Next Article in Journal
Semi-Classical Electrodynamics and the Casimir Effect
Previous Article in Journal
Correction: Gorban et al. The Asymmetric Dynamical Casimir Effect. Physics 2023, 5, 398–422
 
 
Font Type:
Arial Georgia Verdana
Font Size:
Aa Aa Aa
Line Spacing:
Column Width:
Background:
Review

Dynamics of Fluids in the Cavity of a Rotating Body: A Review of Analytical Solutions

by
Anatoly A. Gurchenkov
and
Ivan A. Matveev
*
Federal Research Center “Computer Science and Control” of the Russian Academy of Sciences, Vavilov Str., 44/2, 119333 Moscow, Russia
*
Author to whom correspondence should be addressed.
Physics 2024, 6(1), 426-455; https://doi.org/10.3390/physics6010029
Submission received: 12 December 2023 / Revised: 2 February 2024 / Accepted: 12 February 2024 / Published: 19 March 2024
(This article belongs to the Section Classical Physics)

Abstract

Since the middle of the 20th century, an understanding of the diversity of the natural magnetohydrodynamic phenomena surrounding us has begun to emerge. Magnetohydrodynamic nature manifests itself in such seemingly heterogeneous processes as the flow of water in the world’s oceans, the movements of Earth’s liquid core, the dynamics of the solar magnetosphere and galactic electromagnetic fields. Their close relationship and multifaceted influence on human life are becoming more and more clearly revealed. The study of these phenomena requires the development of theory both fundamental and analytical, unifying a wide range of phenomena, and specialized areas that describe specific processes. The theory of translational fluid motion is well developed, but for most natural phenomena, this condition leads to a rather limited model. The fluid motion in the cavity of a rotating body such that the Coriolis forces are significant has been studied much less. A distinctive feature of the problems under consideration is their significant nonlinearity, (i.e., the absence of a linear approximation that allows one to obtain nontrivial useful results). From this point of view, the studies presented here were selected. This review presents studies on the movements of ideal and viscous fluids without taking into account electromagnetic phenomena (non-conducting, non-magnetic fluid) and while taking them into account (conducting fluid). Much attention is payed to the macroscopic movements of sea water (conducting liquid) located in Earth’s magnetic field, which spawns electric currents and, as a result, an induced magnetic field. Exploring the processes of generating magnetic fields in the moving turbulent flows of conducting fluid in the frame of dynamic systems with distributed parameters allows better understanding of the origin of cosmic magnetic fields (those of planets, stars, and galaxies). Various approaches are presented for rotational and librational movements. In particular, an analytical solution of three-dimensional unsteady magnetohydrodynamic equations for problems in a plane-parallel configuration is presented.

1. Introduction

Let us begin the review of studies on the dynamics of rotating liquids (gases) with a quote: “The complexity of describing the movement of liquids and gases is to some extent compensated by the property of self-organization of the movement of these media, which makes it possible to create “ideal portraits” of phenomena and ultimately understand physics of ongoing processes” [1].
A distinctive feature of fluid mechanics from other areas of mechanics and physics is that the basic equations of hydrodynamics (the Euler equations for an inviscid fluid and the Navier–Stokes equations in the viscous case), which describe the motion of a fluid, are essentially nonlinear. Classical electrodynamics, for example, was created as a linear science, and nonlinear terms were added to Maxwell’s equations as the complexity of the phenomena under consideration increased. Nonlinear optics was generally born only in the 1960s. The same is true for quantum mechanics, elasticity theory, and acoustics, which were predominantly developed as linear sciences [2].
In fluid mechanics, nontrivial linear motions simply do not exist for most situations of interest. In situations where linearization of the basic equations of motion makes it possible to find an approximate solution to a particularly important problem, the range of its applicability often turns out to be quite narrow. In the 20th century, the main progress in the theoretical study of fluid flows was associated with the development of asymptotic methods for integrating the equations of motion.
In this regard, in the last decades of the 20th century, numerical approaches to solving both the initial equations and asymptotic models were developed most intensively. The main achievements are associated with the studies by Mikhail Lavrentiev [3], Oleg Belotserkovsky [4], Leonid Sretensky [5], Mikhail Goldshtik [6], Sergey Cherny [7], and Nikita Moiseev [8]. Despite the successes in this field and the extraordinary growth in computer capabilities, analytical solutions are still essential for identifying the causes and mechanisms of complex processes, for radically simplifying numerical calculations, and finally as standards for verifying the correctness of direct numerical modeling. Accordingly, the search for new analytical approaches to solving hydrodynamic equations, aimed at both directly obtaining solutions and creating new methods of numerical modeling, becomes especially relevant. An example of the latter is the contour dynamics method, which was developed for two-dimensional hydrodynamics. It is convenient for numerical calculations of the vortex contour.
An underlying feature of hydrodynamics is the finding that there are two theoretically equal but conceptually different ways of describing the motion of a fluid, which are generally called the Lagrangian and Eulerian descriptions. In general, for various reasons, the Eulerian approach turned out to be dominant, but in recent years, practical problems associated with the analysis of the movement of Lagrangian tracers in the ocean, atmosphere and hydrodynamic experiments have stimulated the development of numerical algorithms based on the direct integration of Lagrangian equations and new interest in their deeper theoretical research.
Lagrangian analysis has many applications, from modeling spatial tracers through the dispersion of aircraft debris and plastic fragments to determining the biological connectivity of oceanic regions. In this case, the relationship between the Lagrangian and Eulerian specifications of the flow field is used, namely
u ( x , t ) = u X ( x 0 , t ) , t = X ( x 0 , t ) t ,
where X ( x 0 , t ) defines the trajectory of a particle (a section of liquid), labeled x 0 , as a function of time and the partial derivative is taken for a given section of liquid. Here, x 0 is used to identify a given virtual particle. It corresponds to the position through which that particle passed at time t 0 . In other words, this equation expresses that the speed of a fluid flow at a position along its trajectory, which it reaches at a certain point in time, can also be interpreted as the speed at that point in the Eulerian coordinate system.
Using this relation, the Eulerian velocity field can be integrated over time to trace a trajectory:
X ( t + Δ t ) = X ( t ) + t t + Δ t u X ( x 0 , t ) , t d t ,
where t is the integration variable. In this equation, u is continuous in space. Thus, the velocity field is estimated at any point in space, and the trajectories in the Lagrangian ocean model can be integrated. Spatial interpolation is used to allow the velocity field to be estimated at points within grid cells. Essentially, since the time of Euler, who developed the Eulerian and Lagrangian approaches, the most significant step has been the awareness and use of the vector nature of the velocity field and, accordingly, the use of a vector analysis apparatus.
The fundamental question about the possibility of constructing hydrodynamics on the basis of richer mathematical objects such as matrices remained open. The rather limited success of attempts by James Clerk Maxwell, William Hamilton, Lavrentiev and others in this direction led to the point that this possibility even ceased to be discussed. However, as the relatively available development opportunities within traditional approaches have been exhausted, the urgency of searching for alternatives has only increased over time.
The general form of the equations describing the motion of a viscous stratified conducting fluid placed in the cavity of a rotating solid body in the presence of a magnetic field in a coordinate system rigidly connected to the body has the form
ω 0 × ω 0 × r + 2 ω 0 × v + v t + ( v ) v = 1 ρ P + U + ν Δ v + 1 ρ μ rot B × B , div ρ v = ρ t , r Q , B t = rot ( v × B ) + v m Δ B , div B = 0 , r Q ,
where ω 0 denotes the angular velocity, r is the radius-vector of the point, v is the fluid velocity in a coordinate system rotating with an angular velocity ω , ρ is the density of medium, ν and ν m are viscosity and magnetic viscosity, μ denotes the permeability, P stands for pressure, U is the potential of external force (in most cases, this is the gravity potential), B is the magnetic induction, and Q denotes the volume covered by the surface. The required boundary and initial conditions should be added to the system of equations. Equation (3) is given in the system of mass’s center. Considering various formulations of problems in this review, we will return to Equation (3), discarding certain terms according to the problems of each chapter.
Figure 1 shows the general geometry of the problem. Figure 1a depicts a rigid body with a cavity D completely filled by a liquid, and thus all of the surface S of the cavity is touched by the liquid. The body is rotating with an angular velocity of ω 0 . The coordinate system O x 1 x 2 x 3 is attached to the body such that the axis O x 3 corresponds to the rotation axis. Figure 1b shows a bit more complex case, where the liquid does not fully occupy the cavity. Hence, a free surface Σ appears on which the liquid does not touch the rigid body.
This review consists of five Sections. Section 2 provides a brief overview outlining the directions of analytical study of fluid dynamics. What follows is segmented according to the type of the problem. Section 2 presents studies on the dynamics of rotating ideal incompressible and stratified fluids in the absence of a magnetic field (i.e., the fluid is non-conductive). Section 3 features studies on the dynamics of rotating fluids (viscous, homogeneous and inhomogeneous) in the absence of a magnetic field. Section 4 describes the study of conducting ideal liquids and gases that undergo vortex motion in the presence of a magnetic field. Section 5 includes studies on the dynamics of conducting viscous (homogeneous and stratified) rotating fluids in the presence of a magnetic field.

2. Historical Overview

Research into the dynamics of rotating solid bodies containing fluid has an eventful history associated with the names of outstanding mechanics and physicists, as well as a wide area of application in science and production. The theory of oscillations of standing waves of a limited volume of liquid emerged in the 19th century from George Stokes, Hermann von Helmholtz, Horace Lamb, Franz Neumann and their followers. In the 20th century, this development continued, resulting in many particular applications, like the study of seiches, or the occurrence of dangerous periodic movements of water masses in artificial seas created by hydroelectric dams and in natural or large artificial lakes associated with nuclear power plants. Hydrodynamic questions on the theory stimulated the development of various areas of theoretical physics related not only to continuum mechanics but also to seemingly distant areas. For example, nuclear physics was enriched by the droplet model of the nucleus, in which the nucleus is considered a drop of extremely dense liquid consisting of protons and neutrons. This model was proposed by Niels Bohr and Carl von Weizsacker. in 1935. In 1939, Bohr and John Wheeler, simultaneously with Yakov Frenkel, described the fission process of a uranium nucleus as the fission of a uniformly charged classical drop of an incompressible liquid with surface tension and even the physics of elementary particles (hydrodynamic theory of multiple particle production [9]).
A large number of monographs and papers are devoted to the study of waves in a rotating fluid. The theory of rotating fluids was studied by Sergei Sobolev [10], who derived an equation describing small vibrations of a homogeneous rotating fluid. This research was continued by Rafael Alexandryan [11], Vera Maslennikova [12], Viktor Maslov [13], Sergey Gabov [14,15,16] and a number of other researchers. In his studies [17,18,19,20,21,22], Moiseev investigated the spectrum of natural vibrations of a heavy ideal liquid in a vessel. The problem of hydrodynamics was separated from the problem of the dynamics of an equivalent body, being associated with an infinite system of mathematical pendulums. Moiseev also considered this problem in a nonlinear formulation, using the approach proposed by Henri Poincare [23]. He looked for an approximate solution to the problem in the form of an asymptotic series in a small parameter (wave amplitude) and showed that the spectrum of natural oscillations is not discrete but piecewise continuous, and the amplitude of oscillations can be any of the circle of convergence of the series. The most general results for the method of asymptotic integration were obtained by Felix Chernousko [24]. Let us also note the studies by Vladimir Gryanik [25], Sergey Dotsenko [26] and Chernousko [27]. The most known study by Harvey Greenspan [28] combines the research of the author and his colleagues on the dynamics of a rotating fluid placed in a cavity and the theory of wave motions. In the studies by Greenspan and Louis Howard [29], Keith Stewartson [30] and Stewartson and Paul Roberts [31], the motion of bodies appears to be given. Either uniform motion is considered (such as in Refs. [28,29] or, for regular precession, [31]). The boundary layer method is commonly used. It is noted that the results of calculations using the boundary layer method coincide with experimental data.
All the above mentioned studies, as well as Refs. [32,33,34,35,36,37,38,39,40,41,42,43,44,45,46,47,48,49,50], date back to the second half of the 20th century and were motivated by the rapid development of rocket and space technology and increased interest in the problems of geophysics, oceanology, atmospheric physics, as well as problems in the study and protection of the environment. These studies are included here to show what approaches and methods can be used to obtain precise analytical solutions to problems in the dynamics of rotating fluids. The depth of the review is the last 20–25 years. By this time, two powerful scientific schools of mathematical modeling of processes in rotating liquid media had been developed in Russia. The first is the school of Lev Ovsyannikov in Saint Petersburg, represented by Gabov, Sergey Peregudin and Svetlana Kholodova. The second school was established by Lavrentyev in Novosibirsk and includes Mstislav Keldysh, Lev Kudryavtsev, Aleksei Markushevich and Vladimir Titov. Large-scale movements of the ocean and atmosphere, which determine weather and climate, occur in a thin spherical layer and can be considered two-dimensional with good accuracy. Therefore, two-dimensional dynamics within the framework of Lagrangian equations has become a subject of special attention. Here, certain progress has been achieved in the analysis of relatively simple models, such as the dynamics of a finite number of point vortices [32,51,52].
In real flows, the region of potential motion generally does not fill the entire space but borders the vortex flow. These are, for example, in practice, of particular importance the problems of separated flow. The problem of matching potential and vortex flows (i.e., the construction of “composite” motion in the entire space occupied by a liquid) was outlined by Lavrentiev as a key fundamental problem [3]. The main reason for success in this area was the use of powerful analytical methods of the theory of functions of a complex variable, developed by Lavrentiev and his school. Wide classes of exact solutions and significant reductions were obtained, significantly simplifying the numerical solution of a number of fundamental and practically significant problems.
One of the most successfully developed branches of hydrodynamics in recent decades is the theory of nonlinear wave motions of a finite amplitude [53]. Success in the study of weakly nonlinear waves for an extremely wide range of different hydrodynamic situations is associated with awareness of the feature of the universality of weakly nonlinear models, especially for conservative systems when using the method of Hamiltonian formalism developed by Vladimir Zakharov [54,55]. After applying the asymptotic procedure, the entire variety of wave processes represented in some canonical variables is reduced to a small number of universal “canonical” models described by relatively simple shortened equations. In this case, the uniqueness of each wave process and the peculiarity of the hydrodynamic situation are accumulated in the coefficients of the canonical models. In a general situation, most waves in hydrodynamics are dispersive. For dispersive weakly nonlinear waves in stable situations, one of two possibilities is realized: either the dispersion law is “decay” and, accordingly, three-wave resonant interactions are allowed, or the law is non-decaying, and then three-wave resonant interactions are prohibited, while the dominant type of interaction is resonant four-wave processes. In any case, the fundamental element of the evolution of the wave field becomes the dynamics of an isolated triplet or quartet of resonantly interacting waves. Despite the feature that the resulting truncated equations are significantly simpler than the original ones, they nevertheless represent systems of nonlinear partial differential equations that do not have a small parameter in a general situation. Their thorough study is one of the primary tasks of wave theory. The so-called “three-wave equations”, which describe the evolution of a resonant triplet of interacting waves, were studied by methods of the inverse problem of scattering theory [56,57], but the search for new classes of exact solutions remains relevant. Success in the study of weakly nonlinear waves for an extremely wide range of different hydrodynamic situations is associated with awareness of the feature of the universality of weakly nonlinear models. As for researchers outside of Russia, their interest in analytical solutions lately was mainly focused on problems of astrophysics, where processes with an infinitely large magnetic Reynolds number are considered [58] as well as numerous other applications (see, for instance, [59,60,61]).
Non-stationary problems are always much harder to treat than their stationary relatives. The nonlinear nature of the equations of magnetic hydrodynamics allows one to obtain analytical solutions only in rare special cases for non-stationary problems. A detailed study here was conducted only in the one-dimensional formulation of the motion of an inviscid conducting medium [62] and a viscous conducting medium [63,64,65,66,67].

3. Dynamics of Ideal Rotating Incompressible and Stratified Non-Conductive Fluids

The system of equations describing the motion of an ideal incompressible fluid is obtained from Equation (3) by removing the terms related to magnetic induction and viscosity and setting the divergence of flow to zero:
ω 0 × ω 0 × r + 2 ω 0 × v + v t + ( v ) v = 1 ρ P + U , div v = 0 r Q ,
The boundary conditions for this system are the absence of flow through solid boundaries and fixation of the hydrodynamic pressure on the surface covering the volume Q.
Let us start this Section with quasi-geostrophic fluid movements in the ocean. Geostrophic motion refers to flows that would result from a precise balance between the Coriolis force and horizontal pressure gradient forces. Quasi-geostrophic motion refers to the case where these two forces are almost in equilibrium, but inertia also plays role. This choice is due to the finding that quasi-geostrophic movements most accurately reflect the decisive influence of Earth’s rotation. Analytical solutions can be obtained for such models or their simplifying variants. The question arises of whether such idealized models and their analytical solutions are currently needed.
With the development of computer technology, it became possible to directly numerically solve kinematic dynamo problems for model flows in different geometries. One of the most famous examples in this direction is a series of studies by Gary Glatzmaier and collaborators [68]. The main problem of this approach is that modern supercomputers are capable of carrying out calculations of three-dimensional kinematic dynamo problems for magnetic Reynolds numbers, which are much lower than the practical needs of astrophysics, where the problems are characterized by large values for the magnetic Reynolds number. In addition, the problems under consideration are characterized by a value of the Ekman number, E, to the order of 10 10 10 15 , while existing computing technologies allow solving the problem only for E to the order of 10 4 . At relatively small E values, boundary layers appear at the boundaries of the liquid which cannot be resolved numerically accurately enough, and thus analytical methods are required. In addition, in the problems under consideration, the Rossby, R o , and Ekman numbers are quite small, but in numerical studies, R o is assumed to be zero, and E is nonzero, although it is several orders of magnitude smaller than R o .
In the case where the Ekman number tends toward zero in the constructed models, numerical instability occurs. But numerical methods applied to analytical solutions provide a quantitative description of the properties of the wave process; that is, problems that can be solved explicitly act as “standards” that allow one to better understand the mathematical model of the physical phenomena being studied and, in addition, compare and evaluate the effectiveness of various asymptotic and approximate methods. In Ref. [42], the problem of oscillations of a system of a rigid body and a uniformly vortex fluid in its cavity under the action of an overturning moment is considered. Euler’s equations of perturbed motion of an ideal fluid in a coupled coordinate system have the form
v r t 2 ω 0 v φ = 1 ρ P r + Re z ξ ¨ e i ( ϑ + φ ) , v φ t 2 ω 0 v r = 1 ρ r P φ + Re i z ξ ¨ e i ( ϑ + φ ) , v z t = 1 ρ P r + r Re ξ ¨ 2 ω 0 i ξ ˙ e i ( ϑ + φ ) .
Here, r, z and φ are cylindrical coordinates. The body rotates around a cylinder axis O z with an angular velocity ω 0 .
Within the framework of the theory of long waves for a rotating fluid, equations for the perturbed motion of an ideal fluid relative to stationary rotation are obtained. A solution to the hydrodynamic problem was constructed, and the coefficients of the equations of motion were calculated for a number of particular cavity shapes. The stability of the system under consideration is investigated.
In Ref. [69], the Cauchy problem was considered in a linear formulation for the perturbed relatively uniform rotation of the motion of a dynamically symmetric rigid body with a cavity filled with an ideal fluid. The problem of jointly solving the equations of hydrodynamics and solid mechanics was reduced to solving an eigenvalue problem that depended only on the geometry of the cavity and the subsequent integration of a system of differential equations. Based on the obtained equations, the authors of Ref. [70] studied the stability of stationary rotation of a body with fluid:
J Ω ˙ + Ω × J ω 0 + ω 0 × J Ω + ρ n = 1 a n S ˙ n + ω 0 × a n S n = M , S ˙ n i λ n S n + a n Ω ˙ N n 2 = 0 , S n = s n 0 if t = 0 , ( n = 1 , 2 , 3 ) .
Here, J is the inertia tensor of the body-liquid system relative to the center of inertia O, Ω is the vector of the perturbed angular velocity, M is the principal moment of external forces relative to O, S n ( t ) represents the coefficients in the expansion of speed in a series of eigenfunctions of the boundary value problem in the Galerkin [71] procedure, λ n represents the eigen frequencies, a n represents the vectors of the inertial connections (which depend on the geometry of the cavity and characterize the connection between the motions of the solid body and the wave motions of the fluid), the asterisk denotes complex conjugation, s n 0 are the values coefficients of S n in t = 0 , and N n is the norm of nth eigenfunction. For the system under consideration, the problem of optimal control with terminal functionality is posed. Analytical solutions are given.
The study in Ref. [32] presents solutions to several nonlinear problems in the theory of a rotating fluid, namely an analysis of currents and waves of a finite amplitude in a rotating spherical layer as well as quasi-geostrophic movements in a rotating ocean. This can be viewed as the processes of wave propagation in cylindrical pools with a smooth change in the depth of the liquid. The main attention was paid to the study of the joint influence of the inclination of the ocean bottom and the rotation of Earth on wave movements. Mathematically, the problem was reduced to solving a linear second-order partial differential equation with variable coefficients. In the case of a small bottom inclination, the solution has the form of a linear combination of the zero-order Bessel functions J 0 :
v ( x , t ) = sin ( ω t ) ω 0 z / c θ ( t ξ ) J 0 β c t 2 ξ 2 d ξ β 2 c 2 ω 2 0 t sin ω ( t τ ) 0 z / c θ ( τ ξ ) J 0 β c t 2 ξ 2 d ξ d τ .
Here, θ ( t ) is the Heaviside function, c is the speed of sound, and β is the constant of an exponentially stratified fluid whose density is ρ = A exp ( 2 β z ) . The problem is posed for one spatial dimension, and thus the equation is for the scalar v ( x , t ) . The problem of propagation of small-amplitude waves in a rectilinear channel of variable depth is also considered. It is shown that in the case of a liquid depth that does not vary along the channel walls and varies from wall to wall, the change of which from wall to wall satisfies the Abel equation of the second kind [72], the mathematical problem is reduced to a mixed boundary value problem for a second-order ordinary differential equation with constant coefficients. This occurs for a constant depth and in the case of exponential depth distribution.
The problems of the theory of surface and internal waves in the ocean were considered in Ref. [51]. Internal waves are often called waves whose amplitudes in the water column are greater (much greater) than on its surface. The difficulties in studying these problems are associated first with the nonlinearity of the boundary conditions on the free surface and the interfaces of relatively homogeneous layers, as well as the feature that these surfaces themselves are unknown functions and should be determined. A necessary condition for the existence of such waves is stable density stratification of water (i.e., an increase in water density with depth), as is generally the case in natural reservoirs. The mechanism here is as follows. A molecular particle of water that has deviated downward from the equilibrium position falls into more dense layers, from which it is pushed upward by Archimedean force. Then, due to inertia, it overshoots the equilibrium position and ends up in less dense overlying layers, where it begins to sink. Repeating these motions results is oscillations.
In the studies by Gabov [14,15,16], the dynamics of internal waves in rotating and stratified fluids were studied. In Ref. [14], the problems of reducing the equations of dynamics of a homogeneous rotating fluid were considered, while Ref. [15] was devoted to the reduction of the equations of a compressible stratified fluid without taking into account rotation. In Ref. [16], the problem of reducing the equations of an exponentially stratified rotating fluid was treated. A stratified liquid is often understood as a liquid whose physical characteristics (density, heat capacity and dynamic viscosity, among others) in a stationary state change continuously or abruptly in only one specific direction.
In Ref. [33], the reduction of the equations of dynamics of a compressible stratified rotating fluid with an arbitrary stratification distribution was considered. The formulation of the problem is as follows:
v t + v 2 2 v × rot v = U P ρ 2 ω × v , ρ t + div ρ v = 0 .
Due to the introduction of two potential functions, the basic equations of hydrodynamics are reduced to a scalar equation. This allows to establish the solvability of initial boundary value problems of the theory of waves in stratified rotating fluids.
1 c 2 4 v t 4 = 2 t 2 Δ 3 v 2 β + ρ 0 ρ 0 v z + β 2 ω ˜ 2 c 2 + β ρ 0 ρ 0 v + + ω ˜ 2 1 4 Δ 2 v + v z z 2 β + ρ 0 ρ 0 v z + β 2 + β ρ 0 ρ 0 v .
Here, c denotes the sound speed in the medium, ω ˜ = 2 ω 0 is double the angular rotation speed of the liquid, index z denotes partial z-derivative, Δ 2 and Δ 3 are the two-dimensional and three-dimensional Laplace operators:
Δ 2 = 2 x 2 + 2 y 2 , Δ 3 = 2 x 2 + 2 y 2 + 2 z 2 .
The liquid density is modeled as a sum of globally stratified along O z by exponential law and local linear “dynamic additive”:
ρ ( x , y , x , t ) = ρ 0 ( z ) + ρ 0 ( x , y , z , t ) , ρ 0 ( z ) exp ( β z ) ,
and the ratio of the ρ values is the characteristic scale of density change. The problem of radiation of waves into a rotating compressible fluid by a vertical wall performing harmonic oscillations is solved.
It is interesting to note the studies by Alexander Chesnokov [34,35]. The author used group-theoretic methods and Lie symmetry to study nonlinear equations of rotating shallow water. It was shown that the equations of rotating shallow water are related to the classical shallow water model with changing variables. The resulting symmetries are used to generate new exact solutions to the equations of rotating shallow water. In particular, a new class of time-periodic solutions with quasi-closed particle trajectories was constructed and studied. The symmetry reduction method was also used to obtain some invariant solutions to the model.

4. Dynamics of Rotating Viscous Incompressible and Stratified Non-Conductive Fluids

The equations of motion of a viscous fluid in a rotating coordinate system rigidly connected to a solid body have the form
ω × ω × r + ω ˙ × r + 2 ω × v + v t + v v = 1 ρ P + U + ν Δ v , div v = 0 Q , v = 0 S , v = v 0 ( r ) t = 0 .
Here, ν is the kinematic viscosity.
In Ref. [36], a new exact stationary solution to the equations of hydrodynamics of a viscous incompressible fluid was obtained. It corresponds to a generalization of the known Sullivan solution [73] with additional consideration for the effects of external (Ekman) friction and rotation of the system as a whole.
Difficulties in studying the problems of viscous rotating fluid are known. This field is of particular interest in the dynamics of spacecraft and aircraft, in calculating the motion of these vehicles relative to the center of mass and in problems of stabilization and control of such objects. For example, the damping effect exerted by a viscous fluid in a cavity on the motion of a solid body should be taken into account. The influence of liquid viscosity turns out to be quite tricky; it can lead to both stabilization of the motion of a solid body and its loss of stability. A series of studies [37,38,39,40,41,42,43,44] was devoted to the study of the behavior of a viscous fluid in cavities of arbitrary shapes for rotating solids.
Thus, in Ref. [37], the oscillations of a viscous incompressible fluid were studied. The fluid filled a half-space bounded by a flat wall and initially rotated as a solid body together with the wall under the action of suddenly starting longitudinal oscillations. An exact solution to the initial-boundary value problem for the Navier–Stokes equations in the case of fluid flow induced by a flat plate was given:
v ( y , t ) = y 2 π ν 0 t T ( τ , t ) ( t τ ) 3 / 2 exp y 2 4 ν ( t τ ) d τ , T ( τ , t ) = u ( τ ) cos 2 Ω ( t τ ) + u ( τ ) × e y sin 2 Ω ( t τ ) .
Here, y is an ordinate in rectangular O x y z coordinate system, perpendicular to the wall lying in O x z plane, e y is an ort unit vector. The vector of tangential stresses acting on the plates from the liquid side is calculated. It is shown that in the absence of rotation, the solution transforms into the known solution to the problem of unsteady motion of a fluid bounded by a moving flat wall. Quasi-harmonic vibrations of the plate and motion with constant acceleration were studied. In the particular case of harmonic oscillations and the assumption that the axis of rotation of the plate plane is perpendicular, agreement is shown with the results obtained by Claire Thornley [74]. Conclusions about the asymptotic behavior of solutions were formulated.
In Ref. [38], the stability of stationary rotation of a symmetrical body with a viscous fluid was studied on the basis of integrodifferential equations. The coefficients in the equations were determined through solving the boundary value problems of the hydrodynamics of an ideal fluid, depending on the geometry of the cavity. The system of equations of weakly perturbed motion of a viscous incompressible fluid filling a rotating solid body has the form
A Ω ˙ + i ( C A ) ω 0 Ω + 2 ρ n = 1 a n s ˙ n i ω 0 s n = M , N n 2 s ˙ n i λ n s n + ν π 0 t s ˙ n ( τ ) α n ( t τ ) + s n ( τ ) β n ( t τ ) t τ d τ + a n Ω ˙ = ν π m = 1 , m n 0 t s ˙ n ( τ ) α m n ( t τ ) + s n ( τ ) β m n ( t τ ) t τ d τ .
Here, the dot over a letter denotes time derivative, N n is the norm of nth eigenfunction, as in Equation (6), A and C are the moments of inertia of the body-fluid system relative to the axis of symmetry and transverse axis, respectively, Ω = Ω 1 + i Ω 2 is the complex angular velocity, M = M 1 + i M 2 is the complex moment of hydrodynamic pressure forces, α m n and β m n are inertial coupling coefficients characterizing the interaction between the body movements and wave motions of the liquid. The perturbation method was used to solve the problem of stability of rotation of a body relative to the axis with the highest moment of inertia and instability relative to the axis with the lowest moment of inertia. Stability of the stationary rotation is ensured if
Re p = ν Ξ β 1 δ 11 η 0 λ 1 < 0 .
Here, η 0 is the root of characteristic equation for a system with zero viscosity, η = p / i is the root of a viscous case under consideration, and Ξ is the correction of the root obtained by perturbation theory. The stability of stationary rotation of a body with a viscous liquid was studied at M = 0 . It was shown that the eigenfrequencies shifted by an amount Re p proportional to ν . This is in contrast to an ideal fluid, where the stability criterion is the roots of the characteristic equation being real.
A similar problem for a body with an ideal fluid was studied in the studies by Sobolev [10], Aleksandr Ishlinsky [75] and Chernousko [76] and with a viscous liquid in the study by Moiseev and Valentin Rumyantsev [77], where they considered the problem of plane oscillations of a rectangular vessel under the action of the restoring force of an elastic spring.
In Ref. [39], the vibrations of a viscous fluid in the cavity of a solid body undergoing librational motion were studied. The cavity was partially filled with a viscous liquid and partially with gas, the pressure of which was constant. In addition, the cavity was equipped with structural elements such as radial and annular ribs. The perturbed motion of a rigid body was determined by vectors of a relatively small displacement u ( t ) and relatively small rotation θ ( t ) . The disturbed motion of the fluid was characterized by parameters S k ( t ) , which has the meaning of the amplitude of the kth tone of fluid oscillations at a point on the free surface. The equations of perturbed motion of a body with fluid have the form
( m 0 + m ) u ¨ + ( L 0 + L ) Θ ¨ + k = 1 λ k S ¨ k = P + δ P , ( J 0 + J ) Θ ¨ + ( L ¯ 0 + L ¯ ) u ¨ j , L ˜ 0 + L ˜ Θ + k = 1 λ 0 k S ¨ k = M 0 + δ M 0 , N k S ¨ k + ω k 2 S k + ( λ k , u ¨ ) + ( λ 0 k , Θ ¨ ) = δ P k , ( k = 1 , 2 , ) .
Here, u and Θ are small translational and rotational displacements respectively; m 0 and m are the masses of the solid body and liquid, respectively; J 0 and J are the symmetric inertia tensor of the body and adjoint inertial moments of the liquid, respectively; L 0 and L are the antisymmetric tensors of the static moments therein; the overline indicates an adjacency operation; L ˜ 0 and L ˜ are the tensors of the moments of mass forces acting in unperturbed motion; λ k and λ 0 k are vectors characterizing the inertial relations between body movements and the wave motion of the liquid; j is an overload vector; and δ P , δ M 0 and δ P k are generalized forces conditioned by dissipation of energy in the cavity. The energy dissipation during the oscillation period was assumed to be small compared with the energy of the system. At δ P = 0 , δ M 0 = δ P k = 0 , the equations turn into equations of perturbed motion of a body with a cavity partially filled with an ideal fluid. In this case, the coefficients of the equations of perturbed motion of an ideal fluid are considered known. The study implemented an approach similar to the method that was used in the studies by Lev Landau [78], which made it possible to simultaneously take into account both mechanisms of energy dissipation during fluid vibrations in the cavity. One mechanism was associated with vortex formation on the walls of the cavity and further dissipation of energy in a thin near-wall boundary layer (case of a cavity with smooth walls and large Reynolds numbers). The other mechanism was the breakdown of powerful discrete vortices which then dissipated throughout the entire volume of the liquid (if the cavity was equipped with structural elements with sharp edges). It was found that the latter effect was significantly nonlinear and at least two orders of magnitude higher than the boundary layer effect. After determining the generalized forces, a system of equations for the perturbed motion of a solid body with filled cavities is derived:
( m 0 + m ) u ¨ + ( L 0 + L ) Θ ¨ + k = 1 λ k S ¨ k = P , ( J 0 + J ) Θ ¨ + B 0 t Θ ¨ ( τ ) d τ t τ + ( L ˜ 0 + L ˜ ) u ¨ j , L ˜ 0 + L ˜ Θ + k = 1 λ 0 k S ¨ k + β 0 k 0 t S ¨ k ( τ ) d τ t τ = M 0 , N k S ¨ k + ω k 2 S k + ( λ k , u ¨ ) + ( λ 0 k , Θ ¨ ) + β 0 k , 0 t Θ ¨ ( τ ) d τ t τ = n = 1 β k n 0 t S ¨ n ( τ ) d τ t τ , ( k = 1 , 2 , ) .
Here, B is the tensor with components β i 0 ; β 0 represents vectors with components β 0 k ; β i k represents scalars. The system of equations can be considered Lagrange equations of the second kind, in which u j , θ j and S k ( j = 1 ,   2 ,   3 , k = 1 ,   2 , ) play the role of generalized coordinates. The system of equations allowed us to consider modes when the dynamic system is affected by disturbances that were an arbitrary function of time.
In Ref. [40], a formulation and methodology for solving optimal control problems for the perturbed relative uniform rotation of a body with a cavity containing a viscous incompressible fluid was proposed. Considerations were carried out for the case of a cylinder, but in principle, the approach is valid for a cavity of an arbitrary shape. A formula was derived for the angular velocity of perturbed motion, depending on the external disturbing moment. After this, it was possible to pose various problems of optimal control of perturbed motion and apply the formalism developed in the theory of optimal control.
The study in Ref. [41] was devoted to the study of the unsteady flow of a viscous incompressible fluid in the cavity of an infinite slit formed by two parallel plates with a distance d between them. The slit with the liquid was considered in a state of rotation like a solid body. The axis of rotation made an angle with the walls of the slit. The unsteady flow was induced by the non-torsional vibrations of both plates as well as by injection (suction) of the medium, which was produced at a speed of a ( t ) normal to the walls. The mathematical formulation of the problem is
ω 0 × ( ω 0 × r ) + 2 ω 0 × v + v t + ( v ) v = P ρ + U + ν Δ v , div v = 0 Q , v Q 1 = u 1 , a ( t ) e y , v Q 2 = u 2 , a ( t ) e y , v t = 0 = 0 .
Here, Q 1 and Q 2 denote the surfaces of the slit, i.e., the conditions thereat, u 1 ( t ) and u 2 ( t ) are the plate movement velocities, and a ( t ) is the medium injection speed. An analytical solution was constructed for the flow velocity field induced by these oscillations. In the general case, the solution is obtained as a sum of an infinite series and is represented by the Duhamel integral:
v ( y , t ) = u 1 ( t ) u 1 0 ( y , 0 ) + u 2 ( t ) u 2 0 ( y , 0 ) + 0 t T 1 ( τ , t τ ) u 1 0 t ( y , t τ ) d τ + 0 t T 2 ( τ , t τ ) u 2 0 t ( y , t τ ) d τ , T j = u j ( τ ) cos 2 Ω ( t τ ) + u j ( τ ) × e y sin 2 Ω ( t τ ) .
Here, u j 0 , with j = 1 , 2 , represents the solutions to the boundary value problems:
ν 2 u y 2 a u y u t = 0 ,
with boundary conditions u 1 ( 0 , t ) = 1 ,   u 1 ( l , t ) = 0 and u 2 ( 0 , t ) = 1 ,   u 2 ( l , t ) = 0 . Based on the results obtained, individual structures of the boundary layers near the walls were studied.
In Ref. [42], the problem of oscillations of a system of a rigid body and a uniformly vortexing fluid in its cavity under the action of an overturning moment was considered. Within the framework of the theory of long waves for a rotating fluid, equations for the perturbed motion of an ideal fluid relative to stationary rotation were obtained. A solution to the hydrodynamic problem was constructed, and the coefficients of the equations of motion were calculated for a number of particular cavity shapes. The stability of the system under consideration was investigated.
In Ref. [43], a study was carried out of one of the interesting and difficult problems of mechanics regarding the rotational motions of bodies with cavities filled with a viscous fluid. A twisted body along the main axis was subject to longitudinal moments of force, which caused precessional movements. In the formulation of an ideal and viscous fluid in cases of partial and complete filling, it is possible to obtain the integral dependencies of the longitudinal angular velocities in these moments, which plays the role of controls. From these dependencies, the stability of the movements under consideration in particular is revealed. To derive these basic relationships, it is necessary to solve the intermediate problems for the movement of fluid in a body cavity smoothly, as well as the movement of the body itself. Then, a wide class of optimal control problems with functionals, which include the angular velocity, is formulated. Using a number of transformations, it is possible to obtain systems for which the Hamilton–Pontryagin formalism and the Bellman optimality principle can be used.
In Ref. [79], the initial flow due to a suddenly applied pressure gradient in a parallel channel that rotates as a rigid body was studied. Exact solutions for the non-stationary Navier–Stokes equation were found both by the Laplace transform method and by the method of separation of variables. The latter was shown to be the best method. Rotation not only causes secondary cross-flow but also changes the nature of the transient process and the velocity profile.
A number of problems were solved in a linear approximation by studying the behavior of small deviations from a given state. Thus, in Ref. [80], using finite-difference methods in a two-dimensional formulation, the boundary value problem of the unsteady vortex motion of a viscous incompressible fluid with a free surface in a cavity rotating at a variable angular velocity, which had the shape of a right circular cylinder with radial ribs equally spaced from each other, was solved. The dependence of the rib resistance coefficient on its depth relative to the free surface was obtained.
In Ref. [81], a procedure was proposed for constructing analytical solutions for the linearized Navier–Stokes equations by using basis separation of the generalized Sturm–Liouville problem. The orthonormality of the basis functions of a generalized basis was shown, and an example was considered illustrating the construction of such a basis for the plane problem of the motion of a viscous fluid inside a circle. The proposed formalism can be used to study transient regimes of viscous fluid flows in problems where the density of the volumetric forces prevails over the convective processes.
A rotating spherical layer was considered in Refs. [82,83]. The ratio of the inner radius to the outer radius was taken to be 0.4 . The linear problem of convection onset and its dependence on the Prandtl and Taylor numbers was studied in Ref. [82]. It was shown that with a decreasing Prandtl number, the behavior of the system became more complicated, with several modes of convection appearing. The study in Ref. [83] continued this study and expanded the analysis to nonlinear properties, and numerical solutions with the Galerkin method [71] were used.
Cryogenic liquid is a special case. According to its physical properties, this liquid is neither an ideal nor viscous liquid, which determined the interest in this problem. In Ref. [84], the stability of the stationary rotation of a solid body having a cylindrical cavity completely filled with an incompressible cryogenic fluid was considered. The stability of the stationary rotation of a body with a stratified fluid was studied on the basis of ordinary differential equations, the coefficients of which were determined from the solution of boundary value problems of hydrodynamics that did not depend on time. A distinctive feature of all cryogenic liquids is the non-uniform change in density and temperature observed in all storage and operation modes. The most significant stratification of the cryogenic component occurs in the direction of action of the external field of the mass forces. The characteristic equations of the boundary value problem and the motion of a rigid body with a stratified fluid with stationary rotation around its axis were obtained. Stability regions for the free rotation of a body with stratified fluid were constructed with dimensionless parameters.

5. Vortex Motion of Conducting Ideal Liquids in the Presence of a Magnetic Field

The study of many astrophysical systems leads to complex problems of convection of an electrically conducting fluid in the presence of a magnetic field and rotation. These include the problem of generating the magnetic field of Earth and planets, stars and galaxies. Here, questions arise such as stability, convection and developed turbulence in the presence of a magnetic field and rotation, self-excitation of a magnetic field during the movement of a conducting fluid and the reverse influence of the excited field on movement. The generation of secondary magnetic fields was studied in Ref. [85]. It was shown that a rigid non-magnetic conductor (in the shape of a hollow cylinder) rotating in an external magnetic field generates a secondary multipole magnetic field, the magnitude of which is proportional to the rotation speed and the magnitude of the primary magnetic field, and it also depends on the electrical resistivity of the conductor as well as its shape and size. Generation of the field in fluids is facilitated by the helicity of the movement, and the presence of Coriolis force contributes to the creation of helicity in convective movements. Convection and rotation are the main components of the magnetohydrodynamics(MHD)-dynamo mechanism in geophysics and astrophysics [86,87].
The behavior of conducting fluid with substantial influence from magnetic or electromagnetic fields is studied in magnetohydrodynamics. The system of equations describing the motion of an ideal electrically conductive incompressible fluid rotating at an angular velocity of ω in Euler variables has the form
ω 0 × ω 0 × r + 2 ω 0 × v + v t + ( v ) v = 1 ρ P + U + 1 ρ μ rot B × B , div v = 0 , r Q , B t = rot ( v × B ) , div B = 0 , r Q ,
where B is the magnetic induction vector, v is the fluid velocity in a coordinate system rotating with an angular velocity ω . It is assumed that the magnetic permeability μ and electrical conductivity σ are constant. The boundary conditions for this system are the conditions of non-flow through solid boundaries and fixation of the hydrodynamic pressure and magnetic field value on the surface covering the volume Q.
Plasma is a fully or partially ionized gas in which the concentrations of positive and negative ions are the same, and the total charge per unit volume is zero. In the magnetohydrodynamic approximation, this gas can be considered a kind of conducting liquid. Over the past 20 years, magnetic hydrodynamics has developed intensively in three directions:
(1)
the study of space problems [88];
(2)
studying methods for influencing high-temperature plasma (its thermal insulation and pulsed acceleration and study on a controlled thermonuclear reaction) [89];
(3)
the development of methods of electromagnetic influence on liquid metal during its melting and transportation [90].
In space, there is a fully ionized gas (plasma). Its conductivity in some cases can approach the conductivity of metal in terms of the order of magnitude. If we take into account that ionized gases occupy huge volumes, then despite the large distances between cosmic bodies, the resistance between them is relatively small. At the same time, the magnetic field in space can be significant. Thus, the regular magnetic field of the Sun is about 25 × 10 4 T, and in a sunspot region, it reaches 0.2 T to 0.4 T. These magnetic fields create huge, slowly decaying currents in the plasma, whose interaction with the magnetic field creates mechanical forces. Even if these forces turn out to be quite small in magnitude, their influence on the motion of the plasma is significant, since they act on it for a long time.
There are high-temperature and low-temperature plasmas. Based on the degree of concentration of charged particles, plasma is divided into rarefied plasma and plasma with a high concentration. High-temperature plasma reaches temperatures of several million degrees. Low-temperature plasma is realized, for example, in a column of ionized gas during glow and arc discharges. Plasma with a temperature of several thousand degrees is formed near the surface of a rocket as it enters the dense layers of the atmosphere.
Magnetohydrodynamics, along with other sciences, is the theoretical basis for the development of magnetohydrodynamic generators, as well as plasma and ion engines. The mathematical problem that describes the generation of magnetic fields through the movements of an electrically conductive fluid is called the hydromagnetic dynamo problem. The idea of a hydromagnetic dynamo was first expressed in 1919 by Joseph Larmor [45] when explaining the origin of magnetic fields on the Sun. Among the kinematic models, the Braginsky dynamo [46,47,48,49,50,91] is of particular interest, since it was constructed for extremely large magnetic Reynolds numbers.
Stanislav Braginsky showed [46] that the resulting system of iterative equations after expansion in powers of the reciprocal of the square root of the magnetic Reynolds number can be systematically solved. He then interpreted the fluctuating part of the velocity field in his dynamo model as Alfven waves driven by buoyancy forces. He called these waves magnetic-Archimedes-Coriolis (MAC) waves, since all three named phenomena are of equal importance therein.
After studying the onset of convection and its dependence on the Prandtl number, the authors of Ref. [83] examined the uprising of magnetic disturbances. The critical magnetic Prandtl number for excitation of the dynamo effect is derived as a function of the Taylor and Rayleigh numbers.
The study in Ref. [83] was further expanded by the same authors in Ref. [92]. A conductive fluid layer between two insulators with a ratio of the inner radius to the outer radius of 0.4 undergoing quick rotation was taken as a model of Earth. The solutions were obtained numerically through the Galerkin method. Magnetic solutions were matched against appropriate non-magnetic ones. It was shown that introducing electromagnetic forces has a complex effect, which varies depending on the values of the magnetic Prandtl and Taylor numbers. For a majority of cases, the magnetic solution gave stronger convection, but for some values, it became weaker. Differential rotation was actually weaker.
In Ref. [93], the effect of a toroidal magnetic field upon a thin rotating spherical layer of fluid was studied. It turns out that Rossby waves split into fast and slow modes. Waves of the fast (high-frequency) mode correspond to commonly known Rossby waves, whereas the slow mode has new and interesting properties, since its frequency is significantly smaller than those of common Rossby and Alfven waves.
In Ref. [51], the disturbances in a layer of an ideal electrically conductive rotating fluid bounded by surfaces that varied in space and time in the presence of inertial forces were studied. The behavior was modeled by a system of nonlinear partial differential equations, which was then reduced. The study of the scalar equation obtained as a result of reduction can make it possible to establish the solvability of the emerging initial boundary value problems of the theory of waves in electrically conducting rotating fluids. Solutions to the presented scalar equation have been constructed to describe the propagation of small-amplitude waves in an infinitely horizontal layer and in a narrow, long channel.
In Ref. [52], the equations of the three-dimensional dynamics of an ideal electrically conducting stratified rotating fluid were studied. The magnetic and density fields were represented as a superposition of unperturbed fields corresponding to the stationary state of the medium and induced fields due to wave motion. Two auxiliary functions were introduced, and the three-dimensional dynamic equations were reduced to a scalar form. The study of the resulting scalar equation makes it possible to establish the solvability of emerging initial boundary value problems in the theory of waves in electrically conducting rotating fluids with density inhomogeneities.
Electrically conductive ideal fluid of a variable depth was considered in Ref. [94]. Magnetic, Archimedean and Coriolis forces were involved. Large-scale nonlinear oscillations were analyzed. Assuming that the Rossby numbers characterizing global horizontal (advective) and local movements have the same order, the problem is reduced to a system of nonlinear equations describing the hydromagnetic pressure and magnetic field. The assumption is made that the upper boundary surface of the layer has a constant slope in the scale of the wavelength. In this case, nonlinear equations are solved exactly, and the dispersion relation is obtained. These results allow determining the influence of the shape and movements of Earth’s solid core and mantle on the characteristics of the waves in the liquid core. This is also helpful for predicting the processes in the interior of stars.
The motions of a conductive ideal fluid in a spherical equatorial latitude belt were considered in Ref. [95]. Appropriate boundary conditions were written, and the approximation of an equatorial β -plane was used. An analytical solution was obtained for low-amplitude waves.
In Refs. [96,97,98], large-scale nonlinear oscillations of an electrically conducting ideal fluid in a layer of variable depth were considered, taking into account magnetic, Archimedean and Coriolis forces and magnetic field diffusion. For the posed spatial problem, the assumption of a linear distribution of hydromagnetic pressure with a depth was acceptable. The corresponding boundary value problem for the horizontal components of the velocity and magnetic field, as well as the function describing the lower moving surface of the layer, was nonlinear. Using an analysis of the scale of quasi-geostrophic movements, the basic equations were derived. The main characteristics of the movement were presented.
Rotations of a thin layer of plasma with a free boundary on the β plane in astrophysical conditions were considered in Ref. [99]. Shallow water approximation was used. With zero as the external magnetic field, the wave behavior of the plasma was analogous to that of a neutral fluid. Two nonzero cases were considered: the presence of an external vertical magnetic field and a horizontal magnetic field. Qualitative dispersion curves were drawn. These curves show that three-wave nonlinear interactions of the magnetic Rossby waves may occur in both cases. The condition of three-wave interaction between waves with wave numbers k i ( i = 1 , 2 , 3 ) and frequencies ω i in the general case is the synchronism (or phase-matching) condition:
ω ( k 1 ) + ω ( k 2 ) = ω ( k 3 ) , k 1 + k 2 = k 3 .
To find the waves that satisfy the above condition, a simple qualitative visual method was proposed in Ref. [99]. Suppose one wants to know if a wave with a certain wave number k 1 can participate in the three-wave interaction. Then, it is necessary to plot a dispersion curve ω ( k ) and plot its copy shifted by k 1 , ω ( k 1 ) (see Figure 2). If the curves intersect at some point ( k 3 , ω ( k 3 ) ) , then the synchronism condition is satisfied. It was shown that decay instabilities as well as wave amplification exist in both cases. The instability increments and the amplification coefficients are determined.
In Ref. [100], rotating magnetohydrodynamic flows of a thin stratified layer of plasma were studied. Plasma was placed in a gravity field and in an external vertical magnetic field, and it had a free boundary. It was divided into two layers of different densities, and shallow water conditions were applied. Motion equations were derived under beta plane approximation, and a linear theory was presented. Solutions were found in the form of magneto-Rossby waves and corrections to them, describing the effects of stratification. As in Ref. [99], qualitative analysis of the dispersion curves was carried out, and the synchronism condition (Equation (21)) was analyzed.
Astrophysical plasma was the object of study in Ref. [101]. Attention was driven to the large-scale compressibility of the plasma, which is neglected in many approaches. External magnetic fields and Coriolis forces were also taken into account. It was shown that the dispersion laws of magneto-Poincare, magnetostrophic and magneto-Rossby waves are significantly affected by compressibility. The three-wave synchronism conditions and equations were obtained in the weak nonlinearity approximation. The interaction coefficients there depended on the compressibility and thermodynamic characteristics of the plasma.
In Ref. [102], the equations of the three-dimensional dynamics of an ideal electrically conductive stratified rotating fluid were studied. The approach is similar to that in Ref. [52], with representation of fields in the form of a superposition of unperturbed and induced fields and reduction to a scalar form. The purpose is to reduce a nonlinear system of partial differential equations that simulates disturbances in an ideal electrically conducting rotating fluid, taking into account inertial forces, gravity forces and Coriolis, Lorentz and existing density inhomogeneities. The presented research can be used in astrophysics and geophysics, particularly in the study of processes occurring in the liquid core of Earth and in the interior of stars.
In Ref. [103], large-scale nonlinear oscillations of an electrically conductive ideal fluid of a variable depth were considered, taking into account magnetic, Archimedean and Coriolis forces and magnetic field diffusion. The problem under study was presented in three-dimensional form. In this case, the hydromagnetic pressure was approximated as a linear function depending on the depth of the layer. As a result of modeling it this way, the dynamic process under study was a nonlinear boundary value problem for the horizontal components of the velocity and magnetic field, as well as a function describing the lower moving surface of the layer. The basic equations were derived using an analysis of the scale of quasi-geostrophic movements. An assumption was made that the Rossby numbers (which are a measure of the ratio of the local and advective accelerations to the Coriolis acceleration) had the same order. As a result, the problem was transformed into the solution of a system of three nonlinear equations for the hydromagnetic pressure and for two functions describing the magnetic field. In the case of an electrically conductive rotating liquid that is infinitely extended horizontally, under the assumption that the inclination of the surface bounding the layer from above is approximately constant, at a distance of the order of the wavelength, an exact solution to the system of corresponding nonlinear equations and the dispersion relation are obtained. The main characteristics of the dynamic process under study were presented in real form.
Interest in Earth’s core is due to the feature that it has a significant influence on many geophysical phenomena and processes that have occurred and are occurring in Earth, which can also manifest themselves on its surface. In addition, the ideas expressed by Braginsky [46] about the existing stratification of the density of the liquid core of Earth, which in some cases determines its main dynamics as an essential feature or in the evolution of the planet, are of interest for further analytical research.

6. Vortex Motion of Conducting Viscous Fluids in the Presence of a Magnetic Field

The system of equations describing the motion of a viscous, electrically conductive incompressible fluid rotating at an angular velocity of ω in Euler variables has the form
ω 0 × ω 0 × r + 2 ω 0 × v + v t + ( v ) v = 1 ρ P + U + ν Δ v + 1 ρ μ rot B × B , div v = 0 , r Q , B t = rot ( v × B ) + ν m Δ B , div B = 0 , r Q .
It is assumed that the magnetic permeability, μ , and electrical conductivity, σ , are constant.
In Ref. [63], the following model was considered. Incompressible fluid initially rotates as a solid body together with parallel bounding walls with a constant angular velocity. The walls are inclined arbitrarily to the rotation axis. Then, suddenly one of the walls starts having longitudinal vibrations, and a magnetic field normal to the walls appears. In the general case, the solution is presented as a series:
v ^ y , t = t 0 t u t τ v ^ 1 y , τ d τ , v ^ 1 y , t = 1 y l 2 l n = 1 sin λ n y λ n e κ n t cos ω n t κ n + i 2 Ω ω n sin ω n t .
Here, v ^ and v ^ 1 are the vectors obtained from an inverse Laplace transform and
λ n = π n l , κ n = 1 2 λ n 2 ν 2 i ω , ω n 2 = λ n 2 μ ρ B 0 2 1 4 λ n 2 ν 2 i ω ,
where B 0 is the induction of the magnetic field. The vectors of the tangential stresses acting from the liquid on the walls of the slot were presented. A number of special cases of wall motion were considered. Based on the results obtained, individual structures of the boundary layers near the walls were studied.
In Ref. [64], another model was treated. Incompressible fluid initially rotates as a solid body together with a porous wall with a constant angular velocity. The wall was inclined arbitrarily to the rotation axis and performed longitudinal vibrations. The fluid was injected (retracted) through the wall. Then, suddenly a magnetic field normal to the wall appeared. Solutions for the velocity and pressure fields of the fluid were constructed. For the wall oscillating as u ( 0 ) exp ( λ t ) , the liquid velocity is
v ^ ( y , t ) = e λ t u ( 0 ) E 1 + E 2 2 + i u ( 0 ) × e y E 1 E 2 2 ,
where a is the speed of injection (retraction) of the medium such that E j = exp ( χ j y ) , j = 1 , 2 , and
χ 1 , 2 = a 2 ν + B 0 2 μ ρ λ ± a 2 4 ν + B 0 2 μ ρ λ 2 + λ i 2 Ω ν + B 0 2 μ ρ λ , R e χ 1 , 2 0 .
The induced magnetic field in a flow of electrically conductive liquid was also determined.
In Ref. [65], the models from Refs. [63,64] were combined. The two parallel walls were porous, and the flow of liquid traveled through them. The analytical solution is
v ^ ( y , t ) = t 0 t u ( t τ ) v 1 ^ ( y , τ ) d τ , v ^ 1 ( y , t ) = 1 y l + 2 μ n = 1 ( 1 ) n sin λ n ( l y ) n · · 0 t A n p 1 n e p 1 n ( t τ ) + B n p 2 n e p 2 n ( t τ ) + C n p 3 n e p 3 n ( t r ) J 0 2 u 0 2 ν α y r d τ ,
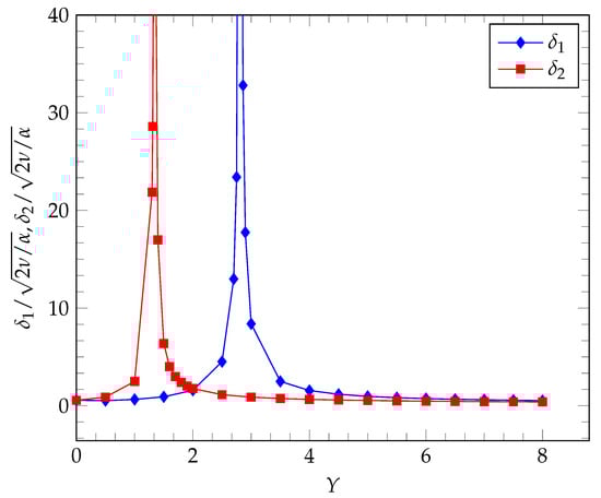
where λ n represent the eigen frequencies as in Equations (6) and (14), y is the ordinate as in Equation (13), l denotes the distance between the walls, u 0 is the velocity of injection (retraction) of the medium through the porous walls, p 1 n , p 2 n and p 3 n are the roots of the special cubic equation, α is the damping coefficient, and A n , B n , C n denote arbitrary constants. The velocity field and tangential stress vectors of a viscous electrically conductive fluid that affect the gap walls were determined. Some special cases of wall motion were considered. For the case of quasi-harmonic vibrations of one of the walls, the solution was presented in the form of a superposition of two plane waves. An analysis of the dependencies of the wave numbers on the frequency of wall oscillations and the fluid injection rate showed that there were special points of the non-stationary problem at which the curves decayed (see Figure 3). In this figure horizontal axis represent the ratio of angular frequency to the damping coefficient Y = ω / α . The vertical axis plots the wave numbers δ responsible for damping and associated with the thickness of boundary layer. The parameter γ = a / ν α represents the dimensionless speed of medium injection.
The same can be seen for the propagation of wave packets (Figure 4). Therefore, the analysis here is complex and ambiguous.
For a wave emitted by an oscillating wall, the singular points were Y = 1 , Y = 4 and a number of points from the interval 1 < Y < 2 , in the vicinity of which the wave number δ 1 suffered a discontinuity. At the same time, the velocity of the wave packet v g 1 broke only at the point Y = 1 . For a stationary wall, the singular point was Y = 1 , at which the wave number δ 2 had a finite jump and tended toward zero with increasing frequency, regardless of the injection speed. Based on the results, the individual structures of the boundary layers adjacent to the walls were studied.
In Ref. [66], a number of special cases of wall motion were analyzed. For the case of damped wall oscillations, the solution was presented in the form of a superposition of two waves propagating along the O Y axis toward each other:
v = A 1 e i k 1 y ω t + A 2 e i k 2 y + ω t , A 1 = 1 2 u ( 0 ) + i u ( 0 ) × e y e α t e y δ 1 , A 2 = 1 2 u ( 0 ) i u ( 0 ) × e y e α t e y δ 2 .
Here, A 1 and A 2 are the vector amplitudes of waves, one of which is emitted by the wall, while the other impinges on the wall from infinity; k 1 and k 2 are the wave numbers of traveling waves; and δ 1 and δ 2 are wave attenuation depths. The dependencies of the numbers δ 1 and δ 2 on Y (frequency ω ) for a fixed s ( s = 2 ) are presented in Figure 5. Analysis of these graphs shows that there are singular points of the non-stationary problem, in the vicinity of which these numbers approach infinity.
In this case, the derivatives d δ 1 / d Y and d δ 2 / d Y suffer a discontinuity of the first kind, and thus the issue of the propagation of wave packets in this medium needs to be studied further.
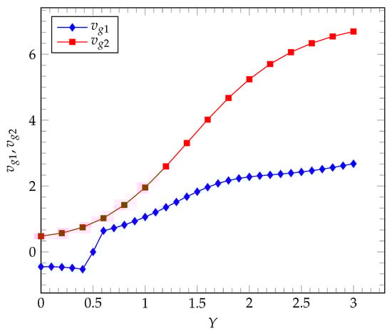
For a wave emitted by an oscillating wall, the singular point was Y = 2.81 , in the vicinity of which the wave number δ 1 underwent a discontinuity and tended toward zero as the frequency increased. At that the velocity of the wave packet v g 1 , as presented in Figure 6, there were two corner points at Y = 0.4 and Y = 0.6 .
The case of resonance ω = 2 Ω (in dimensionless variables Y = S ) was considered. The wave number and the thickness of the boundary layer for a wave emitted by a wall read
k 1 = α 2 ν 1 + 4 S 2 + 5 S 2 1 S 2 + 1 and 1 δ 1 = 2 ν d 1 + 4 S 2 + 5 S 2 1 S 2 + 1 ,
respectively.
In this case, the incident wave has a wave number and boundary layer thickness,
k 2 = α ν · S 2 1 + S 2 and δ 2 = ν α ( 1 + S 2 ) ,
respecyively.
Here, the case of resonance ω = 2 Ω (or in dimensionless variables Y = S ) is considered. The values k 1 and δ 1 correspond to the incident wave, while k 2 and δ 2 describe the wave that is emitted by the wall.
In Ref. [67], the model from Ref. [64] was simplified to using a plain (nonporous) wall which allowed deeper treatment. The full equation of magnetic induction was used (i.e., both the induction effect and energy dissipation due to the electric currents were involved). An analytical solution of three-dimensional unsteady magnetic hydrodynamics was presented.
A number of special cases of wall motion were considered together, with resulting individual structures of boundary layers near the wall. For a certain choice of magnetic induction dependencies of wave numbers k 1 , 2 and δ 1 , 2 on Y have corner points where derivatives do not exist. Figure 7 shows the dependence of the values of the boundary layers δ 1 and δ 2 on Y for the value of γ = 1 . The function δ 1 ( Y ) monotonically increased until Y = 1 and then monotonically decreased, asymptotically approaching the value of 0.2 . The function δ 2 ( Y ) decreased all the way and tended toward the value 0.2 , as well as δ 1 ( Y ) . Both functions had a value of 0.5 and a corner point at Y = 1 .
Figure 8 shows the nature of the dependence of wave packets on Y (frequency ω for fixed s ( s = 2 ) and a parameter value γ = ν / v m = 1 . The velocity of the wave packet v g 1 emitted by the oscillating had intricate behavior. For the argument range 0 < Y < 1 , the velocity decreased monotonically in the negative domain, which indicates anomalous dispersion of the medium. At the singular point Y = 1 , v g 1 jumped from 4.75 to + 2 . Then, at this point, the speed dropped to one and remained almost constant as the frequency increased. The speed v g 2 of the oncoming wave had an even more complex character. In the interval 0 < Y < 1 , there was a special point Y = 0.6 observed where v g 2 suffered an infinite discontinuity, changing from + at 0.6 0 to at 0.6 + 0 . Then, while remaining negative, v g 2 grew to to a value of 4.75 at Y = 1 . This was the second singular point, where it suffered a finite jump, the magnitude of which was 6.75 , and having reached the value of 2, it suffered another jump, dropping to v g 2 = 1 like v g 1 did. This value remained constant as the wall vibration frequency increased.
In general, magnetic field lines are partially carried by the fluid flow and partially diffuse through it. This problem is solved for arbitrary values of the magnetic Reynolds number, and the construction of a mathematical model is based on the complete system of magnetohydrodynamics equations. In this case, inertial forces are taken into account in the equations of motion, which are neglected in known studies using the theory of rapid rotation. In the limiting case of infinitely large values of the magnetic Reynolds number, the results obtained are reduced to those known and obtained earlier.
The study in Ref. [104] involved dynamic processes in a rotating electrically conductive incompressible fluid, taking into account the effects of density inhomogeneity and dissipative effects, namely magnetic field diffusion. For the appropriate mathematical implementation of the dynamic process under study, the equations for the dynamics of spatial wave disturbances in a non-uniform electrically conducting rotating fluid were reduced, taking into account the diffusion of the magnetic field. By introducing auxiliary functions, the system of partial differential equations is reduced to a single scalar partial differential equation. An exact analytical solution therein is constructed. As a result, it was found that if the external magnetic field is parallel to the axis of rotation of the layer, then at finite values of the magnetic Reynolds number, a process of magnetic field decay is observed. At sufficiently large values for the magnetic Reynolds number, the existence of a periodic process is revealed. If the vector of the external magnetic field has only a nonzero normal component at the boundary surface of the liquid, then the existence of a wave regime caused not only by magnetic forces but also by gravitational, Coriolis and corresponding boundary effects is proven. The possibility of the existence of an induced magnetic field over a sufficiently long time period and its existence in the absence of an external background field has also been proven.
The study in Ref. [97] takes into account the diffusion of the magnetic field. For the posed spatial problem, the assumption of a linear distribution of hydromagnetic pressure with depth is acceptable. The corresponding boundary value problem for the horizontal components of the velocity and magnetic field and the function describing the lower moving surface of the layer is nonlinear. Using an analysis of the scale of quasi-geostrophic movements, the basic equations were derived. Similar to that in Ref. [94], assumptions were made about the same order of Rossby numbers and about the approximate constancy of the inclination of the surface bounding the layer from above. Then, it was possible to obtain an exact solution to the system of corresponding nonlinear equations and the dispersion relation. Here, the simplest model of Earth’s liquid core as a horizontally infinite layer of liquid was used. The conducted research can also be useful in the analysis of self-excitation of the MHD dynamo in large masses of liquid metal in technical devices like the sodium coolant of a neutron reactor, blast furnaces and the production of aluminum. are quite important, and sometimes the only research tools.
The goal of Ref. [105] was to reduce a system of partial differential equations that simulates a disturbance in a layer of an ideal electrically conducting rotating fluid, taking into account the diffusion of a magnetic field, and limited by surfaces varying in space and time, taking into account inertial forces. For the equations obtained as a result of reduction, solutions were constructed that described the propagation of small amplitude waves in an infinitely horizontal layer and in a narrow, long channel. This study assumed that the layer boundaries were not constant but were surfaces that varied in space and time; In addition, the equation of motion takes into account inertial forces. For the oscillation frequency, two clearly separated branches were obtained. The first type of oscillation was an inertial wave. The inertia and Coriolis force played a significant role in them. The frequency of inertial waves was real, and these waves were stable. The second type of oscillation was magnetic waves. Their frequency was complex. But due to the finding that the imaginary part of the frequency was negative, the magnetic waves also did not show instability. Thus, the diffusion of the magnetic field contributed to its attenuation, while in the case of a frozen-in field, a process established in time was observed (i.e., the induced magnetic field could exist for an arbitrarily long time). In particular, at a magnetic Reynolds number R m , we obtained the known dispersion relation for the Alfven wave.
The main focus of the following investigations is studying the stability, criteria and possibilities to keep from violating them. The authors of Refs. [106,107,108,109,110] devoted their studies to modeling a non-uniformly rotating cylindrical layer of plasma. The magnetic field was considered axial and uniform, and the other conditions varied (see Figure 9).
In Ref. [106], the stability of convective flow was studied. The viscosity, ohmic and heat-conducting dissipation were accounted for. In the geometric optics approximation, a dispersion equation was obtained for small axisymmetric perturbations. The criteria for stability of the plasma flows were found.
The study in Ref. [107] investigated the behavior of large-scale fields with small-scale turbulence. The Reynolds number was taken as a small parameter in perturbation theory of the third order to obtain nonlinear equations of the magneto-rotation dynamo. The criteria of the onset of a large-scale vortex and magnetic fields, depending on the rotation profile, were established.
The study in Ref. [108] examined the stability of the convective flow. Stationary and oscillatory modes of magnetic convection were considered, depending on the profile of the angular velocity of rotation (Rossby number R o ) of the fluid. A nonlinear dynamic system of Lorentz-type equations for convection was obtained with the help of the Galerkin method [71]. Numerical analysis then revealed the chaotic behavior of the convective flows. The criteria for the occurrence of chaotic motions were found, depending on the parameters of convection and the magnetic field as well as the rotation profiles. Numerical analysis showed the possibility of controlling the chaotic movement of convective flows by changing the parameters of the external magnetic field.
In Ref. [109], the research of convective flow stability was continued. The system was conditioned by two profiles: that of the angular rotation velocity (Rossby number) and that of the external azimuthal magnetic field (magnetic Rossby number). The stationary and oscillatory modes of magnetic convection were considered. The Galerkin method [71] yielded a nonlinear dynamic system of Lorentz-type equations. Futher numerical analysis showed the presence of chaotic behavior for convection. The criteria for the onset of chaotic movements were found.
The objective of Ref. [110] was the motion of electrically conductive nanofluid (fluid with nanoparticles). The geometry and conditions were similar to those in Ref. [109]. The effects of Brownian diffusion and thermophoresis were accounted for. New types of magneto-rotational instability in thin layers of nanofluid were explored. The dependence of these instabilities upon the Rossby number profile and the radial wave number was studied. Stationary modes of convection were considered in the presence of temperature and nanoparticle concentration gradients. The conditions for stabilization and destabilization of stationary convection in axial and spiral magnetic fields were determined.
In Ref. [111], the influence of Hall effects on the stability of the magnetohydrodynamic flow of a plasma was studied in the environment shown in Figure 9. The analysis was performed within the framework of a local approach in the case of finite conductivity of the medium and neglecting the induced magnetic field. The existence of an unstable regime was shown in the case of a weakly conducting medium, where the directions of the angular velocity vectors of the medium Ω and the magnetic field B were opposite.
The investigation in Ref. [112] was devoted to studying the influence of Hall effects and viscosity on the stability of a rotating flow of weakly ionized plasma in the presence of a peripheral velocity shift. The analysis was performed within the framework of a linear approximation based on a system of magnetohydrodynamics equations.
The study in Ref. [113] analyzed the local stability of rotational flows in the presence of a constant vertical magnetic field and an azimuthal magnetic field with a common radial dependence. Figure 10 shows the radial dependence of the velocities of ions (denoted 1) and electrons (denoted 2) for a plasma density of around 10 17 10 18 m−3.
One can conclude from the graphs that the values of the angular speeds Ω 1 of ions and Ω 2 of electrons did not depend on changes in the plasma concentration over such a change interval. It is shown that with unidirectional vectors Ω 1 and B , instability could be observed only with a significant shift in the parameter of the angular velocity, while in the opposite case, it developed at significantly smaller shifts. Using the short wavelength approximation, a unified framework was developed to study the standard, spiral and azimuthal versions of the magnetorotational instability (MRI), as well as current-induced kink-type instabilities. Several interesting results were then obtained in this framework.

7. Conclusions

In this review, the studies presenting analytical solutions to the problem of movement of a body containing liquid were considered. The problem set was roughly split into domains of ideal and viscous liquids and also into domains of isolating (i.e., not affected by electromagnetic fields) and conductive fluids, including plasma. Most of the presented investigations studied stationary movements, as few were trying to explore non-stationary processes. Fluid mechanics is an essentially nonlinear science, since nontrivial linear motions simply do not exist for most cases of interest, or linearization imposes too strict of limitations which render the model practically useless. For this reason, direct experimentation or numerical simulations always played a greater role, especially with the overwhelming growth of calculation power in the last few decades. However, analytical solutions remain essential for identifying the causes and mechanisms of complex processes for radically simplifying numerical calculations and as standards for verifying the correctness of direct numerical modeling. Accordingly, further development of analytical approaches stays relevant.

Author Contributions

Conceptualization, A.A.G. and I.A.M.; writing—original draft preparation, A.A.G.; writing—review and editing, I.A.M.; visualization, A.A.G. and I.A.M. All authors have read and agreed to the published version of the manuscript.

Funding

This research received no external funding.

Conflicts of Interest

The authors declare no conflicts of interest.

References

  1. Verin, O.G. Soliton and Physics; SciTecLibrary: Moscow, USSR, 2012; Available online: http://www.sciteclibrary.ru/rus/catalog/pages/12297.html (accessed on 7 February 2024). (In Russian)
  2. Abrashkin, A.A.; Zen’kovich, D.; Yakubovich, E.I. Studying three-dimensional vortex flows on the basis of matrix equations of hydrodynamics. Phys. Dokl. 1997, 42, 687–690. [Google Scholar]
  3. Lavrentiev, M.A.; Shabat, B.V. Hydrodynamics Problems and Their Matematical Models; Nauka: Moscow, Russia, 1977. (In Russian) [Google Scholar]
  4. Belotserkovskii, O.M.; Gushchin, V.A.; Shchennikov, V.V. Use of the splitting method to solve problems of the dynamics of a viscous incompressible fluid. USSR Comput. Math. Math. Phys. 1975, 15, 190–200. [Google Scholar] [CrossRef]
  5. Sretensky, L.N. Theory of Wave Motions of Fluid; Nauka: Moscow, USSR, 1977. (In Russian) [Google Scholar]
  6. Goldshtik, M.A. Viscous-flow paradoxes. Annu. Rev. Fluid Mech. 1990, 22, 441–472. [Google Scholar] [CrossRef]
  7. Cherny, S.G.; Chirkov, D.V.; Lapin, V.N.; Skorospelov, V.A.; Sharov, S.V. Numerical Simullation of Fluid Flows in Turbomachines; Nauka: Novosibirsk, Russia, 2006. (In Russian) [Google Scholar]
  8. Moiseev, N.N. Asymptotic Methods of Nonlinear Mechanics; Nauka: Moscow, USSR, 1969. (In Russian) [Google Scholar]
  9. Belen’kji, S.Z.; Landau, L.D. Hydrodynamic theory of multiple production of particles. Nuovo Cim. (1955–1965) 1956, 3, 15–31. [Google Scholar] [CrossRef]
  10. Sobolev, S.L. On a new problem of mathematical physics. In Selected Works of S.L. Sobolev: Volume I: Mathematical Physics, Computational Mathematics, and Cubature Formulas; Demidenko, G.V., Vaskevich, V.L., Eds.; Springer Science+Business Media, LLC: New York, NY, USA, 2006; pp. 279–332. [Google Scholar] [CrossRef]
  11. Aleksandryan, R.A. Spectral properties of operators arising from systems of differential equations of Sobolev type. Trudy Mosk. Mat. Obsh. [Proc. Moscow Math. Soc.] 1960, 9, 455–505. Available online: https://www.mathnet.ru/php/archive.phtml?wshow=paper&jrnid=mmo&paperid=111&option_lang=eng (accessed on 7 February 2024). (In Russian).
  12. Maslennikova, V.N.; Giniatullin, A.I. Spectral properties of operators for the systems of hydrodynamics of a rotating liquid and nonuniqueness of the limit amplitude. Sib. Math. J. 1988, 29, 812–824. [Google Scholar] [CrossRef]
  13. Maslov, V.P. On the existence of a solution, decreasing as t, of Sobolev’s equation for small oscillations of a rotating fluid in a cylindrical domain. Sib. Math. J. 1968, 9, 1013–1020. [Google Scholar] [CrossRef]
  14. Gabov, S.A. On the spectrum of a problem of S.L. Sobolev. Sov. Math. Dokl. 1980, 22, 104–107. [Google Scholar]
  15. Gabov, S.A. On the spectrum and bases of eigenfunctions of a problem connected with oscillations of a rotating fluid. Math. USSR Sb. 1983, 44, 219–226. [Google Scholar] [CrossRef]
  16. Gabov, S.A. On an abstract Cauchy problem that arises in the theory of internal waves in the presence of flotation. Dokl. Math. 1990, 41, 50–53. (In Russian) [Google Scholar]
  17. Moiseev, N.N. The motion of a rigid body having a cavity partially filled with ideal dropping liquid. Dokl. Akad. Nauk SSSR [Proc. USSR Acad. Sci.] 1952, 85, 719–722. (In Russian) [Google Scholar]
  18. Moiseev, N.N. The problem of small oscillations of an open vessel with a liquid under the action of elastic force. Ukr. Mat. Zh. [Ukr, Math. J.] 1952, 2, 24. (In Russian) [Google Scholar]
  19. Moiseev, N.N. On oscillations of a heavy ideal and incompressible fluid in a vessel. Dokl. Akad. Nauk SSSR [Proc. USSR Acad. Sci.] 1952, 85, 963–965. (In Russian) [Google Scholar]
  20. Moiseev, N.N. The problem of the motion of a rigid body containing a liquid mass having a free surface. Mat. Sb. Nov. Ser. [Math. Coll. New Ser.] 1953, 32, 61–96. (In Russian) [Google Scholar]
  21. Moiseyev, N.N. Boundary problems for linearized Navier-Stokes equations when the viscosity is small. USSR Comput. Math. Math. Phys. 1962, 1, 628–632. [Google Scholar] [CrossRef]
  22. Moiseev, N.N. On mathematical methods for studying nonlinear fluid oscillations. In Proceedings of the International Symposium on Nonlinear Oscillations, Kiev, USSR, 12–18 September 1961; Volume 3: Applications of Nonlinear Oscillation Methods to Problems in Physics and Engineering; Publishing House of Academy of Sciences of the Ukrainian SSR: Kiev, USSR, 1963; pp. 275–285. (In Russian) [Google Scholar]
  23. Poincare, H. New Methods of Celestial Mechanics. 3. Integral Invariants and Asymptotic Properties of Certain Solutions; Goroff, D.L., Ed.; American Institute of Physics: Melville, NY, USA, 1992. [Google Scholar]
  24. Chernousko, F.L.; Akulenko, L.D.; Leshchenko, D.D. Evolution of Motions of a Rigid Body About its Center of Mass; Springer International Publishing AG: Cham, Switzerland, 2017. [Google Scholar] [CrossRef]
  25. Gryanik, V.M.; Dobritsin, A.A. Localized vortices in the field of a Rossby wave. Izv. Fiz. Atmos. Okeana. [Russ. Acad. Sci. Bull. Atmosph. Ocean. Phys.] 1993, 29, 328–331. (In Russian) [Google Scholar]
  26. Dotsenko, S.F.; Savos’kin, V.M. The generation of plane internal and gyroscopic waves by moving unsteady disturbances. Phys. Oceanogr. 1993, 4, 349–356. [Google Scholar] [CrossRef]
  27. Cherkesov, L.V.; Ivanov, V.A.; Khartiev, S.N. Introduction to Hydrodynamics and Wave Theory; Gidrometeoizdat: St. Petersburg, Russia, 1992. (In Russian) [Google Scholar]
  28. Greenspan, H.P. The Theory of Rotating Fluids; Cambridge University Press: Cambridge, UK, 1968; Available online: https://www.scribd.com/doc/224492909/Greenspan-Theory-of-Rotating-Fluids (accessed on 7 February 2024).
  29. Greenspan, H.P.; Howard, L.N. On a time-dependent motion of a rotating fluid. J. Fluid Mech. 1963, 17, 385–404. [Google Scholar] [CrossRef]
  30. Stewartson, K. On the stability of a spinning top containing liquid. J. Fluid Mech. 1959, 5, 577–592. [Google Scholar] [CrossRef]
  31. Stewartson, K.; Roberts, P.H. On the motion of liquid in a spheroidal cavity of a precessing rigid body. J. Fluid Mech. 1963, 17, 1–20. [Google Scholar] [CrossRef]
  32. Kholodova, S.E.; Peregudin, S.I. Modeling and Analysis of Flows and Waves in Liquid and Granular Media; St. Petersburg State University Press: St. Petersburg, Russia, 2009. (In Russian) [Google Scholar]
  33. Kholodova, S.E. Wave motions in a compressible stratified rotating fluid. Comput. Math. Math. Phys. 2007, 47, 2014–2022. [Google Scholar] [CrossRef]
  34. Chesnokov, A.A. Symmetries and exact solutions of the rotating shallow-water equations. Eur. J. Appl. Math. 2009, 20, 461–477. [Google Scholar] [CrossRef]
  35. Chesnokov, A.A.; Liapidevskii, V.Y. Wave motion of an ideal fluid in a narrow open channel. J. Appl. Mech. Tech. Phys. 2009, 50, 220–228. [Google Scholar] [CrossRef]
  36. Chefranov, S.G.; Chefranov, A.G. Dissipative soliton vortices and tropical cyclones. J. Exp. Theor. Phys. 2017, 125, 714–717. [Google Scholar] [CrossRef]
  37. Gurchenkov, A.A. Initial-boundary problem for the equations of the dynamics of a rotating fluid. Eng. J. Sci. Innov. 2013, 14, 39–49. Available online: https://engjournal.ru/catalog/appmath/hidden/603.html (accessed on 7 February 2024).
  38. Gurchenkov, A.A. Stability of a fluid-filled gyroscope. J. Eng. Phys. Thermophys. 2002, 75, 554–560. [Google Scholar] [CrossRef]
  39. Yalamov, Y.I.; Gurchenkov, A.A. Energy dissipation in a vibrating structurally heterogeneous cavity filled with a viscous liquid. Dokl. Phys. 2002, 47, 102–105. [Google Scholar] [CrossRef]
  40. Gurchenkov, A.A.; Esenkov, A.S.; Tsurkov, V.I. Motion control of a rotor with a cavity with a viscous fluid. Automat. Rem. Contr. 2007, 68, 284–295. [Google Scholar] [CrossRef]
  41. Gurchenkov, A.A. Unsteady boundary layers on the porous plates in a rotating slot with injection and suction. Comput. Math. Math. Phys. 2001, 41, 413–419. [Google Scholar]
  42. Bashlykov, A.M.; Gridina, E.D.; Gurchenkov, A.A. Oscillation of a rotating body containing a liquid with a free surface. Comput. Math. Math. Phys. 2002, 42, 97–101. [Google Scholar]
  43. Gurchenkov, A.A. Dynamics of a Swirling Fluid in the Cavity of a Rotating Body; Fizmatlit: Moscow, Russia, 2010. (In Russian) [Google Scholar]
  44. Gurchenkov, A.A.; Nosov, M.V.; Tsurkov, V.I. Control of Fluid-Containing Rotating Rigid Bodies; CRC Press/Taylor & Francis Group: London, UK, 2013. [Google Scholar] [CrossRef]
  45. Larmor, J. 17. How could a rotating body such as the Sun become a magnet? In A Source Book in Astronomy and Astrophysics, 1900–1975; Lang, K.R., Gingerich, O., Eds.; Harvard University Press: Cambridge, MA, USA, 1979; pp. 106–107. [Google Scholar] [CrossRef]
  46. Braginsky, S.I. Magnetohydrodynamics of the Earth’s core. Geomagn. Aeron. 1964, 4, 898–916. (In Russian) [Google Scholar]
  47. Braginsky, S.I. Waves in a stably stratified layer on the surface of the Earth’s core. Geomagn. Aeron. 1987, 27, 476–482. (In Russian) [Google Scholar]
  48. Braginsky, S.I.; Roberts, P.H. A model-Z geodynamo. Geophys. Astrophys. Fluid Dyn. 1987, 38, 327–349. [Google Scholar] [CrossRef]
  49. Braginsky, S.I. Magnetohydrodynamic waves within the earth. In Encyclopedia of Solid Earth. Geophysics; James, E.D., Ed.; Springer: New York, NY, USA, 1990; pp. 733–740. [Google Scholar] [CrossRef]
  50. Braginsky, S.I.; Roberts, P.H. Equations governing convection in Earth’s core and the geodynamo. Geophys. Astrophys. Fluid Dyn. 1995, 79, 1–97. [Google Scholar] [CrossRef]
  51. Kholodova, S.E. Dynamics of a rotating layer of an ideal electrically conducting incompressible fluid. Comput. Math. Math. Phys. 2008, 48, 834–849. [Google Scholar] [CrossRef]
  52. Peregudin, S.I.; Kholodova, S.E. Dynamics of a rotating layer of an ideal electrically conducting incompressible inhomogeneous fluid in an equatorial region. Comput. Math. Math. Phys. 2010, 50, 1871–1885. [Google Scholar] [CrossRef]
  53. Kurkina, O.; Kurkin, A.; Pelinovsky, E.; Stepanyants, Y.; Talipova, T. Nonlinear models of finite amplitude interfacial waves in shallow two-layer fluid. In Applied Wave Mathematics II: Selected Topics in Solids, Fluids, and Mathematical Methods and Complexity; Berezovsky, A., Soomere, T., Eds.; Springer Nature Switzerland AG: Cham, Switzerland, 2019; pp. 61–87. [Google Scholar] [CrossRef]
  54. Zakharov, V.E. Exact solutions to the problem of the parametric interaction of three-dimensional wave packets. Sov. Phys. Dokl. 1976, 21, 322–323. [Google Scholar]
  55. Zakharov, V.E.; Kuznetsov, E.A. Hamiltonian formalism for nonlinear waves. Phys. Usp. 1997, 40, 1087–1116. [Google Scholar] [CrossRef]
  56. Kaup, D.J.; Reiman, A.; Bers, A. Space-time evolution of nonlinear three-wave interactions. I. Interaction in a homogeneous medium. Rev. Mod. Phys. 1979, 51, 275–309. [Google Scholar] [CrossRef]
  57. Zakharov, V.E. Weak turbulence in media with a decay spectrum. J. Appl. Mech. Tech. Phys. 1965, 6, 22–24. [Google Scholar] [CrossRef]
  58. Lee, Y.-N.; Ray, B.; Marchand, P.; Hennebelle, P. Protoplanetary disk size under nonideal magnetohydrodynamics: A general formalism with inclined magnetic field. Astrophys. J. Lett. 2024, 961, L28. [Google Scholar] [CrossRef]
  59. Chanson, H. Applied Hydrodynamics: An Introduction to Ideal and Real Fluid Flows; CRC Press/Taylor & Francis Group: London, UK, 2009. [Google Scholar] [CrossRef]
  60. Kundu, P.K.; Cohen, I.M.; Dowling, D.R. Fluid Mechanics; Academic Press/Elsevier Inc.: San Diego, CA, USA, 2016. [Google Scholar] [CrossRef]
  61. Sun, X.; Xia, G.; You, W.; Jia, X.; Manickam, S.; Tao, Y.; Zhao, S.; Yoon, Y.Y.; Xuan, X. Effect of the arrangement of cavitation generation unit on the performance of an advanced rotational hydrodynamic cavitation reactor. Ultrason. Sonochem. 2023, 99, 106544. [Google Scholar] [CrossRef] [PubMed]
  62. Stanyukovich, K.P. Unsteady Motion of Continuous Media; Pergamon Press Ltd.: New York, NY, USA, 1960. [Google Scholar] [CrossRef]
  63. Gurchenkov, A.A. Unsteady motion of a viscous conducting fluid between rotating parallel walls in a transverse magnetic field. Fluid Dyn. 2019, 54, 1043–1050. [Google Scholar] [CrossRef]
  64. Gurchenkov, A.A. Unsteady motion of viscous electrically conductive fluid rotating in half-space bounded by a wall in the presence of medium injection (suction). Herald Bauman Moscow State Tech. Univ. Ser. Mech. Engin. 2020, 1, 107–118. [Google Scholar] [CrossRef]
  65. Gurchenkov, A.A. Unsteady flow of a viscous electrically conductive fluid between rotating parallel walls with blowing (suction) of the medium and a magnetic field. Fluid Dyn. 2020, 55, 982–991. [Google Scholar] [CrossRef]
  66. Gurchenkov, A.A. Nonstationary flow of a viscous incompressible electrically conductive fluid on a rotating plate. Fluid Dyn. 2021, 56, 943–953. [Google Scholar] [CrossRef]
  67. Gurchenkov, A.A. Evolution of viscous electrically conducting fluid flow on a rotating wall in the presence of a magnetic field with account for the induction and diffusion effects. Fluid Dyn. 2023, 58, 176–188. [Google Scholar] [CrossRef]
  68. Glatzmaier, G.A.; Coe, R.S.; Hongre, L.; Roberts, P.H. The role of the Earth’s mantle in controlling the frequency of geomagnetic reversals. Nature 1999, 401, 885–890. [Google Scholar] [CrossRef]
  69. Gurchenkov, A.A.; Korneyev, V.V.; Nosov, M.V. The dynamics of the weakly perturbed motion of a liquid-filled gyroscope and the control problem. J. Appl. Math. Mech. 2008, 72, 653–659. [Google Scholar] [CrossRef]
  70. Gurchenkov, A.A.; Esenkov, A.S.; Tsurkov, V.I. A control for a rotor with a cavity containing an ideal liquid. I. J. Comput. Syst. Sci. Int. 2006, 45, 136–143. [Google Scholar] [CrossRef]
  71. Galerkin, B.G. Rods and plates: Series in some questions of elastic equilibrium of rods and plates. Vestnik Inzh. Tekhn. [Bull. Engin. Technol.] 1915, 19, 897–907. (In Russian) English Translation: 63-18925; Clearinghouse Fed. Sci. Tech. Inform.: Spriengfield, VA, USA, 1963 [Google Scholar]
  72. Kamke, E. Differentialgleichungen Loösungsmethoden und Lösungen. Band 1. Gewöhnliche Differentialgleichungen; Chelsea Publishing Company: New York, NY, USA, 1959. [Google Scholar]
  73. Sullivan, R.D. A Two-cell vortex solution of the Navier-Stokes equations. J. Aerosp. Sci. 1959, 26, 767–768. [Google Scholar] [CrossRef]
  74. Thornley, C. On stokes and Rayleigh layers in a rotating system. Quart. J. Mech. Appl. Math. 1968, 21, 451–461. [Google Scholar] [CrossRef]
  75. Ishlinskii, A.Y. Mechanics of Gyroscopic Systems; Israel Program for Scientific Translations Ltd.: Jerusalem, Israel, 1965; Available online: http://archive.org/details/ishlinskii-mechanics-of-gyroscopic-systems/ (accessed on 7 February 2024).
  76. Chernous’ko, P.L. Motion of a solid body with a cavity containing an ideal fluid and an air bubble. J. Appl. Math. Mech. 1964, 28, 896–907. [Google Scholar] [CrossRef]
  77. Moiseev, N.N.; Rumyantsev, V.V. Dynamic Stability of Bodies Containing Fluid; Springer: New York, NY, USA, 1968. [Google Scholar] [CrossRef]
  78. Landau, L.D.; Lifshitz, E.M. Fluid Mechanics; Pergamon Press pic/Elsevier Ltd.: Oxford, UK, 1987. [Google Scholar] [CrossRef]
  79. Wang, C.Y. Starting flow in a rotating parallel plate channel. Acta Mech. Sin. 2012, 28, 1271–1276. [Google Scholar] [CrossRef]
  80. Bogoryad, I.B.; Lavrova, N.P. Mathematical modeling of motion of a fluid partially filling a rotating cylinder with radially aligned edges. J. Appl. Mech. Tech. Phys. 2011, 52, 585–589. [Google Scholar] [CrossRef]
  81. Vaskin, V.V.; Lebedev, V.G.; Ivanova, T.B.; Bovin, V.P. Exact solutions for incompressible viscous fluid: Basis expansion. Tech. Phys. 2022, 67, 618–623. [Google Scholar] [CrossRef]
  82. Zhang, K.-K.; Busse, F.H. On the onset of convection in rotating spherical shells. Geophys. Astrophys. Fluid Dyn. 1987, 39, 119–147. [Google Scholar] [CrossRef]
  83. Zhang, K.K.; Busse, F.H. Finite amplitude convection and magnetic field generation in a rotating spherical shell. Geophys. Astrophys. Fluid Dyn. 1988, 44, 33–53. [Google Scholar] [CrossRef]
  84. Temnov, A.N.; Yan, N.O. On the stability of stationary rotation of a solid body with a cavity containing cryogenic liquid. Trudy MAI [Proc. MAI] 2023, 13, 1–31. (In Russian) [Google Scholar]
  85. Sokol-Kutylovsky, O.L. Generation of magnetic field in the rotating metallic conductor. Int. Res. J. 2016, 45, 41–43. (In Russian) [Google Scholar] [CrossRef]
  86. Busse, F.; Dormy, E.; Simitev, R.; Soward, A.M. Dynamics of rotating fluids. In Mathematical Aspects of Natural Dynamos.; Dormy, E., Soward, A.M., Eds.; CRC Press/Taylor & Francis Group: New York, NY, USA, 2007; Chapter 3. [Google Scholar] [CrossRef]
  87. Dynamics of rotating fluids. In Fluid Dynamics for Global Environmental Studies; Springer Japan KK: Tokyo, Japan, 2017; pp. 223–262. [CrossRef]
  88. Mizonova, V.G.; Bespalov, P.A. The influence of small variations of plasma density on conditions of propagation of electromagnetic waves of the whistle range through the morning ionosphere. Cosm. Res. 2023, 61, 91–101. [Google Scholar] [CrossRef]
  89. Velikhov, E.P.; Ilgisonis, V.I. Prospects of thermonuclear researches. Vestnik Ross. Akad. Nauk [Herald Russ. Acad. Sci.] 2021, 91, 470–478. (In Russian) [Google Scholar] [CrossRef]
  90. Galanin, M.P.; Rodin, A.S. Mathematical modeling of the MHD pump in view of the external circuit. Math. Models Comput. Simul. 2012, 4, 419–430. [Google Scholar] [CrossRef]
  91. Roberts, P.H.; Soward, A.M. Magnetohydrodynamics of the Earth’s core. Annu. Rev. Fluid Mech. 1972, 4, 117–154. [Google Scholar] [CrossRef]
  92. Zhang, K.K.; Busse, F.H. Convection driven magnetohydrodynamic dynamos in rotating spherical shells. Geophys. Astrophys. Fluid Dyn. 1989, 49, 97–116. [Google Scholar] [CrossRef]
  93. Zaqarashvili, T.V.; Oliver, R.; Ballester, J.L.; Shergelashvili, B.M. Rossby waves in “shallow water” magnetohydrodynamics. Astron. Astrophys. 2007, 470, 815–820. [Google Scholar] [CrossRef]
  94. Kholodova, S.E. Quasi-geostrophic motions in a rotating layer of an electrically conducting fluid. J. Appl. Mech. Tech. Phys. 2009, 50, 25–34. [Google Scholar] [CrossRef]
  95. Peregudin, S.I.; Kholodova, S.E. Specific features of propagation of unsteady waves in a rotating spherical layer of an ideal incompressible stratified electroconducting fluid in the equatorial latitude belt. J. Appl. Mech. Tech. Phys. 2011, 52, 193–199. [Google Scholar] [CrossRef]
  96. Peregudin, S.I.; Peregudina, E.S.; Kholodova, S.E. Distribution of MHD waves in the equatorial region. In Proceedings of the XIII All-Russian Conference on Applied Technologies of Hydroacoustics and Hydrophysics, St. Petersburg, Russia, 24–26 May 2016; Belov, B.P., Rodionov, A.A., Smirnov, S.A., Legusha, F.F., Eds.; St. Petersburg, Russia, 2016. pp. 253–254. (In Russian).
  97. Peregudin, S.I.; Peregudina, E.S.; Kholodova, S.E. Mathematical Modeling of the dynamics of a rotating layer of an electrically conducting fluid with magnetic field diffusion effects. In Processes in GeoMedia—Volume II; Chaplina, T., Ed.; Springer Nature Switzerland AG: Cham, Switzerland, 2021; pp. 377–387. [Google Scholar] [CrossRef]
  98. Kazankov, V.K.; Peregudin, S.I.; Kholodova, S.E. Mathematical modeling of geophysical processes in a layer of electrically conductive liquid of variable depth. In Processes in GeoMedia—Volume VI; Chaplina, T., Ed.; Springer Nature Switzerland AG: Cham, Switzerland, 2023; pp. 331–341. [Google Scholar] [CrossRef]
  99. Klimachkov, D.A.; Petrosyan, A.S. Rossby waves in the magnetic fluid dynamics of a rotating plasma in the shallow-water approximation. J. Exp. Theor. Phys. 2017, 125, 597–612. [Google Scholar] [CrossRef]
  100. Fedotova, M.A.; Klimachkov, D.A.; Petrosyan, A.S. The shallow-water magnetohydrodynamic theory of stratified rotating astrophysical plasma flows: Beta-plane approximation and magnetic rossby waves. Plasma Phys. Rep. 2020, 46, 50–64. [Google Scholar] [CrossRef]
  101. Klimachkov, D.A.; Petrosyan, A.S. Large-scale compressibility in rotating flows of astrophysical plasma in the shallow water approximation. J. Exp. Theor. Phys. 2018, 127, 1136–1152. [Google Scholar] [CrossRef]
  102. Kholodova, S.E. Wave motions in a stratified electrically conducting rotating fluid. Comput. Math. Math. Phys. 2009, 49, 881–886. [Google Scholar] [CrossRef]
  103. Peregudin, S.I.; Peregudina, E.S.; Kholodova, S.E. Influence of magnetic field dynamics on waves of finite amplitude. In Proceedings of the XIV All-Russian Confeence on Applied Technologies of Hydroacoustics and Hydrophysics, St. Petersburg, Russia, 23–25 May 2018; Belov, B.P., Rodionov, A.A., Smirnov, S.A., Legusha, F.F., Eds.; Russian Academy of Sciences: St. Petersburg, Russia, 2018; pp. 211–212. Available online: https://vvbulatov.ru/files/conf1802.PDF (accessed on 7 December 2023). (In Russian)
  104. Peregudin, S.; Peregudina, E.; Kholodova, S. On integration of the system of MHD equations modeling wave processes in a rotating liquid with arbitrary magnetic Reynolds number. J. Phys. Conf. Ser. 2019, 1268, 012055. [Google Scholar] [CrossRef]
  105. Peregudin, S.; Kholodova, S. Reduction in dynamics modeling of a rotating layer of an electrically conductive incompressible fluid, taking into account the effects of magnetic field diffusion. In Proceedings of the International Conferemce on Mathematical and Informational Technologies: MIT-2013, Budva, Montenegro, 9–14 September 2013; pp. 1–8. [Google Scholar]
  106. Kopp, M.I. On the theory of stability of a rotating plasma with a constant temperature gradient. Molod. Uch. [Young Sci.] 2015, 103, 34–40. Available online: https://moluch.ru./archive/103/24082/ (accessed on 7 February 2024). (In Russian).
  107. Kopp, M.I. Large-scale magneto-rotary dynamo. I. Linear theory without external magnetic field. Alman. Sovr. Nauki Obr. [Alman. Mod. Sci. Educ.] 2016, 4, 59–73. Available online: https://www.gramota.net/eng/materials/1/2016/4/14.html (accessed on 7 February 2024). (In Russian).
  108. Kopp, M.I.; Tur, A.V.; Yanovsky, V.V. Magnetic convection in a nonuniformly rotating electroconducting medium under the action of external magnetic field modulation. J. Exp. Theor. Phys. 2020, 130, 759–782. [Google Scholar] [CrossRef]
  109. Kopp, M.I.; Tur, A.V.; Yanovsky, V.V. Magnetic convection in a nonuniformly rotating electrically conductive medium in an external spiral magnetic field. Fluid Dyn. Res. 2021, 53, 015509. [Google Scholar] [CrossRef]
  110. Kopp, M.I.; Tur, A.V.; Yanovsky, V.V. Hydromagnetic instabilities in a nonuniformly rotating layer of an electrically conducting nanofluid. J. Exp. Theor. Phys. 2021, 132, 960–984. [Google Scholar] [CrossRef]
  111. Gorshunov, N.M.; Potanin, E.P. Influence of the Hall effects on stability of rotating plasma. Usp. Prikl. Fiz. [Adv. Appl. Phys.] 2013, 1, 178–182. Available online: https://advance.orion-ir.ru/UPF-13/2/UPF-1-2-178.htm (accessed on 7 February 2024). (In Russian).
  112. Gorshunov, N.M.; Potanin, E.P. Boundary of stability of rotating plasma in magnetic field. Usp. Prikl. Fiz. [Adv. Appl. Phys.] 2014, 2, 18–23. Available online: https://advance.orion-ir.ru/UPF-14/1/1-r.htm (accessed on 7 February 2024). (In Russian).
  113. Kirillov, O.N.; Stefani, F.; Fukumoto, Y. Local instabilities in magnetized rotational flows: A short-wavelength approach. J. Fluid Mech. 2014, 760, 591–633. [Google Scholar] [CrossRef][Green Version]
  114. Gorshunov, N.; Potanin, E. Stability of rotation of a conducting medium in a system with the crossed E × B fields. Persp. Mater. [Adv. Mater.] 2013, 9, 30–36. Available online: https://www.j-pm.ru/kopiya-2013-8 (accessed on 7 February 2024). (In Russian).
Figure 1. Rotating bodies with liquid in cavity (D) completely (a) and partially (b) filled; in the latter case, free surface Σ appears.
Figure 1. Rotating bodies with liquid in cavity (D) completely (a) and partially (b) filled; in the latter case, free surface Σ appears.
Physics 06 00029 g001
Figure 2. Synchronism condition [99]. See text for details.
Figure 2. Synchronism condition [99]. See text for details.
Physics 06 00029 g002
Figure 3. Dependence of wave numbers δ 1 and δ 2 on Y = ω / α for different values of the parameter γ (injection speed) [65]. See text for details.
Figure 3. Dependence of wave numbers δ 1 and δ 2 on Y = ω / α for different values of the parameter γ (injection speed) [65]. See text for details.
Physics 06 00029 g003
Figure 4. Dependence of wave packet velocities v g 1 and v g 2 on Y for different γ [65].
Figure 4. Dependence of wave packet velocities v g 1 and v g 2 on Y for different γ [65].
Physics 06 00029 g004
Figure 5. Dependencies of δ 1 and δ 2 on Y for s = 2 [66]. See text for details.
Figure 5. Dependencies of δ 1 and δ 2 on Y for s = 2 [66]. See text for details.
Physics 06 00029 g005
Figure 6. Velocities of the wave packets v g 1 and v g 2 [66].
Figure 6. Velocities of the wave packets v g 1 and v g 2 [66].
Physics 06 00029 g006
Figure 7. Dependencies δ 1 ( Y ) and δ 2 ( Y ) [67].
Figure 7. Dependencies δ 1 ( Y ) and δ 2 ( Y ) [67].
Physics 06 00029 g007
Figure 8. Dependencies v g 1 ( Y ) and v g 2 ( Y ) [67].
Figure 8. Dependencies v g 1 ( Y ) and v g 2 ( Y ) [67].
Physics 06 00029 g008
Figure 9. An electrically conductive nanofluid fills a layer between two rotating cylinders with angular velocities Ω 1 and Ω 2 and is located in a spiral magnetic field. The lower surface of the layer has a temperature of T 1 , the upper surface has a temperature of T 2 , and T 1 > T 2 .
Figure 9. An electrically conductive nanofluid fills a layer between two rotating cylinders with angular velocities Ω 1 and Ω 2 and is located in a spiral magnetic field. The lower surface of the layer has a temperature of T 1 , the upper surface has a temperature of T 2 , and T 1 > T 2 .
Physics 06 00029 g009
Figure 10. Radial dependence of velocities of ions (1) and electrons (2) [114]. See text for details.
Figure 10. Radial dependence of velocities of ions (1) and electrons (2) [114]. See text for details.
Physics 06 00029 g010
Disclaimer/Publisher’s Note: The statements, opinions and data contained in all publications are solely those of the individual author(s) and contributor(s) and not of MDPI and/or the editor(s). MDPI and/or the editor(s) disclaim responsibility for any injury to people or property resulting from any ideas, methods, instructions or products referred to in the content.

Share and Cite

MDPI and ACS Style

Gurchenkov, A.A.; Matveev, I.A. Dynamics of Fluids in the Cavity of a Rotating Body: A Review of Analytical Solutions. Physics 2024, 6, 426-455. https://doi.org/10.3390/physics6010029

AMA Style

Gurchenkov AA, Matveev IA. Dynamics of Fluids in the Cavity of a Rotating Body: A Review of Analytical Solutions. Physics. 2024; 6(1):426-455. https://doi.org/10.3390/physics6010029

Chicago/Turabian Style

Gurchenkov, Anatoly A., and Ivan A. Matveev. 2024. "Dynamics of Fluids in the Cavity of a Rotating Body: A Review of Analytical Solutions" Physics 6, no. 1: 426-455. https://doi.org/10.3390/physics6010029

APA Style

Gurchenkov, A. A., & Matveev, I. A. (2024). Dynamics of Fluids in the Cavity of a Rotating Body: A Review of Analytical Solutions. Physics, 6(1), 426-455. https://doi.org/10.3390/physics6010029

Article Metrics

Back to TopTop