A Shock-in-Jet Synchrotron Mirror Model for Blazars
Abstract
1. Introduction
2. Model Description
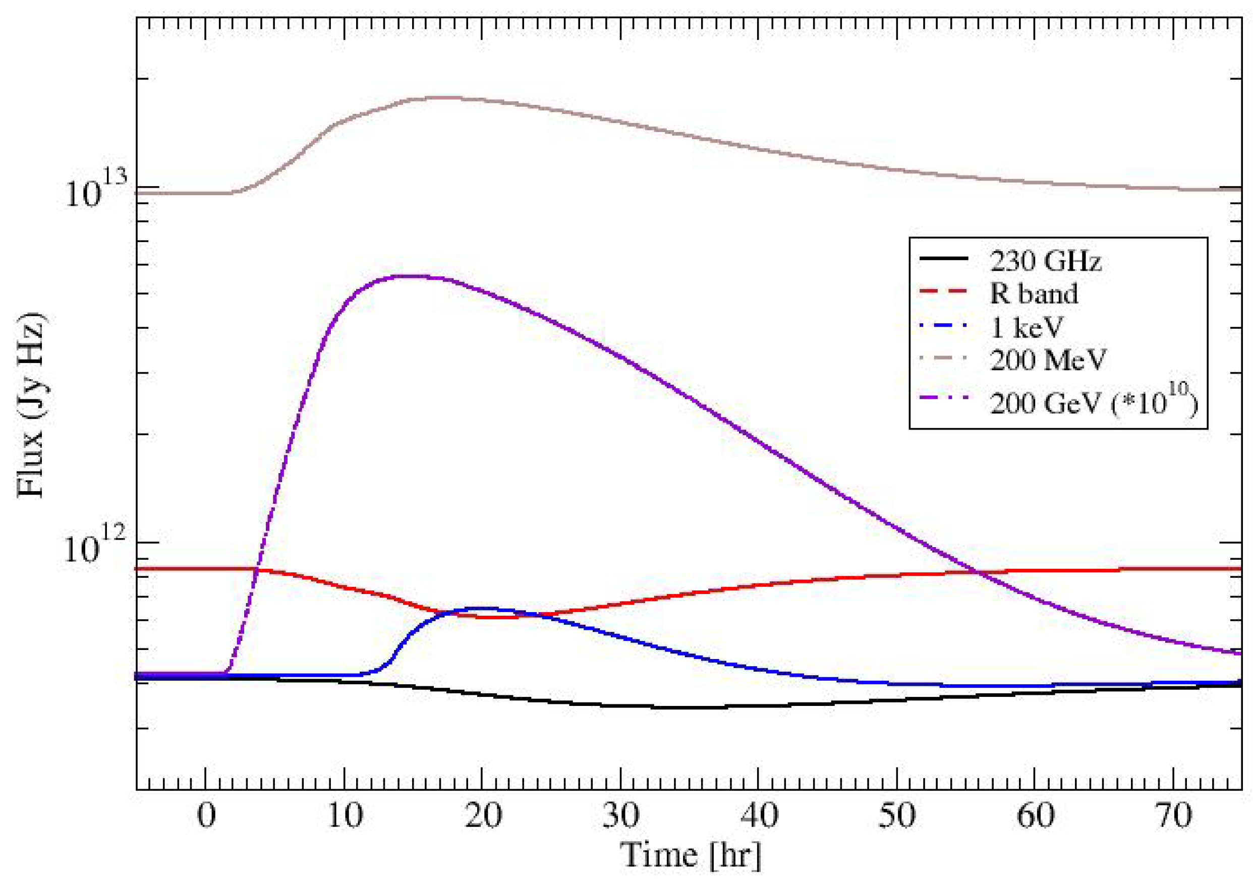
3. Results: Spectral Variability Features
4. Summary, Discussion, and Conclusions
Funding
Conflicts of Interest
References
- Schlickeiser, R. Models of high-energy emission from active galactic nuclei. Astron. Astrophys. Suppl. Ser. 1996, 120, 481–489. Available online: https://adsabs.harvard.edu/pdf/1996A%26AS..120C.481S (accessed on 1 November 2021).
- Crusius, A.; Schlickeiser, R. Synchrotron radiation in random magnetic fields. Astron. Astrophys. 1986, 164, L16–L18. Available online: https://articles.adsabs.harvard.edu/pdf/1986A%26A...164L..16C (accessed on 1 November 2021).
- Crusius, A.; Schlickeiser, R. Synchrotron radiation in a thermal plasma with large-scale random magnetic fields. Astron. Astrophys. 1998, 196, 327–337. Available online: https://adsabs.harvard.edu/pdf/1988A%26A...196..327C (accessed on 1 November 2021).
- Schlickeiser, R. Nonthermal radiation from jets of active galactic nuclei: Electrostatic bremsstrahlung as alternative to synchrotron radiation. Astron. Astrophys. 2003, 419, 397–414. [Google Scholar] [CrossRef]
- Schlickeiser, R.; Vainio, R.; Böttcher, M.; Lerche, I.; Pohl, M.; Schuster, C. Conversion of relativistic pair energy into radiation in the jets of active galactic nuclei. Astron. Astrophys. 2002, 393, 69–87. [Google Scholar] [CrossRef]
- Schlickeiser, R. Astrophysical gamma-ray production by inverse Compton interactions of relativistic electrons. Astrophys. J. 1979, 233, 294–301. [Google Scholar] [CrossRef]
- Schlickeiser, R. Astrophysical gamma-ray production by inverse Compton interactions of relativistic electrons.II. Constraints on Compton emission models for NGC 4151, NP 0532, and PSR 0833-45 from gamma-ray data. Astrophys. J. 1980, 236, 945–950. [Google Scholar] [CrossRef]
- Schlickeiser, R. Astrophysical gamma-ray production by inverse Compton interactions of relativistic electrons. III. Cutoff effect for inverse Compton spectra applied to the case of the hard X-ray and gamma-ray emission of NGC 4151. Astrophys. J. 1980, 240, 636–641. [Google Scholar] [CrossRef]
- Maraschi, L.; Ghisellini, G.; Celotti, A. A jet model for the gamma-ray-emitting blazar 3C279. Astrophys. J. 1992, 397, L5–L9. [Google Scholar] [CrossRef]
- Bloom, S.D.; Marscher, A.P. An analysis of the synchrotron self-Compton model for the multi-wave band spectra of blazars. Astrophys. J. 1996, 461, 657–663. [Google Scholar] [CrossRef]
- Dermer, C.D.; Schlickeiser, R.; Mastichiadis, A. High-energy gamma radiation from extragalactic radio sources. Astron. Astrophys. 1992, 256, L21–L30. [Google Scholar]
- Dermer, C.D.; Schlickeiser, R. Model for the high-energy emission from blazars. Astrophys. J. 1993, 416, 458–484. [Google Scholar] [CrossRef]
- Sikora, M.; Begelmann, M.C.; Rees, M.J. Comptonization of diffuse ambient radiation by a relativistic jet: The source of gamma rays from blazars? Astrophys. J. 1994, 421, 153–162. [Google Scholar] [CrossRef]
- Blażejowski, M.; Sikora, M.; Moderski, R.; Madejski, G.M. Comptonization of infrared radiation from hot dust by relativistic jets in quasars. Astrophys. J. 2000, 545, 107–116. [Google Scholar] [CrossRef]
- Georganopoulos, M.; Kazanas, D. Decelerating flows in TeV blazars: A resolution to the BL Lacertae–FR I unification problem. Astrophys. J. 2003, 594, L27–L30. [Google Scholar] [CrossRef]
- Tavecchio, F.; Ghisellini, G. Spine-sheath layer radiative interplay in subparsec-scale jets and the TeV emission from M87. Mon. Not. R. Astron. Soc. 2008, 385, L98–L102. [Google Scholar] [CrossRef]
- Dermer, C.D.; Schlickeiser, R. Transformation properties of external radiation fields, energy-loss rates, scattered spectra, and a model for blazar variability. Astrophys. J. 2002, 575, 667–686. [Google Scholar] [CrossRef]
- Dermer, C.D.; Schlickeiser, R. On the location of the acceleration and emission sites in gamma-ray blazars. In International Astronomical Union Colloquium; Cambridge University Press: Cambridge, UK, 1994; Volume 142, pp. 945–948. [Google Scholar]
- Schlickeiser, R. Cosmic-ray transport and acceleration. I. Derivation of the kinetic equation and application to cosmic rays in static cold media. Astrophys. J. 1989, 336, 243–263. [Google Scholar] [CrossRef]
- Schlickeiser, R. Cosmic-ray transport and acceleration. II. Cosmic rays in moving cold media with application to diffusive shock wave acceleration. Astrophys. J. 1989, 336, 264–293. [Google Scholar] [CrossRef]
- Schlickeiser, R.; Dermer, C.D. Proton and electron acceleration through magnetic turbulence in relativistic outflows. Astron. Astrophys. 2000, 360, 789–794. [Google Scholar]
- Peacock, J.A. Fermi acceleration by relativistic shock waves. Mon. Not. R. Astron. Soc. 1981, 196, 135–152. [Google Scholar] [CrossRef][Green Version]
- Kirk, J.G.; Heavens, A.F. Particle acceleration at oblique shock fronts. Mon. Not. R. Astron. Soc. 1989, 239, 995–1011. [Google Scholar] [CrossRef]
- Kirk, J.G.; Guthmann, A.W.; Gallant, Y.A.; Achterberg, A. Particle acceleration at ultrarelativistic shocks: An eigenfunction method. Astrophys. J. 2000, 542, 235–242. [Google Scholar] [CrossRef]
- Ellison, D.C.; Jones, F.C.; Reynolds, S.P. First-order Fermi particle acceleration by relativistic shocks. Astrophys. J. 1990, 360, 702–714. [Google Scholar] [CrossRef]
- Bednarz, J.; Ostrowski, M. Energy spectra of cosmic rays accelerated at ultrarelativistic shock waves. Phys. Rev. Lett. 1998, 80, 3911–3914. [Google Scholar] [CrossRef]
- Ellison, D.C.; Double, G.P. Diffusive shock acceleration in unmodified relativistic, oblique shocks. Astropart. Phys. 2004, 22, 323–338. [Google Scholar] [CrossRef]
- Niemiec, J.; Ostrowski, M. Cosmic-ray acceleration at relativistic shock waves with a “realistic” magnetic field structure. Astrophys. J. 2004, 610, 851–867. [Google Scholar] [CrossRef][Green Version]
- Summerlin, E.J.; Baring, M.G. Diffusive acceleration of particles at oblique, relativistic magnetohydrodynamic shocks. Astrophys. J. 2012, 745, 63–85. [Google Scholar] [CrossRef]
- Baring, M.G.; Böttcher, M.; Summerlin, E.J. Probing acceleration and turbulence at relativistic shocks in blazar jets. Mon. Not. R. Astron. Soc. 2017, 464, 4875–4894. [Google Scholar] [CrossRef]
- Böttcher, M.; Baring, M.G. Multi-wavelength variability signatures of relativistic shocks in blazar jets. Astrophys. J. 2019, 887, 133. [Google Scholar] [CrossRef]
- Böttcher, M.; Mause, H.; Schlickeiser, R. γ-ray emission and spectral evolution of pair plasmas in AGN jets. I. General theory and a prediction for the GeV–TeV emission from ultrarelativistic jets. Astron. Astrophys. 1997, 324, 395–409. [Google Scholar]
- Böttcher, M.; Chiang, J. X-ray Spectral Variability Signatures of Flares in BL Lacertae Objects. Astrophys. J. 2002, 581, 127–142. [Google Scholar] [CrossRef]
- Böttcher, M.; Reimer, A.; Sweeney, K.; Prakash, A. Leptonic and hadronic modeling of Fermi-detected blazars. Astrophys. J. 2013, 768, 54. [Google Scholar] [CrossRef]
- Chra, S.; Böttcher, M.; Goswami, P.; Singh, K.P.; Zacharias, M.; Kaur, N.; Bhattacharyya, S.; Ganesh, S.; Chandra, D. X-ray observations of 1ES 1959 + 650 in its high activity state in 2016–2017 with AstroSat and Swift. arXiv 2021, arXiv:2105.08119. [Google Scholar]
- Hayashida, M.; Nalewajko, K.; Madejski, G.M.; Sikora, M.; Itoh, R.; Ajello, M.; Blandford, R.D.; Buson, S.; Chiang, J.; Fukazawa, Y.; et al. Rapid variability of blazar 3C279 during flaring states in 2013–2014 with joint Fermi-LAT, NuSTAR, Swift, and ground-based multiwavelength observations. Astrophys. J. 2015, 807, 79. [Google Scholar] [CrossRef]
- Baring, M.G.; Ogilvie, W.; Ellison, C.; Forsyth, R.J. Acceleration of solar wind ions by nearby interplanetary shocks: Comparison of Monte Carlo simulations with Ulysses observations. Astrophys. J. 1997, 476, 889–902. [Google Scholar] [CrossRef][Green Version]
- Ghisellini, G.; Madau, P. On the origin of the γ-ray emission in blazars. Mon. Not. R. Astron. Soc. 1996, 280, 67–76. [Google Scholar] [CrossRef]
- Böttcher, M.; Dermer, C.D. On Comptonscattering scenarios for blazar flares. Astrophys. J. 1998, 501, L51–L54. [Google Scholar] [CrossRef]
- Bedmarek, W. On the application of the mirror model for the gamma-ray flare in 3C279. Astron. Astrophys. 1998, 336, 123–129. [Google Scholar]
- Vittorini, V.; Tavani, M.; Cavaliere, A.; Striani, E.; Vercellone, S. The blob crashes into the mirror: Modeling the exceptional γ-ray flaring activity of 3C454.3 in 2010 November. Astrophys. J. 2014, 793, 98. [Google Scholar] [CrossRef][Green Version]
- Tavani, M.; Vittorini, V.; Cavaliere, A. An emerging class of gamma-ray flares from blazars: Beyond one-zone models. Astrophys. J. 2015, 814, 51–63. [Google Scholar] [CrossRef]
- MacDonald, N.R.; Marscher, A.P.; Jorstad, S.G.; Joshi, M. Through the ring of fire: γ-ray variabilit in blazars by a moving plasmoid passing a local source of seed photons. Astrophys. J. 2015, 804, 111. [Google Scholar] [CrossRef]
- MacDonald, N.R.; Jorstad, S.G.; Marscher, A.P. “Orphan” γ-ray flares and stationary sheaths of blazar jets. Astrophys. J. 2017, 850, 87. [Google Scholar] [CrossRef]
- Barkov, M.V.; Aharonian, F.A.; Bogovalov, S.V.; Kelner, S.R.; Khangulyan, D. Rapid TeV variability in blazars as a result of jet-star interaction. Astrophys. J. 2012, 749, 119. [Google Scholar] [CrossRef]
- Araudo, A.T.; Bosch-Ramon, V.; Romero, G.E. Gamma-ray emission from massive stars interacting with active galactic nuclei jets. Mon. Not. R. Astron. Soc. 2013, 436, 3626–3639. [Google Scholar] [CrossRef]
- Zacharias, M.; Böttcher, M.; Jankowsky, F.; Lenain, J.-P.; Wagner, S.J.; Wierzcholska, A. Cloud ablation by a relativistic jet and the extended flare in CTA 102 in 2016 and 2017. Astrophys. J. 2017, 851, 72. [Google Scholar] [CrossRef]
- Zacharias, M.; Böttcher, M.; Jankowsky, F.; Lenain, J.-P.; Wagner, S.J.; Wierzcholska, A. The extended flare in CTA 102 in 2016 and 2017 within a hadronic model through cloud ablation by the relativistic jet. Astrophys. J. 2019, 871, 19. [Google Scholar] [CrossRef]
- Dermer, C.D.; Menon, G. High Energy Radiation from Black Holes: Gamma Rays, Cosmic Rays, and Neutrinos; Princeton University Press: Princeton, NJ, USA, 2009. [Google Scholar]
- Nalewajko, K.; Begelman, M.C.; Sikora, M. Constraining the location of gamma-ray flares in luminous blazars. Astrophys. J. 2014, 789, 161. [Google Scholar] [CrossRef]
- Asano, K.; Hayashida, M. The most intensive gamma-ray flare of quasar 3C 279 with the second-order Fermi acceleration. Astrophys. J. Lett. 2015, 808, L18. [Google Scholar] [CrossRef]
- Lewis, T.R.; Finke, J.D.; Becker, P.A. Electron Acceleration in Blazars: Application to the 3C 279 Flare on 2013 December 20. Astrophys. J. 2019, 884, 116. [Google Scholar] [CrossRef]
- Yan, D.; Zhang, L.; Zhang, S.-N. Formation of very hard electron and gamma-ray spectra of flat-spectrum radio quasars in the fast-cooling regime. Mon. Not. R. Astron. Soc. 2016, 459, 3175–3181. [Google Scholar] [CrossRef][Green Version]
- Paliya, V.S.; Diltz, C.D.; Böttcher, M.; Stalin, C.S.; Buckley, D.A.H. A hard gamma-ray flare from 3C 279 in 2013 December. Astrophys. J. 2016, 817, 61. [Google Scholar] [CrossRef]
- Diltz, C.S.; Böttcher, M.; Fossati, G. Time dependent hadronic modeling of flat spectrum radio quasars. Astrophys. J. 2015, 802, 133. [Google Scholar] [CrossRef]




| Parameter | Symbol | Value |
|---|---|---|
| Electron injection luminosity | erg s | |
| Pitch-angle mean free-path (m.f.p.) scaling normalization | 100 | |
| Pitch-angle m.f.p. scaling index | 3.0 | |
| Magnetic field | B | 0.8 G |
| Electron escape time scale factor | 3.0 | |
| Emission region radius | cm | |
| Bulk Lorentz factor | 15 | |
| Viewing angle | 3.82° | |
| Initial distance of the shock from the black hole (BH) along the jet | 0.1 pc | |
| Distance of the cloud from the BH | 1 pc | |
| Radius of the cloud | cm | |
| Reflective fraction of the cloud | 0.1 | |
| Mass of the BH | ||
| Luminosity of the accretion disk | erg s | |
| Black-body temperature of external radiation field | 300 K | |
| Energy density of external radiation field | erg cm |
Publisher’s Note: MDPI stays neutral with regard to jurisdictional claims in published maps and institutional affiliations. |
© 2021 by the author. Licensee MDPI, Basel, Switzerland. This article is an open access article distributed under the terms and conditions of the Creative Commons Attribution (CC BY) license (https://creativecommons.org/licenses/by/4.0/).
Share and Cite
Böttcher, M. A Shock-in-Jet Synchrotron Mirror Model for Blazars. Physics 2021, 3, 1112-1122. https://doi.org/10.3390/physics3040070
Böttcher M. A Shock-in-Jet Synchrotron Mirror Model for Blazars. Physics. 2021; 3(4):1112-1122. https://doi.org/10.3390/physics3040070
Chicago/Turabian StyleBöttcher, Markus. 2021. "A Shock-in-Jet Synchrotron Mirror Model for Blazars" Physics 3, no. 4: 1112-1122. https://doi.org/10.3390/physics3040070
APA StyleBöttcher, M. (2021). A Shock-in-Jet Synchrotron Mirror Model for Blazars. Physics, 3(4), 1112-1122. https://doi.org/10.3390/physics3040070

