Next Article in Journal / Special Issue
Unexpectedly High Acidity of Water-Soluble Phosphacoumarins
Previous Article in Journal
Influence of π-Conjugated Backbone Length and Tail Chain Number on Self-Assembly Structures of 4,6-Diamino-1,3,5-triazine Derivatives Revealed by STM
Previous Article in Special Issue
Terpene-Functionalized 3,5-Bis(benzylidene)-4-piperidones: Synthesis, Cytotoxicity Properties, In Silico and In Vitro Studies
 
 
Font Type:
Arial Georgia Verdana
Font Size:
Aa Aa Aa
Line Spacing:
Column Width:
Background:
Communication

Organogold(III) Complexes with Chelating Thiourea-Type Ligands

by
Suelen Ferreira Sucena
,
Adelheid Hagenbach
and
Ulrich Abram
*
Institute of Chemistry and Biochemistry, Freie Universität Berlin, Fabeckstr. 34/36, 14195 Berlin, Germany
*
Author to whom correspondence should be addressed.
Chemistry 2025, 7(6), 174; https://doi.org/10.3390/chemistry7060174
Submission received: 3 October 2025 / Revised: 24 October 2025 / Accepted: 29 October 2025 / Published: 3 November 2025
(This article belongs to the Special Issue Celebrating the 50th Anniversary of Professor Valentine Ananikov)

Abstract

The gold(III) starting material [Au(damp-κC1,N)Cl2] (Hdamp = 2-(dimethylaminomethyl)benzene) reacts with the thiourea-type ligands 3,3-diethyl-1-benzoylthiourea (HL1) or N-(3,3-diethylamino-thiocarbonyl)-N′-(2-hydroxyphenyl)benzamidine (H2L2) under formation of the gold(III) cations [Au(damp-κC1,N)(L1-κS,O)]+ (1) and [Au(Hdamp-κC1)(L2-κS,N,O)]+ (2). The products have been isolated in crystalline form as their PF6 salts and studied by X-ray diffraction and spectroscopic methods. The preservation of the gold(III) oxidation state and the square-planar coordination spheres in the products is most probably due to the formation of chelate rings by the incoming ligands and the presence of the Au–C bond to the phenyl rings of the damp or Hdamp ligands.

1. Introduction

Reactions of the common gold(III) starting material [AuCl4] with thiourea- or thione-type ligands frequently result in a reduction in the transition metal and the formation of gold(I) products [1]. This is not completely unexpected with regard to the redox potential of Au(III) and the ready formation of disulfide-like compounds. However, some exceptions are known, which are mainly related to complexes containing aromatic thiones [2,3,4,5], the presence of gold–carbon bonds [5,6], and/or the stabilization of the coordination number 4 by the formation of chelate rings [5,7]. The latter finding seems to be restricted to ligand systems, in which the chelate rings are supported by the formation of π-systems, while potential aliphatic chelators such as N,N′-diisobutyloxycarbonyl-N″,N‴-(1,3-propylene)bis(thiourea) [8] seem not to be able to establish the corresponding chelate rings. Instead, they act as reductant and form linear gold(I) complexes exclusively using their sulfur atoms. A reduction in gold(III) and the formation of oxidized sulfur-containing compounds such as sulfate ions or thiadiazolium cations have also been observed during reactions of tetrachloridoaurate with benzoylthioureas (e.g., HL1 of Figure 1) or thiocarbamoylbenzamidines (e.g., HL0 of Figure 1)) [9,10,11,12,13].
Contrariwise, the isolation of gold(III) was successful when powerful chelators such as tridentate thiosemicarbazides were applied, which extended π-systems upon coordination to Au(III) [14]. Interestingly, in such cases, the chelating capacity of related aliphatic ligand systems such as H2L0′ of Figure 1 also seems to be insufficient for the stabilization of the square-planar coordination sphere of gold(III) [8,15].
A larger number of stable Au(III) complexes are available through a combination of the above-mentioned organometallic approach with chelating ligands [16,17,18]. Of particular interest are those with coordinated 2-(dimethylaminomethyl)phenyl (damp) ligands [5,8,19,20,21,22,23,24]. The resulting complexes are of interest as potential anti-cancer or anti-parasital drugs [21,23,24]. In the present communication, we report the reactions of [Au(damp-κC1,N)Cl2] with the bidentate benzoylthiourea derivative HL1 and the potentially tridentate thiocarbamoyl benzamidine H2L2. Both ligands are depicted in Figure 1.

2. Materials and Methods

[Au(damp-κC1,N)Cl2] [25], HL1 [26] and H2L2 [27] were prepared following the procedures in the literature. Solvents were dried using conventional methods.
IR spectra were measured as KBr pellets on a Shimadzu IR Affinity-1 spectrometer (Shimadzu, Kyoto, Japan). Elemental analysis of carbon, hydrogen, nitrogen, and sulfur were determined using a Heraeus vario EL elemental analyzer (Elementar, Langensebold, Germany). The NMR spectra were recorded on JEOL 400 MHz spectrometers (JEOL, Kyoto, Japan). ESI TOF mass spectra were measured with an Agilent 6210 ESI TOF (Agilent Technologies, Santa Clara, CA, USA) in CH2Cl2/MeOH (1:1) mixtures. The intensities for the X-ray determinations were collected on a Bruker D8 Venture (BRUKER, Billerica, MA, USA) instrument with Mo/Kα radiation. Absorption correction was carried out with the APEX 3 software suite [28]. Structure solution and refinement were performed with the SHELX programs [29,30] included in OLEX2, version 1.5 [31]. Hydrogen atoms were calculated for idealized positions and treated with the ‘riding model’ option of SHELXL. Details are given in the Supplementary Materials. The representations of the molecular structures were achieved using the program MERCURY, version 2024, 2.0 [32].
Synthesis of [Au(damp-κC1,N)(L1-κS,O)](PF6) (1(PF6)). [Au(damp-κC1,N)Cl2] (120 mg, 0.3 mmol) dissolved in 3 mL of dry THF was added dropwise to a stirred solution of HL1 (71 mg, 0.3 mmol) in 2 mL of dry THF. Three drops of Et3N were added. The color of the solution immediately turned yellow and a colorless solid of (HNEt3)Cl precipitated. The suspension was stirred for 2 h at room temperature and filtered. The solvent was removed in vacuum and the residue was dissolved in 3 mL of EtOH. (NBu4)PF6 (116 mg, 0.3 mmol) was added and the suspension was stirred for 20 min, which resulted in the formation of a pale-yellow precipitate. The product was filtered off, washed with EtOH and recrystallized from a mixture of CH2Cl2/MeOH. Yield: 159 mg (75%). Elemental analysis: Calcd. for [C21H27AuN3OS](PF6): C, 35.5; H, 3.8; N, 5.9; S, 4.5%. Found: C, 35.3; H, 3.2; N, 5.9; S, 4.7%. IR (KBr, cm−1): 3070 (w), 2980 (w), 2940 (w), 1510 (s), 1448 (m), 1408 (s), 1356 (m), 1254 (m), 1200 (w), 1076 (w), 839 (s), 752 (m), 715 (m), 557 (s). 1H NMR (CD2Cl2, ppm): 8.21–8.06 (m, 2H, Ph); 7.61 (t, J = 7.3 Hz, 2H, Ph); 7.55–7.46 (m, 2H, Ph); 7.40–7.15 (m, 4H, Ph); 4.51 (s, 2H, NCH2); 3.95 (m, 4H, CH2); 3.31 (s, 6H, CH3); 1.43 (t, J = 7.1 Hz, 3H, CH3); 1.34 (t, J = 7.1 Hz, 3H, CH3). 13C{1H} NMR (CD2Cl2, ppm): 169.4 (C=S); 161.5 (C=O); 144.8 (C-Au), 135.5 (Ph-CH2), 134.0 (Ph-damp); 132.6 (Ph); 129.0 (Ph); 127.9 (Ph); 127.5 (Ph), 124.4 (Ph-damp); 71.6 (CH2-N(CH3)2); 50.6 ((CH3)2-N); 47.6, 47.2 (CH2); 11.9 (CH3) 11.7 (CH3). ESI+ MS (m/z): 566.1731, 100% [M]+ (Calcd. 566.1541).
Synthesis of [Au(Hdamp-κC1)(L2-κS,N,O)](PF6) (2(PF6)). [Au(damp-κC1,N)Cl2] (80 mg, 0.2 mmol) was suspended in 1 mL of MeOH and H2L2 (64 mg, 0.2 mmol) dissolved in 4 mL of MeOH was added dropwise. After one hour of stirring at room temperature, KPF6 (38 mg, 0.2 mmol) was added, giving a dark-yellow solution, which was filtered via celite. The resulting solution was left to evaporate slowly, which resulted in the formation of orange red crystals. Yield: 83 mg (52%). Elemental analysis: Calcd. for [C27H32AuN4OS](PF6): C, 37.9; H, 4.4; N, 6.4; S, 3.9%. Found: C, 37.9; H, 4.2; N, 6.1; S, 3.5%. IR (KBr, cm−1): 3302 (m), 3064 (w), 2980 (w), 2937 (w), 2877 (w), 2847 (w), 1610 (m), 1560 (s), 1529 (s), 1458 (m), 1384 (m), 1363 (m), 1254 (m), 1141 (m), 1028 (w), 981 (w), 960 (w), 943 (w), 839 (s), 763 (m), 710 (m), 557 (s). 1H NMR (CDCl3, ppm): 8.66 (br, 1H, NH+); 8.17–8.0 (br, 1H, Ph); 7.62–7.41 (m, 2H, Ph); 7.41–7.27 (m, 3H, Ph); 7.22–6.99 (m, 5H, Ph); 6.88–6.70 (m, 2H, Ph); 4.15 (s, 2H, NCH2); 3.98 (q, J = 7.12 Hz, 2H, CH2); 3.80 (q, J = 7.1, 2H, CH2); 3.48 (s, 3H, NCH3); 2.79 (s, 3H, NCH3); 1.42 (m, 6H, CH3). 13C{1H} NMR (CDCl3, ppm): 173.0 (C=S); 157.7 (N-C=N); 147.8 (C-O), 146.9 (Ph), 145.4 (C-CH2); 133.3 (Ph-N), 132.0 (Ph); 130.5 (Ph), 129.7 (2C (Ph)); 129.3 (C-Au); 127.9 (2C (Ph)); 127.3 (Ph); 125.1 (2C (Ph)); 124.9 (Ph); 121.5 (Ph); 120.9 (Ph); 116.3 (Ph); 74.2 (CH2-NH(CH3)2); 52.2 ((CH3)2-N); 48.9 (CH2); 47.3 (CH2); 13.5 (CH3); 12.6 (CH3). ESI+ MS (m/z): 657.1934, 4% [M]+ (Calcd. 657.1963); 524.1056, 15% [Au(H2L2)]+ (Calcd. 524.1071); 326.1328, 50% [HL2]+ (Calcd. 326.1327); 255.0592, 40% [AuSCN]+ (Calcd. 254.9417); 196.0765, 100% [HO(C6H4)NC(C6H5)]+ (Calcd. 196.765), 134.0973, 50% [Hdamp]+ (Calcd. 134.0970).

3. Results

The square-planar gold(III) chelate [Au(damp-κC1,N)] has been proven as a suitable starting material for the synthesis of organometallic gold(III) complexes. The two chloride ligands are readily replaced and the damp ligand commonly remains coordinated, either as C1,N chelate or monodentate C1-bonded [33,34,35,36,37,38,39,40,41,42,43,44,45,46]. Such coordination modes are also observed in the products obtained during reactions of [Au(damp-κC1,N)] with HL1 and H2L2 (Scheme 1).
A yellow, crystalline solid of the composition [Au(damp-κC1,N)(L1-κS,O)](PF6) (1(PF6)) was formed during a reaction of [Au(damp-κC1,N)] with HL1 and (NBu4)PF6. Addition of NEt3 as a supporting base promotes the deprotonation of the benzoylthiourea and the formation of a chelate. It is recommended to perform such reactions in dry THF since the formed side-product (HNEt3)Cl is almost insoluble in this solvent and can readily be removed by filtration. Single crystals of 1(PF6) were isolated in pure form from the remaining solution. Deprotonation of the benzoylthiourea is evident by the absence of the νN-H band of the ligand in the spectrum of the complex. Chelate formation is suggested by the IR spectrum of the product. It displays a strong bathochromic shift in the νC=O stretch, which is found at 1510 cm−1 for 1(PF6) and corresponds to a shift in more than 100 cm−1 compared with the spectrum of HL1. This is a strong indicator for the formation of an extended π-system, as has also been found in numerous chelate complexes containing the same ligand [26,47,48,49,50,51,52]. The ESI+ mass spectrum of 1(PF6) depicts a peak at m/z = 566.1731 as the most intense signal of the entire spectrum. It corresponds to the parent signal of 1+ and fits with the calculated value of 566.1541. Further support of the structure of 1(PF6) is given by its 1H and 13C{1H} NMR spectra. A signal splitting is observed for the -NEt2 groups due to a hindered rotation around the adjacent C-NEt2 bonds, which is typical for such compounds and has also been observed for the uncoordinated ligand and other metal complexes [53,54,55]. The coordination of a chelate-bonded damp ligand is supported by the presence of two singlet signals at 3.31 and 4.51 ppm.
The reaction between of [Au(damp-κC1,N)] and H2L2 could be performed in methanol without the addition of a supporting base. After treating the reaction mixture with KPF6, an orange-yellow solid of the composition [Au(Hdamp-κC1)(L2-S,N,O)](PF6) (2(PF6)) could be isolated. Spectroscopic studies strongly suggest the cleavage of the Au–N bond of the starting material and the protonation of the released -CH2N(CH3)2 unit by the detection of an νN-H band at 2605 cm−1 and a related NH signal in the 1H NMR spectrum at 8.7 ppm. Consequently, the incoming thiocarbamoyl benzamidine H2L2 is doubly deprotonated in the 2+ cation and coordinates as the tridentate ligand. Such a bonding situation is the same as that observed earlier for some rhenium, technetium, or ruthenium complexes [27,56,57,58].
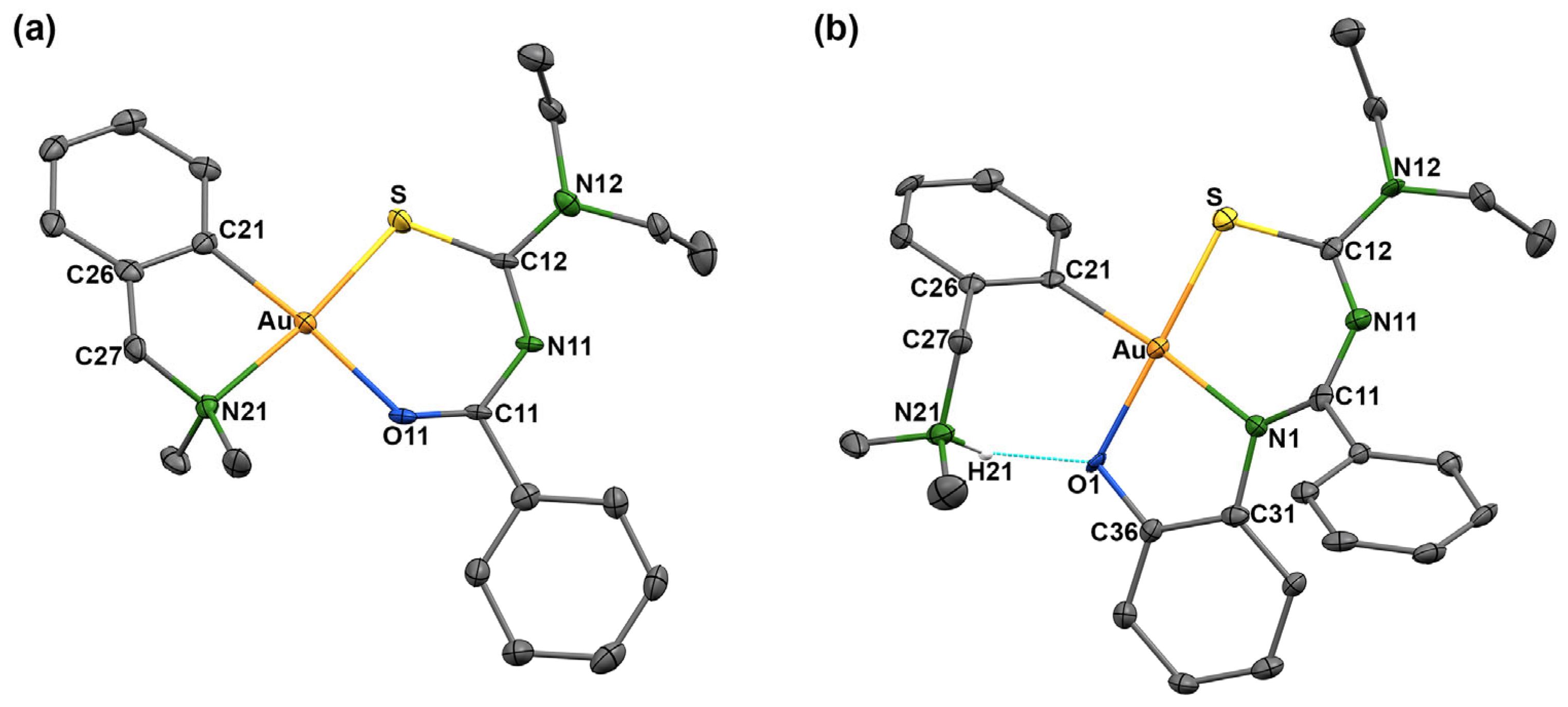
Single crystals of both compounds suitable for X-ray diffraction have been grown from CH2Cl2/MeOH solutions. Figure 2 depicts ellipsoid plots of the complex cations of [Au(damp-κC1,N)(L1-S,O)](PF6) and [Au(Hdamp-κC1)(L2-S,N,O)](PF6). They confirm the structures, which have been derived from the spectroscopic information. Selected bond lengths and angles are summarized in Table 1.
The bonding situation found for the monoanionic, bidentate O,S-chelator in the complex cation 1+ confirms the presence of an extended π-system, which has already been concluded from the IR data. A considerable C–N bond length equalization is visible, which also includes the bond to the exocyclic nitrogen atom N12. The C–S bond of 1.759(4) Å is slightly longer than those found in comparable thiourea complexes [59]. Surprisingly, the amide C11-O11 bond in the complex is shorter (1.183(5) Å) than in the uncoordinated benzoylthiourea (1.219(2) Å) [60]. This suggests an unusual bonding situation and partially clashes with the observed bathochromic shift in the νC=O stretches observed in the IR spectra of the compounds. However, we attribute this finding to uncertainty, which appeared during the modeling of the structure due to a crystallographic data set of relatively low quality. The phenyl ring is bonded in trans position to O11. The coordination sphere of the gold atom is almost ideally square-planar (RMS deviation of 0.0327 for a plane including the atoms Au, S, C21, O11 and N21) with an practically neglectable maximum deviation of 0.036 Å due to the sulfur atom. Planarity is also found for the six-membered chelate ring including the benzoylthioureato ligand, while the five-membered ring of the damp ligand shows clear deviations.
A planar coordination sphere is also observed for the gold atom in the [Au(Hdamp-κC1)(L2-κS,N,O)]+ cation (RMS deviation of 0.0148 for the plane including the atoms Au, S, C21, N1 and O1, maximum deviation for C21 of 0.0181Å). The results of the crystallographic study confirm the conclusions drawn from the spectroscopic studies, including the Au–N21 bond cleavage during the ligand exchange procedure and the tridentate coordination of {L2}2−. Apparently, the chelating effect of the incoming tridentate S,N,O ligand energetically outweighs the retention of the C1,N coordination of the damp ligand. Similarly to the situation in a number of gold complexes with monodentate damp ligands [5,19,20,21,22,23,24], the released dimethylamino residue is protonated and establishes a hydrogen bond, which probably contributes to the stabilization of the complex cation.

4. Conclusions

Preservation of square-planar gold(III) complexes with thiourea-type ligands is possible for organometallic compounds containing chelating {Au(damp-κC1,N)}2+ or monodentate {Au(Hdamp-κC1)}3+ units. The stabilization of the high oxidation state of the transition metal is supported by the formation of chelate rings by the incoming ligands.

Supplementary Materials

The following supporting information can be downloaded at: https://www.mdpi.com/article/10.3390/chemistry7060174/s1, Figure S1: Ellipsoid representation of [Au(damp-κC1,N)(L1-κS,O)](PF6) (1(PF6)). The thermal ellipsoids are set at a 50% probability level. Hydrogen atoms bonded to carbon atoms are omitted for clarity; Figure S2: Ellipsoid representation of [Au(Hdamp-κC1)(L2-κS,N,O)](PF6) (2(PF6)). The thermal ellipsoids are set at a 30% probability level. Hydrogen atoms bonded to carbon atoms are omitted for clarity; Figure S3: IR spectrum of [Au(damp-κC1,N)(L1-κS,O)](PF6) (1(PF6)); Figure S4: 1H NMR spectrum of [Au(damp-κC1,N)(L1-κS,O)](PF6) (1(PF6)) in CD2Cl2; Figure S5: 13C NMR spectrum of [Au(damp-κC1,N)(L1-κS,O)](PF6) (1(PF6)) in CD2Cl2; Figure S6: ESI+ mass spectrum of [Au(damp-κC1,N)(L1-κS,O)](PF6) (1(PF6)) in a CH2Cl2/MeOH (1:1) mixture; Figure S7: IR spectrum of [Au(Hdamp-κC1)(L2-κS,N,O)](PF6) (2(PF6)); Figure S8: 1H NMR spectrum of [Au(Hdamp-κC1)(L2-κS,N,O)](PF6) (2(PF6)) in CDCl3; Figure S9: 13C NMR spectrum of [Au(Hdamp-κC1)(L2-κS,N,O)](PF6) (2(PF6)) in CDCl3; Figure S10: ESI+ mass spectrum of [Au(Hdamp-κC1)(L2-κS,N,O)](PF6) (2(PF6)) in a CH2Cl2/MeOH (1:1) mixture. Table S1: Crystallographic data and data collection parameters; Table S2: Bond lengths (Å) in [Au(damp-κC1,N)(L1-κS,O)](PF6) (1(PF6)); Table S3: Bond angles (°) in [Au(damp-κC1,N)(L1-κS,O)](PF6) (1(PF6)); Table S4: Bond lengths (Å) in [Au(Hdamp-κC1)(L2-κS,N,O)](PF6) (2(PF6)); Table S5: Bond angles (°) in [Au(Hdamp-κC1)(L2-κS,N,O)](PF6) (2(PF6)).

Author Contributions

Conceptualization, S.F.S. and U.A.; methodology, S.F.S. and A.H.; validation, S.F.S., A.H. and U.A.; formal analysis, S.F.S. and A.H.; investigation, S.F.S., A.H. and U.A.; resources, U.A.; data curation, S.F.S., A.H. and U.A.; writing—original draft preparation, U.A.; writing—review and editing, S.F.S., A.H. and U.A.; visualization, U.A.; supervision, U.A.; project administration, U.A.; funding acquisition, S.F.S. and U.A. All authors have read and agreed to the published version of the manuscript.

Funding

This research was funded by CNPq (Brazil, PhD scholarship to S.F.S.) and DAAD (Germany).

Data Availability Statement

Data are contained within the article and Supplementary Materials.

Acknowledgments

We would like to acknowledge the assistance of the Core Facility BioSupraMol supported by the DFG.

Conflicts of Interest

The authors declare no conflicts of interest.

References

  1. Herrera, R.P.; Gimeno, M.C. Main Avenues in Gold Coordination Chemistry. Chem. Rev. 2021, 121, 8311–8363. [Google Scholar] [CrossRef]
  2. Roccigiani, L.; Bochmann, M. Recent Advances in Gold(III) Chemistry: Structure, Bonding, Reactivity, and Role in Homogeneous Catalysis. Chem. Rev. 2021, 121, 8364–8451. [Google Scholar] [CrossRef] [PubMed]
  3. Lynch, W.E.; Padgett, C.W.; Quillian, B.; Haddock, J. A square-planar hydrated cationic tetrakis(methimazole)gold(III) complex. Acta Cryst. 2015, C71, 298–300. [Google Scholar] [CrossRef] [PubMed]
  4. Jääskeläinen, S.; Koskinen, L.; Kultamaa, M.; Haukka, M.; Hirva, P. Persistence of oxidation state III of gold in thione coordination. Solid State Sci. 2017, 67, 37–45. [Google Scholar] [CrossRef]
  5. Abram, U.; Mack, J.; Ortner, K.; Müller, M. Reactions of dichloro[2-(dimethylaminomethyl)phenyl-C1,N]gold(III),[Au(damp-C1,N)Cl2], with heterocyclic thiols. Evidence for Au-N bond cleavage and protonation of the dimethylamino group. J. Chem. Soc. Dalton Trans. 1998, 1998, 1011–1019. [Google Scholar] [CrossRef]
  6. Smith, T.S.; Henderson, W.; Nicholson, B.K. Cycloaurated gold(III) complexes with monoanionic thiourea ligands. Inorg. Chim. Acta 2013, 408, 27–32. [Google Scholar] [CrossRef]
  7. Jia, W.-G.; Dai, Y.-C.; Zhang, H.-N.; Lu, X.; Sheng, E.-H. Synthesis and characterization of gold complexes. with pyridine-based SNS ligands and as homogeneous catalysts for reduction of 4-nitrophenol. RSC Adv. 2015, 5, 29491–29496. [Google Scholar] [CrossRef]
  8. Wie, J.-J.; Xiao, J.J.; Yu, J.-W.; Yi, X.-Y.; Liu, S.; Liu, G.-Y. Synthesis and structural characterization of silver(I) and gold(I) complexes of N,N′-diisobutyloxycarbonyl-N‘‘,N‘‘‘-(1,3-propylene)bisthiourea. Polyhedron 2017, 137, 176–181. [Google Scholar]
  9. Bensch, W.; Schuster, M. Komplexierung von Gold mit N,N-Dialkyl-N′-benzoythioharnstoffen: Die Kristallstruktur von N,N-Diethyl-N′-benzoylformamidin tetrachloroaurat (III). Z. Anorg. Allg. Chem. 1992, 611, 95–98. [Google Scholar] [CrossRef]
  10. Bensch, W.; Schuster, M. Complex Formation of Gold with N,N-Dialkyl-N′-benzoylthioureas: The Crystal Structure of N,N-Diethyl-N′-benzoylthioureatogold(I) Chloride. Z. Anorg. Allg. Chem. 1992, 611, 99–102. [Google Scholar] [CrossRef]
  11. Khan, U.A.; Badshah, A.; Tahir, M.N.; Khan, E. Gold(I), silver(I) and copper(I) complexes of 2,4,6-trimethylphenyl-3-benzoylthiourea; synthesis and biological applications. Polyhedron 2020, 181, 114485. [Google Scholar] [CrossRef]
  12. Richter, R.; Schröder, U.; Kampf, M.; Hartung, J.; Beyer, L. Gold(I) Complexes of N-Thiocarbamoyl Benzamidines: Synthesis and Structures. Z. Anorg. Allg. Chem. 1997, 623, 1021–1026. [Google Scholar] [CrossRef]
  13. Schröder, U.; Richter, R.; Hartung, J.; Abram, U.; Beyer, L. Substituted 1,2,4-Thiadiazoliumdichloroaurates(I) and -tetrachloroaurates(III) as Products of the Reactions of N-Thiocarbamoyl-benzamidines with Tetrachlorogold(III) Compounds. Z. Naturforsch. 1997, 52b, 620–628. [Google Scholar] [CrossRef]
  14. Maia, P.I.S.; Nguyen, H.H.; Ponader, D.; Hagenbach, A.; Bergemann, S.; Gust, R.; Deflon, V.M.; Abram, U. Neutral Gold Complexes with Tridentate SNS Thiosemicarbazide Ligands. Inorg. Chem. 2012, 51, 1604–1613. [Google Scholar] [CrossRef]
  15. Ferreira Sucena, S.; Hagenbach, A.; Pham, C.T.; Abram, U. Binuclear Gold(I) Complexes with A Potentially Tetradentate S,N,N,S Ligand. Inorganics 2025, 13, 292. [Google Scholar] [CrossRef]
  16. Salvador-Gil, D.; Herrera, R.P.; Gimeno, M.C. Catalysis-free synthesis of thiazolidine–thiourea ligands for metal coordination (Au and Ag) and preliminary cytotoxic studies. Dalton Trans. 2023, 52, 7797–7808. [Google Scholar] [CrossRef]
  17. Risi, M.C.; Atiga, A.; Christopher, T.D.; Henderson, W.; Saunders, G.C. Diacylthioureas—An overlooked class of ligands; the coordination chemistry of diacylated thiourea with platinum(II), palladium(II) and gold(III). Dalton Trans. 2025, 54, 4977–4989. [Google Scholar] [CrossRef]
  18. Fuchita, Y.; Ieda, H.; Yasutake, M. First intramolecular aromatic substitution by gold(III) of a ligand other than pyridine derivatives. Synthesis and crystal structure of the novel five-membered cycloaurated complex of 1-ethyl-2-phenylimidazole. J. Chem. Soc. 2000, 2000, 271–274. [Google Scholar] [CrossRef]
  19. Garcia Santos, I.; Hagenbach, A.; Abram, U. Stable gold(III) complexes with thiosemicarbazone derivatives. Dalton Trans. 2004, 2004, 677–682. [Google Scholar] [CrossRef]
  20. Ortner, K.; Abram, U. Gold(III) complexes with diphenylthiocarbazonate. Synthesis and structures of [Au(Hdamp-C1) {PhNHNC(S)NNPh}Cl]Cl×H2O and [Au(Hdamp-C1){PhNNC(S)NNPh}(Smetetraz)] (Hdamp-C1=2-(dimethylammonium-methyl)phenyl; Smetetraz=2-methylmercaptotetrazolate). Polyhedron 1999, 18, 749–754. [Google Scholar] [CrossRef]
  21. Abram, U.; Ortner, K.; Gust, R.; Sommer, K. Gold complexes with thiosemicarbazones: Reactions of bi- and tridentate thiosemicarbazones with dichloro[2-(dimethylaminomethyl)phenyl-C1,N]gold(III), [Au(damp-C1,N)Cl2]. J. Chem. Soc. Dalton Trans. 2000, 2000, 735–744. [Google Scholar] [CrossRef]
  22. Ortner, K.; Abram, U. Reactions of dichloro[2-(dimethylaminomethyl)phenyl-C1,N]gold(III), [Au(damp-C1,N)Cl2], with aromatic thiosemicarbazones. Structures and spectroscopical data of the first gold(III) thiosemicarbazone complexes. Inorg. Chem. Commun. 1998, 1, 251–253. [Google Scholar] [CrossRef]
  23. Maia, P.I.S.; Carneiro, A.; Lopes, C.D.; Oliveira, C.G.; Silva, J.S.; de Albuquerque, C.; Hagenbach, A.; Gust, R.; Deflon, V.M.; Abram, U. Organometallic gold(III) complexes with hybrid SNS-donating thiosemicarbazone ligands: Cytotoxicity and anti-Trypanosoma cruzi activity. Dalton Trans. 2017, 46, 2559–2571. [Google Scholar] [CrossRef] [PubMed]
  24. Salsi, F.; Bulhões Portapilla, G.; Schutjajew, K.; Roca Jungfer, M.; Goulart, A.; Hagenbach, A.; de Albuquerque, S.; Abram, U. Organometallic Gold(III) Complexes with Tridentate Halogen-Substituted Thiosemicarbazones: Effects of Halogenation on Cytotoxicity and Anti-Parasitic Activity. Eur. J. Inorg. Chem. 2019, 2019, 4455–4462. [Google Scholar] [CrossRef]
  25. Mack, J.; Ortner, K.; Abram, U.; Parish, R.V. Gold(III) Complexes with 2- (N,N-dimethylaminomethy1)phenyl (damp). Syntheses and Structures of [Au(damp-C,N)C12], [Au(damp-C,N)(OOCCH3)2] and [Au(damp-C,N)(mnt)] (mnt2− = 1.2-dicyanoethene-1.2-dithiolate). Z. Anorg. Allg. Chem. 1997, 623, 873–879. [Google Scholar] [CrossRef]
  26. Beyer, L.; Hoyer, E.; Hennig, H.; Kirmse, R.; Hartmann, H.; Liebscher, J. Synthese und Charakterisierung neuartiger Übergangsmetall-chelate von 1,1-Dialkyl-3-benzoyl-thioharnstoffen. J. Prakt. Chem. 1975, 317, 829–839. [Google Scholar] [CrossRef]
  27. Nguyen, H.H.; Grewe, J.; Schroer, J.; Kuhn, B.; Abram, U. Rhenium and Technetium Complexes with Tridentate N-[(N′′,N′′-Dialkylamino)(thiocarbonyl)]-N′-substituted Benzamidine Ligands. Inorg. Chem. 2008, 47, 5136–5144. [Google Scholar]
  28. APEX 3 Software Suite, version 1.0; Bruker: Billerica, MA, USA, 2016.
  29. Sheldrick, G.M. A short history of SHELX. Acta Crystallogr. 2008, A64, 112–122. [Google Scholar] [CrossRef]
  30. Sheldrick, G.M. Crystal structure refinement with SHELXL. Acta Crystallogr. 2015, C71, 3–8. [Google Scholar]
  31. Dolomanov, O.V.; Bourhis, L.J.; Gildea, R.J.; Howard, J.A.; Puschmann, H. OLEX2: A complete structure solution, refinement and analysis program. J. Appl. Crystallogr. 2009, 42, 339–341. [Google Scholar] [CrossRef]
  32. Macrae, C.F.; Sovago, I.; Cottrell, S.J.; Galek, P.T.A.; McCabe, P.; Pidcock, E.; Platings, M.; Shields, G.P.; Stevens, J.S.; Towler, M. Mercury 4.0: From visualization to analysis, design and prediction. J. Appl. Cryst. 2020, 53, 226–235. [Google Scholar] [CrossRef]
  33. Vicente, J.; Chicote, M.T.; Bermudez, M.D.; Sachez-Santano, M.J.; Jones, P.G. Synthesis of [2-{(dimethylamino)methyl}phenyl-C‘N]-(phenyl)gold(III) complexes. Crystal structure of two modifications of chloro[2-{(dimethylamino)methyl}phenyl-C’N](phenyl)gold(III). J. Organomet. Chem. 1988, 354, 381–390. [Google Scholar] [CrossRef]
  34. Henderson, W.; Nicholson, B.K.; Oliver, A.G. Synthesis and characterisation of four- and eight-membered ring auralactam complexes. J. Organomet. Chem. 2001, 620, 182–189. [Google Scholar] [CrossRef]
  35. Price, G.A.; Brisdon, A.K.; Randall, S.; Lewis, E.; Whittaker, D.W.; Pritchard, R.G.; Muryn, C.A.; Flower, K.R.; Quayle, P. Some insights into the gold-catalysed A3-coupling reaction. Organomet. Chem. 2017, 846, 251–262. [Google Scholar] [CrossRef]
  36. Dinger, M.B.; Henderson, W. Organogold(III) metallacyclic chemistry. Part 1. Synthesis of the first auraoxodimethylene methane(auracyclobutan-3-one) and aurathietane-3,3-dioxide complexes. Crystal structure of [{C6H3(CH2NMe2)-2-(OMe)-5}Au{CH(COPh)S(O)2CH(COPh)}].C6H6. J. Organomet. Chem. 1997, 547, 243–252. [Google Scholar] [CrossRef]
  37. Dinger, M.; Henderson, W.; Organogold(III) metallacyclic chemistry. Part 41. Synthesis, characterisation, and biological activity of gold(III)-thiosalicylate and -salicylate complexes. J. Organomet. Chem. 1998, 560, 233–243. [Google Scholar] [CrossRef]
  38. Price, G.A.; Flower, K.R.; Pritchard, R.G.; Brisdon, A.K.; Quayle, P. First structurally confirmed example of the formation of a gold(III) carbon bond via transmetallation with a boroxine. Dalton Trans. 2011, 40, 11696–11697. [Google Scholar] [CrossRef]
  39. Contel, M.; Nobel, D.; Spek, A.L.; van Koten, G. Reactivity of [2,6-Bis((dimethylamino)methyl)phenyl]gold(I), an Unusual Intermolecularly Stabilized Bis(amino)aryl Gold(I) Dimer, toward Alkyl Halides. X-ray Crystal Structures of Its Iodomethane and Methylene Diiodide Adducts. Organometallics 2000, 19, 3288–3295. [Google Scholar] [CrossRef]
  40. Vicente, J.; Bermudez, M.D.; Escribano, J.; Carillo, M.P.; Jones, P.G. Synthesis of Intermediates in the C-H Activation of Acetone with 2-PhenylazophenylgoId(iii) Complexes and in the C-C Coupling of Aryl Groups from Diarylgold(iii) Complexes. Crystal and Molecular Structures of [Au{C6H3(N=NC6H4Me-4′)-2-Me-5}(acac-C)CI] (acac = acetylacetonate), cis-[Au(C6H4N-NPh-2)Cl2(PPh3)], and [Au(C6H4CH2NMe2-2)(C6F5)Cl. J. Chem. Soc. Dalton Trans. 1990, 1990, 3083–3089. [Google Scholar]
  41. Bonnardel, P.A.; Parish, R.V.; Pritchard, R.G. Synthesis, characterisation and substitution reactions of gold(III) C,N-chelates. J. Chem. Soc. Dalton Trans. 1996, 1996, 3185–3193. [Google Scholar] [CrossRef]
  42. Contel, M.; Stol, M.; Casado, M.A.; van Klink, G.P.M.; Ellis, D.D.; Spek, A.L.; van Koten, G. A Bis(ortho-amine)aryl-Gold(I) Compound as an Efficient, Nontoxic, Arylating Reagent. Organometallics 2002, 21, 4556–4559. [Google Scholar] [CrossRef]
  43. Hejda, M.; Dostál, L.; Jambor, R.; Ruzicka, A.; Jirásko, R.; Holeceka, J. Synthesis, Structure and Transmetalation Activity of Various C,N-Chelated Organogold(I) Compounds. Eur. J. Inorg. Chem. 2012, 2012, 2578–2587. [Google Scholar] [CrossRef]
  44. Tang, H.; Saunders, G.C.; Henderson, W. Platinum(II), palladium(II), and gold(III) complexes of dianionic, secondary dithiooxamide ligands. J. Coord. Chem. 2019, 72, 2550–2561. [Google Scholar] [CrossRef]
  45. Vicente, J.; Chicote, M.T.; Martinez-Viviente, E.; Martinez-Martinez, A.J.; Sanchez-Moya, N. 2-(Aminomethyl)phenyl Complexes of Au(III), Mixed Au(III)/Ag(I), and Pd(II) with the 2,2-Diacetyl-1,1-Ethylenedithiolato Ligand: Dancing of Palladacycles around a Juggler Ligand. Inorg. Chem. 2010, 49, 8099–8111. [Google Scholar] [CrossRef]
  46. Parish, R.V.; Howe, B.P.; Wright, J.P.; Mack, J.; Pritchard, R.G. Chemical and Biological Studies of Dichloro(2-((dimethylamino)methyl)phenyl)gold(III). Inorg. Chem. 1996, 35, 1659–1666. [Google Scholar] [CrossRef] [PubMed]
  47. Beyer, L.; Hoyer, E.; Liebscher, J.; Hartmann, H. Komplexbildung mit N-Acyl-thioharnstoffen. Z. Chem. 1981, 21, 81–91. [Google Scholar] [CrossRef]
  48. Koch, K.R. New chemistry with old ligands: N-alkyl- and N, N-dialkyl-N′-acyl(aroyl)thioureas in co-ordination, analytical and process chemistry of the platinum group metals. Coord. Chem. Rev. 2001, 216−217, 473–488. [Google Scholar] [CrossRef]
  49. Nierstenhöfer, M.C.; Mohr, F. Palladium complexes with a chelating monoanionic sulfur ylide. J. Organomet. Chem. 2023, 990, 122659. [Google Scholar] [CrossRef]
  50. Hayes, T.R.; Powell, A.S.; Barnes, C.L.; Benny, P.D. Synthesis and stability of 2+1 complexes of N,N-diethylbenzoylthiourea with [MI(CO)3]+ (M = Re, 99mTc). J. Coord. Chem. 2015, 68, 3432–3448. [Google Scholar] [CrossRef]
  51. Sacht, C.; Datt, M.S.; Otto, S.; Roodt, A. Chiral and achiral platinum(II) complexes for potential use as chemotherapeutic agents: Crystal and molecular structures of cis-[Pt(L1)2] and [Pt(L1)Cl(MPSO)] [HL1 = N,N-diethyl-N’-benzoylthiourea]. J. Chem. Soc. 2000, 2000, 727–733. [Google Scholar] [CrossRef]
  52. Richter, R.; Beyer, L.; Kaiser, J. Crystal and Molecular Structure of Bis(l,l-diethyl-3-benzoyl-thioureato)copper(II). Z. Anorg. Allg. Chem. 1980, 461, 67–73. [Google Scholar] [CrossRef]
  53. Kleinpeter, E.; Beyer, L. 1H-NMR-Untersuchung der behinderten Rotation um die C-N-Bindung in 1,1’-Diethyl-3-benzoyl-harnstoff-Derivaten. J. Prakt. Chem. 1975, 317, 938–942. [Google Scholar] [CrossRef]
  54. Beyer, L.; Behrendt, S.; Kleinpeter, E.; Borsdorf, R.; Hoyer, E. d-N.M.R. Studies of Hindered Rotation on N-C(X) Bond Increment. VIII. Metal Complexes of 1,1-Diethy1-3-benzoylthio-and selenourea. Z. Anorg. Allg. Chem. 1977, 437, 282–288. [Google Scholar] [CrossRef]
  55. Behrendt, S.; Beyer, L.; Dietze, F.; Kleinpeter, E.; Hoyer, E.; Ludwig, E.; Uhlemann, E. Rotational Barriers in Metal Chelates. Hindered Rotation about the Terminal NC(X)-Bond in Ni-Coordinated Isomeric Unsaturated 1,3-(S,O)-Ligands. Inorg. Chim. Acta 1980, 43, 141–144. [Google Scholar] [CrossRef]
  56. Nguyen, H.H.; Hazin, K. Synthesis and Characterization of Unusual Oxidorhenium(V) Cores. Eur. J. Inorg. Chem. 2011, 2011, 78–82. [Google Scholar] [CrossRef]
  57. Nguyen, H.H.; Deflon, V.M.; Deflon, V.M. Mixed-Ligand Complexes of Technetium and Rhenium with Tridentate Benzamidines and Bidentate Benzoylthioureas. Eur. J. Inorg. Chem. 2009, 2009, 3179–3187. [Google Scholar] [CrossRef]
  58. Vijayan, P.; Viswanathamurthi, P.; Sugumar, P.; Ponnuswamy, M.N.; Malecki, J.G.; Velmurugan, K.; Nandhakumar, R.; Balakumaran, M.D.; Kalaichelvan, P.D. Solvent-assisted formation of ruthenium(II)/copper(I) complexes containing thiourea derivatives: Synthesis, crystal structure, density functional theory, enzyme mimetics and in vitro biological perspectives. Appl. Organometal Chem. 2017, 31, e3652. [Google Scholar] [CrossRef]
  59. Barolli, J.P.; Maia, P.I.S.; Colina-Vegas, L.; Moreira, J.; Plutin, A.M.; Mocelo, R.; Deflon, V.M.; Cominetti, M.R.; Camargo-Mathias, M.I.; Batista, A.A. Heteroleptic tris-chelate ruthenium(II) complexes of N,N-disubstituted-N′-acylthioureas: Synthesis, structural studies, cytotoxic activity and confocal microscopy studies. Polyhedron 2017, 126, 33–41. [Google Scholar] [CrossRef]
  60. Gomes, L.R.; Santos, L.M.N.B.F.; Coutinho, J.A.P.; Schröder, B.; Low, J.N. N′-Benzoyl-N,N-diethylthiourea: A monoclinic polymorph. Acta Cryst. 2010, E66, o870. [Google Scholar] [CrossRef]
Figure 1. Thiourea-type ligands relevant for the present paper.
Figure 1. Thiourea-type ligands relevant for the present paper.
Chemistry 07 00174 g001
Scheme 1. Reactions of [Au(damp-κC1,N)Cl2] with HL1 and H2L2.
Scheme 1. Reactions of [Au(damp-κC1,N)Cl2] with HL1 and H2L2.
Chemistry 07 00174 sch001
Figure 2. Ellipsoid representations of the complex cations of (a) [Au(damp-κC1,N)(L1-κS,O)](PF6) and (b) [Au(Hdamp-κC1)(L2-κS,N,O)](PF6). Thermal ellipsoids represent 50% probability. Hydrogen atoms bonded to carbon atoms are omitted for clarity.
Figure 2. Ellipsoid representations of the complex cations of (a) [Au(damp-κC1,N)(L1-κS,O)](PF6) and (b) [Au(Hdamp-κC1)(L2-κS,N,O)](PF6). Thermal ellipsoids represent 50% probability. Hydrogen atoms bonded to carbon atoms are omitted for clarity.
Chemistry 07 00174 g002
Table 1. Selected bond lengths (Å) and angles (°) in the [Au(damp-κC1,N)(L1-κS,O)]+ and [Au(Hdamp-κC1)(L2-κS,N,O)]+ cations.
Table 1. Selected bond lengths (Å) and angles (°) in the [Au(damp-κC1,N)(L1-κS,O)]+ and [Au(Hdamp-κC1)(L2-κS,N,O)]+ cations.
[Au(damp-κC1,N)(L1-κS,O)]+
Au–S2.266(1)Au–O112.110(3)Au–C212.005(4)Au–N212.115(3)
O11–C111.183(5)C11–N111.360(5)N11–C121.349(5)C12–N121.317(5)
C12–S1.759(4)S–Au–O1194.00(8)S–Au–C2191.2(1)S–Au–N21173.5(1)
O11–Au–C21174.7(2)O11–Au–N2192.0(1)C21–Au–N2182.9(2)Au–O11–C11129.0(3)
O11–C11–N11131.2(4)C11–N11–C12126.8(4)N11–C12–N12116.2(4)N11–C12–S128.6(3)
C12–S–Au106.3(1)Au–C21–C26113.0(3)Au–N21–C27105.8(3)
[Au(Hdamp-κC1)(L2-κS,N,O)]+
Au–S2.269(2)Au–N12.050(5)Au–O12.031(4)Au–C212.041(6)
O1–C361.364(7)C31–N11.437(7)N1–C111.331(7)C11–N111.338(8)
N11–C121.343(8)C12–S1.745(6)S–Au–N198.1(1)S–Au–O1179.3(1)
S–Au–C2186.9(2)N1–Au–O182.6(2)N1–Au–C21174.7(2)O1–Au–C2192.4(2)
Au–O1–C36111.2(3)O1–C36–C31119.9(5)C36–C31–N1114.9(5)C31–N1–Au110.5(4)
C31–N1–N11125.2(5)Au–N1–C11110.5(4)N1–C11–N11125.3(5)C11–N11–C12130.0(5)
N11–C12–N12115.4(5)N11–C12–S127.4(5)C12–S–Au103.3(5)Au–C21–C26121.6(4)
N21–H211.00O1∙∙∙H211.77O1∙∙∙H21–N21150.2N21…O12.688(6)
Disclaimer/Publisher’s Note: The statements, opinions and data contained in all publications are solely those of the individual author(s) and contributor(s) and not of MDPI and/or the editor(s). MDPI and/or the editor(s) disclaim responsibility for any injury to people or property resulting from any ideas, methods, instructions or products referred to in the content.

Share and Cite

MDPI and ACS Style

Sucena, S.F.; Hagenbach, A.; Abram, U. Organogold(III) Complexes with Chelating Thiourea-Type Ligands. Chemistry 2025, 7, 174. https://doi.org/10.3390/chemistry7060174

AMA Style

Sucena SF, Hagenbach A, Abram U. Organogold(III) Complexes with Chelating Thiourea-Type Ligands. Chemistry. 2025; 7(6):174. https://doi.org/10.3390/chemistry7060174

Chicago/Turabian Style

Sucena, Suelen Ferreira, Adelheid Hagenbach, and Ulrich Abram. 2025. "Organogold(III) Complexes with Chelating Thiourea-Type Ligands" Chemistry 7, no. 6: 174. https://doi.org/10.3390/chemistry7060174

APA Style

Sucena, S. F., Hagenbach, A., & Abram, U. (2025). Organogold(III) Complexes with Chelating Thiourea-Type Ligands. Chemistry, 7(6), 174. https://doi.org/10.3390/chemistry7060174

Article Metrics

Back to TopTop