  2. Giovannetti, V.; Lloyd, S.; Maccone, L. Quantum limits to dynamical evolution. Phys. Rev. A 2003, 67, 052109. [Google Scholar] [CrossRef]
  3. Gislason, E.A.; Sabelli, N.H.; Wood, J.W. New form of the time-energy uncertainty relation. Phys. Rev. A 1985, 31, 2078–2081. [Google Scholar] [CrossRef]
  4. Jones, P.J.; Kok, P. Geometric derivation of the quantum speed limit. Phys. Rev. A 2010, 82, 022107. [Google Scholar] [CrossRef]
  5. Jordan, S.P. Fast quantum computation at arbitrarily low energy. Phys. Rev. A 2017, 95, 032305. [Google Scholar] [CrossRef]
  6. Levitin, L.B.; Toffoli, T. Fundamental Limit on the Rate of Quantum Dynamics: The Unified Bound Is Tight. Phys. Rev. Lett. 2009, 103, 160502. [Google Scholar] [CrossRef]
  7. Luo, S. How fast can a quantum state evolve into a target state? Phys. D Nonlinear Phenom. 2004, 189, 1–7. [Google Scholar] [CrossRef]
  8. Marvian, I.; Spekkens, R.W.; Zanardi, P. Quantum speed limits, coherence, and asymmetry. Phys. Rev. A 2016, 93, 052331. [Google Scholar] [CrossRef]
  9. Pfeifer, P.; Fröhlich, J. Generalized time-energy uncertainty relations and bounds on lifetimes of resonances. Rev. Mod. Phys. 1995, 67, 759–779. [Google Scholar] [CrossRef]
  10. Pires, D.P.; Cianciaruso, M.; Céleri, L.C.; Adesso, G.; Soares-Pinto, D.O. Generalized Geometric Quantum Speed Limits. Phys. Rev. X 2016, 6, 021031. [Google Scholar] [CrossRef]
  11. Zhang, Y.J.; Han, W.; Xia, Y.J.; Cao, J.P.; Fan, H. Quantum speed limit for arbitrary initial states. Sci. Rep. 2014, 4, 4890. [Google Scholar] [CrossRef]
  12. Zieliński, B.; Zych, M. Generalization of the Margolus-Levitin bound. Phys. Rev. A 2006, 74, 034301. [Google Scholar] [CrossRef]
  13. Mirkin, N.; Larocca, M.; Wisniacki, D. Quantum metrology in a non-Markovian quantum evolution. Phys. Rev. A 2020, 102, 022618. [Google Scholar] [CrossRef]
  14. Shao, Y.; Liu, B.; Zhang, M.; Yuan, H.; Liu, J. Operational definition of a quantum speed limit. Phys. Rev. Res. 2020, 2, 023299. [Google Scholar] [CrossRef]
  15. Suzuki, K.; Takahashi, K. Performance evaluation of adiabatic quantum computation via quantum speed limits and possible applications to many-body systems. Phys. Rev. Res. 2020, 2, 032016. [Google Scholar] [CrossRef]
  16. Mandelstam, L.; Tamm, I. The Uncertainty Relation Between Energy and Time in Non-relativistic Quantum Mechanics. In Selected Papers; Bolotovskii, B.M., Frenkel, V.Y., Peierls, R., Eds.; Springer: Berlin/Heidelberg, Germany, 1991; pp. 115–123. [Google Scholar] [CrossRef]
  17. Vaidman, L. Minimum time for the evolution to an orthogonal quantum state. Am. J. Phys. 1992, 60, 182–183. [Google Scholar] [CrossRef]
  18. Pfeifer, P. How fast can a quantum state change with time? Phys. Rev. Lett. 1993, 70, 3365–3368. [Google Scholar] [CrossRef] [PubMed]
  19. Braunstein, S.L.; Caves, C.M.; Milburn, G. Generalized Uncertainty Relations: Theory, Examples, and Lorentz Invariance. Ann. Phys. 1996, 247, 135–173. [Google Scholar] [CrossRef]
  20. Margolus, N.; Levitin, L.B. The maximum speed of dynamical evolution. Phys. D Nonlinear Phenom. 1998, 120, 188–195. [Google Scholar] [CrossRef]
  21. Frey, M.R. Quantum speed limits—Primer, perspectives, and potential future directions. Quantum Inf. Process. 2016, 15, 3919–3950. [Google Scholar] [CrossRef]
  22. Deffner, S.; Campbell, S. Quantum speed limits: From Heisenberg’s uncertainty principle to optimal quantum control. J. Phys. Math. Theor. 2017, 50, 453001. [Google Scholar] [CrossRef]
  23. Zhang, L.; Sun, Y.; Luo, S. Quantum speed limit for qubit systems: Exact results. Phys. Lett. A 2018, 382, 2599–2604. [Google Scholar] [CrossRef]
  24. Taddei, M.M.; Escher, B.M.; Davidovich, L.; de Matos Filho, R.L. Quantum Speed Limit for Physical Processes. Phys. Rev. Lett. 2013, 110, 050402. [Google Scholar] [CrossRef] [PubMed]
  25. Campaioli, F.; Pollock, F.A.; Binder, F.C.; Modi, K. Tightening Quantum Speed Limits for Almost All States. Phys. Rev. Lett. 2018, 120, 060409. [Google Scholar] [CrossRef]
  26. Ness, G.; Lam, M.R.; Alt, W.; Meschede, D.; Sagi, Y.; Alberti, A. Observing quantum-speed-limit crossover with matter wave interferometry. arXiv 2021, arXiv:2104.05638. [Google Scholar]
  27. del Campo, A. Probing Quantum Speed Limits with Ultracold Gases. Phys. Rev. Lett. 2021, 126, 180603. [Google Scholar] [CrossRef]
  28. Khan, F.; Dajka, J. Geometric speed limit of neutrino oscillation. Quantum Inf. Process. 2021, 20, 193. [Google Scholar] [CrossRef]
  29. Vitanov, N.V. Synthesis of arbitrary SU(3) transformations of atomic qutrits. Phys. Rev. A 2012, 85, 032331. [Google Scholar] [CrossRef]
  30. Yurtalan, M.A.; Shi, J.; Kononenko, M.; Lupascu, A.; Ashhab, S. Implementation of a Walsh-Hadamard Gate in a Superconducting Qutrit. Phys. Rev. Lett. 2020, 125, 180504. [Google Scholar] [CrossRef] [PubMed]
  31. Delgado, A.; Saavedra, C.; Retamal, J. Quantum information and entanglement transfer for qutrits. Phys. Lett. A 2007, 370, 22–27. [Google Scholar] [CrossRef][Green Version]
  32. Batle, J.; Casas, M.; Plastino, A.; Plastino, A.R. Connection between entanglement and the speed of quantum evolution. Phys. Rev. A 2005, 72, 032337. [Google Scholar] [CrossRef]
  33. Chau, H.F. Comment on “Connection between entanglement and the speed of quantum evolution” and on “Entanglement and the lower bounds on the speed of quantum evolution”. Phys. Rev. A 2010, 82, 056301. [Google Scholar] [CrossRef]
  34. Valdés-Hernández, A.; Sevilla, F.J. A new route towards orthogonality. J. Phys. Math. Theor. 2020, 54, 025301. [Google Scholar] [CrossRef]
Figure 1. Diagram ω 21 τ vs. Ω , with Ω = ω 32 / ω 21 . The coefficients { r 1 , r 2 , r 3 } giving rise to states (1) that reach an orthogonal state at time τ are represented by points in the diagram for the corresponding values of ω 21 τ and Ω . Blue-shaded regions represent { r i } of Family II, satisfying Equation (8). These regions are bordered by the solutions { r i } pertaining to Family I as follows. For Subfamily I-qubit: 1 2 , 1 2 , 0 is identified with solid-blue lines, 0 , 1 2 , 1 2 with solid-green lines and 1 2 , 0 , 1 2 with red lines. For Subfamily I-b: 1 2 , r , 1 2 r is identified with a star, r , 1 2 , 1 2 r with a left-triangle and r , 1 2 r , 1 2 with a square. The red-dashed curve indicates the global lower bound for the orthogonality time.
Figure 1. Diagram ω 21 τ vs. Ω , with Ω = ω 32 / ω 21 . The coefficients { r 1 , r 2 , r 3 } giving rise to states (1) that reach an orthogonal state at time τ are represented by points in the diagram for the corresponding values of ω 21 τ and Ω . Blue-shaded regions represent { r i } of Family II, satisfying Equation (8). These regions are bordered by the solutions { r i } pertaining to Family I as follows. For Subfamily I-qubit: 1 2 , 1 2 , 0 is identified with solid-blue lines, 0 , 1 2 , 1 2 with solid-green lines and 1 2 , 0 , 1 2 with red lines. For Subfamily I-b: 1 2 , r , 1 2 r is identified with a star, r , 1 2 , 1 2 r with a left-triangle and r , 1 2 r , 1 2 with a square. The red-dashed curve indicates the global lower bound for the orthogonality time.
Quantumrep 03 00024 g001
Figure 2. The 2-simplex Δ 2 of R 3 (light-blue shaded plane), defined by the set of points ( r 1 , r 2 , r 3 ) satisfying r i 0 and i r i = 1 . The 2-simplex δ 2 (colored central triangle) contains the subset of points of Δ 2 that define the coefficients in the energy-expansion of initial states ψ ( 0 ) that evolve towards a distinguishable state at time τ . The vertices of δ 2 correspond to elements of Family I-qubit, its edges to elements of Family I-b and its interior to elements of Family II. The colors in δ 2 identify the triads according to a RGB map-code defined by its vertices.
Figure 2. The 2-simplex Δ 2 of R 3 (light-blue shaded plane), defined by the set of points ( r 1 , r 2 , r 3 ) satisfying r i 0 and i r i = 1 . The 2-simplex δ 2 (colored central triangle) contains the subset of points of Δ 2 that define the coefficients in the energy-expansion of initial states ψ ( 0 ) that evolve towards a distinguishable state at time τ . The vertices of δ 2 correspond to elements of Family I-qubit, its edges to elements of Family I-b and its interior to elements of Family II. The colors in δ 2 identify the triads according to a RGB map-code defined by its vertices.
Quantumrep 03 00024 g002
Figure 3. Map of the quantum speed limit (of the states associated to the triads { r i } ) in the 2-simplex δ 2 . For different values of Ω , the simplex is colored according to the range of α (Equation (26)) as follows: the Mandelstam–Tamm subset δ MT 2 ( α < 1 , cyan) and the Margolus–Levitin one δ ML 2 ( α > 1 , magenta).
Figure 3. Map of the quantum speed limit (of the states associated to the triads { r i } ) in the 2-simplex δ 2 . For different values of Ω , the simplex is colored according to the range of α (Equation (26)) as follows: the Mandelstam–Tamm subset δ MT 2 ( α < 1 , cyan) and the Margolus–Levitin one δ ML 2 ( α > 1 , magenta).
Quantumrep 03 00024 g003
Table 1. Complete set of expansion coefficients { r i } that satisfy the orthogonality condition, the corresponding orthogonality time τ (in terms of the energy-separation levels of the Hamiltonian) and the ratio α that determines whether the quantum speed limit is given by the Mandelstam–Tamm bound ( α < 1 ) or the Margolus–Levitin bound ( α > 1 ). We denote D = sin ω 23 τ + sin ω 31 τ + sin ω 12 τ .
Table 1. Complete set of expansion coefficients { r i } that satisfy the orthogonality condition, the corresponding orthogonality time τ (in terms of the energy-separation levels of the Hamiltonian) and the ratio α that determines whether the quantum speed limit is given by the Mandelstam–Tamm bound ( α < 1 ) or the Margolus–Levitin bound ( α > 1 ). We denote D = sin ω 23 τ + sin ω 31 τ + sin ω 12 τ .
Family r 1 r 2 r 3 τ α
I-qubit0 1 2 1 2 n π ω 32 , n odd1
I-qubit 1 2 0 1 2 n π ω 31 , n odd1
I-qubit 1 2 1 2 0 n π ω 21 , n odd1
I-b 1 2 r 1 2 r ( 0 < r < 1 2 ) n π ω 21 with ω 32 ω 21 = m n , n odd, m even > 1
I-br 1 2 r 1 2 ( 0 < r < 1 2 ) n π ω 21 with ω 32 ω 21 = m n , n even, m odd < 1
I-br 1 2 1 2 r ( 0 < r < 1 2 ) n π ω 21 with ω 32 ω 21 = m n , n odd, m odd > 1 , for 1 1 + ω 32 ω 21 < r < 1 2
= 1 , for r = 1 1 + ω 32 ω 21
< 1 , for 0 < r < 1 1 + ω 32 ω 21
II sin ω 23 τ D sin ω 31 τ D sin ω 12 τ D ( 0 < r i < 1 ) Implicitly defined via Equation (8) 1
Publisher’s Note: MDPI stays neutral with regard to jurisdictional claims in published maps and institutional affiliations.

Share and Cite

MDPI and ACS Style

Sevilla, F.J.; Valdés-Hernández, A.; Barrios, A.J. The Underlying Order Induced by Orthogonality and the Quantum Speed Limit. Quantum Rep. 2021, 3, 376-388. https://doi.org/10.3390/quantum3030024

AMA Style

Sevilla FJ, Valdés-Hernández A, Barrios AJ. The Underlying Order Induced by Orthogonality and the Quantum Speed Limit. Quantum Reports. 2021; 3(3):376-388. https://doi.org/10.3390/quantum3030024

Chicago/Turabian Style

Sevilla, Francisco J., Andrea Valdés-Hernández, and Alan J. Barrios. 2021. "The Underlying Order Induced by Orthogonality and the Quantum Speed Limit" Quantum Reports 3, no. 3: 376-388. https://doi.org/10.3390/quantum3030024

APA Style

Sevilla, F. J., Valdés-Hernández, A., & Barrios, A. J. (2021). The Underlying Order Induced by Orthogonality and the Quantum Speed Limit. Quantum Reports, 3(3), 376-388. https://doi.org/10.3390/quantum3030024

Article Metrics

Back to TopTop