Determining Pitch-Angle Diffusion Coefficients for Electrons in Whistler Turbulence
Abstract
1. Introduction
2. Theory
2.1. Turbulence Theory
2.2. Subluminal Parallel Waves in Cold Plasmas
2.2.1. Left-Handed Modes
2.2.2. Right-Handed Modes
2.3. Particle Transport
2.3.1. Interactions in the Whistler Regime
2.3.2. Alfvén and Whistler Contributions
2.3.3. Electrons
- (1)
- backward-moving right-handed polarized Alfvén waves for all pitch-angle cosines with and ;
- (2)
- backward-moving left-handed polarized Alfvén waves for all pitch-angle cosines with ; and
- (3)
- forward-moving right-handed polarized Alfvén waves for all pitch-angle cosines with and ;
- (4)
- forward-moving left-handed polarized Alfvén waves for all pitch-angle cosines with and .
3. Numerical Methods
3.1. Particle-in-Cell Simulations
3.1.1. Setup of Turbulence Simulations
3.1.2. Turbulence Spectra
3.2. Simulation of Energetic Particles
3.2.1. Initialization and Analysis
3.2.2. Physical Parameters
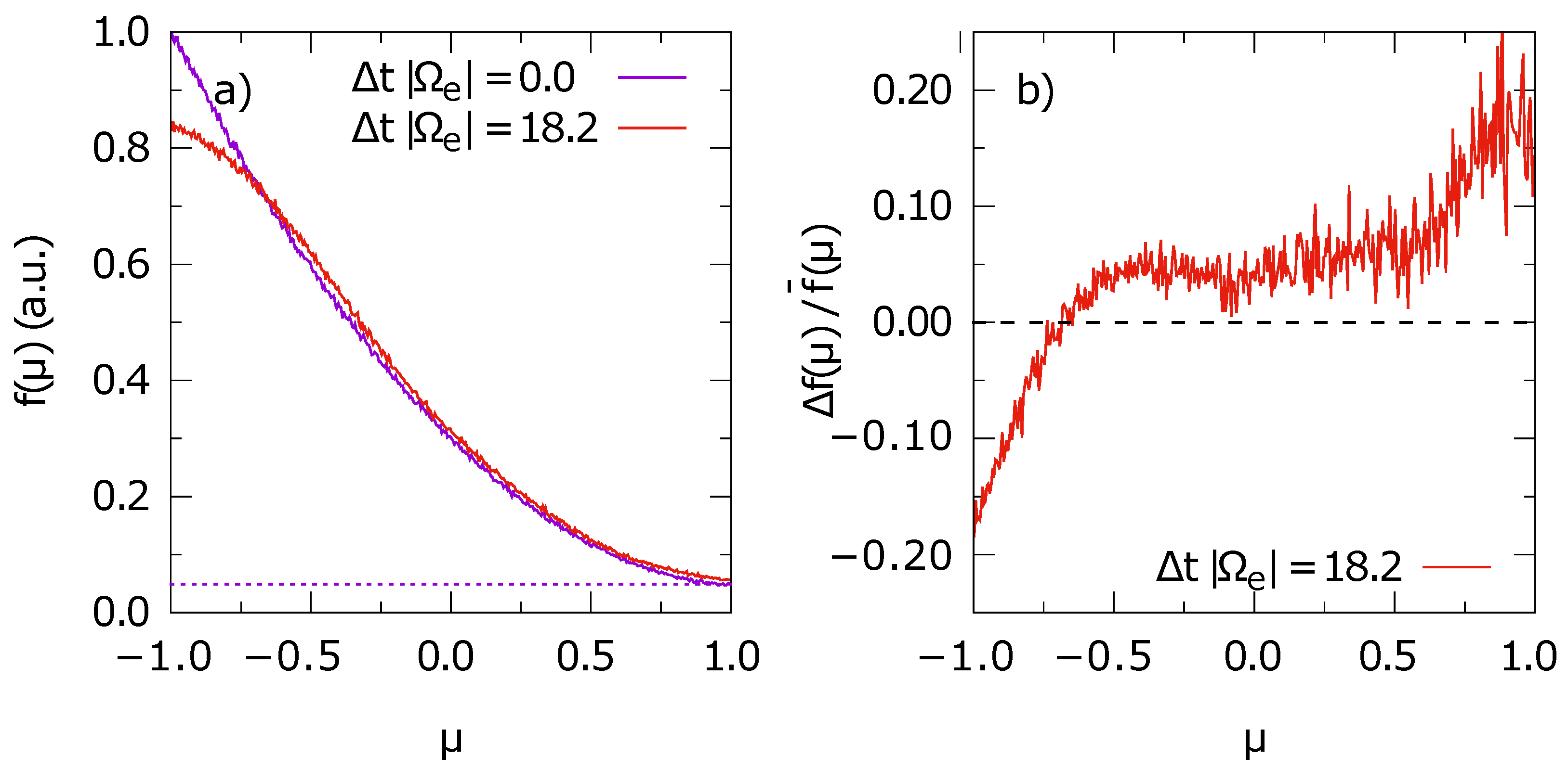
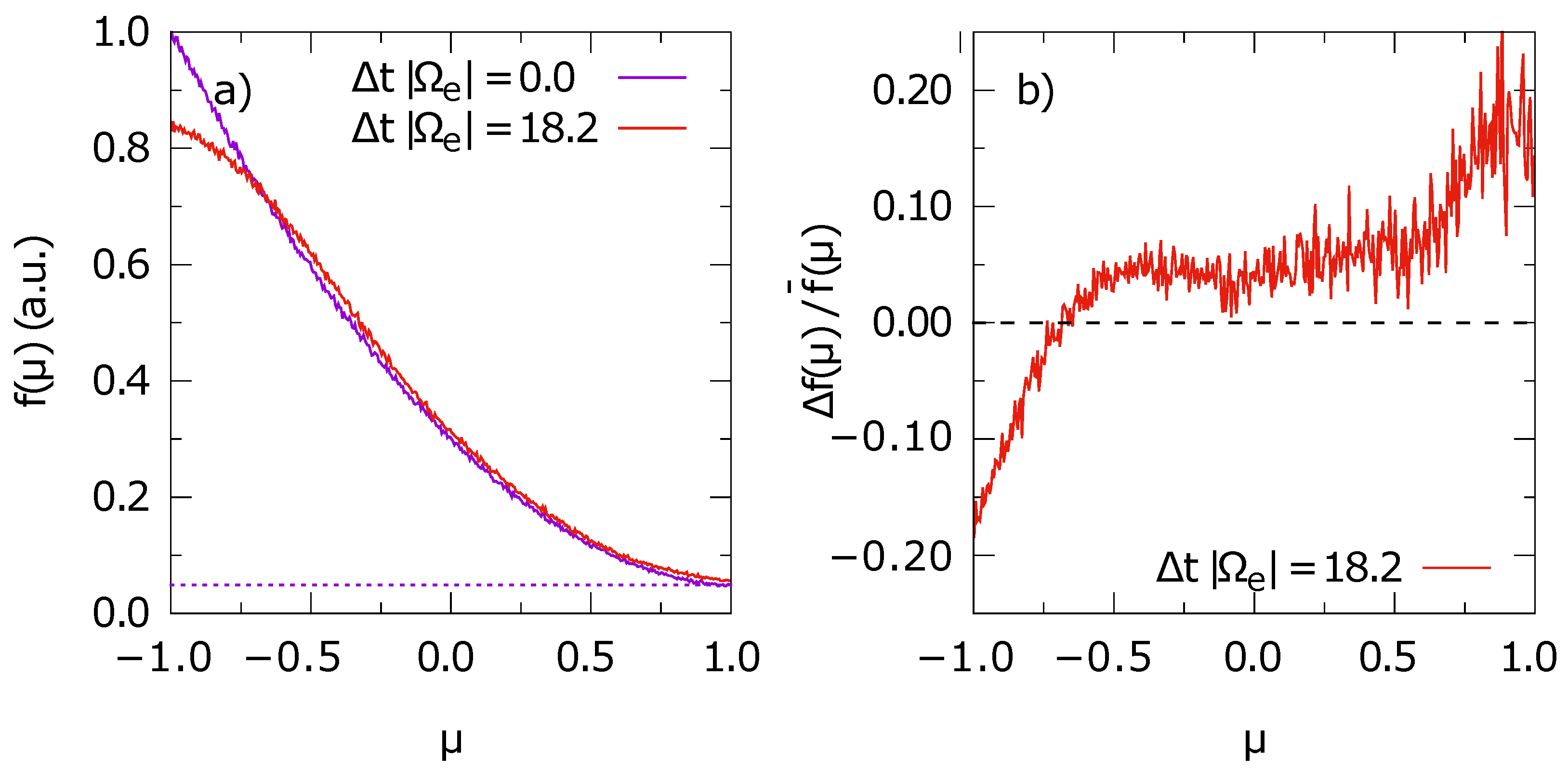
4. Results
Pitch-Angle Diffusion Coefficients
5. Conclusions
Author Contributions
Funding
Institutional Review Board Statement
Informed Consent Statement
Data Availability Statement
Acknowledgments
Conflicts of Interest
References
- Borovsky, J.E.; Funsten, H.O. Role of solar wind turbulence in the coupling of the solar wind to the Earth’s magnetosphere. J. Geophys. Res. Space Phys. 2003, 108, 1246. [Google Scholar] [CrossRef]
- Sridhar, S.; Goldreich, P. Toward a theory of interstellar turbulence. I: Weak Alfvénic turbulence. Astropart. Phys. 1994, 432, 612–621. [Google Scholar] [CrossRef]
- Goldreich, P.; Sridhar, S. Toward a theory of interstellar turbulence. II: Strong Alfvénic turbulence. Astropart. Phys. 1995, 438, 763–775. [Google Scholar] [CrossRef]
- Sahraoui, F.; Goldstein, M.L.; Belmont, G.; Canu, P.; Rezeau, L. Three Dimensional Anisotropic k Spectra of Turbulence at Subproton Scales in the Solar Wind. Phys. Rev. Lett. 2010, 105, 131101. [Google Scholar] [CrossRef] [PubMed]
- Galtier, S.; Nazarenko, S.V.; Newell, A.C.; Pouquet, A. A weak turbulence theory for incompressible magnetohydrodynamics. J. Plasma Phys. 2000, 63, 447–488. [Google Scholar] [CrossRef]
- Galtier, S.; Nazarenko, S.V.; Newell, A.C.; Pouquet, A. Anisotropic Turbulence of Shear-Alfvén Waves. Astrophys. J. 2002, 564, L49–L52. [Google Scholar] [CrossRef]
- Howes, G.G. Kinetic turbulence. In Magnetic Fields in Diffuse Media; Lazarian, A., de Gouveia Dal Pino, E., Melioli, C., Eds.; Springer: Berlin/Hedelberg, Germany, 2015; pp. 123–152. [Google Scholar] [CrossRef]
- Gary, S.P.; Smith, C. Short-wavelength turbulence in the solar wind: Linear theory of whistler and kinetic Alfvén fluctuations. J. Geophys. Res. 2009, 114, A12105. [Google Scholar] [CrossRef]
- Jokipii, J.R. Cosmic-Ray Propagation. I. Charged Particles in a Random Magnetic Field. Astrophys. J. 1966, 146, 480–487. [Google Scholar] [CrossRef]
- Lee, M.A.; Lerche, I. Waves and Irregularities in the Solar Wind. Rev. Geophys. Space Phys. 1974, 12, 671–687. [Google Scholar] [CrossRef]
- Schlickeiser, R. Cosmic-ray transport and acceleration. I-Derivation of the kinetic equation and application to cosmic rays in static cold media. II-Cosmic rays in moving cold media with application to diffusive shock wave acceleration. Astrophys. J. 1989, 336, 243–293. [Google Scholar] [CrossRef]
- Steinacker, J.; Miller, J.A. Stochastic gyroresonant electron acceleration in a low-beta plasma. I—Interaction with parallel transverse cold plasma waves. Astrophys. J. 1992, 393, 764–781. [Google Scholar] [CrossRef]
- Vainio, R. Charged-Particle Resonance Conditions and Transport Coefficients in Slab-Mode Waves. Astrophys. J. Suppl. Ser. 2000, 131, 519. [Google Scholar] [CrossRef]
- Achatz, U.; Dröge, W.; Schlickeiser, R.; Wibberenz, G. Interplanetary transport of solar electrons and protons: Effect of dissipative processes in the magnetic field power spectrum. J. Geophys. Res. 1993, 98, 13261–13280. [Google Scholar] [CrossRef]
- Ng, C.K.; Reames, D.V. Focused interplanetary transport of approximately 1 MeV solar energetic protons through self-generated Alfvén waves. Astrophys. J. 1994, 424, 1032–1048. [Google Scholar] [CrossRef]
- Vainio, R.; Kocharov, L. Proton transport through self-generated waves in impulsive flares. Astron. Astrophys. 2001, 375, 251–259. [Google Scholar] [CrossRef]
- Lange, S.; Spanier, F.; Battarbee, M.; Vainio, R.; Laitinen, T. Particle scattering in turbulent plasmas with amplified wave modes. Astron. Astrophys. 2013, 553, A129. [Google Scholar] [CrossRef][Green Version]
- Gary, S.P.; Saito, S. Particle-in-cell simulations of Alfvén-cyclotron wave scattering: Proton velocity distributions. J. Geophys. Res. 2003, 108, 1194. [Google Scholar] [CrossRef]
- Camporeale, E. Resonant and nonresonant whistlers-particle interaction in the radiation belts. Geophys. Res. Lett. 2015, 42, 3114–3121. [Google Scholar] [CrossRef]
- Ma, C.Y.; Summers, D. Formation of power-law energy spectra in space plasmas by stochastic acceleration due to whistler-mode waves. Geophys. Res. Lett. 1998, 25, 4099–4102. [Google Scholar] [CrossRef]
- Dröge, W. Particle Scattering by Magnetic Fields. In Cosmic Rays and Earth: Proceedings of the an ISSI Workshop, Bern, Switzerland, 21–26 March 1999; Bieber, J.W., Eroshenko, E., Evenson, P., Flückiger, E.O., Kallenbach, R., Eds.; Springer: Dordrecht, The Netherlands, 2000; pp. 121–151. [Google Scholar] [CrossRef]
- Coroniti, F.V.; Kennel, C.F.; Scarf, F.L. Whistler mode turbulence in the disturbed solar wind. J. Geophys. Res. 1982, 87, 6029–6044. [Google Scholar] [CrossRef]
- Aguilar-Rodriguez, E.; Blanco-Cano, X.; Russel, C.T.; Luhmann, J.G.; Jian, L.K.; Ramírez Vélez, J.C. Dual observations of the interplanetary shocks associated with stream interaction regions. J. Geophys. Res. 2011, 116, A12109. [Google Scholar] [CrossRef][Green Version]
- Fairfield, D.H. Whistler waves observed upstream from collisionless shocks. J. Geophys. Res. 1974, 79, 1368–1378. [Google Scholar] [CrossRef]
- Kennel, C.; Petschek, H. Limit on stably trapped particle fluxes. J. Geophys. Res. 1966, 71, 1–28. [Google Scholar] [CrossRef]
- Palmroth, M.; Archer, M.; Vainio, R.; Hietala, H.; Pfau-Kempf, Y.; Hoilijoki, S.; Hannuksela, O.; Ganse, U.; Sandroos, A.; von Alfthan, S.; et al. ULF foreshock under radial IMF: THEMIS observations and global kinetic simulation Vlasiator results compared. J. Geophys. Res. Space Phys. 2015, 120, 8782–8798. [Google Scholar] [CrossRef]
- Gary, S.P.; Saito, S.; Li, H. Cascade of whistler turbulence: Particle-in-cell simulations. Geophys. Res. Lett. 2008, 35. [Google Scholar] [CrossRef]
- Che, H.; Goldstein, M.L.; Viñas, A.F. Bidirectional energy cascades and the origin of kinetic Alfvénic and whistler turbulence in the solar wind. Phys. Rev. Lett. 2014, 112, 061101. [Google Scholar] [CrossRef] [PubMed]
- Gary, S.P.; Chang, O.; Wang, J. Forward cascade of whistler turbulence: Three-dimensional particle-in-cell simulations. Astrophys. J. 2012, 755, 142. [Google Scholar] [CrossRef][Green Version]
- Chang, O.; Gary, S.P.; Wang, J. Whistler turbulence at variable electron beta: Three-dimensional particle-in-cell simulations. J. Geophys. Res. Space Phys. 2013, 118, 2824–2833. [Google Scholar] [CrossRef]
- Gary, S.P.; Hughes, R.S.; Wang, J.; Chang, O. Whistler anisotropy instability: Spectral transfer in a three-dimensional particle-in-cell simulation. J. Geophys. Res. Space Phys. 2014, 119, 1429–1434. [Google Scholar] [CrossRef]
- Chang, O.; Gary, S.P.; Wang, J. Whistler Turbulence Forward Cascade versus Inverse Cascade: Three-dimensional Particle-in-cell Simulations. Astrophys. J. 2015, 800, 87. [Google Scholar] [CrossRef]
- Schlickeiser, R.; Achatz, U. Cosmic-ray particle transport in weakly turbulent plasmas. Part 1. Theory. J. Plasma Phys. 1993, 49, 63–77. [Google Scholar] [CrossRef]
- Swanson, D.G. Plasma Waves; Academic Press: San Diego, CA, USA, 1989. [Google Scholar] [CrossRef]
- Schlickeiser, R. Cosmic Ray Astrophysics; Springer: Berlin/Heidelberg, Germany, 2002. [Google Scholar] [CrossRef]
- Terry, P.W.; Almagri, A.F.; Fiksel, G.; Forest, C.B.; Hatch, D.R.; Jenko, F.; Nornberg, M.D.; Prager, S.C.; Rahbarnia, K.; Ren, Y.; et al. Dissipation range turbulent cascades in plasmasa. Phys. Plasmas 2012, 19, 055906. [Google Scholar] [CrossRef]
- Hockney, R.W.; Eastwood, J.W. Computer Simulation Using Particles; CRC Press/Taylor & Francis Group: Boca Raton, FL, USA, 1988. [Google Scholar] [CrossRef]
- Kilian, P.; Burkart, T.; Spanier, F. The influence of the mass ratio on particle acceleration by the filamentation instability. In High Performance Computing in Science and Engineering’11; Nagel, W.E., Kröner, D.B., Resch, M., Eds.; Springer: Berlin/Heidelberg, Germany, 2012; pp. 5–13. [Google Scholar] [CrossRef]
- Schreiner, C.; Spanier, F. Wave-particle-interaction in kinetic plasmas. Comput. Phys. Commun. 2014, 185, 1981–1986. [Google Scholar] [CrossRef]
- Ivascenko, A.; Lange, S.; Spanier, F.; Vainio, R. Determining pitch-angle diffusion coefficients from test particle simulation. Astrophys. J. 2016, 833, 223–231. [Google Scholar] [CrossRef]
- Schreiner, C.; Kilian, P.; Spanier, F. Particle scattering off of right-handed dispersive waves. Astrophys. J. 2017, 834, 161–179. [Google Scholar] [CrossRef]











| Simulation | |||||
|---|---|---|---|---|---|
| S1 | 1.966 × 10 | ||||
| S2 |
| Simulation | ppc | |||||
|---|---|---|---|---|---|---|
| S1 | 2048 | 2048 | 256 | |||
| S2 | 2048 | 2048 | 256 |
| Simulation | Sja | Sjb | Sjc | Sjd | Sje | Sjf |
|---|---|---|---|---|---|---|
| Simulation | S1a | S1b | S1c | S1d | S1e | S1f | S2a | S2b | S2c | S2d | S2e | S2f |
|---|---|---|---|---|---|---|---|---|---|---|---|---|
| s | ||||||||||||
| 0 | 0 | |||||||||||
| 2 | 2 | 2 | 2 | 1 | 1 | 2 | 2 | 2 | 2 | 1 | 1 |
Publisher’s Note: MDPI stays neutral with regard to jurisdictional claims in published maps and institutional affiliations. |
© 2022 by the authors. Licensee MDPI, Basel, Switzerland. This article is an open access article distributed under the terms and conditions of the Creative Commons Attribution (CC BY) license (https://creativecommons.org/licenses/by/4.0/).
Share and Cite
Spanier, F.; Schreiner, C.; Schlickeiser, R. Determining Pitch-Angle Diffusion Coefficients for Electrons in Whistler Turbulence. Physics 2022, 4, 80-103. https://doi.org/10.3390/physics4010008
Spanier F, Schreiner C, Schlickeiser R. Determining Pitch-Angle Diffusion Coefficients for Electrons in Whistler Turbulence. Physics. 2022; 4(1):80-103. https://doi.org/10.3390/physics4010008
Chicago/Turabian StyleSpanier, Felix, Cedric Schreiner, and Reinhard Schlickeiser. 2022. "Determining Pitch-Angle Diffusion Coefficients for Electrons in Whistler Turbulence" Physics 4, no. 1: 80-103. https://doi.org/10.3390/physics4010008
APA StyleSpanier, F., Schreiner, C., & Schlickeiser, R. (2022). Determining Pitch-Angle Diffusion Coefficients for Electrons in Whistler Turbulence. Physics, 4(1), 80-103. https://doi.org/10.3390/physics4010008

