Scattering on Quasi-Spherical Black-Holes: Features and Beyond
Abstract
1. Introduction
- First, we have the LIGO-Virgo scientific collaborations to mention for their fundamental contribution in registrations of gravitational waves (GWs) [2]. It is believed that the GWs are mostly induced in processes which involve BHs.
- Second, it is important to notice the detection of ultra high energy cosmic rays (UHECRs) of energy ∼ eV—that far exceeds energies of the LHC (Large Hadron Collider)—coming from active galactic nuclei (AGN) [3]. It is believed that super-massive BHs (SMBHs) are located in the core of the AGN [4,5], and mechanisms of the UHECRs generation are directly related to BH physics; see, e.g., Refs. [6,7,8,9,10,11,12,13,14,15,16,17,18,19], in this respect.
- Next, it is worth mentioning achievements of the Event Horizon Telescope (EHT) collaboration in revealing the BH event horizon (for M87 SMBH with the mass 6.5 × [20]). Due to the EHT activity it is believed more and more that Astrophysical BHs (BHs in the sky) share common properties with mathematical BHs (solutions to Einstein equations).
- Last but not least: the recent data analysis of the EHT team puts the Einstein theory on the test [21]. It turns out that general relativity works well, and many alternative theories of gravity should be discarded as that of contradicting experimental data. However, one has to notice that the conclusions of Ref. [21] cannot be considered as ultimate ones; see, e.g., Ref. [22], in this respect.
2. Background Metric: From Distorted to Quasi-Spherical Black Hole
3. Basic Equations and Separation of Variables
4. Generalized Angular Momentum Numbers: Generalities and Axial Symmetry Case
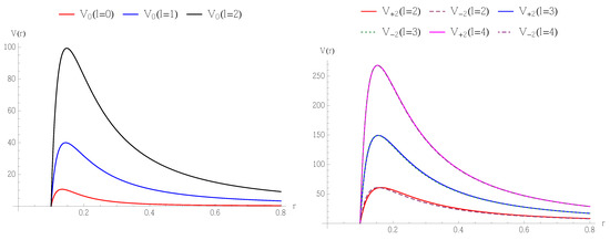
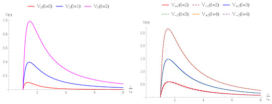
5. The Grey-Body Factor: Schwarzschild vs. Distorted Schwarzschild
- the scalar s-wave (left panel) has the complete transmission at the lowest admissible value of frequency ;
- increasing l in the scalar mode perturbations (p- and d-modes on the left panel) requires higher values of to reach the complete transmission;
- basic axial gravitational perturbations (d-waves) (right panel) reach the complete transmission at lower, w.r.t. mode of axial electro-magnetic (EM) and scalar perturbations, frequency.
- for each value of l (recall, is a non-negative degree of the corresponding spherical harmonics in the series expansion (34)), there are different values of the grey-body factor ;
- gets increased with increasing the deformation degree ;
- for a fixed l, the GBFs with the maximal projection value reach the complete transmission at the lowest values of .
6. Quasinormal Modes of a Quasi-Spherical Axisymmetric Black Hole
6.1. Flat Spacetime
6.2. AdS Spacetime
- for large (with ) and intermediate (with ) BHs the fundamental quasinormal modes are purely imaginary and scale as ;
- for small BHs the fundamental frequencies get non-trivial real and imaginary parts; the latter behaves as . In the limit , the QNMs turn into normal modes of AdS spacetime, determined by .
7. Summary and Open Questions
- There is a deep connection between distorted and quasi-spherical static BHs. To be precise, we have established the generalization of the Weyl-Erez-Rosen solution to the flat-space Einstein vacuum equations that is reduced to the quasi-spherical Schwarzschild BH solution, the metric potential of which obeys the Liouville equation.
- The obtained BH spacetime is of type D in the Petrov classification. It makes it possible, despite the spherical symmetry breaking, to separate the variables in dynamical equations of small perturbations and to arrive at the generalized Regge-Wheeler-Zerilli equations, as well as to the generalization of the spherical harmonics equation.
- The outcomes of the spherical symmetry breaking are: non-integer eigenvalues in the generalized spectral problem, coming from the angular part of dynamical equations of small perturbations; their multi-dimensional character for each scattering mode, when the dimension of the appropriate set of eigenvalues is determined by the degree of the corresponding spherical harmonics; and last, the functional dependence of the generalized eigenvalues on the deformation degree parameters.
- The angular dependence of corresponding quantities is further reduced to the dependence on the single polar angle; the spherical Liouville equation for the metric potential turns into the enlargement of general Legendre equation, which can be explicitly solved.
- It turns out that the eigenvalues of the generalized spectral problem depend solely on one parameter of the deformation degree after all. And this functional dependence has been recovered in analytical form. In addition, it has been observed that the generalized eigenvalues are quantized in non-integers.
- For every scattering mode corresponding to the appropriate degree of spherical harmonics l, there are different values of the grey-body factors, properties of which are determined by the deformation degree. For instance, we have observed that the grey-body factors increase with increasing the value of the deformation.
- Studying the issue of stability of BH backgrounds, we have found that the value of the deformation degree equal to one is the critical value for the stability of the axially symmetric quasi-spherical Schwarzschild BH in Minkowski and AdS spacetimes against the specific small tensor perturbations.
- We also find that, for large and intermediate AdS-Schwarzschild quasi-spherical BHs, the fundamental tensor QNMs of any fixed admissible value of the deformation degree are the same as that of a spherically-symmetric BH with a larger value of the event horizon along the radial direction.
Author Contributions
Funding
Acknowledgments
Conflicts of Interest
Abbreviations
| AdS | anti-de Sitter |
| AGN | active galactic nuclei |
| BH | black hole |
| EHT | event horizon telescope |
| GBF | grey-body factor |
| GR | general relativity |
| GW | gravitational wave |
| NP | Newman-Penrose |
| QNM | quasinormal mode |
| UHECRs | ultra high energy cosmic rays |
| SMBH | super massive black hole |
| WKB | Wentzel-Kramers-Brillouin |
Appendix A. Spherically-Symmetric and Axially-Symmetric Solutions to the Liouville Equation
References
- Bartos, I.; Kowalski, M. Multimessenger Astronomy; IOP Publishing: Bristol, UK, 2017. [Google Scholar]
- Abbott, B.P.; LIGO Scientific Collaboration; Virgo Collaboration. Binary Black Hole Mergers in the first Advanced LIGO Observing Run. Phys. Rev. X 2016, 6, 041015, Erratum in 2018, 8, 039903. [Google Scholar] [CrossRef]
- Pierre Auger Collaboration. Correlation of the highest energy cosmic rays with nearby extragalactic objects. Science 2007, 318, 938. [Google Scholar] [CrossRef] [PubMed]
- Eckart, A.; Genzel, R. Observations of stellar proper motions near the Galactic Centre. Nature 1996, 383, 415. [Google Scholar] [CrossRef]
- Ghez, A.M.; Klein, B.L.; Morris, M.; Becklin, E.E. High proper motion stars in the vicinity of Sgr A*: Evidence for a supermassive black hole at the center of our galaxy. Astrophys. J. 1998, 509, 678. [Google Scholar] [CrossRef]
- De Felice, F.; Sorge, F. Magnetized orbits around a Schwarzschild black hole. Class. Quant. Grav. 2003, 20, 469. [Google Scholar] [CrossRef]
- De Felice, F.; Sorge, F.; Zilio, S. Magnetized orbits around a Kerr black hole. Class. Quant. Grav. 2004, 21, 961. [Google Scholar] [CrossRef]
- Kachelriess, M. Lecture notes on high energy cosmic rays. arXiv 2008, arXiv:0801.4376. [Google Scholar]
- Stanev, T. High Energy Cosmic Rays; Springer & Praxis: Berlin, Germany; Chichester, UK, 2010. [Google Scholar]
- Dawson, B.R.; Fukushima, M.; Sokolsky, P. Past, Present and Future of UHECR Observations. PTEP 2017, 12, 12A101. [Google Scholar] [CrossRef]
- Park, I.Y. Quantum-corrected Geometry of Horizon Vicinity. Fortsch. Phys. 2017, 65, 1700038. [Google Scholar] [CrossRef]
- Nurmagambetov, A.J.; Park, I.Y. Quantum-induced trans-Planckian energy near horizon. JHEP 2018, 1805, 167. [Google Scholar] [CrossRef]
- Guépin, C.; Kotera, K.; Barausse, E.; Fang, K.; Murase, K. Ultra-High Energy Cosmic Rays and Neutrinos from Tidal Disruptions by Massive Black Holes. Astron. Astrophys. 2018, 616, A179, Erratum in 2020, 636, C3. [Google Scholar] [CrossRef]
- Nurmagambetov, A.J.; Park, I.Y. Quantum-gravitational trans-Planckian energy of a time-dependent black hole. Symmetry 2019, 11, 1303. [Google Scholar] [CrossRef]
- Nurmagambetov, A.J.; Park, I.Y. On Firewalls in quantum-corrected General Relativity. J. Phys. Conf. Ser. 2019, 1390, 012091. [Google Scholar] [CrossRef]
- Comisso, L.; Sironi, L. The interplay of magnetically-dominated turbulence and magnetic reconnection in producing nonthermal particles. Astrophys. J. 2019, 886, 122. [Google Scholar] [CrossRef]
- Nurmagambetov, A.J. Quantum Leaps in the Vicinity of One-Loop Gravity Black Holes. Phys. Part. Nucl. 2020, 51, 739. [Google Scholar] [CrossRef]
- Nurmagambetov, A.J.; Park, I.Y. Quantum-gravitational trans-Planckian radiation by a rotating black hole. arXiv 2020, arXiv:2007.06070. [Google Scholar]
- Comisso, L.; Asenjo, F.A. Magnetic Reconnection as a Mechanism for Energy Extraction from Rotating Black Holes. arXiv 2020, arXiv:2012.00879. [Google Scholar]
- Event Horizon Telescope Collaboration. First M87 Event Horizon Telescope Results. I. The Shadow of the Supermassive Black Hole. Astrophys. J. 2019, 875, L1. [Google Scholar] [CrossRef]
- EHT Collaboration. Gravitational Test beyond the First Post-Newtonian Order with the Shadow of the M87 Black Hole. Phys. Rev. Lett. 2020, 125, 141104. [Google Scholar] [CrossRef]
- Gralla, S.E. Can the EHT M87 results be used to test general relativity? arXiv 2020, arXiv:2010.08557. [Google Scholar]
- Starobinskii, A.A.; Churilov, S.M. Amplification of electromagnetic and gravitational waves scattered by a rotating “black hole”. Sov. Phys. JETP 1974, 38, 1–5. [Google Scholar]
- Fabbri, R. Scattering and absorption of electromagnetic waves by a Schwarzschild black hole. Phys. Rev. D 1975, 12, 933–942. [Google Scholar] [CrossRef]
- Unruh, W.G. Absorption Cross-Section of Small Black Holes. Phys. Rev. D 1976, 14, 3251–3259. [Google Scholar] [CrossRef]
- Sanchez, N.G. Scattering of scalar waves from a Schwarzschild black hole. J. Math. Phys. 1976, 17, 688–692. [Google Scholar] [CrossRef]
- Sanchez, N.G. The Wave Scattering Theory and the Absorption Problem for a Black Hole. Phys. Rev. D 1977, 16, 937–945. [Google Scholar] [CrossRef]
- Sanchez, N.G. Absorption and Emission Spectra of a Schwarzschild Black Hole. Phys. Rev. D 1978, 18, 1030–1036. [Google Scholar] [CrossRef]
- Sanchez, N.G. Elastic Scattering of Waves by a Black Hole. Phys. Rev. D 1978, 18, 1798–1804. [Google Scholar] [CrossRef]
- Cvetic, M.; Larsen, F. Grey body factors for rotating black holes in four-dimensions. Nucl. Phys. B 1997, 506, 107–120. [Google Scholar] [CrossRef]
- Klebanov, I.R.; Mathur, S.D. Black hole grey body factors and absorption of scalars by effective strings. Nucl. Phys. B 1997, 500, 115–132. [Google Scholar] [CrossRef]
- Cvetic, M.; Larsen, F. Greybody factors for black holes in four-dimensions: Particles with spin. Phys. Rev. D 1998, 57, 6297–6310. [Google Scholar] [CrossRef]
- Kanti, P. Black holes in theories with large extra dimensions: A Review. Int. J. Mod. Phys. A 2004, 19, 4899–4951. [Google Scholar] [CrossRef]
- Grain, J.; Barrau, A.; Kanti, P. Exact results for evaporating black holes in curvature-squared lovelock gravity: Gauss-Bonnet greybody factors. Phys. Rev. D 2005, 72, 104016. [Google Scholar] [CrossRef]
- Keshet, U.; Neitzke, A. Asymptotic spectroscopy of rotating black holes. Phys. Rev. D 2008, 78, 044006. [Google Scholar] [CrossRef]
- Boonserm, P.; Visser, M. Bounding the greybody factors for Schwarzschild black holes. Phys. Rev. D 2008, 78, 101502. [Google Scholar] [CrossRef]
- Li, W.; Xu, L.; Liu, M. Greybody factors in rotating charged Goedel black holes. Class. Quant. Grav. 2009, 26, 055008. [Google Scholar] [CrossRef]
- Harmark, T.; Natario, J.; Schiappa, R. Greybody Factors for d-Dimensional Black Holes. Adv. Theor. Math. Phys. 2010, 14, 727–793. [Google Scholar] [CrossRef]
- Gonzalez, P.; Papantonopoulos, E.; Saavedra, J. Chern-Simons black holes: Scalar perturbations, mass and area spectrum and greybody factors. JHEP 2010, 8, 50. [Google Scholar] [CrossRef]
- Boonserm, P.; Ngampitipan, T.; Visser, M. Regge-Wheeler equation, linear stability, and greybody factors for dirty black holes. Phys. Rev. D 2013, 88, 041502. [Google Scholar] [CrossRef]
- Dong, R.; Stojkovic, D. Greybody factors for a black hole in massive gravity. Phys. Rev. D 2015, 92, 084045. [Google Scholar] [CrossRef]
- Catalán, M.; Cisternas, E.; González, P.A.; Vásquez, Y. Quasinormal modes and greybody factors of a four-dimensional Lifshitz black hole with z = 0. Astrophys. Space Sci. 2016, 361, 189. [Google Scholar] [CrossRef]
- Gray, F.; Visser, M. Greybody Factors for Schwarzschild Black Holes: Path-Ordered Exponentials and Product Integrals. Universe 2018, 4, 93. [Google Scholar] [CrossRef]
- Stephani, H.; Kramer, D.; MacCallum, M.; Hoenselaers, C.; Herlt, E. Exact Solutions of Einstein’s Field Equations; Cambridge University Press: Cambridge, UK, 2003. [Google Scholar]
- Griffiths, J.B.; Podolsky, J. Exact Space-Times in Einstein’s General Relativity; Cambridge University Press: Cambridge, UK, 2009. [Google Scholar]
- Weyl, H. Zur Gravitationstheorie. Ann. Phys. 1917, 54, 117–145. [Google Scholar] [CrossRef]
- Geroch, R.; Hartle, J.B. Distorted black holes. J. Math. Phys. 1982, 23, 680–692. [Google Scholar] [CrossRef]
- Thorne, K.S. Nonspherical Gravitational Collapse: Does it Produce Black Holes? Comments Astrophys. Space Phys. 1970, 2, 191–196. [Google Scholar]
- Thorne, K.S. Nonspherical Gravitational Collapse: A Short Review. In Magic without Magic; Klauder, J.R., Ed.; Freeman: San Francisco, CA, USA, 1972; pp. 231–258. [Google Scholar]
- Tomimatsu, A. Distorted Rotating Black Holes. Phys. Lett. A 1984, 103, 374–376. [Google Scholar] [CrossRef]
- Breton, N.; Denisova, T.E.; Manko, V.S. A Kerr black hole in the external gravitational field. Phys. Lett. A 1997, 230, 7–11. [Google Scholar] [CrossRef]
- Breton, N.; Garcia, A.A.; Manko, V.S.; Denisova, T.E. Arbitrarily deformed Kerr Newman black hole in an external gravitational field. Phys. Rev. D 1998, 57, 3382–3388. [Google Scholar] [CrossRef]
- Semerák, O.; Žačék, M. Gravitating discs around a Schwarzschild black hole: I. Class. Quant. Grav. 2000, 17, 1613–1626. [Google Scholar] [CrossRef]
- Žačék, M.; Semerák, O. Gravitating discs around a Schwarzschild black hole: II. Czech. J. Phys. 2002, 52, 19–27. [Google Scholar] [CrossRef]
- Letelier, P.S. On the stability of circular orbits of particles moving around black holes surrounded by axially symmetric structures. Phys. Rev. D 2003, 68, 104002. [Google Scholar] [CrossRef]
- Shoom, A.A.; Walsh, C.; Booth, I. Geodesic motion around a distorted static black hole. Phys. Rev. D 2016, 93, 064019. [Google Scholar] [CrossRef]
- Kunz, J.; Nedkova, P.; Yazadjiev, S. Magnetized Black Holes in an External Gravitational Field. Phys. Rev. D 2017, 96, 024017. [Google Scholar] [CrossRef]
- Araujo, M.E.; Oliveira, S.R. Static axisymmetric approach for the headon collision of two black holes. Phys. Rev. D 1995, 52, 816–820. [Google Scholar] [CrossRef]
- Araujo, M.E.; Letelier, P.S.; Oliveira, S.R. Two Kerr black holes with axisymmetric spins: An Improved Newtonian model for the head—On collision and gravitational radiation. Class. Quant. Grav. 1998, 15, 3051–3060. [Google Scholar] [CrossRef]
- Semerák, O.; Basovník, M. Geometry of deformed black holes. I. Majumdar-Papapetrou binary. Phys. Rev. D 2016, 94, 044006. [Google Scholar] [CrossRef]
- Moskalets, T.; Nurmagambetov, A. Liouville mode in Gauge/Gravity Duality. Eur. Phys. J. C 2015, 75, 551. [Google Scholar] [CrossRef][Green Version]
- Moskalets, T.M.; Nurmagambetov, A.J. Non-uniform horizons in Gauge/Gravity Duality. Phys. Atom. Nucl. 2016, 79, 1497–1499. [Google Scholar] [CrossRef]
- Moskalets, T.M.; Nurmagambetov, A.J. Static and non-static black holes with the Liouville mode. Phys. Part. Nucl. Lett. 2017, 14, 365–367. [Google Scholar] [CrossRef]
- Moskalets, T.; Nurmagambetov, A. Absorption cross-sections of small quasi-spherical black holes: The massless scalar case. arXiv 2016, arXiv:1607.08830. [Google Scholar]
- Boos, J.; Frolov, V.P. Stationary black holes with stringy hair. Phys. Rev. D 2018, 97, 024024. [Google Scholar] [CrossRef]
- Erez, G.; Rosen, N. The Gravitational Field of a Particle Possessing a Multipole Moment. Bull. Res. Counc. Isr. 1959, 8F, 47–50. [Google Scholar]
- Quevedo, H. General static axisymmetric solution of Einstein’s vacuum field equations in prolate spheroidal coordinates. Phys. Rev. D 1989, 39, 2904–2911. [Google Scholar] [CrossRef] [PubMed]
- Crowdy, D.G. General solutions to the 2D Liouville equation. Int. J. Eng. Sci. 1997, 35, 141. [Google Scholar] [CrossRef]
- Popov, A.G. Exact formulae of constructing solutions to the Liouville equation by use of solutions to the Laplace equation. Dokl. Akad. Nauk 1993, 333, 440–441. (In Russian) [Google Scholar]
- Regge, T.; Wheeler, J.A. Stability of a Schwarzschild singularity. Phys. Rev. 1957, 108, 1063–1069. [Google Scholar] [CrossRef]
- Zerilli, F.J. Effective potential for even parity Regge-Wheeler gravitational perturbation equations. Phys. Rev. Lett. 1970, 24, 737–738. [Google Scholar] [CrossRef]
- Petrov, A.Z. The classification of spaces defining gravitational fields. Sci. Not. Kazan State Univ. 1954, 114, 55–69. [Google Scholar] [CrossRef]
- Petrov, A.Z. Einstein Spaces; Pergamon Press: Oxford, UK, 1969. [Google Scholar]
- Newman, E.; Penrose, R. An Approach to gravitational radiation by a method of spin coefficients. J. Math. Phys. 1961, 3, 566–578. [Google Scholar] [CrossRef]
- Teukolsky, S.A. Perturbations of a rotating black hole. 1. Fundamental equations for gravitational electromagnetic and neutrino field perturbations. Astrophys. J. 1973, 185, 635–647. [Google Scholar] [CrossRef]
- Press, W.H.; Teukolsky, S.A. Perturbations of a Rotating Black Hole. II. Dynamical Stability of the Kerr Metric. Astrophys. J. 1973, 185, 649–674. [Google Scholar] [CrossRef]
- Chandrasekhar, S. The Mathematical Theory of Black Holes; Oxford University Press: Oxford, UK, 1983. [Google Scholar]
- Otsuki, H.; Futamase, T. Gravitational Perturbation of Schwarzschild-De Sitter Spacetime and Its Quasi-Normal Modes. Prog. Theor. Phys. 1991, 85, 771–778. [Google Scholar] [CrossRef]
- Horowitz, G.T.; Hubeny, V.E. Quasinormal modes of AdS black holes and the approach to thermal equilibrium. Phys. Rev. D 2000, 62, 024027. [Google Scholar] [CrossRef]
- Cardoso, V.; Lemos, J.P.S. Quasinormal modes of Schwarzschild anti-de Sitter black holes: Electromagnetic and gravitational perturbations. Phys. Rev. D 2001, 64, 084017. [Google Scholar] [CrossRef]
- Cardoso, V.; Konoplya, R.; Lemos, J.P.S. Quasinormal frequencies of Schwarzschild black holes in anti-de Sitter space-times: A Complete study on the asymptotic behavior. Phys. Rev. D 2003, 68, 044024. [Google Scholar] [CrossRef]
- Burgess, C.P.; Lutken, C.A. Propagators and Effective Potentials in Anti-de Sitter Space. Phys. Lett. B 1985, 153, 137–141. [Google Scholar] [CrossRef]
- Konoplya, R.A.; Zhidenko, A. Quasinormal modes of black holes: From astrophysics to string theory. Rev. Mod. Phys. 2011, 83, 793–836. [Google Scholar] [CrossRef]
- Dias, O.J.C.; Reall, H.S.; Santos, J.E. Strong cosmic censorship: Taking the rough with the smooth. JHEP 2018, 10, 001. [Google Scholar] [CrossRef]
- Glampedakis, K.; Johnson, A.D.; Kennefick, D. Darboux transformation in black hole perturbation theory. Phys. Rev. D 2017, 96, 024036. [Google Scholar] [CrossRef]
- Moulin, F.; Barrau, A. Analytical proof of the isospectrality of quasinormal modes for Schwarzschild-de Sitter and Schwarzschild-Anti de Sitter spacetimes. Gen. Rel. Grav. 2020, 52, 82. [Google Scholar] [CrossRef]
- Arslanaliev, A.M.; Nurmagambetov, A.J. Price’s Theorem in Gauge/Gravity Duality. Phys. Part. Nucl. 2018, 49, 879–883. [Google Scholar] [CrossRef]
- Konoplya, R.A. Quasinormal behavior of the d-dimensional Schwarzschild black hole and higher order WKB approach. Phys. Rev. D 2003, 68, 024018. [Google Scholar] [CrossRef]
- Lin, K.; Qian, W.L. A Matrix Method for Quasinormal Modes: Schwarzschild Black Holes in Asymptotically Flat and (Anti-) de Sitter Spacetimes. Class. Quant. Grav. 2017, 34, 095004. [Google Scholar] [CrossRef]
- Leaver, E.W. An Analytic representation for the quasi normal modes of Kerr black holes. Proc. R. Soc. Lond. A 1985, 402, 285–298. [Google Scholar]
- Nollert, H.P. Quasinormal modes: The characteristic ‘sound’ of black holes and neutron stars. Class. Quant. Grav. 1999, 16, R159–R216. [Google Scholar] [CrossRef]
- Berti, E.; Kokkotas, K.D. Quasinormal modes of Reissner-Nordstrom-anti-de Sitter black holes: Scalar, electromagnetic and gravitational perturbations. Phys. Rev. D 2003, 67, 064020. [Google Scholar] [CrossRef]
- Ferrari, V.; Gualtieri, L. Quasi-Normal Modes and Gravitational Wave Astronomy. Gen. Rel. Grav. 2008, 40, 945–970. [Google Scholar] [CrossRef]
- Matyjasek, J.; Opala, M. Quasinormal modes of black holes. The improved semianalytic approach. Phys. Rev. D 2017, 96, 024011. [Google Scholar] [CrossRef]
- Konoplya, R.A.; Zhidenko, A.; Zinhailo, A.F. Higher order WKB formula for quasinormal modes and grey-body factors: Recipes for quick and accurate calculations. Class. Quant. Grav. 2019, 36, 155002. [Google Scholar] [CrossRef]
- Yagi, K.; Yunes, N. I-Love-Q Relations in Neutron Stars and their Applications to Astrophysics, Gravitational Waves and Fundamental Physics. Phys. Rev. D 2013, 88, 023009. [Google Scholar] [CrossRef]
- Yagi, K.; Yunes, N. I-Love-Q Relations: From Compact Stars to Black Holes. Class. Quant. Grav. 2016, 33, 095005. [Google Scholar] [CrossRef]
- Newman, E.T.; Janis, A.I. Note on the Kerr spinning particle metric. J. Math. Phys. 1965, 6, 915–917. [Google Scholar] [CrossRef]
- Drake, S.P.; Szekeres, P. Uniqueness of the Newman-Janis algorithm in generating the Kerr-Newman metric. Gen. Rel. Grav. 2000, 32, 445–458. [Google Scholar] [CrossRef]
- Ferraro, R. Untangling the Newman-Janis algorithm. Gen. Rel. Grav. 2014, 46, 1705. [Google Scholar] [CrossRef]
- Erbin, H. Janis-Newman algorithm: Simplifications and gauge field transformation. Gen. Rel. Grav. 2015, 47, 19. [Google Scholar] [CrossRef]
- Rajan, D. Complex Spacetimes and the Newman-Janis trick. arXiv 2016, arXiv:1601.03862. [Google Scholar]
- Erbin, H. Janis-Newman algorithm: Generating rotating and NUT charged black holes. Universe 2017, 3, 19. [Google Scholar] [CrossRef]









| 1.99873 | 1.99700 | ||
| 1.99873 | 1.99700 | ||
| 1.99873 | 1.99700 | ||
| 1.99873 | 1.99700 | ||
| 1.97164 | 1.97039 | ||
| 1.97164 | 1.97039 | ||
| 1.97164 | 1.97039 | ||
| 1.97164 | 1.97039 | ||
| 1.73554 | 1.73553 | ||
| 1.73554 | 1.73553 | ||
| 1.73554 | 1.73553 | ||
| 1.73554 | 1.73553 | ||
| 0.74999 | 0.74999 | ||
| 0.74999 | 0.74999 | ||
| 0.74999 | 0.74999 | ||
| 0.74999 | 0.74999 |
| 0 | 0 | 0 | 0 | 0 | 0 | |
| 1 | 1 | 1 | 1 | 1 | 1 | |
| 2 | 2 | 2 | 2 | 2 | 2 | |
| 3 | 3 | 3 | 3 | 3 | 3 | |
| 4 | 4 | 4 | 4 | 4 | 4 | |
| 5 | 5 | 5 | 5 | 5 | 5 | |
| 0.999 | 0.990 | 0.909 | 0.5 | 0.333 | 0.25 | |
| 1.999 | 1.990 | 1.909 | 1.5 | 1.333 | 1.25 | |
| 2.999 | 2.990 | 2.909 | 2.5 | 2.333 | 2.25 | |
| 3.999 | 3.990 | 3.909 | 3.5 | 3.333 | 3.25 | |
| 4.999 | 4.990 | 4.909 | 4.5 | 4.333 | 4.25 | |
| 1.9980 | 1.9802 | 1.8181 | 1 | 0.666 | 0.5 | |
| 2.9980 | 2.9802 | 2.818 | 2 | 1.666 | 1.5 | |
| 3.9980 | 3.9802 | 3.818 | 3 | 2.666 | 2.5 | |
| 4.9980 | 4.9802 | 4.818 | 4 | 3.666 | 3.5 | |
| 2.9970 | 2.9702 | 2.727 | 1.5 | 1.0 | 0.75 | |
| 3.9970 | 3.9702 | 3.727 | 2.5 | 2.0 | 1.75 | |
| 4.9970 | 4.9702 | 4.727 | 3.5 | 3.0 | 2.75 | |
| 3.9960 | 3.9604 | 3.6363 | 2 | 1.333 | 1.0 | |
| 4.9960 | 4.9604 | 4.6363 | 3 | 2.333 | 2.0 |
Publisher’s Note: MDPI stays neutral with regard to jurisdictional claims in published maps and institutional affiliations. |
© 2021 by the authors. Licensee MDPI, Basel, Switzerland. This article is an open access article distributed under the terms and conditions of the Creative Commons Attribution (CC BY) license (http://creativecommons.org/licenses/by/4.0/).
Share and Cite
Arslanaliev, A.M.; Nurmagambetov, A.J. Scattering on Quasi-Spherical Black-Holes: Features and Beyond. Physics 2021, 3, 17-41. https://doi.org/10.3390/physics3010004
Arslanaliev AM, Nurmagambetov AJ. Scattering on Quasi-Spherical Black-Holes: Features and Beyond. Physics. 2021; 3(1):17-41. https://doi.org/10.3390/physics3010004
Chicago/Turabian StyleArslanaliev, Adam M., and Alexei J. Nurmagambetov. 2021. "Scattering on Quasi-Spherical Black-Holes: Features and Beyond" Physics 3, no. 1: 17-41. https://doi.org/10.3390/physics3010004
APA StyleArslanaliev, A. M., & Nurmagambetov, A. J. (2021). Scattering on Quasi-Spherical Black-Holes: Features and Beyond. Physics, 3(1), 17-41. https://doi.org/10.3390/physics3010004

