Next Article in Journal
La Palma 2021 Eruption (Canary Islands): Measurements and Modelling of Lava Flow Cooling Rates and Applications for Infrastructure Reconstruction and Risk Mitigation
Previous Article in Journal
GIS-Based Risk Assessment of Building Vulnerability in Flood Zones of Naic, Cavite, Philippines Using AHP and TOPSIS
 
 
Font Type:
Arial Georgia Verdana
Font Size:
Aa Aa Aa
Line Spacing:
Column Width:
Background:
Article

Seismic Response of a Cable-Stayed Bridge with Concrete-Filled Steel Tube (CFST) Pylons Equipped with the Seesaw System

by
Panagiota Katsimpini
*,
George Papagiannopoulos
and
George Hatzigeorgiou
Structural Technology and Applied Mechanics Laboratory, School of Science and Technology, Hellenic Open University, GR-26335 Patras, Greece
*
Author to whom correspondence should be addressed.
GeoHazards 2024, 5(4), 1074-1092; https://doi.org/10.3390/geohazards5040051
Submission received: 8 September 2024 / Revised: 29 September 2024 / Accepted: 2 October 2024 / Published: 4 October 2024

Abstract

This research examines the seismic behavior of a cable-stayed bridge featuring concrete-filled steel tube (CFST) pylons, which includes the seesaw system. The objective of the study is to assess the efficacy of the seesaw system in mitigating the seismic response of the bridge across various earthquake scenarios, while also accounting for the implications of soil–structure interaction (SSI). A comprehensive finite element model of the bridge is constructed, incorporating the CFST pylons, cable system, and the novel seesaw energy dissipation system. This model is tested against a range of ground motions that reflect different seismic hazard levels and characteristics. The impact of SSI is analyzed through a series of parametric studies that explore various soil conditions and foundation types. The findings indicate that the implementation of the seesaw system markedly decreases the seismic demands placed on the bridge structure, particularly regarding deck displacements, pylon base shear, and cable forces. Furthermore, the study underscores the significant influence of SSI on the dynamic behavior of the bridge system, emphasizing the necessity of its inclusion in seismic design and analysis. This research enhances the understanding of seismic protection strategies for cable-stayed bridges, providing valuable insights into the advantages of integrating energy dissipation systems and recognizing the importance of SSI effects in evaluating seismic performance.

1. Introduction

The importance of bridges within the transportation infrastructure cannot be neglected. Significant damage to a bridge can lead to considerable economic repercussions and a potential loss of life. Among various geological disasters, earthquakes frequently cause severe damage to or even the total collapse of bridges. This recurring issue has prompted heightened examination of bridge performance during seismic activities. In the event of intense earthquakes, beam bridge systems that utilize laminated rubber bearings as isolators have demonstrated effectiveness [1,2,3,4]. These bearings serve as sacrificial components, significantly reducing damage to the piers. Consequently, laminated rubber bearings are widely regarded as effective solutions for seismic isolation. To mitigate the negative impacts of substantial superstructure displacement, it is crucial to adopt retrofitting strategies for existing structures or to enhance the design of new bridges.
A study conducted by Sehn et al. [5] involved the field investigation of a bridge utilizing lead–rubber seismic isolation bearings to evaluate the foundational assumptions and uncertainties associated with its design and construction. A numerical model was employed to carry out parametric analyses, simulating near-fault ground motions and investigating the near-fault effect. The findings indicated the ratio of energy dissipated by the lead–rubber bearings compared to the total input energy, which may be influenced by the near-fault effect. Furthermore, the research assessed the influence of variations in structural parameters on the near-fault effect, offering essential insights for potential mitigation strategies. In May 2008, a moment magnitude 6.3 earthquake impacted the South Iceland Lowland, significantly affecting the Oseyrar Bridge, which spans 370 m and incorporates a base-isolated system. Due to its proximity to the earthquake’s epicenter, the bridge experienced substantial ground motion. The results from Jonsson et al. [6] demonstrated that numerical models can be effectively utilized to back-calculate the damage observed, based on the recorded ground motion in the area. The loads recorded exceeded those specified by Eurocode 8 [7] for the site, despite the anticipated magnitude and location of the earthquake. A near-fault pulse, which is not accounted for in recent codes, was the primary factor contributing to this situation. Consequently, an enhanced design is recommended to prevent the damage that occurred.
In their research, Bhuiyan and Alam [8] conducted a seismic performance evaluation of an isolated three-span continuous highway bridge, which experiences moderate to strong ground accelerations during seismic events in the longitudinal direction. The study examined two varieties of isolation bearings: high damping rubber bearings (HDRBs) and a hybrid isolation bearing that incorporates shape memory alloy (SMA) wires along with natural rubber bearings (NRBs), referred to as SMA-based rubber bearings (SRBs). The findings indicated that the seismic responses of the bridge were significantly influenced by the type of isolation bearings employed. Specifically, the residual displacement of the deck was markedly reduced following seismic occurrences when SRBs were utilized, in comparison to HDRBs, irrespective of the intensity of the seismic activity. Conversely, pier displacements were lower with SRBs during moderate earthquakes, yet they increased during strong seismic events.
Another study in [9] explored the mitigation of longitudinal buffeting responses using fluid viscous dampers in the Jiashao Bridge, recognized as the longest multi-span cable-stayed bridge globally. Findings from the parametric analysis indicated that the strategic application of viscous fluid dampers can significantly diminish the top displacements of central towers and the base forces of bridge towers that are longitudinally constrained by the bridge deck, while still preserving the substantial gains in base forces for towers that are not constrained.
The research in [10] addressed the seismic pounding effects experienced by an existing steel cable-stayed bridge through the application of metallic dampers. The damage resulting from the pounding caused by the earthquake between the bridge and the abutments was documented following the site inspection conducted in 1988 [11,12]. To facilitate this goal, a finite element model of the bridge was established, and a nonlinear time-history analysis was performed to examine the influence of the proposed control system on the bridge’s seismic performance. The results from the comparative study demonstrated that metallic dampers effectively reduced seismic pounding and enhanced the bridge’s overall seismic response.
Another study in [13] aimed to outline the conceptual design of a cable-stayed pedestrian cross-over bridge located near the Koyambedu bus terminus. It briefly addressed the development of the detailed design and the critical issues related to the bridge deck, cables, and tower. The primary purpose of the bridge was to facilitate safe pedestrian movement across the expressway, thereby reducing the risk of fatal accidents. In an effort to promote the advancement of CFRP cable-stayed bridges and to gather practical experience, a comprehensive study was undertaken on the first cable-stayed bridge in China to employ CFRP cables [14]. The findings indicated that all sections of the bridge met the standards for ultimate bearing capacity and normal operational service, the anchorage exhibited satisfactory performance, and the stress distribution across the cable systems was uniform. These outcomes affirm the successful application of CFRP cables in the first cable-stayed bridge in China.
Liu et al. [15] presented a multi-tiered seismic fortification objective specifically for cable-stayed bridges equipped with safe-belt devices. These devices serve to safeguard the primary components and facilitate the transfer of forces to the restraint system in accordance with varying seismic demands. For the purpose of this study, a double-tower cable-stayed bridge was selected as the case study. The integration of safe-belt devices in a double-tower cable-stayed bridge significantly mitigated the internal forces acting on the primary structures by leveraging the combined strength of the dual towers, thus averting severe damage. Furthermore, these devices permitted controlled displacement at the girder ends until their capacity was reached.
Atmaca et al. [16] investigated the impact of earthquakes on cable-stayed bridges that are isolated using single concave friction pendulum bearings (SCFPs). For this study, the Manavgat cable-stayed bridge was selected as a case for numerical analysis. The findings demonstrated that the implementation of an isolation system significantly mitigated the destructive effects of earthquakes on the bridge. The study in [17], outlined in this paper, examined the susceptibility of existing RC girder bridges to earthquakes under traffic loads, with an emphasis on the effects caused by corrosion. It proposed an automated framework intended to enhance the efficiency of probabilistic structural assessments for the bridge type in question, factoring in different critical corrosion scenarios and the implications of knowledge-based uncertainty related to both geometric and mechanical properties.
A novel method for energy dissipation is illustrated by the seesaw system developed by Kang and Tagawa [18]. This system comprises three essential elements: braces, a seesaw, and fluid viscous dampers (FVDs), as shown in Figure 1. Katsimpini et al. [19] conducted numerical parametric studies to assess the efficacy of the seesaw system in low-rise three-dimensional steel structures. Furthermore, their recent research [20] examined the benefits of implementing the seesaw system in an aging, non-ductile reinforced concrete (RC) structure for seismic reinforcement.
The existing transportation infrastructure requires the development of bridges over gorges in regions prone to seismic activity, which compels engineers to establish pier foundations on soil due to the specific site conditions. The study conducted by Tongaonkar [21] sought to evaluate the impact of soil–structure interaction (SSI) on the peak responses of a three-span continuous deck bridge that employs elastomeric bearings for seismic isolation. The results revealed that the soil surrounding the pier had a considerable effect on the responses of isolated bridges, and, in some cases, the displacements of the bearings at abutment locations may have been underestimated if SSI effects were not incorporated into the system’s response analysis.
Studies under review have consistently regarded the foundations of bridge piers as rigid and anchored in solid rock, overlooking the influence of soil–structure interaction (SSI) effects on isolated bridges. The concept of seismic isolation relies on the capacity to separate a structure from the detrimental impacts of earthquake motion through a mechanism that offers both flexibility and energy absorption. These characteristics are affected by the flexibility of the surrounding soil, as the combination of soil, base, and isolated structure is fundamentally more flexible than a structure with a rigid foundation. Additionally, energy dissipation within the soil occurs via wave radiation and hysteretic damping. Research conducted by Crouse et al. [22], Somani [23] and Spyrakos [24,25], has underscored the critical importance of SSI during the seismic excitation of non-isolated bridges. Their results indicate that SSI effects can contribute to a reduction in the seismic response of bridges, potentially leading to lower design costs. This phenomenon is anticipated, as the flexibility of the surrounding soil diminishes the overall stiffness of the system, thereby lowering its frequencies and altering its response.
New bridge designs employing concrete-filled steel tubes (CFSTs) have been proposed by Nakamura [26,27,28,29]. One of these designs has been selected and constructed for a railway bridge [27]. The study in [30] presented a novel type of cable-supported bridge, known as the cable-stayed concrete-filled steel tube (CFST) arch bridge, and it examined its static strength. The arch ribs were constructed from concrete-filled steel tubes, which exhibit exceptional resistance to bending moments and compressive axial forces, making them suitable for use as arch ribs. The findings indicated that the proposed cable-stayed CFST arch bridge is both feasible and potentially cost-effective. Concrete-filled steel tubes (CFSTs) are a composite material formed by infusing concrete into a steel tube. This innovative combination harnesses the exceptional compressive strength of concrete along with the superior tensile strength of steel, resulting in a material that is both strong and resilient, capable of withstanding various environmental conditions [31,32]. The steel tube acts as a protective casing for the concrete, thereby enhancing its performance under both static and dynamic loads. A notable advantage of CFSTs is their ability to resist buckling and failure when exposed to significant compressive forces [33]. Consequently, they are widely utilized in numerous structural applications, including bridges, high-rise buildings, and offshore constructions. Furthermore, the composite nature of concrete-filled steel tubes provides enhanced ductility and energy dissipation, making them particularly effective against seismic and blast forces. The use of steel tubes filled with concrete exemplifies a modern composite construction method that continues to advance, showcasing substantial potential for improving structural integrity [34,35]. Chorafa et al. [36] conducted a study examining the seismic behavior of moment-resistant composite frames that incorporated CFST columns and composite steel beams under multiple seismic events, while also considering the effects of soil–structure interaction (SSI). The presence of SSI generally leads to reduced drift ratios and accelerations, but it also results in increased periods and displacements. The outcomes of this research challenge conventional seismic engineering practices and highlight the critical need to account for multiple earthquake scenarios, distinctive building characteristics, and SSI effects in the seismic design of CFST-steel composite frames. Moreover, the aforementioned research advocates for the revision of existing design standards to better address these intricate interactions.
This study investigates the seismic properties of a cable-stayed bridge that utilizes concrete-filled steel tube (CFST) pylons, along with a seesaw system. The primary objective is to assess the effectiveness of the seesaw system in reducing the seismic response of the bridge across various earthquake scenarios, while also considering the implications of soil–structure interaction (SSI). A detailed finite element model of the bridge is developed, incorporating the CFST pylons, cable system, and the innovative seesaw energy dissipation mechanism. This model undergoes analysis with multiple ground motions that represent different levels and characteristics of seismic hazards. The influence of SSI is evaluated through a series of parametric studies that explore various soil conditions and foundation types. The results indicate that the seesaw system significantly alleviates the seismic demands placed on the bridge, particularly in terms of deck displacements, pylon base shear, and cable forces. Additionally, the research underscores the critical role of SSI in the dynamic behavior of the bridge system, reinforcing the importance of its inclusion in seismic design and analysis. This research contributes to a deeper understanding of seismic protection strategies for cable-stayed bridges, offering valuable insights into the benefits of integrating energy dissipation systems and acknowledging the significance of SSI effects in assessing seismic performance.

2. Description and Design of Composite Structures

The pedestrian bridge under investigation extends 30 m in length and has a width of 3.5 m, comprising two equal spans of 15 m each, as illustrated in Figure 2. A concrete-filled steel tube (CFST) tower, standing 12 m tall, provides support for the structure. The bridge deck, constructed from CFST, is held in place by 12 steel cables. The arrangement of the cables is as follows: the first cable is located 3.75 m from the tower, with each subsequent cable positioned at intervals of 3.75 m. The distance from the shore supports to the last cable connection point on the deck is also 3.75 m. Rigid links are utilized to connect the cables to the girders and tower at these 3.75 m intervals.
To improve the seismic resilience of the bridge, a seesaw mechanism has been implemented beneath the deck at the midpoint of each span, resulting in a total of two such systems, as illustrated in Figure 3. The analysis incorporates the initial prestressing of cables and presumes that the type of anchorage does not necessitate a decrease in breaking strength values. This seesaw mechanism features linear viscous dampers with a damping coefficient of 250 kNs/m, a vertical steel plate that is 870 mm in height, and a horizontal steel plate that extends 1600 mm in length. The cross-section of the tower is a circular concrete-filled steel tube (CFST) with a diameter of 0.6 m and a wall thickness of 0.05 m. The deck’s cross-section is also a CFST, measuring 3.5 m in width and 0.6 m in height, with flange and web thicknesses of 0.2 m each. The bridge is constructed using C30/37 grade concrete and S275 grade steel, with the cables, including those in the seesaw system, having a diameter of 40 mm. The material properties as well as the cross-section properties are presented in Table 1 and Table 2, respectively.

3. Modeling of the Cable Stayed Bridge

The bridge has been modeled with the aid of SAP2000 v25 finite element software [38]. At the abutments, it is capable of moving freely along its longitudinal axis, while being restricted in both the transverse and vertical directions. Figure 4 and Figure 5 present a three-dimensional view of the bridge under study with and without the seesaw system. The inelastic behavior of the structure is assessed by considering the potential formation of plastic hinges at the ends of each member, which can be represented through a bi-linear hysteresis model. The P-M2-M3 hinge property denotes the interaction of axial load and biaxial bending moments in the tower section, while the M2-M3 hinge property illustrates the biaxial bending moment behavior of the box girder. The behavior of composite sections is modeled using the modified Ramberg–Osgood model in accordance with Serras [39]. The element types used in the analysis as well as the boundary conditions are presented in Table 3 and Table 4, accordingly.
The damping matrix for the superstructure is developed utilizing the Rayleigh damping model, which accounts for the current stiffness of the structure at each time increment, thereby producing a tangent damping matrix. The inherent viscous damping ratio for the superstructure is set at ξ = 4% for both the first and second modes of the system. The cables on the seesaw are designed as tension members that bear axial loads while preserving a curved configuration, without contributing to bending moments. A small pretension on cable elements is applied. Nonlinear direct-integration load cases inherently incorporate tension stiffening and large-displacement effects. Linear viscous dampers are modeled as discrete damping elements through the use of the Link element [38].

4. Ground Motions and Soil Structure Interaction Modeling

To simulate the interaction between soil and structure, the tower’s foundation is modeled by a couple of independent springs and dashpots that remain unaffected by frequency [40]. The configuration of springs, dashpots, and masses is represented using the ‘Link element’ [38], as illustrated in Figure 6 and Figure 7. The tower is situated on a footing with dimensions of 1.5 m × 1.5 m × 0.8 m, while the vertical components of the seesaw system are supported by a footing measuring 2 m × 1 m × 0.4 m, designed in compliance with Eurocode 8 [41]. The soil is categorized as type C, exhibiting a shear wave velocity of 270 m/s and a density of 1900 kg/m3. To account for the effects of soil nonlinearity during substantial ground accelerations, the effective shear modulus is modified to 50% of its original ‘elastic’ value.
The coefficients for the springs and the damping coefficients for the dashpots for the foundation of the tower and the foundation of the vertical members of the seesaw system, are detailed in Table 5 and Table 6, respectively, and these values are derived from the following equations [40].
K v = 4.7 G 0 a 1 v
K H = 9.2 G 0 a 2 v
K R = 4 G 0 a 3 1 v
C v = 0.8 a V s K v
C H = 0.163 a V s K H
C R = 0.6 a V s K R
The parameter α is defined as half the width of the square foundation for each column. Moreover, G0 and ν are used to represent the soil’s shear modulus and Poisson’s ratio, respectively, while Vs indicates the shear wave velocity of the soil.
The two horizontal components of the eleven seismic motions presented in Table 7 have a significant impact on the structure. The soil classifications listed in Table 7 are represented by the abbreviations HR for hard rock, SR for sedimentary rock, and SL for conglomerate rock and soil/alluvium. It is crucial to emphasize that, in order to investigate the actual impact of seismic activity and the response of the bridge, the seismic motions presented in Table 7 are not subjected to any amplitude scaling or spectral matching procedures. The approach to ground motion selection establishes a strong framework for evaluating the seismic resilience of the bridge, especially when accounting for innovative components like a seesaw system. It enables an in-depth analysis of the structure’s behavior across various realistic seismic scenarios.

5. Results

5.1. Fundamental Periods of the Examined Bridge

The fundamental period of the bridge under investigation is presented in the subsequent table. Table 8 illustrates the fundamental period of the bridge for both fixed and deformable soil conditions and in the presence or absence of the seesaw system.
To verify the accuracy of the finite element model, the authors performed a comparison between the fundamental periods obtained from numerical analysis and the established analytical solutions for cable-stayed bridges. According to the design guidelines provided by the Federal Highway Administration (FHWA) [42], the fundamental period of a typical cable-stayed bridge can be estimated using the following formula:
T = 0.2(L/H)0.5
In this equation, L signifies the length of the main span, while H indicates the height of the tower. For the dimensions utilized in the study (L = 30 m, H = 12 m), the analytical calculation results in a fundamental period of 0.86 s. This finding is in close agreement with the 0.87 s derived from the finite element model under fixed base conditions, excluding the seesaw system, thereby confirming that the numerical model accurately reflects the dynamic characteristics of the bridge.

5.2. Seismic Response Results

Figure 8 presents the base shear forces acting on the bridge tower under different scenarios. The graph contrasts four distinct conditions: a fixed base without a seesaw system, a fixed base with a seesaw system, soil–structure interaction (SSI) without a seesaw system, and SSI with a seesaw system. The findings reveal the considerable influence of both the seesaw system and soil–structure interaction on the seismic performance of the bridge. In the fixed base scenario, the introduction of the seesaw system leads to a reduction in base shear from approximately 301 kN to 247 kN, which equates to a significant decrease. These results are consistent with findings from previous studies on the seesaw system’s effectiveness in reducing seismic forces on steel frame structures (Kang and Tagawa [18]; Katsimpini et al. [19]). In cases where soil–structure interaction is taken into account, the base shear values are generally lower than those observed in fixed base scenarios. This is in line with the observations made by Crouse et al. [22] and Spyrakos [24,25], who reported that SSI can lead to a reduction in seismic demands on bridge structures due to increased flexibility and energy dissipation in the soil. Nevertheless, the seesaw system continues to demonstrate a meaningful reduction, lowering the base shear from around 247 kN to 127 kN, representing a significant decrease. These results emphasize the efficacy of the seesaw system in alleviating seismic forces on the bridge tower, with its advantages apparent in both fixed base and SSI scenarios. Additionally, the findings highlight the necessity of incorporating soil–structure interaction into seismic assessments, as it plays a crucial role in determining the forces experienced by the structure.
In Figure 9, the base moment experienced by the bridge tower is depicted under the same four scenarios as shown in Figure 8. The graph reveals trends that align closely with those observed in the base shear analysis, though the effects are even more pronounced. In the fixed base condition, the integration of the seesaw system leads to a reduction in the base moment from approximately 765 kNm to 580 kNm. When soil–structure interaction is considered, the overall base moments are lower; nevertheless, the seesaw system still offers significant advantages. In the soil–structure interaction scenario, the seesaw system reduces the base moment from about 500 kNm to 432 kNm. These results highlight the remarkable effectiveness of the seesaw system in mitigating the rotational forces at the base of the bridge tower. The substantial reductions in base moment suggest that the seesaw system could lead to more economical foundation designs and enhance overall structural performance during seismic events. Furthermore, the data reinforce the necessity of incorporating soil–structure interaction in seismic analysis, as it notably impacts the magnitude of moments experienced by the structure.
In the scenario of a bridge featuring a fixed tower base, the acceleration experienced by a joint on the deck is influenced by the presence or absence of a seesaw system, as illustrated in Figure 10. In the absence of the seesaw system, the acceleration can reach 5 m/s2, indicating a heightened dynamic response to seismic forces. This level of acceleration may result in increased stress on the bridge’s components and could adversely affect user comfort, as demonstrated in studies by Mei et al. [14]. Conversely, when the seesaw system is implemented, the acceleration decreases to 4 m/s2. This 20% reduction in acceleration highlights the seesaw system’s effectiveness in alleviating dynamic forces and enhancing the bridge’s overall performance, which is consistent with the findings of Kang and Tagawa [18] and Katsimpini et al. [19] for steel structures. The seesaw system likely facilitates controlled movement and energy dissipation, thereby minimizing the transfer of forces to the deck. Such improvements in dynamic behavior can contribute to greater structural integrity, an extended lifespan for the bridge, and enhanced safety and comfort for its users.
When analyzing soil–structure interaction (SSI), the dynamic response of a bridge is profoundly affected. For the bare bridge lacking the seesaw system, the acceleration rises to 4.8 m/s2. This increase, in contrast to the fixed condition of 5 m/s2, may appear counterintuitive, given that SSI generally results in longer periods and lower accelerations. However, this phenomenon may stem from the complex interplay between the soil and the structure, which could amplify certain frequency components, as observed in the studies by Somani et al. [23] and Chorafa et al. [36]. In contrast, the implementation of the seesaw system under SSI conditions results in a significant reduction in acceleration to 2 m/s2. This notable decrease of 58.3% from the bare SSI case and 60% from the fixed seesaw scenario highlights the advantageous effects of combining the seesaw system with SSI. The flexible soil boundary likely enhances energy dissipation through the seesaw system, leading to markedly lower accelerations, as suggested by the findings of Tongaonkar and Jangid [21] and Jónsson et al. [6]. This combination may offer substantial benefits in seismic-prone areas or regions with soft soils, as it provides improved protection against dynamic forces while considering realistic soil–structure interactions.
Under fixed tower conditions, the bridge reveals significant differences in joint displacement on the deck, depending on the presence of the seesaw system, as depicted in Figure 11. When the seesaw system is absent, the displacement reaches 0.125 m, indicating considerable movement of the bridge deck under load. This level of displacement poses potential structural risks and may compromise user comfort. In contrast, the introduction of the seesaw system results in a remarkable reduction in displacement to 0.032 m. This improvement, representing a 74.4% decrease, highlights the effectiveness of the seesaw system in controlling deck movement. The mechanism likely operates by redistributing forces and providing a counterbalancing effect, thereby enhancing the bridge’s stability and performance across various loading conditions. Such a significant reduction in displacement can enhance the bridge’s durability, decrease maintenance demands, and improve user comfort and safety.
The behavior of the bridge is significantly altered when considering soil–structure interaction (SSI). In the absence of the seesaw system, the displacement of the bare structure reaches 0.14 m, which is an increase of 12% compared to the fixed condition. This rise emphasizes the influence of soil deformation and its interaction with the bridge, potentially resulting in enhanced overall flexibility. Conversely, when the seesaw system is integrated into the SSI scenario, the displacement decreases substantially to 0.029 m. This marks a 79.3% reduction relative to the bare structure under SSI and shows a slight improvement over the fixed condition with the seesaw system. The seesaw mechanism demonstrates greater effectiveness in the SSI context, likely due to its capacity to adjust to and mitigate the additional flexibility caused by soil–structure interaction. This remarkable performance highlights the versatility and efficiency of the seesaw system in improving bridge stability across various foundation conditions.
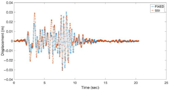
The time history of displacement for a joint on the bridge deck is depicted in Figure 12, comparing scenarios with and without the seesaw system on solid soil. The graph clearly indicates the effectiveness of the seesaw system in reducing displacement amplitudes. In the absence of the seesaw system, the displacement experiences higher oscillation peaks, reaching nearly −0.13 m at its extremes. However, with the seesaw system in place, the displacement amplitudes are significantly diminished, with peak displacements reduced to approximately 0.025 m. This considerable reduction in displacement amplitude, roughly 75%, illustrates the seesaw system’s ability to effectively control deck movement and enhance the stability of the bridge on solid soil conditions.
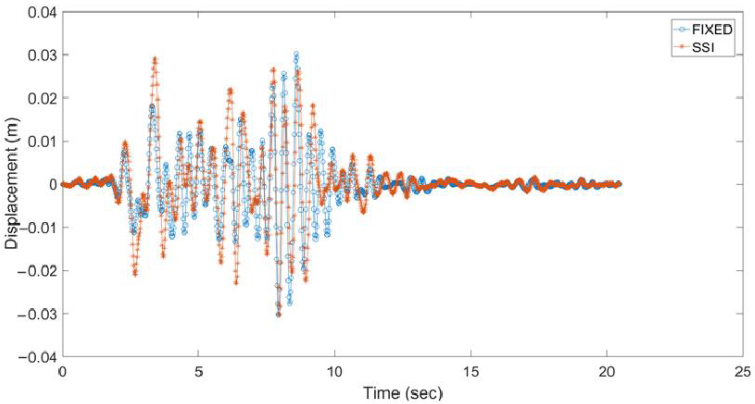
Figure 13 provides a similar comparison of displacement time histories for a bridge positioned on compliant (softer) soil. The effect of the seesaw system is notably more pronounced in this scenario. In the absence of the seesaw system, the displacement reveals significant oscillations, with peak amplitudes reaching around −0.14 m. When the seesaw system is applied, the displacement is significantly reduced, with maximum amplitudes of approximately 0.03 m. This indicates an almost 80% reduction in peak displacement. The graph further illustrates that the seesaw system not only reduces the magnitude of displacements but also appears to dampen the oscillations more rapidly, suggesting improved energy dissipation in softer soil conditions.
In Figure 14, the displacement time histories for a bridge without the seesaw system are compared under both stiff and compliant soil conditions. This graph serves to highlight the effects of soil–structure interaction on the bridge’s dynamic response. On stiff soil, the displacement oscillates with lower amplitudes, generally confined to 0.13 m. In contrast, on compliant soil, the displacements are markedly larger, reaching peaks of around 0.15 m. This increase in amplitude, approximately 40%, on softer soil illustrates how varying soil conditions can profoundly influence the seismic response of the bridge, potentially resulting in increased structural demands and compromised performance without appropriate mitigation measures.
In Figure 15, the displacement time histories for a bridge fitted with the seesaw system are depicted, comparing its performance on rigid versus flexible soil. Interestingly, the disparity in displacement between the two soil types is minimal when the seesaw system is operational. Both scenarios exhibit well-managed displacements, with peak amplitudes around −0.03 m. This finding suggests that the seesaw system is remarkably effective in alleviating soil–structure interaction effects, maintaining consistent performance across varying soil conditions. The graph underscores the system’s proficiency in standardizing the bridge’s seismic response, potentially streamlining design considerations for different site conditions.
Figure 16 illustrates a comparative analysis of ductility demands for the tower in the bridge with and without the seesaw system. The bar chart displays values for two critical engineering parameters: displacement ductility and curvature ductility.
The seesaw system facilitates a more uniform distribution of lateral loads across piers or towers, thereby minimizing the maximum force and displacement experienced by individual structural components. The rocking action inherent in the seesaw system allows for the dissipation of seismic energy through controlled movements, thereby lessening the energy that must be absorbed through material deformation. The seesaw system is designed with self-centering features, which can mitigate residual displacements following an earthquake, thus lowering the overall displacement ductility demand. Furthermore, the seesaw motion can function as a form of base isolation, partially decoupling the movement of the superstructure from that of the substructure, which can diminish the transfer of seismic forces to the piers or towers.

6. Discussion

The findings of this research highlight the notable effect of the seesaw system on the seismic performance of cable-stayed bridges equipped with concrete-filled steel tube (CFST) pylons. The integration of the seesaw system reliably improved several aspects of the bridge’s seismic response across a range of foundation conditions.
In scenarios involving fixed foundations, the seesaw system demonstrated significant efficacy in alleviating seismic forces. Furthermore, the system remarkably diminished deck displacement by 74.4%, decreasing it from 0.125 m to 0.032 m. Additionally, the peak acceleration at a deck joint experienced a substantial decrease of 20%, falling from 5 m/s2 to 4 m/s2.
The evaluation of soil–structure interaction (SSI) demonstrated even greater benefits associated with the seesaw system. When SSI was taken into account, the system led to a substantial decrease in deck displacement by 79.3%, from 0.14 m to 0.029 m. Furthermore, the reduction in peak acceleration was particularly remarkable, showing a 58.3% decrease from 4.8 m/s2 to 2 m/s2. These outcomes highlight the synergistic effects of merging the seesaw system with realistic models of soil–structure interaction.
The research underscored the considerable impact of soil conditions on the seismic behavior of the bridge. In the absence of the seesaw system, softer soil resulted in displacements that were roughly 40% greater than those observed in stiffer soil. Nevertheless, the seesaw system proved to be highly effective in reducing the effects of soil–structure interaction, maintaining reliable performance across various soil types. This discovery indicates that the seesaw system may streamline design processes for bridges situated in diverse environments.
The implementation of the seesaw system, along with the consideration of SSI, resulted in an increase in the fundamental period of the structure, signifying enhanced flexibility. Time history analyses indicated that the seesaw system not only minimizes displacement magnitudes but also accelerates the damping of oscillations, thereby demonstrating improved energy dissipation. The notable reductions in displacements and accelerations facilitated by the seesaw system suggest potential enhancements in structural longevity, decreased maintenance needs, and improved user comfort and safety.
These advantages could significantly influence the design and operation of bridges located in seismically active areas. While this study presents strong evidence supporting the efficacy of the seesaw system, it also highlights several avenues for future research. Further exploration of the system’s performance across a broader spectrum of seismic scenarios and soil conditions could yield valuable insights. Investigating the long-term durability and maintenance demands of bridges utilizing the seesaw system would be advantageous for practical application. Moreover, examining the system’s applicability to various types of structures could broaden its potential uses in seismic design.

7. Novelty and Limitations

The originality of this research is highlighted by several significant aspects, as follows:
  • The integration of the seesaw system with a cable-stayed bridge structure that incorporates CFST pylons: although the seismic performance of the seesaw system has been previously examined in steel frame structures, this study represents the first investigation into its effectiveness in enhancing the seismic response of a cable-stayed bridge featuring CFST pylons.
  • A thorough assessment of soil–structure interaction (SSI) effects: This research offers an in-depth analysis of the seesaw system’s performance across various soil conditions, taking into account flexible soil boundaries. This contribution is noteworthy, as earlier studies on cable-stayed bridges have frequently overlooked the impact of SSI.
  • Measurement of the benefits provided by the seesaw system: The study meticulously quantifies the enhancements in seismic response metrics, including deck displacements, pylon base shear, and cable forces, resulting from the implementation of the seesaw system. This analysis yields valuable insights into the system’s effectiveness in bolstering the overall seismic resilience of cable-stayed bridges.
  • The primary limitations of this research include the following:
  • The investigation is confined to a single cable-stayed bridge configuration and does not examine the performance of the seesaw system across a broader spectrum of bridge geometries and design parameters.
  • The study does not address the long-term durability and maintenance needs of the seesaw system. Additional research is required to evaluate the practical implications of deploying the seesaw system in real-world bridge applications.
  • The focus of the study is on the seismic performance of the bridge in response to ground motions, without considering the potential effects of other hazards, such as wind or flooding, which may also be affected by the presence of the seesaw system.
Future research should seek to overcome these limitations and further enhance the understanding of the seesaw system’s applicability and performance in the context of cable-stayed bridges.

8. Conclusions

In conclusion, this analysis confirms that the seesaw system is an exceptionally effective strategy for improving the seismic performance of cable-stayed bridges with CFST pylons. Its ability to mitigate seismic forces across various soil conditions establishes it as a versatile solution for enhancing bridge safety and resilience in regions vulnerable to earthquakes. The findings stress the importance of incorporating soil–structure interaction in seismic design and analysis, particularly when utilizing innovative energy dissipation systems such as the seesaw mechanism. This research significantly enriches the field of seismic engineering and suggests promising directions for enhancing the resilience of critical infrastructure.

Author Contributions

All authors have equally contributed to this paper. All authors have read and agreed to the published version of the manuscript.

Funding

This research project is co-financed by Hellenic Open University and the Greek Ministry of Education and Religious Affairs through Research Programs 80248 and 80272.

Data Availability Statement

Data will be made available on request.

Conflicts of Interest

The authors declare no conflicts of interest.

References

  1. Li, J.; Peng, T.; Xu, Y. Damage investigation of girder bridges under the Wenchuan earthquake and corresponding seismic design recommendations. Earthq. Eng. Eng. Vib. 2008, 7, 337–344. [Google Scholar] [CrossRef]
  2. Abe, M.; Yoshida, J.; Fujino, Y. Multiaxial behaviors of laminated rubber bearings and their modeling. I: Experimental study. J. Struct. Eng. 2004, 130, 1119–1132. [Google Scholar] [CrossRef]
  3. Kelly, J.M.; Konstantinidis, D.A. Mechanics of Rubber Bearings for Seismic and Vibration Isolation; John Wiley & Sons: Chichester, UK, 2011. [Google Scholar]
  4. Kumar, M.; Whittaker, A.S.; Constantinou, M.C. An advanced numerical model of elastomeric seismic isolation bearings. Earthq. Eng. Struct. Dyn. 2014, 43, 1955–1974. [Google Scholar] [CrossRef]
  5. Shen, J.; Tsai, M.-H.; Chang, K.-C.; Lee, G.C. Performance of a seismically isolated bridge under near-fault earthquake ground motions. J. Struct. Eng. 2004, 130, 861–868. [Google Scholar] [CrossRef]
  6. Jónsson, M.H.; Bessason, B.; Haflidason, E. Earthquake response of a base-isolated bridge subjected to strong near-fault ground motion. Soil Dyn. Earthq. Eng. 2010, 30, 447–455. [Google Scholar] [CrossRef]
  7. EN 1998-1:2004; Eurocode 8—Design of Structures for Earthquake Resistance, Part 1-1: General Rules, Seismic Actions and Rules for Buildings. European Committee for Standardization (CEN): Brussels, Belgium, 2005.
  8. Bhuiyan, A.R.; Alam, M.S. Seismic performance assessment of highway bridges equipped with superelastic shape memory alloy based laminated rubber isolation bearing. Eng. Struct. 2013, 49, 396–407. [Google Scholar] [CrossRef]
  9. Geng, F.; Ding, Y.; Li, A. Passive Control System for Mitigation of Longitudinal Buffeting Responses of a Six-Tower Cable-Stayed Bridge. Math. Probl. Eng. 2016, 2016, 6497851. [Google Scholar] [CrossRef]
  10. Javanmardi, A.; Ghaedi, K.; Ibrahim, Z.; Muthu, K.U. Seismic Pounding Mitigation of an Existing Cable-Stayed Bridge Using Metallic Dampers. In Proceedings of the IABSE Conference—Engineering the Developing World, Kuala Lumpur, Malaysia, 25–27 April 2018. [Google Scholar] [CrossRef]
  11. Ghaedi, K.; Ibrahim, Z.; Adeli, H.; Javanmardi, A. Invited Review: Recent developments in vibration control of building and bridge structures. J. Vibroengineering 2017, 19, 3564–3580. [Google Scholar] [CrossRef]
  12. Filiatrault, A.; Tinawai, R.; Massicotte, B. Damage to cable-stayed bridge during 1988 Saguenay earthquake. I: Pseudostatic analysis. J. Struct. Eng. 1993, 119, 1432–1449. [Google Scholar] [CrossRef]
  13. Rajesh, J.; Baskar, S.; Nelson Ponnu Durai, T. Design of Cable Stayed Pedestrian Bridge. Int. J. Appl. Eng. Res. 2015, 10, 24–32. [Google Scholar]
  14. Mei, K.; Li, Y.; Lu, Z. Application study on the first cable-stayed bridge with CFRP cables in China. J. Traffic Transp. Eng. (Engl. Ed.) 2015, 2, 242–248. [Google Scholar] [CrossRef]
  15. Liu, Y.; Zhang, W.; Chen, Y.; Du, X. Multi-level fortification strategies for double-tower cable-stayed bridges with safe-belt devices. Structures 2024, 67, 106916. [Google Scholar] [CrossRef]
  16. Atmaca, B.; Yurdakul, M.; Ateş, Ş. Nonlinear dynamic analysis of base isolated cable-stayed bridge under earthquake excitations. Soil Dyn. Earthq. Eng. 2014, 66, 314–318. [Google Scholar] [CrossRef]
  17. Nettis, A.; Nettis, A.; Ruggieri, S.; Uva, G. Corrosion-induced fragility of existing prestressed concrete girder bridges under traffic loads. Eng. Struct. 2024, 314, 118302. [Google Scholar] [CrossRef]
  18. Kang, J.-D.; Tagawa, H. Seismic performance of steel structures with seesaw energy dissipation system using fluid viscous dampers. Eng. Struct. 2013, 56, 431–442. [Google Scholar] [CrossRef]
  19. Katsimpini, P.S.; Papagiannopoulos, G.A.; Askouni, P.K.; Karabalis, D.L. Seismic response of low-rise 3-D steel structures equipped with the seesaw system. Soil Dyn. Earthq. Eng. 2020, 128, 105877. [Google Scholar] [CrossRef]
  20. Katsimpini, P.S.; Papagiannopoulos, G.A. Effectiveness of the Seesaw System as a Means of Seismic Upgrading in Older, Non-Ductile Reinforced Concrete Buildings. Vibration 2023, 6, 102–112. [Google Scholar] [CrossRef]
  21. Tongaonkar, N.P.; Jangid, R.S. Seismic response of isolated bridges with soil–structure interaction. Soil Dyn. Earthq. Eng. 2003, 23, 287–302. [Google Scholar] [CrossRef]
  22. Crouse, C.B.; Hushmand, B.; Martin, G.R. Dynamic soil structure interaction of single span bridge. Earthq. Engng. Struct. Dyn. 1987, 15, 711–729. [Google Scholar] [CrossRef]
  23. Somani, D.R. Parametric study on soil–structure interaction of bridges with shallow foundation. In Proceedings of the Eighth World Conference on Earthquake Engineering, San Francisco, CA, USA, 21–28 July 1984; Volume 3, pp. 529–535. [Google Scholar]
  24. Spyrakos, C.C. Assessment of SSI on the longitudinal seismic response of short span bridges. Eng. Struct. 1990, 12, 60–66. [Google Scholar] [CrossRef]
  25. Spyrakos, C.C. Seismic behaviour of bridge piers including soil structure interaction. Comput. Struct. 1992, 43, 373–384. [Google Scholar] [CrossRef]
  26. Shun-ichi, N. Design strategy to make steel bridges more economical. J. Constr. Steel Res. 1998, 46, 58. [Google Scholar]
  27. Shun-ichi, N. New structural forms of steel concrete composite bridges. Structural Engineering International. J. IABSE 2000, 10, 4550. [Google Scholar]
  28. Shun-ichi, N.; Toshiyuki, M.; Tetsuya, H.; Koji, H. New technologies of steel/concrete composite bridges. J. Constr. Steel Res. 2002, 58, 99130. [Google Scholar]
  29. Shun-ichi, N. Static and aero-dynamic studies on cable-stayed bridges, using steel pipe girders. Structural Engineering International. J. IABSE 2007, 17, 68–71. [Google Scholar]
  30. Shun-ichi, N.; Tanaka, H.; Kato, K. Static analysis of cable-stayed bridge with CFT arch ribs. J. Constr. Steel Res. 2009, 65, 776–783. [Google Scholar] [CrossRef]
  31. Han, L.H. Flexural behaviour of concrete-filled steel tubes. J. Constr. Steel Res. 2004, 60, 313–337. [Google Scholar] [CrossRef]
  32. Abed, F.; AlHamaydeh, M.; Abdalla, S. Experimental and numerical investigations of the compressive behavior of concrete filled steel tubes (CFSTs). J. Constr. Steel Res. 2013, 80, 429–439. [Google Scholar] [CrossRef]
  33. Tao, Z.; Song, T.Y.; Uy, B.; Han, L.H. Bond behavior in concrete-filled steel tubes. J. Constr. Steel Res. 2016, 120, 81–93. [Google Scholar] [CrossRef]
  34. Hajjar, J.F. Concrete-filled steel tube columns under earthquake loads. Prog. Struct. Eng. Mater. 2000, 2, 72–81. [Google Scholar] [CrossRef]
  35. Wang, X.; Fan, F.; Lai, J. Strength behavior of circular concrete-filled steel tube stub columns under axial compression: A review. Constr. Build. Mater. 2022, 322, 126144. [Google Scholar] [CrossRef]
  36. Chorafa, E.; Skrapalliou, E.; Katsimpini, P. On the Nonlinear Behavior of Composite Structures under Multiple Earthquakes Considering Soil–Structure Interaction. Civil. Eng. 2024, 5, 673–693. [Google Scholar] [CrossRef]
  37. Available online: https://bwesd.com/project/scripps-crossing-pedestrian-bridge/ (accessed on 26 September 2024).
  38. SAP 2000. Static and Dynamic Finite Element Analysis of Structures: Version 25.0; Computers and Structures: Berkeley, CA, USA, 2016. [Google Scholar]
  39. Serras, D.N.; Skalomenos, K.; Hatzigeorgiou, G.D.; Beskos, D.E. Modeling of circular concrete-filled steel tubes subjected to cyclic lateral loading. Structures 2016, 8, 75–93. [Google Scholar] [CrossRef]
  40. Mulliken, J.S.; Karabalis, D.L. Discrete model for dynamic through-the-soil coupling of 3-d foundations and structures. Earthq. Eng. Struct. Dyn. 1998, 27, 687–710. [Google Scholar] [CrossRef]
  41. EN 1998-5:2004; Eurocode 8: Design of Structures for Earthquake Resistance—Part 5: Foundations, Retaining Structures and Geotechnical Aspects. European Committee for Standardization (CEN): Brussels, Belgium, 2004.
  42. FHWA-CAI-14 021; Federal Highway Design Standards, May/June 2014, Issue 42. Department of Transportation, Federal Highway Administration: Washington, DC, USA, 2021.
Figure 1. The seesaw system.
Figure 1. The seesaw system.
Geohazards 05 00051 g001
Figure 2. View of the bridge [37].
Figure 2. View of the bridge [37].
Geohazards 05 00051 g002
Figure 3. View of the bridge equipped with the seesaw system.
Figure 3. View of the bridge equipped with the seesaw system.
Geohazards 05 00051 g003
Figure 4. Three-dimensional view of the bridge.
Figure 4. Three-dimensional view of the bridge.
Geohazards 05 00051 g004
Figure 5. Three-dimensional view of the bridge equipped with the seesaw system.
Figure 5. Three-dimensional view of the bridge equipped with the seesaw system.
Geohazards 05 00051 g005
Figure 6. Three-dimensional view of the bridge considering SSI.
Figure 6. Three-dimensional view of the bridge considering SSI.
Geohazards 05 00051 g006
Figure 7. Three-dimensional view of the bridge equipped with the seesaw system considering SSI.
Figure 7. Three-dimensional view of the bridge equipped with the seesaw system considering SSI.
Geohazards 05 00051 g007
Figure 8. Base shear of the tower of the bridge.
Figure 8. Base shear of the tower of the bridge.
Geohazards 05 00051 g008
Figure 9. Base moment of the tower of the bridge.
Figure 9. Base moment of the tower of the bridge.
Geohazards 05 00051 g009
Figure 10. Peak acceleration of a joint of the deck of the bridge.
Figure 10. Peak acceleration of a joint of the deck of the bridge.
Geohazards 05 00051 g010
Figure 11. Maximum displacement of a joint of the deck of the bridge.
Figure 11. Maximum displacement of a joint of the deck of the bridge.
Geohazards 05 00051 g011
Figure 12. Time history of displacement of a joint on the deck of the bridge with and without the seesaw system (stiff soil).
Figure 12. Time history of displacement of a joint on the deck of the bridge with and without the seesaw system (stiff soil).
Geohazards 05 00051 g012
Figure 13. Time history of displacement of a joint on the deck of the bridge with and without the seesaw system (compliant soil).
Figure 13. Time history of displacement of a joint on the deck of the bridge with and without the seesaw system (compliant soil).
Geohazards 05 00051 g013
Figure 14. Time history of displacement of a joint on the deck of the bridge based on fixed and on compliant soil (without the seesaw system).
Figure 14. Time history of displacement of a joint on the deck of the bridge based on fixed and on compliant soil (without the seesaw system).
Geohazards 05 00051 g014
Figure 15. Time history of displacement of a joint on the deck of the bridge based on fixed and on compliant soil (with the seesaw system).
Figure 15. Time history of displacement of a joint on the deck of the bridge based on fixed and on compliant soil (with the seesaw system).
Geohazards 05 00051 g015
Figure 16. Ductility demand and displacement demand with and without the seesaw system.
Figure 16. Ductility demand and displacement demand with and without the seesaw system.
Geohazards 05 00051 g016
Table 1. Material properties.
Table 1. Material properties.
MaterialElastic Modulus (GPa)Yield Strength (MPa)
Concrete (C30/37)32~30 (compressive)
Steel (S275)210275
Cable steel1960 (ultimate)~1570 (ultimate)
Table 2. Cross-section properties.
Table 2. Cross-section properties.
ComponentShapeDimensionsAdditional Info
TowerCircular CFSTDiameter: 0.6 mSteel wall thickness: 0.05 m
DeckRectangular CFSTWidth: 3.5 m, height: 0.6 mFlange/web thickness: 0.2 m
CablesCircularDiameter: 40 mm-
Seesaw vertical plateRectangularHeight: 870 mm-
Seesaw horizontal plateRectangularLength: 1600 mm-
Table 3. Element types.
Table 3. Element types.
ComponentElement TypeNotes
Tower (CFST pylon)Beam elementNonlinear beam-column elements
Deck (CFST box girder)Beam elementNonlinear beam elements
CablesCable elementTension-only elements with initial pretension
Horizontal and vertical components of the seesawBeam elementRigid
DampersLink elementLink element
Table 4. Boundary conditions.
Table 4. Boundary conditions.
LocationTranslational DOFRotational DOF
AbutmentsFixed in vertical and transverse and free in logidutinalFixed in all directions
Tower baseFixed for fixed-base caseFixed for fixed-base case
Spring-supported for SSI case Spring-supported for SSI case
Seesaw supportsFixed for fixed-base caseFixed for fixed-base case
Spring-supported for SSI case Spring-supported for SSI case
Table 5. SSI coefficients for the foundation of the tower.
Table 5. SSI coefficients for the foundation of the tower.
DirectionSpring Coefficient (kN/m)Dashpot Coefficient (kNs/m)
Vertical116,000619
Horizontal89,000101
Rocking54,000222
Table 6. SSI coefficients for the foundation of the seesaw.
Table 6. SSI coefficients for the foundation of the seesaw.
DirectionSpring Coefficient (kN/m)Dashpot Coefficient (kNs/m)
Vertical105,22055
Horizontal84,80690.5
Rocking44,773175
Table 7. Seismic motions.
Table 7. Seismic motions.
No.EarthquakeDateStationMwSoil
1Bam, Iran26 December 2003Bam6.5SL
2Cape Mendocino, U.S.A.25 April 1992Cape Mendocino6.9SR
3Darfield, New Zealand3 September 2010Greendale7.0SL
4Superstition Hills, U.S.A24 November 1987Parachute Test Site6.5SL
5Kobe, Japan17 January 1995Takatori6.9SL
6Loma Prieta, U.S.A17 October 1989Los Gatos7.0HR
7San Fernando, U.S.A9 February 1971Pacoima Dam6.6HR
8Cape Mendocino, U.S.A.25 April 1992Petrolia6.9SR
9Vrancea, Romania30 August 1986INCERC7.3SL
10El Salvador, El Salvador13 January 2001Observatorio7.6SR
11El Salvador, El Salvador13 January 2001Observatorio7.6SR
Table 8. Fundamental periods of the bridge under study.
Table 8. Fundamental periods of the bridge under study.
Seesaw SystemCaseT1 (s)
NoFixed0.87
NoSSI1
YesFixed0.80
YesSSI0.98
Disclaimer/Publisher’s Note: The statements, opinions and data contained in all publications are solely those of the individual author(s) and contributor(s) and not of MDPI and/or the editor(s). MDPI and/or the editor(s) disclaim responsibility for any injury to people or property resulting from any ideas, methods, instructions or products referred to in the content.

Share and Cite

MDPI and ACS Style

Katsimpini, P.; Papagiannopoulos, G.; Hatzigeorgiou, G. Seismic Response of a Cable-Stayed Bridge with Concrete-Filled Steel Tube (CFST) Pylons Equipped with the Seesaw System. GeoHazards 2024, 5, 1074-1092. https://doi.org/10.3390/geohazards5040051

AMA Style

Katsimpini P, Papagiannopoulos G, Hatzigeorgiou G. Seismic Response of a Cable-Stayed Bridge with Concrete-Filled Steel Tube (CFST) Pylons Equipped with the Seesaw System. GeoHazards. 2024; 5(4):1074-1092. https://doi.org/10.3390/geohazards5040051

Chicago/Turabian Style

Katsimpini, Panagiota, George Papagiannopoulos, and George Hatzigeorgiou. 2024. "Seismic Response of a Cable-Stayed Bridge with Concrete-Filled Steel Tube (CFST) Pylons Equipped with the Seesaw System" GeoHazards 5, no. 4: 1074-1092. https://doi.org/10.3390/geohazards5040051

APA Style

Katsimpini, P., Papagiannopoulos, G., & Hatzigeorgiou, G. (2024). Seismic Response of a Cable-Stayed Bridge with Concrete-Filled Steel Tube (CFST) Pylons Equipped with the Seesaw System. GeoHazards, 5(4), 1074-1092. https://doi.org/10.3390/geohazards5040051

Article Metrics

Back to TopTop