Palladium-Catalyzed sp3 C–H Acetoxylation of α,α-Disubstituted α-Amino Acids
Abstract
1. Introduction
2. Materials and Methods
2.1. General
2.2. General Procedure for Pd-Catalyzed Acetoxylation of 1 and 3
2.3. Procedure for Methanolysis of 2a [47]
3. Results and Discussion
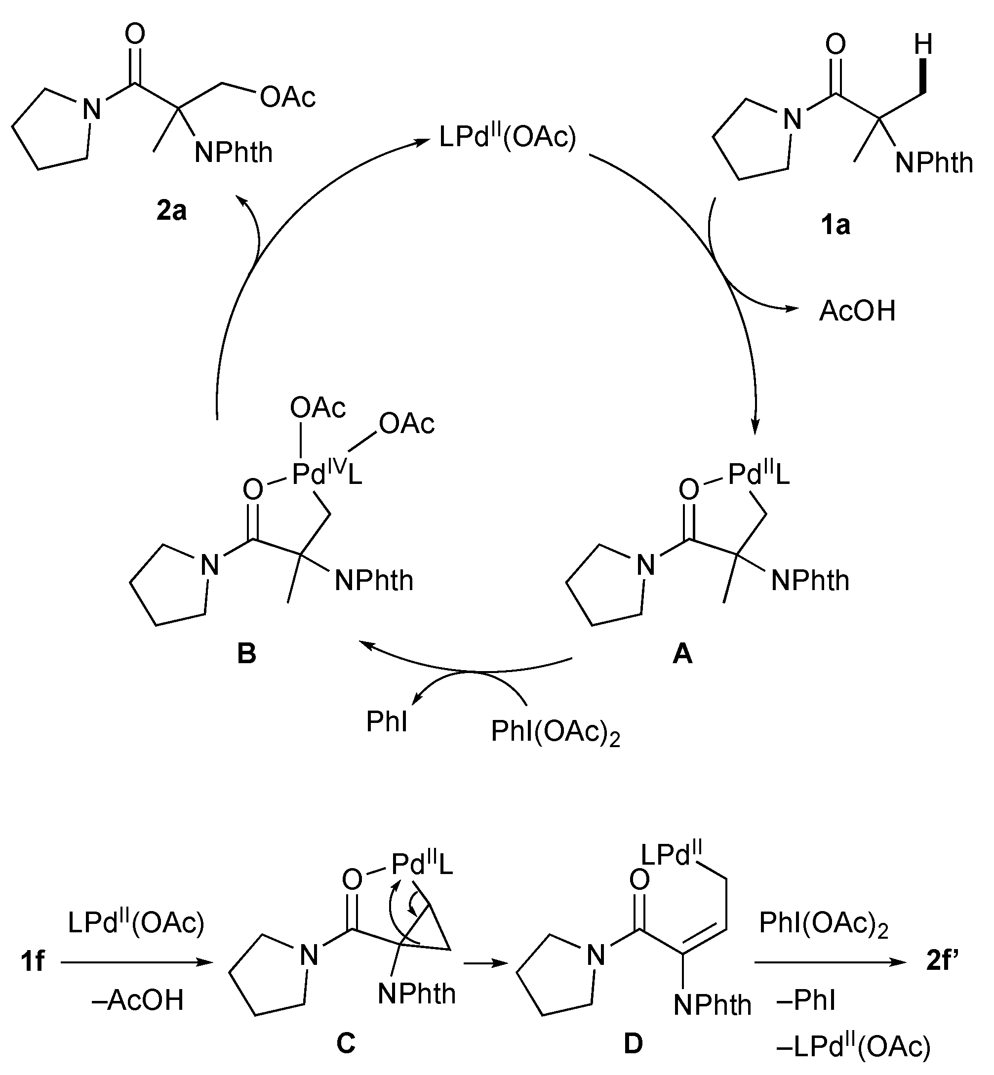
3.1. Optimization of Reaction Conditions
3.2. Screening of Ligands
3.3. Scope and Limitations
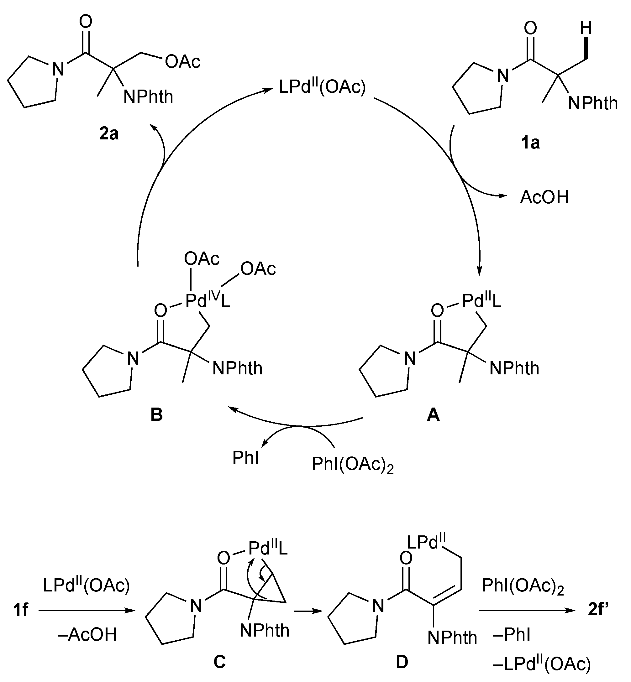
3.4. Reaction Mechanism
3.5. Acetoxylation of Dipeptide Derivatives 3
3.6. Methanolysis of 2a
4. Conclusions
Supplementary Materials
Author Contributions
Funding
Data Availability Statement
Conflicts of Interest
References
- Szekeres, A.; Leitgeb, B.; Kredics, L.; Antal, Z.; Hatvani, L.; Manczinger, L.; Vágvölgyi, C. Peptaibols and related peptaibiotics of Trichoderma. A review. Acta Microbiol. Immunol. Hung. 2005, 52, 137–168. [Google Scholar] [CrossRef] [PubMed]
- Degenkolb, T.; Berg, A.; Gams, W.; Schlegel, B.; Gräfe, U. The occurrence of peptaibols and structurally related peptaibiotics in fungi and their mass spectrometric identification via diagnostic fragment ions. J. Pept. Sci. 2003, 9, 666–678. [Google Scholar] [CrossRef] [PubMed]
- Kang, S.H.; Kang, S.Y.; Lee, H.-S.; Buglass, A.J. Total Synthesis of Natural tert-Alkylamino Hydroxy Carboxylic Acids. Chem. Rev. 2005, 105, 4537–4558. [Google Scholar] [CrossRef] [PubMed]
- Ohfune, Y.; Shinada, T. Enantio- and Diastereoselective Construction of α,α-Disubstituted α-Amino Acids for the Synthesis of Biologically Active Compounds. Eur. J. Org. Chem. 2005, 2005, 5127–5143. [Google Scholar] [CrossRef]
- Shibasaki, M.; Kanai, M.; Fukuda, N. Total Synthesis of Lactacystin and Salinosporamide A. Chem.—Asian J. 2007, 2, 20–38. [Google Scholar] [CrossRef]
- Vogt, H.; Bräse, S. Recent approaches towards the asymmetric synthesis of α,α-disubstituted α-amino acids. Org. Biomol. Chem. 2007, 5, 406–430. [Google Scholar] [CrossRef]
- Horn, W.S.; Smith, J.L.; Bills, G.F.; Raghoobar, S.L.; Helms, G.L.; Kurtz, M.B.; Marrinan, J.A.; Frommer, B.R.; Thornton, R.A.; Mandala, S.M. Sphingofungins E and F: Novel serinepalmitoyl trans-ferase inhibitors from Paecilomyces variotii. J. Antibiot. 1992, 45, 1692–1696. [Google Scholar] [CrossRef]
- Shin-ya, K.; Kim, J.-S.; Furihata, K.; Hayakawa, Y.; Seto, H. Structure of kaitocephalin, a novel glutamate receptor antagonist produced by Eupenicillium shearii. Tetrahedron Lett. 1997, 38, 7079–7082. [Google Scholar] [CrossRef]
- Kobayashi, H.; Shin-ya, K.; Furihata, K.; Hayakawa, Y.; Seto, H. Absolute configuration of a novel glutamate receptor antagonist kaitocephalin. Tetrahedron Lett. 2001, 42, 4021–4023. [Google Scholar] [CrossRef]
- Sugai, T.; Usui, S.; Tsuzaki, S.; Oishi, H.; Yasushima, D.; Hisada, S.; Fukuyasu, T.; Oishi, T.; Sato, T.; Chida, N. Synthesis of β-Hydroxy-α,α-disubstituted Amino Acids through the Orthoamide-Type Overman Rearrangement of an α,β-Unsaturated Ester and Stereodivergent Intramolecular SN2′ Reaction: Development and Application to the Total Synthesis of Sphingofungin F. Bull. Chem. Soc. Jpn. 2018, 91, 594–607. [Google Scholar] [CrossRef]
- Aravinda, S.; Shamala, N.; Balaram, P. Aib residues in peptaibiotics and synthetic sequences: Analysis of nonhelical conformations. Chem. Biodivers. 2008, 5, 1238–1262. [Google Scholar] [CrossRef] [PubMed]
- Toniolo, C.; Benedetti, E. Structures of polypeptides from α-amino acids disubstituted at the α-carbon. Macromolecules 1991, 24, 4004–4009. [Google Scholar] [CrossRef]
- Karle, I.L.; Balaram, P. Structural characteristics of α-helical peptide molecules containing Aib residues. Biochemistry 1990, 29, 6747–6756. [Google Scholar] [CrossRef] [PubMed]
- Dalton, T.; Faber, T.; Glorius, F. C–H Activation: Toward Sustainability and Applications. ACS Cent. Sci. 2021, 7, 245–261. [Google Scholar] [CrossRef]
- Rej, S.; Ano, Y.; Chatani, N. Bidentate Directing Groups: An Efficient Tool in C–H Bond Functionalization Chemistry for the Expedient Construction of C–C Bonds. Chem. Rev. 2020, 120, 1788–1887. [Google Scholar] [CrossRef]
- Sambiagio, C.; Schöbauer, D.D.; Blieck, R.; Dao-Huy, T.; Pototschnig, G.; Schaaf, P.; Wiesinger, T.; Zia, M.F.; Wencel-Delord, J.; Besset, T.; et al. A comprehensive overview of directing groups applied in metal-catalysed C–H functionalisation chemistry. Chem. Soc. Rev. 2018, 47, 6603–6743. [Google Scholar] [CrossRef]
- Gulías, M.; Mascareñas, J.L. Metal-Catalyzed Annulations through Activation and Cleavage of C−H Bonds. Angew. Chem. Int. Ed. 2016, 55, 11000–11019. [Google Scholar] [CrossRef]
- Chen, Z.; Wang, B.; Zhang, J.; Yu, W.; Liu, Z.; Zhang, Y. Transition metal-catalyzed C–H bond functionalizations by the use of diverse directing groups. Org. Chem. Front. 2015, 2, 1107–1295. [Google Scholar] [CrossRef]
- Song, G.; Li, X. Substrate Activation Strategies in Rhodium(III)-Catalyzed Selective Functionalization of Arenes. Acc. Chem. Res. 2015, 48, 1007–1020. [Google Scholar] [CrossRef]
- Ye, J.; Lautens, M. Palladium-catalysed norbornene-mediated C–H functionalization of arenes. Nat. Chem. 2015, 7, 863–870. [Google Scholar] [CrossRef]
- Miura, M.; Satoh, T.; Hirano, K. Development of Direct Aromatic Coupling Reactions by Transition-Metal Catalysis. Bull. Chem. Soc. 2014, 87, 751–764. [Google Scholar] [CrossRef]
- De Sarkar, S.; Liu, W.; Kozhushkov, S.I.; Ackermann, L. Weakly Coordinating Directing Groups for Ruthenium(II)-Catalyzed C–H Activation. Adv. Synth. Catal. 2014, 356, 1461–1479. [Google Scholar] [CrossRef]
- Colby, D.A.; Tsai, A.S.; Bergman, R.G.; Ellman, J.A. Rhodium Catalyzed Chelation-Assisted C–H Bond Functionalization Reactions. Acc. Chem. Res. 2012, 45, 814–825. [Google Scholar] [CrossRef] [PubMed]
- Engle, K.M.; Mei, T.-S.; Wasa, M.; Yu, J.-Q. Weak Coordination as a Powerful Means for Developing Broadly Useful C–H Functionalization Reactions. Acc. Chem. Res. 2012, 45, 788–802. [Google Scholar] [CrossRef]
- Cho, S.H.; Kim, J.Y.; Kwak, J.; Chang, S. Recent advances in the transition metal-catalyzed twofold oxidative C–H bond activation strategy for C–C and C–N bond formation. Chem. Soc. Rev. 2011, 40, 5068–5083. [Google Scholar] [CrossRef]
- Satoh, T.; Miura, M. Oxidative Coupling of Aromatic Substrates with Alkynes and Alkenes under Rhodium Catalysis. Chem. Eur. J. 2010, 16, 11212–11222. [Google Scholar] [CrossRef]
- Shen, P.-X.; Hu, L.; Shao, Q.; Hong, K.; Yu, J.-Q. Pd(II)-Catalyzed Enantioselective C(sp3)–H Arylation of Free Carboxylic Acids. J. Am. Chem. Soc. 2018, 140, 6545–6549. [Google Scholar] [CrossRef]
- Chen, G.; Zhuang, Z.; Li, G.-C.; Saint-Denis, T.G.; Hsiao, Y.; Joe, C.L.; Yu, J.-Q. Ligand-Enabled β-C–H Arylation of α-Amino Acids Without Installing Exogenous Directing Groups. Angew. Chem. Int. Ed. 2017, 56, 1506–1509. [Google Scholar] [CrossRef]
- Wu, Q.-F.; Shen, P.-X.; He, J.; Wang, X.-B.; Zhang, F.; Shao, Q.; Zhu, R.-Y.; Mapelli, C.; Qiao, J.X.; Poss, M.A.; et al. Formation of α-chiral centers by asymmetric β-C(sp3)–H arylation, alkenylation, and alkynylation. Science 2017, 355, 499–503. [Google Scholar] [CrossRef]
- Zhu, Y.; Chen, X.; Yuan, C.; Li, G.; Zhang, J.; Zhao, Y. Pd-catalysed ligand-enabled carboxylate-directed highly regioselective arylation of aliphatic acids. Nat. Commun. 2017, 8, 14904. [Google Scholar] [CrossRef]
- Zhang, G.; Xie, X.; Zhu, J.; Li, S.; Ding, C.; Ding, P. Pd(II)-catalyzed C(sp3)–H arylation of amino acid derivatives with click-triazoles as removable directing groups. Org. Biomol. Chem. 2015, 13, 5444–5449. [Google Scholar] [CrossRef] [PubMed]
- Wang, D.-H.; Wasa, M.; Giri, R.; Yu, J.-Q. Pd(II)-Catalyzed Cross-Coupling of sp3 C−H Bonds with sp2 and sp3 Boronic Acids Using Air as the Oxidant. J. Am. Chem. Soc. 2008, 130, 7190–7191. [Google Scholar] [CrossRef]
- Reddy, B.V.S.; Reddy, L.R.; Corey, E.J. Novel Acetoxylation and C−C Coupling Reactions at Unactivated Positions in α-Amino Acid Derivatives. Org. Lett. 2006, 8, 3391–3394. [Google Scholar] [CrossRef] [PubMed]
- Tran, L.D.; Daugulis, O. Nonnatural Amino Acid Synthesis by Using Carbon–Hydrogen Bond Functionalization Methodology. Angew. Chem. Int. Ed. 2012, 51, 5188–5191. [Google Scholar] [CrossRef] [PubMed]
- Gong, W.; Zhang, G.; Liu, T.; Giri, R.; Yu, J.-Q. Site-Selective C(sp3)–H Functionalization of Di-, Tri-, and Tetrapeptides at the N-Terminus. J. Am. Chem. Soc. 2014, 136, 16940–16946. [Google Scholar] [CrossRef]
- Kanyiva, K.S.; Tang, K.H.N.; Wang, J.; Shibata, T. Palladium-Catalyzed sp3 C–H Benzoxylation of Alanine Derivatives Using Aldehydes under Ambient Conditions. Synthesis 2021, 53, 3085–3093. [Google Scholar] [CrossRef]
- Ochiai, S.; Sakai, A.; Usuki, Y.; Kang, B.; Shinada, T.; Satoh, T. Synthesis of Indenones through Rhodium(III)-catalyzed [3+2] Annulation Utilizing a Recyclable Carbazolyl Leaving Group. Chem. Lett. 2021, 50, 585–588. [Google Scholar] [CrossRef]
- Okada, T.; Nobushige, K.; Satoh, T.M.; Miura, M. Ruthenium-Catalyzed Regioselective C–H Bond Acetoxylation on Carbazole and Indole Frameworks. Org. Lett. 2016, 18, 1150–1153. [Google Scholar] [CrossRef]
- Yokoyama, Y.; Unoh, Y.; Bohmann, R.A.; Satoh, T.; Hirano, K.; Bolm, C.; Miura, M. Rhodium-catalyzed Direct Coupling of Benzothioamides with Alkenes and Alkynes through Directed C–H Bond Cleavage. Chem. Lett. 2015, 44, 1104–1106. [Google Scholar] [CrossRef]
- Hashimoto, Y.; Hirano, K.; Satoh, T.; Kakiuchi, F.; Miura, M. Regioselective C–H Bond Cleavage/Alkyne Insertion under Ruthenium Catalysis. J. Org. Chem. 2013, 78, 638–646. [Google Scholar] [CrossRef]
- Mochida, S.; Umeda, N.; Hirano, K.; Satoh, T.; Miura, M. Rhodium-catalyzed Oxidative Coupling/Cyclization of Benzamides with Alkynes via C–H Bond Cleavage. Chem. Lett. 2010, 39, 744–746. [Google Scholar] [CrossRef]
- DeNardo, M.A.; Mills, M.R.; Ryabov, A.D.; Collins, T.J. Unifying Evaluation of the Technical Performances of Iron-Tetra-amido Macrocyclic Ligand Oxidation Catalysts. J. Am. Chem. Soc. 2016, 138, 2933–2936. [Google Scholar] [CrossRef] [PubMed]
- Vicens, L.; Bietti, M.; Costas, M. General Access to Modified α-Amino Acids by Bioinspired Stereoselective γ-C−H Bond Lactonization. Angew. Chem. Int. Ed. 2021, 60, 4740–4746. [Google Scholar] [CrossRef] [PubMed]
- Chen, G.; Shigenari, T.; Jain, P.; Zhang, Z.; Jin, Z.; He, J.; Li, S.; Mapelli, C.; Miller, M.M.; Poss, M.A.; et al. Ligand-Enabled β-C–H Arylation of α-Amino Acids Using a Simple and Practical Auxiliary. J. Am. Chem. Soc. 2015, 137, 3338–3351. [Google Scholar] [CrossRef] [PubMed]
- Park, H.; Li, Y.; Yu, J.-Q. Utilizing Carbonyl Coordination of Native Amides for Palladium-Catalyzed C(sp3)−H Olefination. Angew. Chem. Int. Ed. 2019, 58, 11424–11428. [Google Scholar] [CrossRef]
- Erdélyi, M.; Langer, V.; Karlén, A.; Gogoll, A. Insight into β-hairpin stability: A structural and thermodynamic study of diastereomeric β-hairpin mimetics. New J. Chem. 2002, 26, 834–843. [Google Scholar] [CrossRef]
- Caillard, M.; Emm, A.; Jones, A.; Matthews, T.; Williams, M. Serendipitous Synthesis of N-Tetrachlorophthaloyldehydroalanine Methyl Ester, a Michael Acceptor which is a Potential Precursor of γ-Carboxyglutamic Acid. J. Chem. Res. Synop. 1998, 12, 806–807. [Google Scholar] [CrossRef]
- Vijaykumar, M.; Punji, B. Pd(II)-Catalyzed Chemoselective Acetoxylation of C(sp2)–H and C(sp3)–H Bonds in Tertiary Amides. J. Org. Chem. 2021, 86, 8172–8181. [Google Scholar] [CrossRef]
- Zhuang, Z.; Herron, A.N.; Fan, Z.; Yu, J.-Q. Ligand-Enabled Monoselective β-C(sp3)–H Acyloxylation of Free Carboxylic Acids Using a Practical Oxidant. J. Am. Chem. Soc. 2020, 142, 6769–6776. [Google Scholar] [CrossRef]
- Engle, K.M.; Wang, D.H.; Yu, J.-Q. Ligand-Accelerated C−H Activation Reactions: Evidence for a Switch of Mechanism. J. Am. Chem. Soc. 2010, 132, 14137–14151. [Google Scholar] [CrossRef]
- Shao, Q.; Wu, K.; Zhuang, Z.; Qian, S.; Yu, J.-Q. From Pd(OAc)2 to Chiral Catalysts: The Discovery and Development of Bifunctional Mono-N-Protected Amino Acid Ligands for Diverse C–H Functionalization Reactions. Acc. Chem. Res. 2020, 53, 833–851. [Google Scholar] [CrossRef] [PubMed]
- Nakamura, I.; Yamamoto, Y. Transition Metal-Catalyzed Reactions of Methylenecyclopropanes. Adv. Synth. Catal. 2002, 344, 111–129. [Google Scholar] [CrossRef]
- Satoh, T.; Miura, M. Catalytic Processes Involving β-Carbon Elimination. Palladium Org. Synth. 2005, 14, 1–20. [Google Scholar] [CrossRef]
- Tran, V.T.; Gurak, J.A., Jr.; Yang, K.S.; Engle, K.M. Activation of diverse carbon–heteroatom and carbon–carbon bonds via palladium(II)-catalysed β-X elimination. Nat. Chem. 2018, 10, 1126–1133. [Google Scholar] [CrossRef]
- Zhang, P.; Zeng, J.; Pan, P.; Zhang, X.-j.; Yan, M. Palladium-Catalyzed Migratory Insertion of Carbenes and C–C Cleavage of Cycloalkanecarboxamides. Org. Lett. 2022, 24, 536–541. [Google Scholar] [CrossRef]
- El-Zahabi, M.A.; Gad, L.M.; Bamanie, F.H.; Al-Marzooki, Z. Synthesis of new cyclic imides derivatives with potential hypolipidemic activity. Med. Chem. Res. 2012, 21, 75. [Google Scholar] [CrossRef]
- Singh, A.K.; Kishan, R.; Balachandran, V.; Singh, T.; Tiwari, H.K.; Singh, B.K.; Rathi, B. Entry of chiral phthalimides with significant second order nonlinear optical and piezoelectric properties. RSC Adv. 2013, 3, 14750. [Google Scholar] [CrossRef]
- Matsumoto, A.; Wang, Z.; Maruoka, K. Radical-Mediated Activation of Esters with a Copper/Selectfluor System: Synthesis of Bulky Amides and Peptides. J. Org. Chem. 2021, 86, 5401. [Google Scholar] [CrossRef] [PubMed]
- Zhang, J.; Chen, Z.X.; Du, T.; Li, B.; Gu, Y.; Tian, S.-K. Aryne-Mediated [2,3]-Sigmatropic Rearrangement of Tertiary Allylic Amines. Orig. Lett. 2016, 18, 4872. [Google Scholar] [CrossRef]







![]() | |||
| Entry | L1 (mol%) | Solvent | Yield of 2a (%) 2 |
|---|---|---|---|
| 1 3 | 0 | HFIP/Ac2O (9:1) | tr. |
| 2 | 0 | HFIP/Ac2O (9:1) | 19 |
| 3 | 0 | HFIP/THF/Ac2O (5:4:1) | 24 |
| 4 | 0 | HFIP/dioxane/Ac2O (5:4:1) | 44 |
| 5 | 0 | HFIP/DME/Ac2O (5:4:1) | 45 |
| 6 | 0 | HFIP/diglyme/Ac2O (5:4:1) | 36 |
| 7 | 10 | HFIP/DME/Ac2O (5:4:1) | 67 (65) |
| 8 3 | 10 | HFIP/DME/Ac2O (5:4:1) | (62) |
| 9 | 10 | HFIP/DME/Ac2O (6:3:1) | 59 |
| 10 | 10 | HFIP/DME/Ac2O (4:5:1) | 58 |
| 11 4 | 10 | HFIP/DME/Ac2O (5:4:1) | tr. |
| 12 5 | 10 | HFIP/DME/Ac2O (5:4:1) | 59 |
Disclaimer/Publisher’s Note: The statements, opinions and data contained in all publications are solely those of the individual author(s) and contributor(s) and not of MDPI and/or the editor(s). MDPI and/or the editor(s) disclaim responsibility for any injury to people or property resulting from any ideas, methods, instructions or products referred to in the content. |
© 2023 by the authors. Licensee MDPI, Basel, Switzerland. This article is an open access article distributed under the terms and conditions of the Creative Commons Attribution (CC BY) license (https://creativecommons.org/licenses/by/4.0/).
Share and Cite
Matsumura, A.; Usuki, Y.; Satoh, T. Palladium-Catalyzed sp3 C–H Acetoxylation of α,α-Disubstituted α-Amino Acids. Chemistry 2023, 5, 1369-1377. https://doi.org/10.3390/chemistry5020093
Matsumura A, Usuki Y, Satoh T. Palladium-Catalyzed sp3 C–H Acetoxylation of α,α-Disubstituted α-Amino Acids. Chemistry. 2023; 5(2):1369-1377. https://doi.org/10.3390/chemistry5020093
Chicago/Turabian StyleMatsumura, Atsushi, Yoshinosuke Usuki, and Tetsuya Satoh. 2023. "Palladium-Catalyzed sp3 C–H Acetoxylation of α,α-Disubstituted α-Amino Acids" Chemistry 5, no. 2: 1369-1377. https://doi.org/10.3390/chemistry5020093
APA StyleMatsumura, A., Usuki, Y., & Satoh, T. (2023). Palladium-Catalyzed sp3 C–H Acetoxylation of α,α-Disubstituted α-Amino Acids. Chemistry, 5(2), 1369-1377. https://doi.org/10.3390/chemistry5020093


