Non-Linear Quantum Dynamics in Coupled Double-Quantum- Dot-Cavity Systems
Abstract
1. Introduction
2. Analytical Approach
3. The Equations of Motion
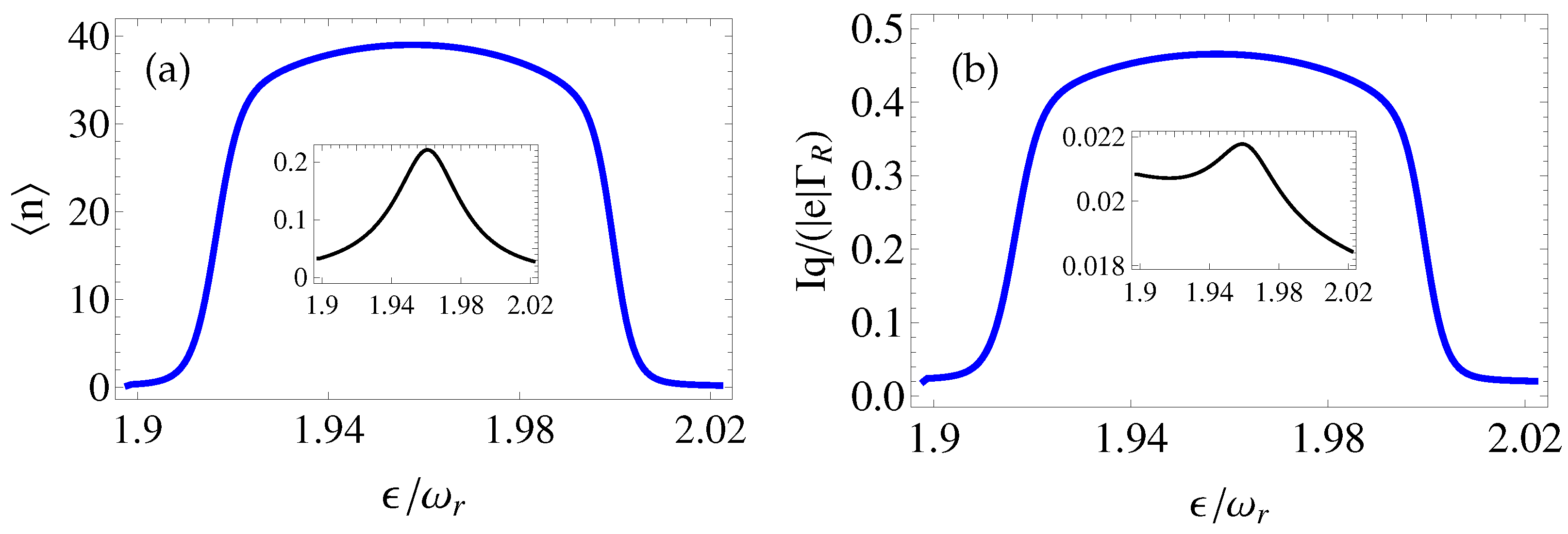
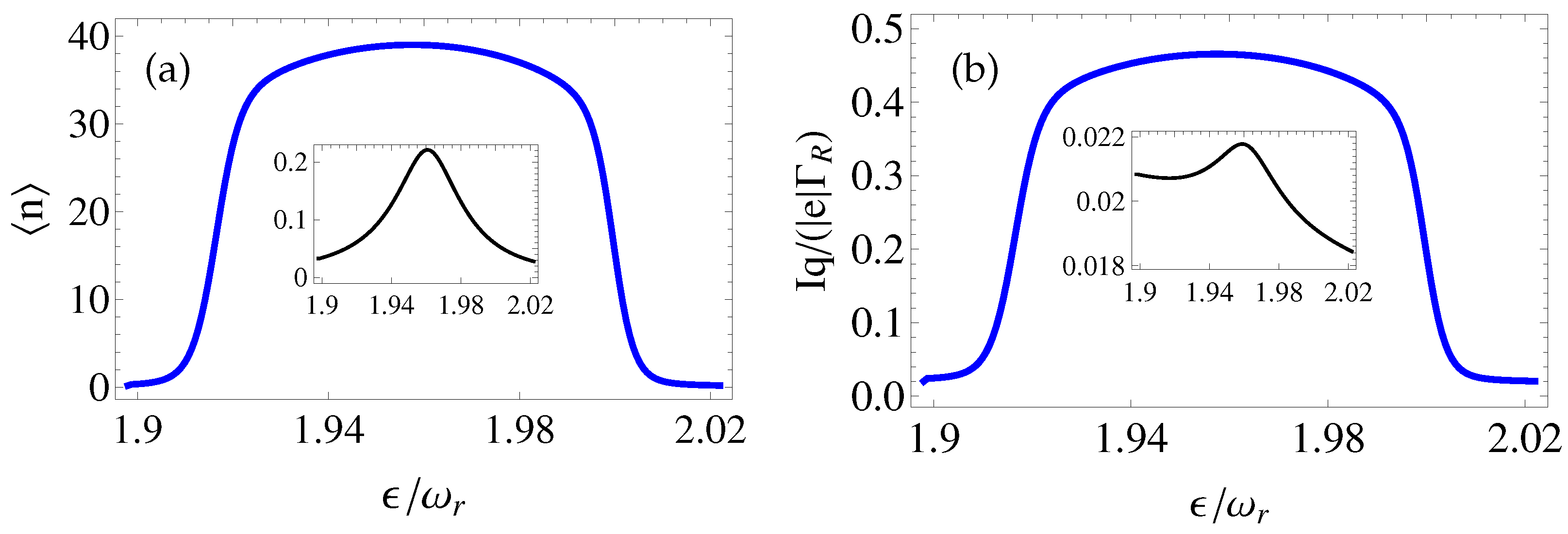
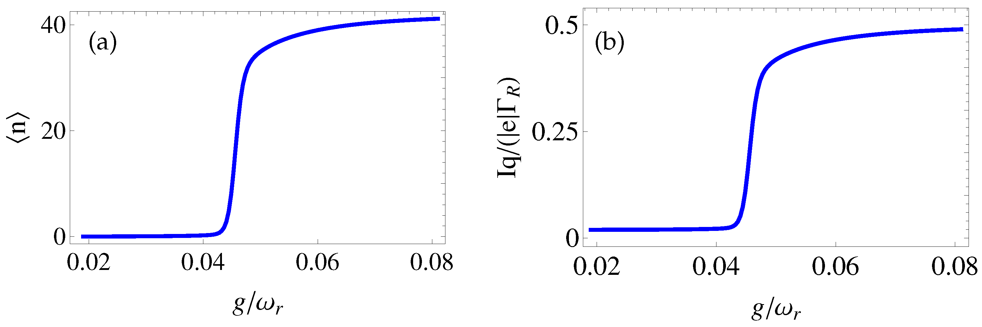
4. Results and Discussion
5. Summary
Author Contributions
Funding
Data Availability Statement
Acknowledgments
Conflicts of Interest
References
- Bruhat, L.E.; Cubaynes, T.; Viennot, J.J.; Dartiailh, M.C.; Desjardins, M.M.; Cottet, A.; Kontos, T. Circuit QED with a quantum-dot charge qubit dressed by Cooper pairs. Phys. Rev. B 2018, 98, 155313. [Google Scholar] [CrossRef]
- Burkard, G.; Gullans, M.J.; Mi, X.; Petta, J.R. Superconductor–semiconductor hybrid-circuit quantum electrodynamics. Nat. Rev. Phys. 2020, 2, 129–140. [Google Scholar] [CrossRef]
- Haldar, S.; Barker, D.; Havir, H.; Ranni, A.; Lehmann, S.; Dick, K.A.; Maisi, V.F. Continuous microwave photon counting by semiconductor–superconductor hybrids. Phys. Rev. Lett. 2024, 133, 217001. [Google Scholar] [PubMed]
- Stanisavljević, O.; Philippe, J.-C.; Gabelli, J.; Aprili, M.; Estéve, J.; Basset, J. Efficient microwave photon-to-electron conversion in a high-Impedance quantum circuit. Phys. Rev. Lett. 2024, 133, 076302. [Google Scholar] [CrossRef]
- de Sá Neto, O.P.; de Oliveira, M.C. Signal, detection and estimation using a hybrid quantum circuit. Sci. Rep. 2024, 14, 15225. [Google Scholar] [CrossRef]
- Brandes, T. Coherent and collective quantum optical effects in mesoscopic systems. Phys. Rep. 2005, 408, 315–474. [Google Scholar] [CrossRef]
- Kulkarni, M.; Cotlet, O.; Türeci, H.E. Cavity-coupled double-quantum dot at finite bias: Analogy with lasers and beyond. Phys. Rev. B 2014, 90, 125402. [Google Scholar] [CrossRef]
- Liu, Y.-Y.; Stehlik, J.; Eichler, C.; Mi, X.; Hartke, T.R.; Gullans, M.J.; Taylor, J.M.; Petta, J.R. Threshold dynamics of a semiconductor single atom maser. Phys. Rev. Lett. 2017, 119, 097702. [Google Scholar] [CrossRef] [PubMed]
- Tabatabaei, S.M.; Neda, J. Lasing in a coupled hybrid double quantum dot-resonator system. Phys. Rev. B 2020, 101, 115135. [Google Scholar] [CrossRef]
- Gu, X.; Kockum, A.F.; Miranowicz, A.; Liu, Y.-x.; Nori, F. Microwave photonics with superconducting quantum circuits. Phys. Rep. 2017, 718–719, 1–102. [Google Scholar] [CrossRef]
- Scarlino, P.; van Woerkom, D.J.; Stockklauser, A.; Koski, J.V.; Collodo, M.C.; Gasparinetti, S.; Reichl, C.; Wegscheider, W.; Ihn, T.; Ensslin, K.; et al. All-microwave control and dispersive readout of gate-defined quantum dot qubits in circuit quantum electrodynamics. Phys. Rev. Lett. 2019, 122, 206802. [Google Scholar] [CrossRef]
- Khan, W.; Potts, P.P.; Lehmann, S.; Thelander, C.; Dick, K.A.; Samuelsson, P.; Maisi, V.F. Efficient and continuous microwave photoconversion in hybrid cavity-semiconductor nanowire double quantum dot diodes. Nat. Commun. 2021, 12, 5130. [Google Scholar] [CrossRef]
- Havir, H.; Haldar, S.; Khan, W.; Lehmann, S.; Dick, K.A.; Thelander, C.; Samuelsson, P.; Maisi, V.F. Quantum dot source-drain transport response at microwave frequencies. Phys. Rev. B 2023, 108, 205417. [Google Scholar] [CrossRef]
- Nian, L.-L.; Hu, S.; Xiong, L.; Lü, J.-T.; Zheng, B. Photon-assisted electron transport across a quantum phase transition. Phys. Rev. B 2023, 108, 085430. [Google Scholar] [CrossRef]
- Wallraff, A.; Schuster, D.I.; Blais, A.; Frunzio, L.; Huang, R.-S.; Majer, J.; Kumar, S.; Girvin, S.M.; Schoelkopf, R.J. Strong coupling of a single photon to a superconducting qubit using circuit quantum electrodynamics. Nature 2004, 431, 162–167. [Google Scholar] [CrossRef]
- Stockklauser, A.; Scarlino, P.; Koski, J.V.; Gasparinetti, S.; Andersen, C.K.; Reichl, C.; Wegscheider, W.; Ihn, T.; Ensslin, K.; Wallraff, A. Strong coupling cavity QED with gate-defined double quantum dots enabled by a high impedance resonator. Phys. Rev. X 2017, 7, 011030. [Google Scholar] [CrossRef]
- Gu, S.-S.; Kohler, S.; Xu, Y.-Q.; Wu, R.; Jiang, S.-L.; Ye, S.-K.; Lin, T.; Wang, B.-C.; Li, H.-O. Probing two driven double quantum dots strongly coupled to a cavity. Phys. Rev. Lett. 2023, 130, 233602. [Google Scholar] [CrossRef]
- Ungerer, J.H.; Pally, A.; Kononov, A.; Lehmann, S.; Ridderbos, J.; Potts, P.P.; Thelander, C.; Dick, K.A.; Maisi, V.F.; Scarlino, P.; et al. Strong coupling between a microwave photon and a singlet–triplet qubit. Nat. Commun. 2024, 15, 1068. [Google Scholar] [PubMed]
- Wong, C.H.; Vavilov, M.G. Quantum efficiency of a single microwave photon detector based on a semiconductor double quantum dot. Phys. Rev. A 2017, 95, 012325. [Google Scholar] [CrossRef]
- Ghirri, A.; Cornia, S.; Affronte, M. Microwave photon detectors based on semiconducting double quantum dots. Sensors 2020, 20, 4010. [Google Scholar] [CrossRef]
- Nian, L.-L.; Zheng, B.; Lü, J.-T. Electrically driven photon statistics engineering in quantum-dot circuit quantum electrodynamics. Phys. Rev. B 2023, 107, L241405. [Google Scholar] [CrossRef]
- Sánchez, R.; Platero, G.; Brandes, T. Resonance fluorescence in transport through quantum dots: Noise properties. Phys. Rev. Lett. 2007, 98, 146805. [Google Scholar] [CrossRef]
- Xu, C.; Vavilov, M.G. Full counting statistics of photons emitted by a double quantum dot. Phys. Rev. B 2013, 88, 195307. [Google Scholar] [CrossRef]
- Agarwalla, B.K.; Kulkarni, M.; Mukamel, S.; Segal, D. Tunable photonic cavity coupled to a voltage-biased double quantum dot system: Diagrammatic nonequilibrium Green’s function approach. Phys. Rev. B 2016, 94, 035434. [Google Scholar] [CrossRef]
- Chen, C.-C.; Stace, T.M.; Goan, H.-S. Full-polaron master equation approach to dynamical steady states of a driven two-level system beyond the weak system-environment coupling. Phys. Rev. B 2020, 102, 035306. [Google Scholar] [CrossRef]
- Hazra, S.K.; Addepalli, L.; Pathak, P.K.; Dey, T.N. Nondegenerate two-photon lasing in a single quantum dot. Phys. Rev. B 2024, 109, 155428. [Google Scholar] [CrossRef]
- Jin, J.; Marthaler, M.; Jin, P.-Q.; Golubev, D.; Schön, G. Noise spectrum of a quantum dot-resonator lasing circuit. New J. Phys. 2013, 15, 025044. [Google Scholar] [CrossRef]
- Lambert, N.; Flindt, C.; Nori, F. Photon-mediated electron transport in hybrid circuit-QED. EPL (Europhys. Lett.) 2013, 103, 17005. [Google Scholar] [CrossRef]
- Shi, P.; Hu, M.; Ying, Y.; Jin, J. Noise spectrum of quantum transport through double quantum dots: Renormalization and non-Markovian effects. AIP Adv. 2016, 6, 095002. [Google Scholar] [CrossRef]
- Karlewski, C.; Heimes, A.; Schön, G. Lasing and transport in a multilevel double quantum dot system coupled to a microwave oscillator. Phys. Rev. B 2016, 93, 045314. [Google Scholar] [CrossRef]
- Jin, J. Nonequilibirum noise spectrum and Coulomb blockade assisted Rabi interference in a double-dot Aharonov–Bohm interferometer. Phys. Rev. B 2020, 101, 235144. [Google Scholar] [CrossRef]
- Drummond, P.D.; Walls, D.F. Quantum theory of optical bistability. I. Nonlinear polarisability model. J. Phys. A 1980, 13, 725–741. [Google Scholar] [CrossRef]
- Macovei, M.A. Measuring photon-photon interactions via photon detection. Phys. Rev. A 2010, 82, 063815. [Google Scholar] [CrossRef]
- Zenelaj, D.; Potts, P.P.; Samuelsson, P. Full counting statistics of the photocurrent through a double quantum dot embedded in a driven microwave resonator. Phys. Rev. B 2022, 106, 205135. [Google Scholar] [CrossRef]
- Zenelaj, D.; Samuelsson, P.; Potts, P.P. Wigner-function formalism for the detection of single microwave pulses in a resonator-coupled double quantum dot. Phys. Rev. Res. 2025, 7, 013305. [Google Scholar] [CrossRef]
- Jin, P.-Q.; Marthaler, M.; Cole, J.H.; Shnirman, A.; Schön, G. Lasing and transport in a quantum-dot resonator circuit. Phys. Rev. B 2011, 84, 035322. [Google Scholar] [CrossRef]
- Rastelli, G.; Governale, M. Single atom laser in normal-superconductor quantum dots. Phys. Rev. B 2019, 100, 085435. [Google Scholar] [CrossRef]
- Mantovani, M.; Armour, A.D.; Belzig, W.; Rastelli, G. Dynamical multistability in a quantum-dot laser. Phys. Rev. B 2019, 99, 045442. [Google Scholar] [CrossRef]
- Agarwalla, B.K.; Kulkarni, M.; Segal, D. Photon statistics of a double quantum dot micromaser: Quantum treatment. Phys. Rev. B 2019, 100, 035412. [Google Scholar] [CrossRef]
- Stace, T.M.; Doherty, A.C.; Barrett, S.D. Population inversion of a driven two-level system in a structureless bath. Phys. Rev. Lett. 2005, 95, 106801. [Google Scholar] [CrossRef] [PubMed]
- Müller, C.; Stace, T.M. Deriving Lindblad master equations with Keldysh diagrams: Correlated gain and loss in higher order perturbation theory. Phys. Rev. A 2017, 95, 013847. [Google Scholar] [CrossRef][Green Version]
- Clerk, A.A.; Lehnert, K.W.; Bertet, P.; Petta, J.R.; Nakamura, Y. Hybrid quantum systems with circuit quantum electrodynamics. Nat. Phys. 2020, 16, 257–267. [Google Scholar] [CrossRef]
- Schegolev, A.E.; Klenov, N.V.; Bogatskaya, A.V.; Yusupov, R.D.; Popov, A.M. A pair of coupled waveguides as a classical analogue for a solid-state qubit. Sensors 2022, 22, 8286. [Google Scholar] [CrossRef] [PubMed]
- Zakharov, R.V.; Tikhonova, O.V.; Klenov, N.V.; Soloviev, I.I.; Antonov, V.N.; Yakovlev, D.S. Solid-state qubit as an on-chip controller for non-classical field states. Adv. Quantum Technol. 2024, 7, 2400141. [Google Scholar]
- Lv, W.-C.; Zhao, W.-T.; Wang, Y.; Kang, Y.-H.; Feng, W.; Zhang, G.-Q.; Yu, L.; Yang, C.-P.; Su, Q.-P. Efficient preparation of high-dimensional hybrid entangled states in circuit quantum electrodynamics. Phys. Rev. Appl. 2025, 23, 054037. [Google Scholar] [CrossRef]
- Mihaescu, T.; Isar, A.; Macovei, M.A. Two-quanta processes in coupled double-quantum-dot cavity systems. arXiv 2025, arXiv:2501.05967. [Google Scholar] [CrossRef]
- Nian, L.-L.; Wang, Y.-C.; Wang, J.-Y.; Xiong, L.; Zheng, B.; Lü, J.-T. Dissipative quantum phase transitions in electrically driven lasers. arXiv 2025, arXiv:2501.10997. [Google Scholar] [CrossRef]
- Agarwal, G.S. Quantum Statistical Theories of Spontaneous Emission and Their Relation to Other Approaches; Springer: Berlin/Heidelberg, Germany, 1974. [Google Scholar] [CrossRef]
- Kiffner, M.; Macovei, M.; Evers, J.; Keitel, C.H. Vacuum induced processes in multilevel atoms. Prog. Opt. 2010, 55, 85–197. [Google Scholar]
- James, D.F.V. Quantum computation with hot and cold ions: An assessment of proposed schemes. Fort. Phys. 2000, 48, 823–837. [Google Scholar]
- Tan, R.; Li, G.-X.; Ficek, Z. Squeezed single-atom laser in a photonic crystal. Phys. Rev. A 2008, 78, 023833. [Google Scholar] [CrossRef][Green Version]
- Quang, T.; Freedhoff, H. Atomic population inversion and enhancement of resonance fluorescence in a cavity. Phys. Rev. A 1993, 47, 2285–2292. [Google Scholar] [CrossRef] [PubMed]
- Mihaescu, T.; Cecoi, E.; Macovei, M.A.; Isar, A. Geometric discord for a driven two-qubit system. Rom. Rep. Phys. 2021, 73, 101. Available online: https://rrp.nipne.ro/2021_73_1.html (accessed on 9 October 2025).
- Glauber, R.J. The quantum theory of optical coherence. Phys. Rev. 1963, 130, 2529–2539. [Google Scholar] [CrossRef]




Disclaimer/Publisher’s Note: The statements, opinions and data contained in all publications are solely those of the individual author(s) and contributor(s) and not of MDPI and/or the editor(s). MDPI and/or the editor(s) disclaim responsibility for any injury to people or property resulting from any ideas, methods, instructions or products referred to in the content. |
© 2025 by the authors. Licensee MDPI, Basel, Switzerland. This article is an open access article distributed under the terms and conditions of the Creative Commons Attribution (CC BY) license (https://creativecommons.org/licenses/by/4.0/).
Share and Cite
Mihaescu, T.; Macovei, M.A.; Isar, A. Non-Linear Quantum Dynamics in Coupled Double-Quantum- Dot-Cavity Systems. Physics 2025, 7, 47. https://doi.org/10.3390/physics7040047
Mihaescu T, Macovei MA, Isar A. Non-Linear Quantum Dynamics in Coupled Double-Quantum- Dot-Cavity Systems. Physics. 2025; 7(4):47. https://doi.org/10.3390/physics7040047
Chicago/Turabian StyleMihaescu, Tatiana, Mihai A. Macovei, and Aurelian Isar. 2025. "Non-Linear Quantum Dynamics in Coupled Double-Quantum- Dot-Cavity Systems" Physics 7, no. 4: 47. https://doi.org/10.3390/physics7040047
APA StyleMihaescu, T., Macovei, M. A., & Isar, A. (2025). Non-Linear Quantum Dynamics in Coupled Double-Quantum- Dot-Cavity Systems. Physics, 7(4), 47. https://doi.org/10.3390/physics7040047

