Abstract
Thiourea and its derivatives have become a significant focal point within the organic synthesis field, garnering attention for their diverse biological applications, including antibacterial, antioxidant, anticancer, anti-inflammatory, anti-Alzheimer, antituberculosis and antimalarial properties. My objective is to present a comprehensive and easily understandable analysis of recent advancements in the organic synthesis of thiourea derivatives. My focus is on the structure and activity of these derivatives over the past five years, highlighting the significant progress made in the field of organic synthesis. Additionally, I evaluate the current state of research in this area and provide an overview of the latest trends and future prospects. This review will prove to be beneficial for researchers, academics and industry professionals involved in drug development and organic synthesis.
Keywords:
thiourea; antibacterial; antioxidant; anticancer; anti-inflammatory; anti-Alzheimer; antimalaria 1. Introduction
Thiourea is an organosulfur compound with a chemical formula of SC(NH2)2, and its structure is represented in Figure 1. Its structure is similar to that of urea (H2N-C(=O)-NH2), except the oxygen atom is replaced by a sulfur atom, indicated by the prefix “thio-” [1]. The term “thiourea” refers to a group of compounds with the formula (R1R2N) (R3R4N) C=S. Thiourea has two tautomeric forms: the thione form and the thiol form, as illustrated in Figure 2. The thione form is more prevalent in aqueous solutions, and the thiol form is also known as isothiourea.
Figure 1.
The chemical structure of thiourea.
Figure 2.
Equilibrium between the tautomeric forms of thiourea.
Thiourea has a wide range of uses in organic synthesis reactions as intermediates, making it an incredibly versatile compound [2]. Additionally, it is utilized in many commercial products such as photographic films, dyes, elastomers, plastics and textiles [3]. However, the most significant and effective application of thiourea is in the realm of biology, as illustrated in Figure 3. Research has demonstrated that it possesses numerous beneficial properties, including antibacterial, antioxidant, anticancer, anti-inflammatory, anti-Alzheimer, antitubercular and antimalarial effects [4,5,6,7,8,9]. Several previous reviews have focused on the pharmacological activities of thiourea derivatives [10,11,12]. Here, this review presents an overview of state-of-the-art biomolecules derived from thiourea as well as diverse medicinal applications in this field over the last five years.
Figure 3.
Different forms of biologically active thiourea derivatives.
2. Antibacterial Activity
The lack of new anti-infective drugs is a major concern for medicinal chemistry, as antimicrobial resistance poses a global threat. In response, Sumaira et al. [13] developed novel thiourea derivatives using amine derivatives as nucleophiles on the electrophilic carbon of CS2 to synthesize a thiocarbamate intermediate, as shown in Scheme 1. Both compounds 1 and 2 demonstrated antibacterial activity against E. faecalis, P. aeruginosa, S. typhi and K. pneumoniae. Compound 2 exhibited greater potency than that of compound 1, with a minimum inhibitory concentration (MIC) against the tested organism ranging from 40 to 50 µg/mL. In comparison to the standard antibiotic, ceftriaxone, compound 2 showed comparable inhibition zone diameters. The inhibition zones of compound 2 against the tested organisms were 29, 24, 30 and 19 mm, respectively.
Scheme 1.
The general mechanism of thiourea derivative synthesis starting with carbon disulfide [13].

A novel set of seven N-acyl thiourea derivatives, namely 3a–3g, were developed by Roxana et al. [14]. Their synthesis method employed the condensation of acid chloride and ammonium thiocyanate in an anhydrous acetone solution. The resulting isocyanate was then allowed to react with a heterocyclic amine, with the amine undergoing a nucleophilic addition to the isocyanate, as shown in Scheme 2.
Scheme 2.
The synthesis route of novel N-acyl thiourea derivatives 3a–3g [14].
The synthesized compounds, 3a–3g, were subjected to testing against various bacterial strains, including S. aureus, E. faecalis, E. coli and P. aeruginosa. The positive control used was Ciprofloxacin (5 µg/mL). The findings demonstrated that the tested drugs’ MIC ranged from >5000 to 1250 µg/mL, which was considerably greater than the conventional antibiotic utilized. These compounds were found to be more potent than previously reported thiazole derivatives [14]. In addition, eight tris-thiourea derivatives, 4a–4h, with symmetrical structures, were synthesized using benzoyl chloride and potassium thiocyanate with melamine under reflux conditions through a condensation reaction. The synthesis pathway is depicted in Scheme 3 [15].
Scheme 3.
Synthesis pathway of tris-thiourea derivatives 4a–4h [15].
Various Gram-positive and Gram-negative bacteria, including S. aureus, B. cereus and E. coli, were exposed to synthesized compounds 4a–4h. The results revealed that compound 4a (N, N,N-(((1,3,5-triazine-2,4,6-triyl)tris(azanediyl))tris-(carbonothioyl)) tribenzamid) was particularly effective against E.coli. Compound 4g (N, N,N-(((1,3,5-triazine-2,4,6-triyl)tris(azanediyl))tris-(carbonothioyl)) tris(2-chlorobenzamide) exhibited the highest rate of microbicidal activity against S. aureus, and compound 4f (N, N, N-(((1,3,5-triazine-2,4,6-triyl) tris(azanediyl))tris-(carbonothioyl))tris(2-methylbenzamide) was most effective at eliminating B. cereus.
Thiourea derivatives are highly effective in metal complexes due to the presence of nitrogen atoms, as well as lone pairs on sulfur and oxygen atoms, which serve as ligating centers and coordinate with a wide range of metal centers to produce stable metal complexes [16]. Ahmed et al. synthesized novel 1-morpholinyl 3-phenyl thiourea ligands and their corresponding metal complexes with the aim of developing new antimicrobial agents. The ligand N-Phenylmorpholine-4-carbothioamide (HPMCT) was prepared according to the procedure outlined in Scheme 4 [17].
Scheme 4.
Preparation of N-Phenylmorpholine-4-carbothioamide (HPMCT) ligand [17].
In complexes 5–8, the thiourea ligand coordinates through a sulfur atom as a monodentate, as demonstrated in Scheme 5 [17]. On the other hand, in complexes 9–15, the ligand coordinates with the central atom through N and S atoms as a bidentate, as shown in Scheme 6.
Scheme 5.
The synthesis of complexes 5–8 of thiourea derivatives [17].
Scheme 6.
Synthesis of complexes 9–15 of thiourea derivatives [17].
Three strains of bacteria “E. coli, S. aureus, and K. pneumoniae” were used to test each of the produced compounds, 5–15. As seen in Figure 4 [17], all compounds exhibited strong antibacterial activity when compared to the ligand. Comparable to the common antibiotic tetracycline, compounds 5 and 9 had strong efficacy against E. coli. The several binding modes with the essential amino acid residues of the bacterial tyrosinase enzyme’s active site are referred to as the antibacterial activity.
Figure 4.
The antibacterial activities of synthesized compounds 5–15 [17].
Five new Cu (II) complexes, Cu16–Cu20, with varied antimicrobial activities, were synthesized by Aleksandra et al. [18]. Five distinct ligands were produced and employed prior to complex formation. The particular groups of the ligands made of thiourea derivatives determine how copper complexes with them. Ligands 19 and 20 were halogen phenyl groups, and ligands 16–18 were alkylphenyl [19,20,21]. The method for synthesis is shown in Figure 5. The synthesized complexes were tested against a variety of bacterial and fungal strains, including S. aureus NCTC 4163, S. aureus ATCC 25923, S. aureus ATCC 6538, S. aureus ATCC 29213, S. epidermidis ATCC 12228, S. epidermidis ATCC 35984, E. coli NCTC 10538, E. coli ATCC 25922, P. aeruginosa ATCC 15442, P. aeruginosa ATCC 27853, C. albicans ATCC 10231, C. albicans ATCC 90028 and C. parapsilosis ATCC 22019. With an MIC value of 4 µg/mL, the most active compound, Cu20, demonstrated strong activity against Staphylococcus epidermidis (MRSE) and methicillin-resistant S. aureus (MRSA) 537, 585 and 586 strains. The other complexes, however, exhibited minimal activity and were ineffective against other fungal species and Gram-negative strains of E. coli.
Figure 5.
Synthetic pathway of Cu16–Cu20 complexes with the following formulas: Cu (16)2H2O, Cu (17)2·0.75H2O, Cu (18)2·0.5H2O, Cu (19)2·0.5H2O and Cu (20)2·H2O. DMF—dimethylformamide [18].
3. Antioxidant Activity
Thiourea derivatives such as 1-(2-aminoethyl) thiourea, N, N’-(iminodiethane-2,1-diyl) bis(thiourea) and 1-[1-methyl-2-(phenylamino)ethyl] thiourea were prepared by Sudzhaev et al. [22]. Additionally, 1,3-bis(3,4-dichlorophenyl) thiourea 21, a new thiourea derivative, was synthesized by Sumaira et al. [23] and demonstrated strong antioxidant activity. This derivative had a high reducing potential when tested against ABTS free radicals, with an IC50 of 52 µg/mL and a DPPH assay value of 45 µg/mL.

Ten novel thiourea derivatives, 22–31, were recently synthesized by reacting potassium thiocyanate with 4-methoxy benzoyl chloride using the nucleophilic addition–elimination mechanism to form an isothiocyanate derivative, as shown in Scheme 7 [24]. The final ten compounds were produced by reacting this derivative with various amines in accordance with the amine’s nucleophilic addition mechanism to the isothiocyanate. The DPPH radical scavenging activity method was used to describe these compounds and assess their antioxidant potential. Compounds 29, 27 and 24 demonstrated good antioxidant activity with IC50 values of 5.8, 42.3 and 45 μg/mL, respectively, when compared to normal ascorbic acid, which had an IC50 value of −33.22 μg/mL. The other drugs’ IC50 values varied between 89 and 245 μg/mL.
Scheme 7.
Synthesis of new thiourea derivatives 22–31 through nucleophilic addition–elimination mechanism [24].
4. Anticancer Activity
In the fight against cancer, thiourea derivatives have demonstrated great promise. Studies conducted recently have demonstrated that these compounds can inhibit the growth of several cancer cell lines and reverse treatment resistance in cancer cells [25,26,27,28,29,30]. A variety of human cell lines, including those from breast and lung malignancies, were evaluated against non-metal-containing thiourea derivatives in earlier research. Low LC50 values, spanning from 7 to 20 µM, were demonstrated by the findings [31]. Furthermore, it has been discovered that thiourea derivatives target particular molecular pathways involved in the development of cancer, such as those that limit angiogenesis and alter cancer cell signaling pathways [32,33,34]. With IC50 values ranging from 3 to 14 µM, derivatives of phosphonate thiourea demonstrated encouraging responses when evaluated against cell lines related to pancreatic, prostate and breast cancer [35]. The treatment of human leukemia cell lines with the bis-thiourea structure also demonstrated efficacy, with IC50 values as low as 1.50 µM [36]. Lung, liver and breast malignancies demonstrated positive LC50 values of less than 20 µM for aromatic derivatives of thiourea produced using indole molecules [37].
Also, Samuel et al. [38] conducted a thorough screening of several thiourea derivatives for toxicity in ovarian cancer cell lines, including those that showed cisplatin treatment resistance. Three molecules of luminescence iridium complexes based on a 2-aminobenzimidazole unit were produced by the researchers. Through a substoichiometric 2-aminobenzimidazole reaction in acetonitrile, 1,1′-thiocarbonyldiimidazole was monosubstituted efficiently. When compounds 32S–35S were purified, they had a 63–81% yield. This was due to a series of amines replacing the second imidazoyl unit in the presence of dimethylaminopyridine (DMAP) in dimethylformamide. Scheme 8 shows how iridium complexes based on these systems were subsequently created by reacting 33S with [Ir(ppy)2Cl]2 in toluene with potassium carbonate present. The result was bright yellow powders, or Ir-33S, in a 53% yield.
Scheme 8.
Synthesis of thiourea compounds and their iridium complexes [38].
Different human ovarian cancer cell lines, such as EFO-21, EFO-27 and COLO-704, as well as their cisplatin-resistant sublines, EFO-21rCDDP2000 and EFO-27rCDDP2000, were evaluated against a variety of unmetalled chemicals. With IC50 values in the low micromolar range, these substances demonstrated toxicity in every cell line tested. Thioureas 32S, 33S and 35S were the most active compounds among those examined; their average IC50 values were 1.29, 1.26 and 2.96 μM in all cell lines. In drug-resistant cell lines, the series 32S–35S exhibited a negligible decline in efficacy, but Ir-33S was found to be more effective in one resistant subline.
Targeting molecules different from cisplatin, gold complexes are another kind of chemical with anticancer effects. Gold compounds primarily target enzymes that include thiols, especially those that are located in mitochondria, like cyclooxygenases, glutathione reductase and thioredoxin reductase [39,40,41]. The kind of ligand that is employed determines how stable gold complexes are in a biological setting. In the past 20 years, thiolate [42,43,44,45], phosphine [46,47,48,49,50,51] and N-heterocyclic carbene ligands, which are depicted in Figure 6, have all been widely employed and have demonstrated positive biological effects.
Figure 6.
Gold complexes with interesting ligands [52].
Because silver complexes are less toxic, they are useful in the therapy of cancer. Their principal mode of action is binding to proteins that contain thiols and DNA [53]. Through a 1:1 reaction between the respective isothiocyanate a and b and 2-(diphenylphosphino) ethylamine (c), Guillermo et al. synthesized metal complex thioureas 36 and 37. Thioureas 36 (80% yield) and 37 (85% yield) were synthesized as shown in Scheme 9 [52].
Scheme 9.
Synthesis of thioureas 36 and 37 [52].
The synthesis of Ag(I) and Au(I) complexes from compounds 36 and 37 was carried out as shown in Scheme 10 and Scheme 11 [52].
Scheme 10.
Synthesis of metal complexes C36a–e derived from 36 [52].
Scheme 11.
Synthesis of metal complexes C37a–c derived from 37 [52].
Three cancer cell lines, HeLa (human cervical carcinoma), A549 (human lung carcinoma) and Jurkat (leukaemia), were used to assess the toxicity of each synthesized complex. The toxicity test findings are shown in Table 1 and Table 2.
Table 1.
Antitumor activity expressed in IC50 values of complexes C36a–e compared with that of thiourea 36 as the standard [52].
Table 2.
Antitumor activity expressed in IC50 values of complexes C36a–e compared with that of thiourea 37 as the standard [52].
Very low IC50 values were discovered for the gold complexes in the complexes containing thiourea 36; however, all of the complexes with thiourea 37 showed improved cytotoxicity.
Coordinators containing sulfur atoms frequently form metal complexes with thiourea derivatives, especially in complexes of transitional elements [54]. A tetrahedron is the shape of copper, whereas the majority of these metal complexes are octahedral in shape [55,56]. Five compounds of thiourea benzamide derivatives, shown in Scheme 12 [57], were synthesized by Yaqeen et al. These included ligands L1, L2, L3, L4 and L5 and their metal complexes, 38–42. Benzoyl chloride and ammonium thiocyanate were reacted to produce thiourea benzamide ligands, which were then used to synthesize the ligands. These ligands were subsequently used to create complex compounds 38–42 by reacting with Cu (II) ions in methanol and acetone. Using the MTT cytotoxicity assay against the MCF7 breast cancer cell lines, all of the produced compounds were evaluated. With IC50 values of 4.03 and 4.66 µg/mL, respectively, complexes 38 and 39 were extremely effective, whereas the ligands had variable anti-cancer efficacy. Compounds 38 and 39 target the PR and Akt proteins of breast cancer cell lines (MCF-7), as demonstrated in Figure 7, based on the molecular docking of these compounds with target proteins 4OAR and 5KCV.
Scheme 12.
Reparation pathway of ligand and metal complexes [57].
Figure 7.
Two-dimensional and three-dimensional forms. (a) Complex 38 with target proteins 4OAR; (b) Complex 39 with target proteins 4OAR; (c) Complex 38 with target proteins 5CVK; (d) Complex 39 with target proteins 5CVK [57].
Cancer has been treated with symmetrical and unsymmetrical bis-thioureas. For example, at nanomolar concentrations, phenyl-bis phenylthiourea Figure 8a demonstrated cytotoxicity against numerous malignant cell lines [58]. Furthermore, alkylated bis-thiourea’s polyamine analog (Figure 8b) demonstrated anticancer efficacy by acting as a lysine-specific demethylase inhibitor [59].
Figure 8.
Compounds containing a bis-thiourea nucleus: (a) Phenyl-bis phenylthiourea; (b) Polyamine analog of alkylated bis-thiourea [60].
Nasima et al. [60], synthesized three bis-thiourea derivatives using the method outlined in Scheme 13. Before adding 4-nitrobenzene-1,2-diamine, they introduced KSCN in acetone to convert appropriately substituted acid chlorides to corresponding acyl isothiocyanates. Acyl thioureas were obtained by recrystallizing the resultant products from ethanol, with a yield that varied between 73% and 89%.
Scheme 13.
Newly synthesized bis-thiourea derivatives: synthesis and structures [60].
The molecular docking analysis revealed that the three drugs exhibited groove binding, incomplete contact and mixed mode DNA binding. Furthermore, all three of the compounds (43–45) showed 2D interactions with the urease enzyme. N-N/diarylthiourea derivatives, which are included in a number of pharmaceutically active compounds, represent another interesting class of prospective anticancer medications [61,62,63].
It is crucial to adjust the balance between the produced compounds’ lipophilicity and hydrophilicity in order to look into the inhibitory mechanisms of the compounds. To enhance permeability through lipophilic cellular membranes, a lengthy non-polar alkyl terminal chain containing six to sixteen carbon atoms must be included in the synthesis of novel diaryl thiourea derivatives. Moreover, adding a fluorine group as a hydrogen bond acceptor group can increase the proposed compounds’ aqueous solubility [61]. By combining phenolisocyanate or 4-fluorophenyl isothiocyanate with alkoxy anilines (4-hexyloxyaniline, 4-octyloxyaniline or 4-hexadecyloxyaniline) in dichloromethane at an ambient temperature, Mohamed et al. produced N, Nl disubstituted thiourea derivatives 46–51. Scheme 14 [64] shows the equimolar amounts used in this reaction that was conducted.
Scheme 14.
Synthesis of urea and thiourea derivatives 46–51 [64].
The efficacy of the produced compounds in treating breast cancer was evaluated by testing them against MCF-7 cells. The findings indicated that compound 49 might have more promise as an anticancer drug due to its lower IC50 value (338.3 ± 1.52 µM). Unlike untreated control cells, treated MCF-7 cells with compound 49 displayed alterations in cell size and shape as well as a progressive decline in cell viability, as the compound concentration increased, as seen in Figure 9. This outcome was comparable to that of 4-nitrobenzoyl-3-allylthiourea, another arylthiourea derivative that, at an IC50 value of 225 µM, had good efficacy against breast cancer cells [65].
Figure 9.
Comparing the morphological changes in MCF-7 cells treated for 24 h with different doses (50–1000 µM) of compound 49 to untreated control cells under a microscope [64].
Compound 49 was discovered to have a significant effect on LDH enzyme activity. The study indicated that treated MCF-7 cells had LDH levels that were 521.77 ± 30.8 U/L, significantly higher than those of untreated control cells (85.35 ± 4.2 U/L). According to these findings, compound 49 effectively prevents MCF-7 cell growth. In addition, the cell cycle of the treated cells was investigated. It was shown that a sizable portion of the cells were created in the S phase, suggesting that apoptosis was initiated and that the cell cycle was stopped at that point. This result demonstrates that compound 49 therapy is effective in stopping the growth of cancer cells and can disturb normal cell cycle progression [66,67].
The thiazole, pyrazole and pyran moieties found in several thiourea derivatives have also been shown to have promising anticancer action [68]. Certain physicochemical and structural characteristics that impact thiourea’s pharmacological properties are conferred by the integration of these heterocyclic moieties [69,70,71]. Their therapeutic potential is increased by their interaction with molecular targets, which modify cellular activities and signaling cascades [72]. Figure 10 [73] illustrates the series of thiourea derivatives that Ahmed et al. synthesized that contain heterocyclic moieties. 4-Aminoacetophenone (i) was refluxed with phenyl isothiocyanate in dry toluene to form the pyrazole-based derivative 1-(4-acetylphenyl)-3-phenylthiourea (ii). This was then refluxed with the reagent, dimethylformamide-dimethyl acetal (DMF-DMA), in dioxane to convert it into its corresponding enaminone (iii). Compound iii reacted with two distinct nitrogen binucleophiles (phenyl hydrazine and hydrazine hydrate) via refluxing in ethanol and triethylamine, yielding compounds 50a and 50b, which are phenyl thiourea pyrazoles. Compound (iii) was used to create compound 51, thiazolopyrimidine-phenylthiourea, by reacting with 2-aminothiazole in boiling methanol and sodium methoxide to create thiazole derivatives. The equivalent benzothiazolo [3,2-a] pyridine-phenylthiourea compound 52 was produced by compound iii reacting with benzothiazole-2-yl acetonitrile while under refluxing acetic acid. In glacial acetic acid, compound iii reacted with acetylacetone to yield the corresponding 1-(4-(5-acetyl-6-methyl-4H-pyran-2-yl) phenyl)-3-phenylthiourea-based pyran compound 53, whereas compound iii reacted with dimedone to yield tetrahydrochromenephenylthiourea, compound 54. Scheme 15 shows the pathway of synthesis.
Figure 10.
Optimized structures of compounds 50–54 [73].
Scheme 15.
Synthesis of phenylthiourea pyrazole-based compounds 50a, 50b, thiazolopyramidine and thiazolopyridine compounds 51, 52 and phenylthiourea pyran-based compounds 53, 54 [73].
Using the MTT approach, all of the synthesized compounds, 50(a, b), 51, 52, 53 and 54, were tested for in vitro cytotoxicity against several cancer lines, including HepG2, HCT-116, MCF-7, PC3 and WI38 [74]. The medicine used as a reference was doxorubicin. The chemicals’ reactivity with the cell lines under investigation was as follows: PC3 > MCF-7 > HepG2 > HCT-116. Compounds 51, 52 and 54 had significant cytotoxic efficacy in the HCT-116 cell line (IC50 = 2.29, 9.71 and 7.36 μM, respectively), whereas compound 53 demonstrated appropriate efficacy (IC50 = 12.41 μM), and compounds 50a and 50b demonstrated the least activity (IC50 = 20.19 and 17.85 μM).
5. Anti-Inflammatory Activity
Inflammation is characterized as a local or systemic reaction to injury to tissue or any other stimuli, including those that are chemical, physical, biological or thermal [75]. Hyperinflammation is brought on by an increase in the levels of proinflammatory markers, cytokines and inflammatory chemokines [76]. Reactive oxygen species (ROS) and hyperinflammation work together to promote the growth of a number of illnesses, including diabetes, cancer, arthritis and cardiovascular disorders [77,78]. Through a number of cytokine-signaling pathways, two significant multifunctional pro-inflammatory cytokines—tumor necrosis factor alpha (TNF-α) and interleukin-6 (IL-6)—are involved in the pathophysiology of autoimmune, inflammatory, cardiovascular, neurological and cancer illnesses [79]. Thus, TNF-α and IL-6 are crucial molecular targets for pharmaceuticals in the therapy of several illnesses [80].
As shown in Scheme 16 [81], Ashish et al. prepared a number of novel 2-methylquinazolin-4(3H)-one derivatives carrying thiourea. Compound 55 is the precursor of 6,7-dimethoxy-2-methyl-4H-benzo[d][1,3]oxazin-4-one. Compound 55 was reacted with 1,2-ethylenediamine at reflux for two hours to yield compound 56, 3-(2-aminoethyl)-6,7-dimethoxy-2-methylquinazolin-4(3H)-one. Then, at an ambient temperature, compound 56 was reacted with the suitable arylisothiocyanates to create the required thiourea derivatives, 57–66. Every synthesized compound was tested for its inhibitory effect on IL-6 and TNF-α at a concentration of 10 µg/mL. Compared to the conventional dexamethasone (1 µg/mL), compounds 60 and 62 showed stronger inhibitory efficacy against TNF-α (78% and 72%) and IL-6 (89% and 83%). Conversely, compounds 57 and 64 showed modest levels of IL-6 (67% and 62%) and TNF-α (52% and 50%). Little to no inhibitory activity was demonstrated by the remaining compounds.
Scheme 16.
Synthesis of new 3-(2-aminoethyl)-2-methylquinezolin-4(3H)-one thiourea derivatives [81].
Two types of COX that are triggered by inflammatory stimuli are COX-1 and COX-2. 5-LOX is an additional enzyme that contributes to lipid peroxidation and generates lipid peroxides. Inhibiting 5-LOX can aid in cognitive recovery, whereas increasing its activity is linked to neuroinflammation and may result in memory problems [82]. The polyunsaturated omega-6 fatty acid arachidonic acid can be processed by the enzymes cyclooxygenase (COX) and 5-lipoxygenase (5-LOX) via a variety of routes [82].
Studies have demonstrated the good anti-inflammatory action of naproxen derivatives with substituted 1,2,4-triazole rings [83]. Furthermore, it has been discovered in multiple investigations that naproxen’s thiourea derivatives have anti-inflammatory qualities. In comparison to naproxen, thiourea derivatives of naproxen in combination with aminopyridines [84], 4-chloroaniline [85] and amino acids [86] have exhibited negligible ulcerogenic effects and a greater percentage of paw edema reduction.
New thiourea derivatives of naproxen, including aromatic amines and aromatic amino acid esters, were produced by Nikola et al. [87]. The synthesis process was followed as illustrated in Scheme 17. To create a modified naproxen scaffold, they started with S-naproxen. When aromatic amines were present, naproxenoyl chloride, which was created when naproxen and oxalyl chloride combined, could react with potassium thiocyanate to form compounds 67–71 or with esters of aromatic amino acids to form compounds 72 and 73.
Scheme 17.
Synthesis of tested compounds [87].
The synthesized compounds were shown to be non-toxic and were evaluated for their anti-inflammatory properties using the acute inflammation model of carrageenan-induced paw edema, which is frequently employed in the testing of novel anti-inflammatory medications. It was discovered that a few of compounds 67–73 have the ability to suppress inflammation later on. Examining the effects of the produced molecule on COX-2 and 5-LOX, the findings revealed that none of the compounds inhibited COX-2 at concentrations below 100 µM by more than 50%, suggesting a poor inhibitory effect. As shown in Figure 11, compounds 67, 68, 69, 70 and 71, however, were capable of inhibiting 5-LOX, with compound 70 exhibiting the greatest efficiency. Its IC50 value (0.3 µM) was similar to those of commercial anti-inflammatory drugs [87,88].
Figure 11.
Molecular docking of compound 67 (a), 68 (b), 69 (c), 70 (d), 71 (e), 72 (f) and 73 (g) into the 5-LOX enzyme. The blue shapes represent the chemical structure of the tested compounds 67 to 73 and its binding with the 5-LOX enzyme by hydrogen bonds (green dashed lines) [87].
It has been discovered that urea–thiourea hybrids have a broad spectrum of anti-inflammatory effects. Numerous new urea–thiourea hybrids have been created and thoroughly examined. These hybrids are created by reacting several isothiocyanate derivatives with 2,3-diaminonaphthalene-1,4-dione. These hybrids were shown to have anti-inflammatory properties on mammalian macrophages in an in vivo test by inhibiting PI3K activation and reducing the generation of proinflammatory cytokines [89].
6. Antituberculosis Activity
Due to the evolution of medication resistance, tuberculosis (TB), a lung disease caused by Mycobacterium tuberculosis (M. tuberculosis), continues to pose a serious threat to the world. As seen in Figure 12, the World Health Organization (WHO) estimates that 7.5 million individuals worldwide passed away from tuberculosis (TB) in 2022 [90].
Figure 12.
The global trend in case notifications of people newly diagnosed with TB, 2010–2022 (WHO 2022) [90].
A useful building block for the discovery of novel pharmaceuticals with a variety of therapeutic uses is the thiourea scaffold. An essential component of M. tuberculosis’s mycolic acid production pathway is InhA, an enoyl-acyl carrier protein reductase. Because of this, InhA is essential for the growth of M. tuberculosis (TB) and presents a promising target for the development of novel antituberculosis drugs [91]. Şengül et al. [92] synthesized thiourea derivatives 74 and 75, depicted in Figure 13, which possess essential structural components to function as InhA inhibitors and growth inhibitors of M. tuberculosis.
Figure 13.
Structural moieties to be M. tuberculosis growth and InhA inhibitors [92].
Five thiourea derivatives were synthesized by Emine et al. [93] and are represented in Figure 14 as follows: N-((2-chloropyridin-3-yl)carbamothioyl)thiophene-2-carboxamide (76), N-((6-methylpyridin-2-yl)carbamothioyl)thiophene-2-carboxamide (77), N-(allylcarbamothioyl) thiophene-2-carboxamide (78), 2-chloro-N-(methyl(1-phenylethyl) carbamothioyl) benzamide (79) and 2-chloro-N-(bis((R)-1-phenylethyl) carbamothioyl) benzamide (80). Five common bacterial strains—H37RV, INH resistant, RIF resistant, STM resistant and EMB resistant—were used to test these drugs’ antituberculosis effectiveness. According to the results, derivative 79 had the highest activity.
Figure 14.
The structure of synthesized compounds 76–80 with antituberculosis activity [93].
Anna et al. [94], investigated the antitubercular capabilities of a series of halogenated copper (II) complexes. To assess the impact of substitution isomerism and electron-withdrawing functions, they employed various phenyl ring substituent arrangements. Among the thiourea derivative complexes were those containing 1-(2-bromophenyl)-halogenated copper (II) complexes: 1-(2-bromophenyl)-3-(4-chloro-3-nitrophenyl)thiourea (81), 1-(3-bromophenyl)-3-(4-chloro-3-nitrophenyl)thiourea (82), 1-(4-bromophenyl)-3-(4-chloro-3-nitrophenyl)thiourea (83), 1-(3-chloro-4-fluorophenyl)-3-(4-chloro-3-nitrophenyl)thiourea (84), 1-(4-chloro-3-nitrophenyl)-3-(3,4-dichlorophenyl)thiourea (85), 1,3-bis(4-chloro-3-nitrophenyl)thiourea (86), 1-(2-fluorophenyl)-3-(4-chloro-3-nitrophenyl) thiourea (87) and 1-(4-iodophenyl)-3-(4-chloro-3-nitrophenyl)thiourea (88), according to Figure 15. The antituberculosis activity of each complex was evaluated, and the findings indicated that combinations including streptomycin and halogenated copper (II) complexes 83 or 84 were more successful. These mixtures show potential utility in M. tuberculosis 800 strains that are INH mono-resistant and multidrug-resistant. The development of MDRTB strain 210 was suppressed by all complexed thiourea compounds, with MICs ranging from 2 to 8 μg/mL. When measured against the reference medicines, isoniazid (INH), rifampicin (RMP), streptomycin (SM) and ethambutol (EMB), the most effective 3,4-dichlorophenylthiourea coordinate acted 8–16 times stronger.
Figure 15.
Structure of 3-(4chloro-3-nitrophenyl) thiourea-copper (II) complexes [94].
The synthesis and assessment of urea and thiourea derivatives of 5-phenyl-3-isoxazolecarboxylic acid methyl esters, which exhibit promise as anti-TB drugs, were reported by Santosh et al. [95]. Developing medications that work requires a deep comprehension of the Structure–Activity Relationship (SAR), as shown in Figure 16. This led to the synthesis of a number of thiourea derivatives based on isoxazole carboxylic acid methyl ester, as shown in Figure 17.
Figure 16.
Overview of SAR of evaluated compounds. Highlighted colors of rectangular boxes indicate the identical color of part of the structure [95].
Figure 17.
Synthetic route to 5-phenyl-3-isoxazole carboxylic acid methyl ester-linked thiourea derivatives [95].
When synthetic compounds 89–102 were examined for their ability to combat tuberculosis (TB), they all displayed nearly identical levels of efficacy. The most potent monosubstituted thiourea derivatives were those containing a chlorine atom, with p-chloro being the most active (MIC 1 µg/mL). On the other hand, the m-chloro and m-bromo compounds only showed a moderate level of efficacy. The 2,4-difluoro derivatives among the disubstituted analogs exhibited good efficacy (MIC 2 µg/mL).
7. Anti-Alzheimer
Dementia may result from Alzheimer’s disease, a degenerative and crippling neurological condition that impairs cognitive function. Studies indicate that hereditary variables, including apolipoprotein E, can contribute to the onset of the illness. The two main processes that harm neural cells are oxidative damage and inflammation [96,97,98]. Research has demonstrated the potential application of sulfur-containing compounds, including thiols, disulfides and sulfides, in the treatment of Alzheimer’s disease (Figure 18). In addition, various classes of compounds containing sulfur have demonstrated promise in the treatment of the disease, such as sulfoxides and thiocarboxylic acids with a +4 oxidation state, thioesters, thioketones, thioureas and heterocyclic compounds containing sulfur with a −2 oxidation state, and sulfones and sulfonamides with a +6 oxidation state [99,100].
Figure 18.
Causes, mechanisms and treatment of Alzheimer’s disease [99,100].
Targeting the enzymes Acetylcholinesterase (AChE) and Butyrylcholinesterase (BChE), which are essential for the breakdown of different compounds, is the goal of treating Alzheimer’s disease (AD). BChE also aids in the breakdown of ACh in a healthy brain, exacerbating the course of AD. In order to cure AD, it may be beneficial to inhibit both AChE and BChE [101]. As illustrated in Figure 19, AChE inhibitors such as donepezil, rivastigmine and galantamine are currently the most often prescribed medications for AD in clinics. Patients with mild to moderate AD may obtain symptom relief from these inhibitors, which interfere with the enzyme’s active site [102].
Figure 19.
Anti-Alzheimer drugs [103].
As shown in Figure 20, Mehtab et al. [103] produced a range of thiourea and thiazolidinone compounds, 103–106, and investigated their inhibitory activity against AChE and BChE.
Figure 20.
Synthesized thiazolidinone derivatives with both AChE and BChE activity [103].
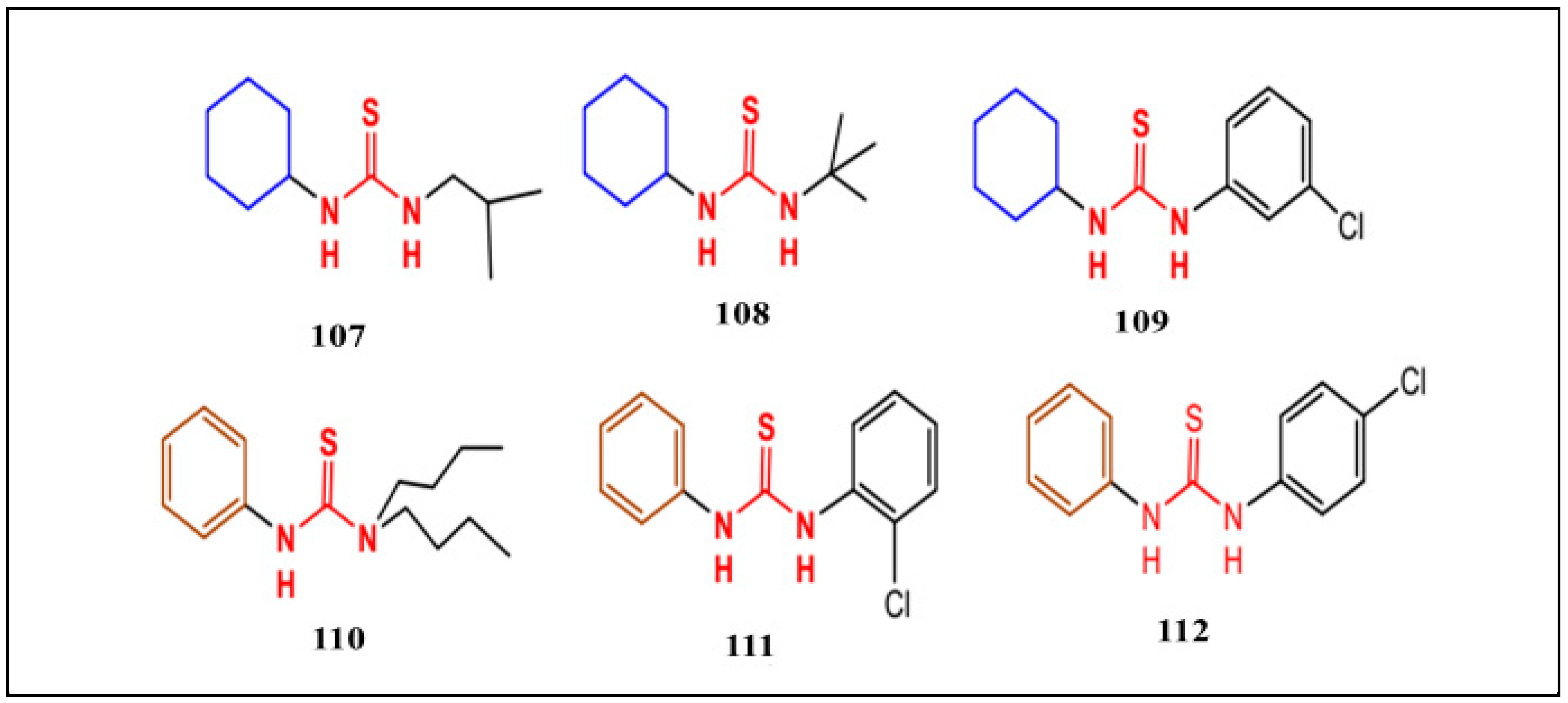
The compounds showed varying degrees of inhibitory efficacy against AChE and BChE, according to the study. In particular, 103 < 105 < 104 was the sequence of inhibitory activities against AChE, whereas 105 < 104 < 103 < 106 was the sequence against BChE. The compound’s IC50 values against AChE and BChE were 33.27–93.85 nM and 105.9–412.5 nM, respectively. All results showed that the compounds worked better against AChE than they did against BChE [103]. There have also been reports of other thiourea compounds acting as enzyme inhibitors, including isobutylphenylthiourea and tert-butylphenylthiourea [104]. Six crystalline thiourea derivatives were evaluated against BChE and AChE in a different investigation [105]. Figure 21 displays the compounds that were produced.
Figure 21.
Structure of asymmetrical thiourea derivatives, 1-cyclohexyl-3-(iso-butyl)thiourea 107, 1-cyclohexyl-3-(tert-butyl)thiourea 108, 1-cyclohexyl-3-(3-chlorophenyl)thiourea 109, 1-phenyl-3-(1,1-dibutyl)thiourea 110, 1-phenyl-3-(2-chlorophenyl)thiourea 111 and 1-phenyl-3-(4-chlorophenyl) thiourea 112 [105].
Compounds 110 and 109 showed outstanding inhibitory properties. Compounds 109 and 110 exhibited different IC50 values for AChE and BChE. Specifically, compound 109’s IC50 value was 50 µg/mL, and compound 110’s IC50 value was 63 µg/mL. Galantamine, the standard, had an IC50 value of 15 µg/mL against both enzymes.
Compound 109 established contact with Asn-83, Asn-85 and His-77, and compound 110 was effective in creating associations with Try-128 and Try-82, according to the results of the molecular docking of compounds 109 and 110, as shown in Figure 22. Complicated interactions are what give compound 109 its increased potency.
Figure 22.
Three-dimensional binding interaction modes of compounds 109 and 110 as inhibitors of AChE and BChE. (a,b) Interaction posing of compound 109 and 110 with AChE, respectively; (c,d) Interaction of compound 109 and 110 with BChE, respectively [105].
In comparison with the normal donepezil (IC50, 2.16 and 4.5 µM, respectively), thiazole–thiourea hybrid compounds have recently demonstrated exceptional activity against both AChE and BChE enzymes, with IC50 values ranging from 0.3 to 15 µM against AChE and 0.4 to 22 µM against BChE [106].
8. Antimalarial Activity
The parasite Plasmodium, a member of the phylum Apicomplexa, is the cause of malaria. About 50% of people worldwide are at risk of malaria, according to the World Health Organization (WHO) [107]. Malaria poses a threat to about half of the world’s population. Drug-resistant forms of the malaria parasite have emerged as a result of the indiscriminate use of antimalarial medications like artemisinin and chloroquine. To tackle antimalarial drug resistance, Cheo et al. [108] and Mohamed et al. [109] synthesized promising compounds with chalcone pyrazoline and pyrimidine scaffolds, as seen in Figure 23.
Figure 23.
Structures of chalcone, pyrazoline and pyrimidine [109].
Four chalcones, 113–116, were created in the manner shown in Scheme 18. Twelve novel pyrazoline compounds, 113–116A(i–iii), were produced by the cyclo-condensation reactions between the chalcones and hydrazine hydrate derivatives, as illustrated in Scheme 19.
Scheme 18.
Synthesis of chalcones 113–116 [109].
Scheme 19.
Synthesis of pyrazoline derivatives 113–116A(i–iii) [109].
Scheme 20 illustrates the formation of eight novel pyrimidine derivatives, 113–116B(i–iii), from the reaction of chalcones with guanidine or thiourea.
Scheme 20.
Synthesis of pyrimidine derivatives 113–116B(i–iii) [109].
All of the produced compounds were evaluated to see how well they worked against the chloroquine-resistant RKL9 strain of malaria, as well as the chloroquine-sensitive 3D7 strain. Next, the compounds’ IC50 values were contrasted with those of chloroquine. Chalcones 113–116 were shown to be less efficient than the heterocyclic compound produced from them in combating P. falciparum malaria. Furthermore, it was shown that molecules with a methoxy group in the para position were more potent than those with a methoxy group in the meta position. An investigation into molecular docking was carried out on the ATPase ‘PfATP4’ enzyme, which is thought to be essential for resistance mechanisms. The strongest binding energies to the “PfATP4” receptor were exhibited by compounds 113, 113Aiii and 113Bi, out of all the produced derivatives, according to the results. Figure 24 shows the compound model with the effective functional groups.
Figure 24.
SAR of thiourea derivatives as antimalarial agents [109].
9. The Recent Strategies in the Synthesis of Thiourea Derivatives
As a result of the environmental problems associated with the diversity of the traditional chemical synthesis of organic compounds, the trend of using green chemistry was the alternative to avoid these problems. The automated synthetic systems were a useful tool to accelerate the research of organic synthesis and reduce the harm of chemicals to the human body [110,111].
Capsaicin derivatives with thiourea structures (CDTS) are known for their higher analgesic potency in rodent models and higher agonism in vitro. As shown in Figure 25, capsaicin derivatives with thiourea structures showed higher analgesic potency in rodent models and higher agonism in vitro [112]. Lina et al. [113] reported a green, facile and practical synthetic method for capsaicin derivatives with thiourea structures, which was developed by using an automated synthetic system, as shown in Figure 26. The synthesis of CDTS was performed via a condensation reaction of vanilylamine hydrochloride and isothiocyanates at room temperature and under green solvent (water) conditions with goo/excellent yields [113].
Figure 25.
Capsaicin derivatives with thiourea structures [113]. The blue content is the structure of the nucleus of capsaicin and the red parts are the substituted parts either without (upper) or with thiourea (lower).
Figure 26.
Photograph (a) and schematic (b) of the automated synthetic system. The automated synthetic system mainly consists of seven parts: (i) central control unit; (ii) solvents; (iii) syringe pump; (iv) selection valve; (v) reaction module; (vi) filter module; (vii) vacuum pump [113].
10. Conclusions
Thiourea is a significant compound that is used as a basic building block to synthesize a wide range of derivatives with different biological activities. Strong antibacterial and anticancer effects have been demonstrated by these derivatives, which also comprise tris thioureas, complexes and symmetrical and asymmetrical bis thioureas. In addition, urea-thiourea hybrids have shown notable anti-inflammatory properties, and other thiourea-containing pyrazole, thiazole and pyran moieties have shown a variety of biological activities. Herien, I highlight several therapeutic applications and the development of synthetic strategies. I track the progress in this field by discussing traditional methods, green chemistry and, recently, the automated synthetic system. This system can be considered the starting point for improving not only the quality but also the quantity of the targeted product, while maintaining a healthy environment. According to the above-mentioned information, I hope that this review will motivate researchers to conduct more research in this exciting field.
Funding
This research received no external funding.
Data Availability Statement
Not applicable.
Conflicts of Interest
The author declares no conflicts of interest.
References
- Favre, H.A.; Powell, W.H. Nomenclature of Organic Chemistry: IUPAC Recommendations and Preferred Names; IUPAC Blue book; RSC Publishing: London, UK, 2014; ISBN 978-0-85404-182-4. [Google Scholar] [CrossRef]
- Alcolea, V.; Plano, D.; Karelia, D.N.; Palop, J.A.; Amin, S.; Sanmartín, C.; Sharma, A.K. Novel seleno- and thiourea derivatives with potent in vitro activities against several cancer cell lines. Eur. J. Med. Chem. 2016, 113, 134–144. [Google Scholar] [CrossRef] [PubMed]
- Mertschenk, B.; Knott, A.; Bauer, W. Thiourea and thiourea derivatives. In Ullmann’s Encyclopedia of Industrial Chemistry; Wiley: Hoboken, NJ, USA, 2000; Volume 15, pp. 1–15. [Google Scholar]
- Kerru, N.; Settypalli, T.; Nallapaneni, H.C.V. Novel thienopyrimidine derivatives Containing 1,2,4-triazoles and 1,3,4-oxadiazoles as potent antimicrobial activity. Med. Chem. 2014, 4, 623–629. [Google Scholar] [CrossRef]
- Rivera, A.; Maldonado, M.; Ríos-Motta, J. A facile and efficient procedure for the synthesis of new benzimidazole-2-thione derivatives. Molecules 2012, 17, 8578–8586. [Google Scholar] [CrossRef]
- Kulakov, I.; Nurkenov, O.; Akhmetova, S.; Seidakhmetova, R.; Zhambekov, Z. Synthesis and antibacterial and antifungal activities of thiourea derivatives of the alkaloid anabasine. Pharm. Chem. J. 2011, 45, 15–18. [Google Scholar] [CrossRef]
- Mishra, A.; Batra, S. Thiourea and guanidine derivatives as antimalarial and antimicrobial agents. Curr. Top. Med. Chem. 2013, 13, 2011–2025. [Google Scholar] [CrossRef]
- Hasanen, J.; El-Deen, I.; El-Desoky, R.; Abdalla, A. Synthesis of some nitrogen heterocycles and in vitro evaluation of their antimicrobial and antitumor activity. Res. Chem. Interm. 2014, 40, 537–553. [Google Scholar] [CrossRef]
- Pattan, S.; Kedar, M.; Pattan, J.; Dengale, S.; Sanap, M.; Gharate, U.; Shinde, P.; Kadam, S. Synthesis and evaluation of some novel 2,4-thiazolidinedione derivatives for antibacterial, antitubercular, and antidiabetic activities. Indian J. Chem. 2012, 51, 1421–1425. [Google Scholar] [CrossRef]
- Shivakumara, K.N.; Sridhar, B.T. Review on role of urea and thiourea derivatives of some heterocyclic Scaffold in drug design and medicinal chemistry. Int. J. Chem. Res. Dev. 2021, 3, 20–25. [Google Scholar]
- Riccardo, R.; Giada, M.; Andrea, C.; Antimo, G.; Emidio, C. Recent advances in urea- and thiourea-containing compounds: Focus on innovative approaches in medicinal chemistry and organic synthesis. RSC Med. Chem. 2021, 12, 1046–1064. [Google Scholar]
- Ezzat, K.; Sikandar, K.; Zarif, G.; Mian, M. Medicinal Importance, Coordination Chemistry with Selected Metals (Cu, Ag, Au) and Chemosensing of Thiourea Derivatives. A Review. Crit. Rev. Anal. Chem. 2021, 51, 812–834. [Google Scholar]
- Sumaira, N.; Muhammad, Z.; Muhammad, N.U.; Saad, A.; Muhammad, U.K.S.; Wasim, U. Synthesis, characterization, and pharmacological evaluation of thiourea derivatives. Open Chem. 2020, 18, 764–777. [Google Scholar]
- Roxana, R.; Lucia, P.; Miron, T.; Căproiu, F.; Dumitras, C.; Diana, C.N.; Irina, Z.; Petre, I.; Mariana, C.C.; Cornel, C.; et al. New N-acyl Thiourea Derivatives: Synthesis, Standardized Quantification Method and In Vitro Evaluation of Potential Biological Activities. Antibiotics 2023, 12, 807. [Google Scholar] [CrossRef]
- Saghi, S.; Ghorbani, N.M.; Masoud, M.Z.; Masood, G. Synthesis and Investigation of the Antibacterial Activity of New Tris-thiourea Derivatives. Pharm. Chem. J. 2021, 55, 36–40. [Google Scholar]
- Mumtaz, J.; Arshad, A.; Saeed, M.A.H.; Nawaz, J. Iqbal. Synthesis, characterization and urease inhibition studies of transition metal complexes of thioureas bearing ibuprofen moiety. J. Chil. Chem. Soc. 2018, 63, 3934–3940. [Google Scholar] [CrossRef]
- Ahmed, T.F.A.; Adnan, A.H.; Ahmed, S.F.; Abdulrahman, M.S.; Tarek, A.Y.; Mortaga, M.A.; Mona, H.A.; Ahmed, S.M.A. Thiourea Derivative Metal Complexes: Spectroscopic, Anti-Microbial Evaluation, ADMET, Toxicity, and Molecular Docking Studies. Inorganics 2023, 11, 390. [Google Scholar] [CrossRef]
- Aleksandra, D.; Marta, S.; Agnieszka, G.; Ewa, A.; Katarzyna, D.; Alicja, C.; Anna, W.; Paweł, R.; Marcin, T.K.; Małgorzata, W.; et al. Synthesis, Structural Characterization and Biological Activity Evaluation of Novel Cu (II) Complexes with 3-(trifluoromethyl)phenylthiourea Derivatives. Int. J. Mol. Sci. 2022, 23, 15694. [Google Scholar] [CrossRef]
- Bielenica, A.; Stefańnska, J.; Stępień, K.; Napiórkowska, A.; Augustynowicz-Kopeć, E.; Sanna, G.; Madeddu, S.; Boi, S.; Giliberti, G.; Wrzosek, M. Synthesis, cytotoxicity, and antimicrobial activity of thiourea derivatives incorporating 3-(trifluoromethyl)phenyl moiety. Eur. J. Med. Chem. 2015, 101, 111–125. [Google Scholar] [CrossRef]
- Stefańska, J.; Stępień, K.; Bielenica, A.; Wrzosek, M.; Struga, M. Antistaphylococcal Activity of Selected Thiourea Derivatives. Pol. J. Microbiol. 2016, 65, 451–460. [Google Scholar] [CrossRef] [PubMed]
- Bielenica, A.; Stępień, K.; Napiórkowska, A.; Augustynowicz-Kopeć, E.; Krukowski, S.; Włodarczyk, M.; Struga, M. Synthesis and Antimicrobial Activity of 4-Chloro-3-Nitrophenylthiourea Derivatives Targeting Bacterial Type II Topoisomerases. Chem. Biol. Drug Des. 2016, 87, 905–917. [Google Scholar] [CrossRef] [PubMed]
- Sudzhaev, R.; Rzaeva, I.A.; Nadzhafova, R.A.; Safarov, Y.S.; Allakhverdiev, M.A. Antioxidant properties of some thiourea derivatives. Russ. J. Appl. Chem. 2011, 84, 1394–1397. [Google Scholar] [CrossRef]
- Litvinov, V.P. Thienopyrimidines: Synthesis, properties, and biological activity. Russ. Chem. Bull. 2004, 53, 487–516. [Google Scholar] [CrossRef]
- Abdullah, Q.O.; Oday, H.R.A.; Sudad, A.D. Synthesis, Characterization of Some Thiourea Derivatives Based on 4-Methoxybenzoyl Chloride as Antioxidants and Study of Molecular Docking. Iraqi J. Sci. 2023, 64, 1–12. [Google Scholar]
- Lv, P.C.; Li, H.-Q.; Sun, J.; Zhou, Y.; Zhu, H.-L. Synthesis and biological evaluation of pyrazole derivatives containing thiourea skeleton as anticancer agents. Bioorg. Med. Chem. 2010, 18, 4606–4614. [Google Scholar] [CrossRef] [PubMed]
- Saeed, S.; Rashid, N.; Jones, P.G.; Ali, M.; Hussain, R. Synthesis, characterization and biological evaluation of some thiourea derivatives bearing benzothiazole moiety as potential antimicrobial and anticancer agents. Eur. J. Med. Chem. 2010, 45, 1323–1331. [Google Scholar] [CrossRef] [PubMed]
- Manjula, S.; Noolvi, N.M.; Parihar, K.V.; Reddy, S.M.; Ramani, V.; Gadad, A.K.; Singh, G.; Kutty, N.G.; Rao, C.M. Synthesis and antitumor activity of optically active thiourea and their 2-aminobenzothiazole derivatives: A novel class of anticancer agents. Eur. J. Med. Chem. 2009, 44, 2923–2929. [Google Scholar] [CrossRef] [PubMed]
- Kumar, V.; Chimni, S.S. Recent developments on thiourea-based anticancer chemotherapeutics. Anti-Cancer Agents Med. Chem. 2015, 15, 163–175. [Google Scholar] [CrossRef] [PubMed]
- Ghorab, M.M.; El-Gaby, M.S.A.; Alsaid, M.S.; Elshaier, Y.A.M.M.; Soliman, A.M.; El-Senduny, F.F.; Badria, F.A.; Sherif, A.Y.A. Novel thiourea derivatives bearing sulfonamide moiety as anticancer agents through COX-2 inhibition. Anti-Cancer Agents Med.Chem. (Former. Curr. Med. Chem. Anti-Cancer Agents) 2017, 17, 1411–1425. [Google Scholar] [CrossRef] [PubMed]
- Perez, S.A.; de Haro, C.; Vicente, C.; Donaire, A.; Zamora, A.; Zajac, J.; Kostrhunova, H.; Brabec, V.; Bautista, D.; Ruiz, J. New acridine thiourea gold (I) anticancer agents: Targeting the nucleus and inhibiting vasculogenic mimicry. ACS Chem. Biol. 2017, 12, 1524–1537. [Google Scholar] [CrossRef] [PubMed]
- Tokala, R.; Bale, S.; Janrao, I.P.; Vennela, A.; Kumar, N.P.; Senwar, K.R.; Shankaraiah, N. Synthesis of 1,2,4-triazole-linked urea/thiourea conjugates as cytotoxic and apoptosis-inducing agents. Bioorg. Med. Chem. Lett. 2018, 28, 1919–1924. [Google Scholar] [CrossRef]
- Abbas, S.Y.; Al-Harbi, R.A.; El-Sharief, M.A.S. Synthesis and anticancer activity of thiourea derivatives bearing a benzodioxole moiety with EGFR inhibitory activity, apoptosis assay and molecular docking study. Eur. J. Med. Chem. 2020, 198, 112363. [Google Scholar] [CrossRef]
- Jin, J.; Hu, J.; Qin, Y.; Zhang, J.; Yue, L.; Hou, H. In vitro and in vivo anticancer activity of a thiourea tripyridyl dinuclear Cu (ii) complex. New J. Chem. 2019, 43, 19286–19297. [Google Scholar] [CrossRef]
- Kaur, B.; Singh, G.; Sharma, V.; Singh, I. Sulphur Containing Heterocyclic Compounds as Anticancer Agents. Anticancer Agents Med. Chem. 2023, 23, 869–881. [Google Scholar]
- Liao, P.; Hu, S.-Q.; Zhang, H.; Xu, L.-B.; Liu, J.Z.; He, B.; Liao, S.G.; Li, Y.J. Study on antiproliferative activity in cancer cells and preliminary structure–activity relationship of pseudo peptide chiral thioureas. Bull. Korean Chem. Soc. 2018, 39, 300–304. [Google Scholar] [CrossRef]
- Pingaew, R.; Sinthupoom, N.; Mandi, P.; Prachayasittikul, V.; Cherdtrakulkiat, R.; Prachayasittikul, S.; Ruchirawat, S.; Prachayasittikul, V. Synthesis, biological evaluation and in silico study of bis-thiourea derivatives as anticancer, antimalarial and antimicrobial agents. Med. Chem. Res. 2017, 26, 3136–3148. [Google Scholar] [CrossRef]
- Hu, H.; Lin, C.; Ao, M.; Ji, Y.; Tang, B.; Zhou, X.; Fang, M.; Zeng, J.; Wu, Z. Synthesis and biological evaluation of 1-(2-(adamantane-1-yl)-1:H-indol-5-yl)-3-substituted urea/thiourea derivatives as anticancer agents. RSC Adv. R. Soc. Chem. 2017, 7, 51640–51651. [Google Scholar] [CrossRef]
- Samuel, J.; Thomas, B.B.; Jindrich, C.; Mark, N.W.; Christopher, J.S.; Barry, A.B.; Martin, M. Thiourea and Guanidine Compounds and their Iridium Complexes in Drug-Resistant Cancer Cell Lines: Structure-Activity Relationships and Direct Luminescent Imaging. ChemMedChem. 2020, 15, 349–353. [Google Scholar]
- Casini, A.; Messori, L. Molecular Mechanisms and Proposed Targets for Selected Anticancer Gold Compounds. Curr. Top. Med. Chem. 2011, 11, 2647–2660. [Google Scholar] [CrossRef] [PubMed]
- Zou, T.; Lum, C.T.; Lok, C.-N.; Zhang, J.-J.; Che, C.-M. Chemical biology of anticancer gold (III) and gold(I) complexes. Chem. Soc. Rev. 2015, 44, 8786–8801. [Google Scholar] [CrossRef] [PubMed]
- Mora, M.; Gimeno, M.C.; Visbal, R. Recent advances in gold-NHC complexes with biological properties. Chem. Soc. Rev. 2019, 48, 447–462. [Google Scholar] [CrossRef]
- Ott, I.; Quian, X.; Xu, Y.; Vlecken, D.H.W.; Marques, I.J.; Kubutat, D.; Will, J.; Sheldrick, W.S.; Jesse, P.; Prokop, A.; et al. A Gold(I) Phosphine Complex Containing a Naphthalimide Ligand Functions as a TrxR Inhibiting Antiproliferative Agent and Angiogenesis Inhibitor. J. Med. Chem. 2009, 52, 763–770. [Google Scholar] [CrossRef]
- Gutierrez, A.; Gracia-Fleta, L.; Marzo, I.; Cativiela, C.; Laguna, A.; Gimeno, M.C. Gold(I) thiolates containing amino acid moieties. Cytotoxicity and structure–activity relationship studies. Dalton Trans. 2014, 43, 17054–17066. [Google Scholar] [CrossRef] [PubMed]
- Ronconi, L.; Giovagnini, L.; Marzano, C.; Bettìo, F.; Graziani, R.; Pilloni, G.; Fregona, D. Gold dithiocarbamate derivatives as potential antineoplastic agents: Design, spectroscopic properties, and in vitro antitumor activity. Inorg. Chem. 2005, 44, 1867–1881. [Google Scholar] [CrossRef] [PubMed]
- Quero, J.; Cabello, S.; Fuertes, T.; Mármol, I.; Laplaza, R.; Polo, V.; Gimeno, M.C.; Rodriguz-Yoldi, M.J.; Cerrada, E. Proteasome versus Thioredoxin Reductase Competition as Possible Biological Targets in Antitumor Mixed Thiolate-Dithiocarbamate Gold (III) Complexes. Inorg. Chem. 2018, 57, 10832–10845. [Google Scholar] [CrossRef] [PubMed]
- Berners-Price, S.J.; Sadler, P.J. Gold(I) complexes with bidentate tertiary phosphine ligands: Formation of annular vs. tetrahedral chelated complexes. Inorg. Chem. 1986, 25, 3822–3827. [Google Scholar] [CrossRef]
- Ortego, L.; Laguna, A.; Gonzalo-Asensio, J.; Villacampa, M.D.; Gimeno, M.C. (Aminophosphane)gold(I) and silver(I) complexes as antibacterial agents. J. Inorg. Biochem. 2015, 146, 19–27. [Google Scholar] [CrossRef]
- Baker, M.V.; Barnard, P.J.; Berners-Price, S.J.; Brayshaw, S.K.; Hickey, J.L.; Skelton, B.W.; White, A.H. Cationic, linear Au (I) N-heterocyclic carbene complexes: Synthesis, structure and anti-mitochondrial activity. Dalton Trans. 2006, 3708–3715. [Google Scholar] [CrossRef] [PubMed]
- Gallati, C.M.; Goetzfried, S.K.; Ausserer, M.; Sagasser, J.; Plangger, M.; Wurst, K.; Hermann, M.; Baecker, D.; Kircher, B.; Gust, R. Synthesis, characterization, and biological activity of bromido [3-ethyl-4-aryl-5-(2-methoxypyridin-5-yl)-1-propyl-1,3-dihydro-2Himidazol-2-ylidene] gold(I) complexes. Dalton Trans. 2020, 49, 5471–5481. [Google Scholar] [CrossRef] [PubMed]
- Gallati, C.M.; Goetzfried, S.K.; Ortmeier, A.; Sagasser, J.; Wurst, K.; Hermann, M.; Baecker, D.; Kircher, B.; Gust, R. Synthesis, characterization and biological activity of bis [3-ethyl-4-aryl-5-(2-methoxypyridin-5-yl)-1-propyl-1,3-dihydro-2H-imidazol-2-ylidene] gold(I) complexes. Dalton Trans. 2021, 50, 4270–4279. [Google Scholar] [CrossRef]
- Khodjoyan, S.; Remadna, E.; Dossmann, H.; Lesage, D.; Gontard, G.; Forté, J.; Hoffmeister, H.; Basu, U.; Ott, I.; Spence, P.; et al. [(CC)Au(NN)]+ complexes as a new family of anticancer candidates: Synthesis, characterization and exploration of the antiproliferative properties. Chem. Eur. J. 2021, 27, 15773–15785. [Google Scholar] [CrossRef]
- Guillermo, C.; Lourdes, O.; Anabel, I.; Isabel, M.; Raquel, P.H. Concepción Gimeno. Synthesis of New Thiourea-Metal Complexes with Promising Anticancer Properties. Molecules 2021, 26, 6891. [Google Scholar]
- Banti, C.N.; Giannoulis, A.D.; Kourkoumelis, N.; Owczarzak, A.M.; Poyraz, M.; Kubicki, M.; Charalabopoulos, K.; Hadjikakou, S.K. Mixed ligand–silver(I) complexes with anti-inflammatory agents which can bind to lipoxygenase and calf-thymus DNA, modulating their function and inducing apoptosis. Metallomics 2012, 4, 545–560. [Google Scholar] [CrossRef] [PubMed]
- Pandey, S.K.; Pratap, S.; Rai, S.K.; Marverti, G.; Kaur, M.; Jasinsk, J.P. Synthesis, characterization, Hirshfeld surface, cytotoxicity, DNA damage and cell cycle arrest studies of N, N-diphenyl-N’-(biphenyl-4-carbonyl/4-chlorobenzoyl) thiocarbamides. J. Mol. Struc. 2019, 1186, 333–344. [Google Scholar] [CrossRef]
- Abdel–Hadi, K.A.; Abdel-Razik, A.; Shoukry, M.M.; Shoheib, S.M. Egypt. J. Chem. 1996, 39, 179.
- Saeed, A.; Qamar, R.; Fattah, T.A.; Flörke, U.; Erben, M.F. Recent developments in chemistry, coordination, structure and biological aspects of 1-(acyl/aroyl)-3-(substituted) thioureas. Res. Chem. Intermed. 2017, 43, 3053–3093. [Google Scholar] [CrossRef]
- Yaqeen, M.A.; Rafid, H.A. Synthesis, Anti-breast Cancer Activity, and Molecular Docking Studies of Thiourea Benzamide Derivatives and Their Complexes with Copper Ion. Trop. J. Nat. Prod. Res. 2023, 7, 3158–3167. [Google Scholar]
- Shing, J.C.; Choi, J.; Chapman, R.; Schroeder, M.; Sarkaria, J.; Fauq, A.; Bram, R.J. A novel synthetic 1, 3-phenyl bis-thiourea compound targets microtubule polymerization to cause cancer cell death. Cancer Biol. Ther. 2014, 15, 895–905. [Google Scholar] [CrossRef]
- Nowotarski, S.L.; Pachaiyappan, B.; Holshouser, S.; Kutz, C.; Li, Y.; Huang, Y.; Woster, P. Structure–activity study for (bis) ureidopropyl-and (bis) thioureidopropyldiamine LSD1 inhibitors with 3-5-3 and 3-6-3 carbon backbone architectures. Bioorg. Med. Chem. 2015, 23, 1601–1612. [Google Scholar] [CrossRef] [PubMed]
- Nasima, A.; Uzma, P.; Pervaiz, A.C.; Aamer, S.; Waseem, S.S.; Fouzia, P.; Aneela, J.; Hammad, I.; Muhammad, I.M.; Atteeque, A.; et al. Investigation of Newly Synthesized Bis-Acyl-Thiourea Derivatives of 4-Nitrobenzene-1,2-Diamine for Their DNA Binding, Urease Inhibition, and Anti-Brain-Tumor Activities. Molecules 2023, 28, 2707. [Google Scholar] [CrossRef] [PubMed]
- Sun, Y.; Shan, Y.; Li, C.; Si, R.; Pan, X.; Wang, B.; Zhang, J. Discovery of novel anti-angiogenesis agents. Part 8: Diaryl thiourea bearing 1H-indazole-3-amine as multi-target RTKs inhibitors. Eur. J. Med. Chem. 2017, 141, 373–385. [Google Scholar] [CrossRef]
- Zhang, L.; Shan, Y.; Li, C.; Sun, Y.; Su, P.; Wang, J.; Li, L.; Pan, X.; Zhang, J. Discovery of novel anti-angiogenesis agents. Part 6: Multi-targeted RTK inhibitors. Eur. J. Med. Chem. 2017, 127, 275–285. [Google Scholar] [CrossRef]
- Strzyga-Łach, P.; Chrzanowska, A.; Podsadni, K.; Bielenica, A. Investigation of the mechanisms of cytotoxic activity of 1,3-disubstituted thiourea derivatives. Pharmaceuticals 2021, 14, 1097. [Google Scholar] [CrossRef] [PubMed]
- Mohamed, A.E.; Mai, S.A.; Mohammed, L.A.; Ezzat, A.H.; Demiana, H.H.; Hoda, A.A.; Alaa, Z.O. Synthesis, Characterization, and Anticancer Activity of New N, Nl-Diarylthiourea Derivative against Breast Cancer Cells. Molecules 2023, 28, 6420. [Google Scholar]
- Widiandani, T. The Potency of 4-Nitrobenzoyl-3-Allylthiourea as an Agent of Breast Cancer with Egfr/Her2: In Silico and In Vitro Study. Int. J. Multidiscip. Innov. Res. Methodol. 2022, 15, 2083. [Google Scholar] [CrossRef]
- Hanna, D.H.; Osailan, R.; Ahmed, H.A. Stevia rebaudiana Methanolic Leaf Extract in Egypt: Phytochemical Analysis, Antioxidant, Antilipid Peroxidation, Antihemolytic, Antimetastatic, and Anticancer Properties. J. Food Biochem. 2023, 2023, 7161091. [Google Scholar] [CrossRef]
- Hoshino, R.; Tanimura, S.; Watanabe, K.; Kataoka, T.; Kohno, M. Blockade of the extracellular signal-regulated kinase pathway induces marked G1 cell cycle arrest and apoptosis in tumor cells in which the pathway is constitutively activated: Up-regulation of p27Kip1. J. Biol. Chem. 2001, 276, 2686–2692. [Google Scholar] [CrossRef] [PubMed]
- Mustafa, G.; Zia-ur-Rehman, M.; Sumrra, S.H.; Ashfaq, M.; Zafar, W.; Ashfaq, M. A critical review on recent trends on pharmacological applications of pyrazolone endowed derivatives. J. Mol. Struct. 2022, 1262, 133044. [Google Scholar] [CrossRef]
- Shukla, P.K.; Verma, A.; Mishra, P. Significance of nitrogen heterocyclic nuclei in the search of pharmacologically active compounds. In New Perspective in Agricultural and Human Health; Shukla, R.P., Mishra, R.S., Tripathi, A.D., Yadav, A.K., Tiwari, M., Mishra, R.R., Eds.; Bharti Publication: New Delhi, India, 2017; pp. 100–126. [Google Scholar]
- Mishra, I.; Mishra, R.; Mujwar, S.; Chandra, P.; Sachan, N. A retrospect on antimicrobial potential of thiazole scaffold. J. Heterocycl. Chem. 2020, 57, 2304–2329. [Google Scholar] [CrossRef]
- Kerru, N.; Gummidi, L.; Maddila, S.; Gangu, K.K.; Jonnalagadda, S.B. A review of recent advances in nitrogen-containing molecules and their biological applications. Molecules 2020, 25, 1909. [Google Scholar] [CrossRef] [PubMed]
- Kerru, N.; Singh, P.; Koorbanally, N.; Raj, R.; Kumar, V. Recent advances (2015–2016) in anticancer hybrids. Eur. J. Med. Chem. 2017, 142, 179–212. [Google Scholar] [CrossRef]
- Ahmad, F.Q.; Kahdr, A.; Adel, I.A.; Rua, B.A.; Alaa, M.A.; Matokah, M.A.; Wael, M.A.; Nashwa, M.E. Synthesis of phenylthiourea-based pyrazole, thiazole and/or pyran compounds: Molecular modeling and biological activity. J. Taibah Univ. Sci. 2023, 17, 2245200. [Google Scholar]
- Abd El-Meguid, E.; Awad, H.; Anwar, M. Synthesis of new 1,3,4-oxadiazole-benzimidazole derivatives as potential antioxidants and breast cancer inhibitors with apoptosis-inducing activity. Russ. J. Gen. Chem. 2019, 89, 348–356. [Google Scholar] [CrossRef]
- Manjunathaiah, R.N.; Ramakrishna, K.; Sirisha, V.; Divya, P.; Venkateswara, R.A. Computer-aided discovery of potential anti-inflammatory (s)-naproxen analogues as COX-2 inhibitors. Med. Chem. 2013, 9, 553–559. [Google Scholar] [CrossRef] [PubMed]
- Hasan, D.; Shono, A.; van Kalken, C.K.; van der Spek, P.J.; Krenning, E.P.; Kotani, T. A novel definition and treatment of hyperinflammation in COVID-19 based on purinergic signalling. Purinergic Signal. 2022, 18, 13–59. [Google Scholar] [CrossRef] [PubMed]
- Anwar, S.; Almatroudi, A.; Allemailem, K.S.; Joseph, R.J.; Khan, A.A.; Rahmani, A.H. Protective effects of ginger extract against glycation and oxidative stress-induced health complications: An in vitro study. Processes 2020, 8, 468. [Google Scholar] [CrossRef]
- Vollbracht, C.; Kraft, K. Oxidative stress and hyper-inflammation as major drivers of severe COVID-19 and long COVID: Implications for the benefit of high-dose intravenous vitamin C. Front. Pharmacol. 2022, 13, 899198. [Google Scholar] [CrossRef] [PubMed]
- Papadakis, K.A.; Targan, S.R. The role of chemokines and chemokine receptors in mucosal inflammation. Inflamm. Bowel. Dis. 2000, 6, 303–313. [Google Scholar] [CrossRef] [PubMed]
- Dominic, S.C.; Raj, M.D. Role of Interleukin-6 in the Anemia of Chronic Disease Semin. Arthritis Rheumatol. 2009, 38, 382–388. [Google Scholar]
- Ashish, P.K.; Vandana, M.K. Synthesis and anti-inflammatory and antimicrobial activities of some novel 2-methylquinazolin-4(3H)-one derivatives bearing urea, thiourea and sulphonamide functionalities. Arab. J. Chem. 2019, 12, 1522–1531. [Google Scholar]
- Wang, B.; Wu, L.; Chen, J.; Dong, L.; Chen, C.; Wen, Z.; Hu, J.; Fleming, I.; Wang, D.W. Metabolism pathways of arachidonic acids: Mechanisms and potential therapeutic targets. Signal. Transduct. Target. Ther. 2021, 6, 94. [Google Scholar] [CrossRef]
- Berk, B.; Aktay, G.; Yesilada, E.; Ertan, M. Synthesis and pharmacological activities of some new 2-[1-(6-methoxy-2-naphthyl) ethyl]-6-(substituted) benzylidene thiazolo[3,2-b]-1,2,4-triazole-5(6H)-one derivatives. Pharmazie 2001, 56, 613–616. [Google Scholar] [CrossRef]
- Ammar, Y.A.; Fayed, E.A.; Bayoumi, A.H.; Saleh, M.A.; El-Araby, M.E. Design and synthesis of pyridine-amide based compounds appended naproxen moiety as anti-microbial and anti-inflammatory agents. Am. J. Pharm. Tech. Res. 2015, 5, 245–273. [Google Scholar]
- Eissa, S.I.; Farrag, A.M.; Galeel, A.A. Non-carboxylic analogues of aryl propionic acid: Synthesis, anti-inflammatory, analgesic, antipyretic and ulcerogenic potential. Drug. Res. 2014, 64, 485–492. [Google Scholar] [CrossRef]
- Elhenawy, A.A.; Al-Harbi, L.M.; Moustafa, G.O.; El-Gazzar, M.A.; Abdel-Rahman, R.F.; Salim, A.E. Synthesis, comparative docking, and pharmacological activity of naproxen amino acid derivatives as possible anti-inflammatory and analgesic agents. Drug. Des. Dev. Ther. 2019, 13, 1773–1790. [Google Scholar] [CrossRef] [PubMed]
- Nikola, N.; Vladimir, D.; Jelena, B.; Marina, V.; Jovana, B.; Marijana, A.; Aleksandar, K.; Nevena, J.; Jovana, N.; Vladimir, J.; et al. Synthesis and Investigation of Anti-Inflammatory Activity of New Thiourea Derivatives of Naproxen. Pharmaceuticals 2023, 16, 666. [Google Scholar] [CrossRef] [PubMed]
- Nikola, N.; Vladimir, D.; Marina, M.; Zorica, V.; Miloš, N. Molecular Docking Analysis of Novel Thiourea Derivatives of Naproxen with Potential Anti-Inflammatory Activity. Med. Sci. Forum 2022, 14, 28. [Google Scholar] [CrossRef]
- Cagla, E.; Derya, Y.; Yahya, N.; Abdulilah, E.; Zeynel, S.; Furkan, A. Novel urea-thiourea hybrids bearing 1,4-naphthoquinone moiety: Anti-inflammatory activity on mammalian macrophages by regulating intracellular PI3K pathway, and molecular docking study. J. Mol. Struct. 2022, 1264, 133284. [Google Scholar]
- World Health Organization. WHO Operational Handbook on Tuberculosis; Module 4: Treatment—Drug-Resistant Tuberculosis Treatment, 2022 update; License: CC BY-NC-SA 3.0 IGO; World Health Organization: Geneva, Switzerland, 2022. [Google Scholar]
- Shrinivas, D.J.; Uttam, A.M.; Deepshikha, K.; Manoj, S.K.; Mallikarjuna, N.N.; Tejraj, M.A. Synthesis, evaluation and in silico molecular modeling of pyrroyl-1,3,4-thiadiazole inhibitors of InhA. Bioorg. Chem. 2015, 59, 151–167. [Google Scholar]
- Şengül, D.D.; Miyase, G.G.; Hilal, D.; Vagolu, S.K.; Christian, L.; Dharmarajan, S. Design and synthesis of thiourea-based derivatives as Mycobacterium tuberculosis growth and enoyl acyl carrier protein reductase (InhA) inhibitors. Eur. J. Med. Chem. 2020, 199, 112402. [Google Scholar]
- Emine, K.; Fatih, M.E.; Kübra, Y.; Cemilenur, A.; Ruken, E.; Demirdogen, T.Y.; Neslihan, K.K.; Ece, Ş.; Ahmet, Y.Ç. Novel thiourea derivatives against Mycobacterium tuberculosis: Synthesis, characterization and molecular docking studies. Phosphorus Sulfur Silicon Relat. Elements 2023, 198, 844–853. [Google Scholar]
- Anna, B.; Agnieszka, G.; Ewa, A.; Jolanta, O.; Dagmara, K.; Marta, S. In vitro antimycobacterial activity and interaction profiles of diaryl thiourea-copper (II) complexes with antitubercular drugs against Mycobacterium tuberculosis isolates. Tuberculosis 2023, 143, 102412. [Google Scholar]
- Santosh, K.S.; Ojaswitha, O.; Sarvan, M.; Priti, S.; Mohammad, N.A.; Grace, K.; Srinivas, N.; Arunava, D.; Sidharth, C.; Venkata, M.Y. Isoxazole carboxylic acid methyl ester-based urea and thiourea derivatives as promising antitubercular agents. Mol. Divers. 2023, 27, 2037–2052. [Google Scholar]
- Prado, D.; Cardoso, I.L. Apolipoproteina E e Doenca de Alzheimer. Rev. Neurocienc. 2013, 21, 118–125. [Google Scholar] [CrossRef]
- Stancu, I.C.; Vasconcelos, B.; Terwel, D.; Dewachter, I. Models of β-amyloid induced Tau-pathology: The long and “folded” road to understand the mechanism. Mol. Neurodegener. 2014, 9, 51. [Google Scholar] [CrossRef] [PubMed]
- Cabezas-Opazo, F.A.; Vergara-Pulgar, K.; Pérez, M.J.; Jara, C.; Osorio-Fuentealba, C.; Quintanilla, R.A. Mitochondrial dysfunction contributes to the pathogenesis of Alzheimer’s Disease. Oxid. Med. Cell. Longev. 2015, 2015, 509654. [Google Scholar] [CrossRef]
- Singh, S.; Dhanawat, M.; Gupta, S.; Kumar, D.; Kakkar, S.; Nair, A.; Verma, I.; Sharma, P. Naturally Inspired Pyrimidines Analogues for Alzheimer’s Disease. Curr. Neuropharmacol. 2021, 19, 136–151. [Google Scholar] [CrossRef] [PubMed]
- Zhu, H.; Dronamraju, V.; Xie1, W.; More, S.S. Sulfur-containing therapeutics in the treatment of Alzheimer’s disease. Med. Chem. Res. 2021, 30, 305–352. [Google Scholar] [CrossRef] [PubMed]
- Lane, R.M.; Potkin, S.G.; Enz, A. Targeting acetylcholinesterase and butyrylcholinesterase in dementia. Int. J. Neuropsychopharmacol. 2006, 9, 101–124. [Google Scholar] [CrossRef] [PubMed]
- Zhu, J.; Wang, L.N.; Cai, R.; Geng, S.Q.; Dong, Y.F.; Liu, Y.M. Design, synthesis, evaluation and molecular modeling study of 4-N-phenylaminoquinolines for Alzheimer disease treatment. Bioorg. Med. Chem. Lett. 2019, 29, 1325–1329. [Google Scholar] [CrossRef] [PubMed]
- Mehtap, T.S.; Halise, I.G.; Cem, Y.; Parham, T.; Tugba, T.T. Molecular docking studies and biological activities of benzenesulfonamide-based thiourea and thiazolidinone derivatives targeting cholinesterases, α-glucosidase, and α-amylase enzymes. J. Turk. Chem. Soc. Sect. A Chem. 2023, 10, 385–424. [Google Scholar]
- Rahman, F.U.; Bibi, M.; Altaf, A.A.; Tahir, M.N.; Ullah, F.; Zia Ur, R.; Khan, E. Zn, Cd and Hg complexes with unsymmetric thiourea derivatives; syntheses, free radical scavenging and enzyme inhibition essay. J. Mol. Struct. 2020, 1211, 128096. [Google Scholar] [CrossRef]
- Faizan, U.R.; Maryam, B.; Ezzat, K.; Abdul Bari, S.; Mian, M.; Muhammad, N.T.; Adnan, S.; Farhat, U.; Muhammad, Z.; Salman, A.; et al. Thiourea Derivatives, Simple in Structure but Efficient Enzyme Inhibitors and Mercury Sensors. Molecules 2021, 26, 4506. [Google Scholar] [CrossRef] [PubMed]
- Hayat, U.; Fazal, R.; Muhammad, T.; Fahad, K.M.; Bader, S.A.; Maryam, Z.A. Synthesis. In vitro acetycholiestrase, butyrylcholiestrase activities and in silico molecular docking study of thiazole-thiourea hybrid derivatives. Chem. Data Collect. 2023, 45, 101025. [Google Scholar]
- World Health Organization. World Malaria Report 2020: 20 Years of Global Progress and Challenges; World Health Organization: Geneva, Switzerland, 2020. [Google Scholar]
- Cheo, S.W.; Khoo, T.T.; Tan, Y.A.; Yeoh, W.C.; Low, Q.J. A case of severe Plasmodium knowlesi malaria in a post-splenectomy patient. Med. J. Malays. 2020, 75, 447–449. [Google Scholar]
- Mohammad, M.A.; Melati, K.; Naziera, M.N.; Anis, N.M.A.; Mohd, H.M.S.; Garima, S. Synthesis, characterization, docking study and biological evaluation of new chalcone, pyrazoline, and pyrimidine derivatives as potent antimalarial compounds. Arab. J. Chem. 2021, 14, 103304–103318. [Google Scholar]
- Shevlin, M. Practical high-throughput experimentation for chemists. ACS Med. Chem. Lett. 2017, 8, 601–607. [Google Scholar] [CrossRef] [PubMed]
- Krska, S.W.; Dirocco, D.A.; Dreher, S.D.; Shevlin, M. The evolution of chemical high-throughput experimentation to address challenging problems in pharmaceutical synthesis. Acc. Chem. Res. 2017, 50, 2976–2985. [Google Scholar] [CrossRef] [PubMed]
- Huang, X.F.; Xue, J.Y.; Jiang, A.Q.; Zhu, H.L. Capsaicin and its analogues: Structure-activity relationship study. Curr. Med. Chem. 2013, 20, 2661–2672. [Google Scholar] [CrossRef]
- Lina, C.; Zhenhua, G.; Ye, Z.; Xiandong, D.; Fanhua, M.; Yongbiao, G. A green, facile, and practical preparation of capsaicin derivatives with thiourea structure. Sci. Rep. 2024, 14, 10576. [Google Scholar]
Disclaimer/Publisher’s Note: The statements, opinions and data contained in all publications are solely those of the individual author(s) and contributor(s) and not of MDPI and/or the editor(s). MDPI and/or the editor(s) disclaim responsibility for any injury to people or property resulting from any ideas, methods, instructions or products referred to in the content. |
© 2024 by the author. Licensee MDPI, Basel, Switzerland. This article is an open access article distributed under the terms and conditions of the Creative Commons Attribution (CC BY) license (https://creativecommons.org/licenses/by/4.0/).













































