Effect of Partial Co and Fe Substitution on LaFeO3@C, LaCoO3@C Catalysts in the Oxidation of Furfural
Abstract
1. Introduction
2. Materials and Methods
2.1. Materials
2.2. Synthesis of Catalysts
2.3. Catalyst Characterization
2.4. Catalytic Tests
3. Results
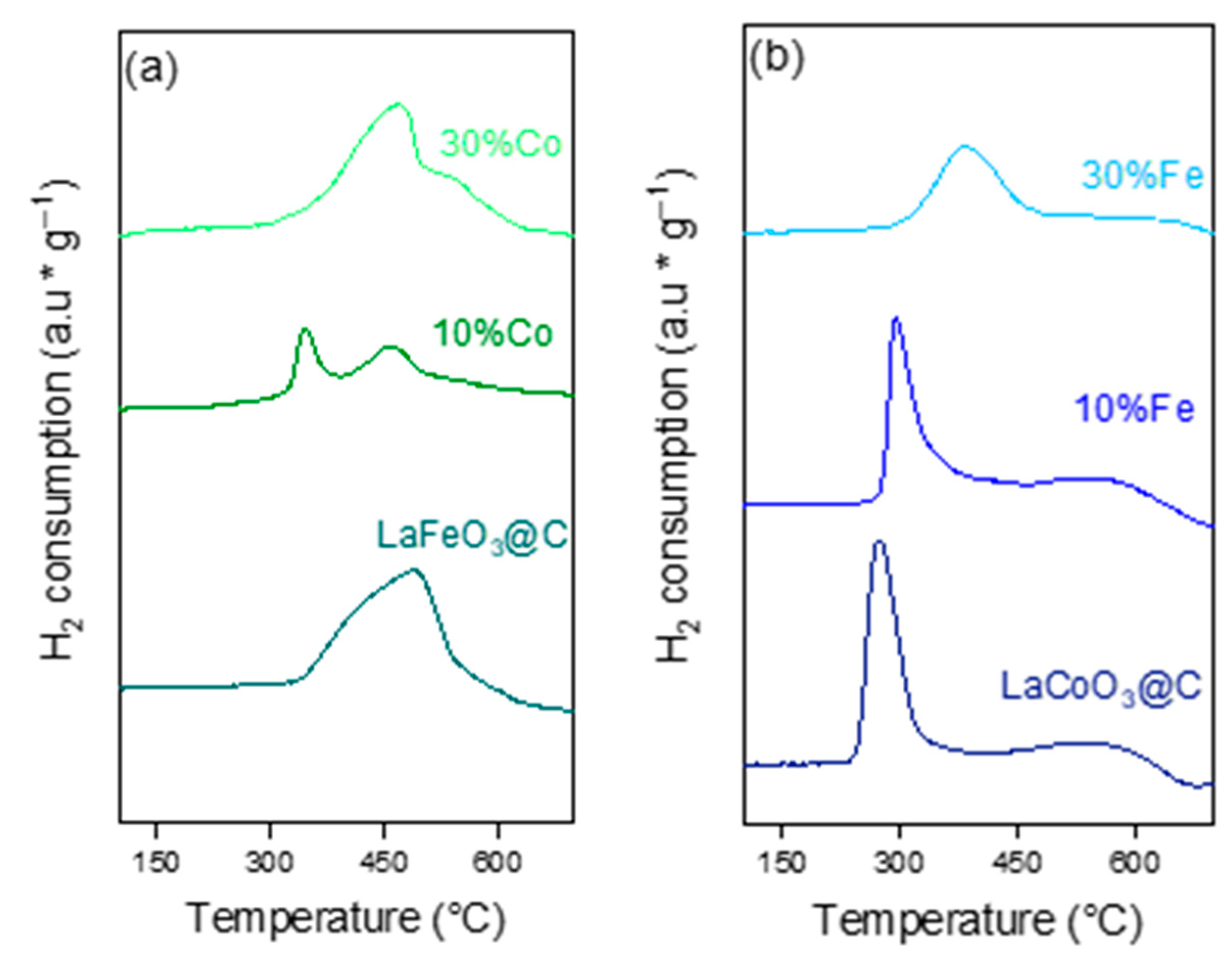
3.1. Characterization Results
3.2. Catalytic Activity
4. Conclusions
Supplementary Materials
Author Contributions
Funding
Data Availability Statement
Acknowledgments
Conflicts of Interest
References
- Murzin, D.Y.; Bertrand, E.; Tolvanen, P.; Devyatkov, S.; Rahkila, J.; Eränen, K.; Wärnå, J.; Salmi, T. Heterogeneous catalytic oxidation of furfural with hydrogen peroxide over sulfated zirconia. Ind. Eng. Chem. 2020, 59, 13516–13527. [Google Scholar] [CrossRef]
- Yentekakis, I.V.; Georgiadis, A.G.; Drosou, C.; Charisiou, N.D.; Goula, M.A. Selective Catalytic Reduction of NOx over Perovskite-Based Catalysts Using CxHy(Oz), H2 and CO as Reducing Agents—A Review of the Latest Developments. Nanomaterials 2022, 12, 1042. [Google Scholar] [CrossRef] [PubMed]
- Li, X.; Ho, B.; Zhang, Y. Selective aerobic oxidation of furfural to maleic anhydride with heterogeneous Mo-V-O catalysts. Green Chem. 2016, 18, 2976–2980. [Google Scholar] [CrossRef]
- Douthwaite, M.; Huang, X.; Iqbal, S.; Miedziak, P.J.; Brett, G.L.; Kondrat, S.A.; Edwards, J.K.; Sankar, M.; Knight, D.W.; Bethell, D.; et al. The controlled catalytic oxidation of furfural to furoic acid using AuPd/Mg(OH)2. J. Catal. Sci. Technol. 2017, 7, 5284–5293. [Google Scholar] [CrossRef]
- Ferraz, C.P.; Da Silva, A.G.M.; Rodrigues, T.S.; Camargo, P.H.C.; Paul, S.; Wojcieszak, R. Furfural Oxidation on Gold Supported on MnO2: Influence of the Support Structure on the Catalytic Performances. Appl. Sci. 2018, 8, 1246. [Google Scholar] [CrossRef]
- Santander, P.; Bravo, L.; Pecchi, G.; Karelovic, A. The consequences of support identity on the oxidative conversion of furfural to maleic anhydride on vanadia catalysts. Appl. Catal. A Gen. 2020, 595, 117513. [Google Scholar] [CrossRef]
- Herrera, C.; Pinto-neira, J.; Fuentealba, D.; Sepúlveda, C.; Rosenkranz, A.; González, M. Biomass-derived furfural conversion over Ni/CNT catalysts at the interface of water-oil emulsion droplets. Catal. Commun. 2020, 144, 106070. [Google Scholar] [CrossRef]
- Van Nguyen, C.; Boo, J.R.; Liu, C.-H.; Ahamad, T.; Alshehri, S.M.; Matsagar, B.M.; Wu, K.C.-W. Oxidation of biomass-derived furans to maleic acid over nitrogen-doped carbon catalysts under acid-free conditions. Catal. Sci. Technol. 2020, 10, 1498–1506. [Google Scholar] [CrossRef]
- Zhu, H.; Zhang, P.; Dai, S. Recent Advances of Lanthanum-Based Perovskite Oxides for Catalysis. ACS Catal. 2015, 5, 6370–6385. [Google Scholar] [CrossRef]
- Nzuzo, Y.; Ntshibongo, S.; Matsinha, L.; Adeyinka, A.; Obodo, K.O.; Bingwa, N. Hydrogenation of furfural-to-furfuryl alcohol over La-based inorganic perovskites: A study of oxygen vacancies as catalytic descriptors. Catal. Commun. 2023, 181, 106717. [Google Scholar] [CrossRef]
- Yang, L.; Li, Y.; Sun, Y.; Wang, W.; Shao, Z. Perovskite oxides in catalytic combustion of volatile organic compounds: Recent advances and future prospects. Energy Environ. Mater. 2022, 5, 751–776. [Google Scholar] [CrossRef]
- Xiao, P.; Xu, X.; Zhu, J.; Zhu, Y. In situ generation of perovskite oxides and carbon composites: A facile, effective and generalized route to prepare catalysts with improved performance. J. Catal. 2020, 383, 88–96. [Google Scholar] [CrossRef]
- Huang, L.; Bassir, M.; Kaliaguine, S. Reducibility of Co3+ in perovskite-type LaCoO3 and promotion of copper on the reduction of Co3+ in perovskite-type oxides. Appl. Surf. Sci. 2005, 243, 360–375. [Google Scholar] [CrossRef]
- Pecchi, G.; Campos, C.; Jiliberto, M.G.; Moreno, Y.; Peña, O. Doping of lanthanum cobaltite by Mn: Thermal, magnetic, and catalytic effect. J. Mater. Sci. 2008, 43, 5282–5290. [Google Scholar] [CrossRef]
- Seguel, J.; Cancino, X.; de León, J.N.D.; Delgado, E.J.; Sepúlveda, C.; Pecchi, G. Ag substituted LaCoO3 perovskites as precursors for the catalytic hydrogenation of levulinic acid. J. Chem. Technol. 2022, 97, 3385–3394. [Google Scholar]
- Yang, X.; Yang, L.; Fan, W.; Lin, H. Effect of redox properties of LaCoO3 perovskite catalyst on production of lactic acid from cellulosic biomass. Catal. Today 2016, 269, 56–64. [Google Scholar]
- Zhao, X.; Xu, J.; Wang, A.; Zhang, T. Porous carbon in catalytic transformation of cellulose. Chin. J. Catal. 2015, 36, 1419–1427. [Google Scholar] [CrossRef]
- Barbero, B.P.; Gamboa, J.A.; Cadús, L.E. Determination of Fe(IV) species in partially substituted perovskite La0.6Ca0.4FeO3. Hyperfine Interact. 2009, 194, 367–379. [Google Scholar] [CrossRef]
- Li, Y.-X.; Zhu, J.-P.; Zhang, Z.-J.; Qu, Y.-S. Preparation of Syringaldehyde from Lignin by Catalytic Oxidation of Perovskite-Type Oxides. ACS Omega 2020, 5, 2107–2113. [Google Scholar] [CrossRef] [PubMed]
- Pecchi, G.; Reyes, P.; Zamora, R.; Campos, C.; Cadús, L.E.; Barbero, B.P. Effect of the preparation method on the catalytic activity of La1−xCaxFeO3 perovskite-type oxides. Catal. Today 2008, 133–135, 420–427. [Google Scholar] [CrossRef]
- Badlani, I.E.W.M. Methanol: A “Smart” Chemical Probe Molecule. Catal. Lett. 2001, 75, 137–149. [Google Scholar] [CrossRef]
- Ghampson, I.T.; Sepúlveda, C.; Dongil, A.B.; Pecchi, G.; García, R. Phenol hydrodeoxygenation: Effect of support and Re promoter on the reactivity of Co catalysts. Catal. Sci. Technol. 2016, 6, 7289–7306. [Google Scholar] [CrossRef]
- Sharma, N.; Kushwaha, H.S.; Sharma, S.K.; Sachdev, K. Fabrication of LaFeO3 and rGO-LaFeO3 microspheres based gas sensors for detection of NO2 and CO. RSC Adv. 2020, 10, 1297–1308. [Google Scholar] [CrossRef]
- Chen, H.; Wei, G.; Liang, X.; Liu, P.; He, H.; Xi, Y.; Zhu, J. The distinct effects of substitution and deposition of Ag in perovskite LaCoO3 on the thermally catalytic oxidation of toluene. Appl. Surf. Sci. 2019, 489, 905–912. [Google Scholar] [CrossRef]
- Abdulhameed, A.S.; Al Omari, R.H.; Abualhaija, M.; Algburi, S. Novel bionanocomposite of grafted chitosan-phthalic anhydride/Co2O3 nanoparticles for efficient removal of brilliant green dye: Adsorption optimization using Box-Behnken design. Int. J. Biol. Macromol. 2024, 283, 137645. [Google Scholar] [CrossRef]
- Gómez-Cuaspud, J.A.; Vera-López, E.; Carda-Castelló, J.B.; Barrachina-Albert, E. One-step hydrothermal synthesis of LaFeO3 perovskite for methane steam reforming. React. Kinet. Mech. Catal. 2017, 120, 167–179. [Google Scholar] [CrossRef]
- Hu, K.; Wu, M.; Hinokuma, S.; Ohto, T.; Wakisaka, M.; Fujita, J.I.; Ito, Y. Boosting electrochemical water splitting via ternary NiMoCo hybrid nanowire arrays. J. Mater. Chem. A 2019, 7, 2156–2164. [Google Scholar] [CrossRef]
- Estournès, C.; Provendier, H.; Bedel, L.; Petit, C.; Roger, A.C.; Kiennemann, A. Reducibility study of the LaMxFe1−xO3 (M = Ni, Co) perovskites. Mater. Res. Soc. Symp. Proc. 2011, 658, 62. [Google Scholar] [CrossRef]
- Sun, S.; Yang, L.; Pang, G.; Feng, S. Surface properties of Mg doped LaCoO3 particles with large surface areas and their enhanced catalytic activity for CO oxidation. Appl. Catal. A Gen. 2011, 401, 199–203. [Google Scholar] [CrossRef]
- Thommes, M.; Kaneko, K.; Neimark, A.V.; Olivier, J.P.; Rodriguez-Reinoso, F.; Rouquerol, J.; Sing, K.S.W. Physisorption of gases, with special reference to the evaluation of surface area and pore size distribution (IUPAC Technical Report). Pure Appl. Chem. 2015, 87, 1051–1069. [Google Scholar] [CrossRef]
- Singh, P.P.; Jaswal, A.; Nirmalkar, N.; Mondal, T. Synergistic effect of transition metals substitution on the catalytic activity of LaNi0.5M0.5O3 (M = Co, Cu, and Fe) perovskite catalyst for steam reforming of simulated bio-oil for green hydrogen production. J. Renew. Energy 2023, 207, 575–587. [Google Scholar] [CrossRef]
- Li, Y.; Niu, S.; Hao, Y.; Zhou, W.; Wang, J.; Liu, J. Role of oxygen vacancy on activity of Fe-doped SrTiO3 perovskite bifunctional catalysts for biodiesel production. Renew. Energy 2022, 199, 1258–1271. [Google Scholar] [CrossRef]
- Tatibougt, J.M. Methanol oxidation as a catalytic surface probe. Appl. Catal. A 1997, 148, 213–252. [Google Scholar] [CrossRef]
- Blanco, E.; Rosenkranz, A.; Espinoza-González, R.; Fuenzalida, V.M.; Zhang, Z.; Suárez, S.; Escalona, N. Catalytic performance of 2D-Mxene nano-sheets for the hydrodeoxygenation (HDO) of lignin-derived model compounds. Catal. Commun. 2020, 133, 105833. [Google Scholar] [CrossRef]
- Villarroel, E.L.; Seguel, J.; Rodríguez, P.; Blanco, E.; Escalona, N.; Pecchi, G.; Sepúlveda, C. Conversion of Levulinic Acid over Ru/SrZrO3 and Ru/BaZrO3 Supported Basic Catalysts. ChemCatChem 2023, 15, e202201170. [Google Scholar] [CrossRef]
- Wang, Z.; Liu, B.; Lin, J. Highly effective perovskite-type BaZrO3 supported Ru catalyst for ammonia synthesis. Appl. Catal. A 2013, 458, 130–136. [Google Scholar] [CrossRef]
- Tauster, S.J.; Fung, S.C.; Baker, R.T.K.; Horsley, J.A. Strong interactions in supported-metal catalysts. Science 1981, 221, 1121–1125. [Google Scholar] [CrossRef]
- Rivas, M.E.; Hori, C.E.; Fierro, J.L.G.; Goldwasser, M.R.; Griboval-Constant, A. H2 production from CH4 decomposition: Regeneration capability and performance of nickel and rhodium oxide catalysts. J. Power Sources 2008, 184, 265–275. [Google Scholar] [CrossRef]
- Nandikes, G.; Pathak, P.; Karthikeyan, M.; Abahussain, A.M.; Singh, L. Mesoporous LaFeO3 perovskite as an efficient and cost-effective oxygen reduction reaction catalyst in an air cathode microbial fuel cell. Int. J. Hydrogen Energy 2024, 52, 627–641. [Google Scholar] [CrossRef]
- Guo, Y.; Sui, M.; Liu, S.; Li, T.; Lv, X.; Yu, M.; Mo, Y. Insight into cobalt substitution in LaFeO3-based catalyst for enhanced activation of peracetic acid: Reactive species and catalytic mechanism. J. Hazard. Mater. 2024, 461, 132662. [Google Scholar] [CrossRef] [PubMed]
- Chen, X.; Wang, X.-F.; Wang, X.; Deng, C.-B.; Cao, M.-M. Effect of highly dispersed Co3O4 on the catalytic performance of LaCoO3 perovskite in the combustion of lean methane. J. Fuel Chem. Technol. 2023, 51, 367–375. [Google Scholar] [CrossRef]
- Zemlianskii, P.; Morozov, D.; Kapustin, G.; Davshan, N.; Tkachenko, O.; Kalmykov, K.; Chernyshev, V.; Kustov, A.; Kustov, L. Supported LaCoO3 perovskite-like oxides for N2O decomposition: The key role of the support nature and LaCoO3 content. Colloids Surf. A Physicochem. Eng. Asp. 2024, 698, 134546. [Google Scholar] [CrossRef]
- Dinamarca, R.; Sepúlveda, C.; Delgado, E.J.; Peña, O.; Fierro, J.L.G.; Pecchi, G. Electronic properties and catalytic performance for DME combustion of lanthanum manganites with partial B-site substitution. J. Catal. 2016, 338, 47–55. [Google Scholar] [CrossRef]
- Markova-Velichkova, M.; Lazarova, T.; Tumbalev, V.; Ivanov, G.; Kovacheva, D.; Stefanov, P.; Naydenov, A. Complete oxidation of hydrocarbons on YFeO3 and LaFeO3 catalysts. Chem. Eng. J. 2013, 231, 236–244. [Google Scholar] [CrossRef]
- Lee, W.Y.; Yun, H.J.; Yoon, J.W. Characterization and magnetic properties of LaFeO3 nanofibers synthesized by electrospinning. J. Alloys Compd. 2014, 583, 320–324. [Google Scholar] [CrossRef]
- Barbero, B.P.; Gamboa, J.A.; Cadús, L.E. Synthesis and characterisation of La1−xCaxFeO3 perovskite-type oxide catalysts for total oxidation of volatile organic compounds. Appl. Catal. B Environ. 2006, 65, 21–30. [Google Scholar] [CrossRef]







| SBET (m2 g−1) | Vp (cm3 g−1) | |
|---|---|---|
| LaFeO3@C | 111 | 0.1 |
| LaFeO3 + 10Co@C | 96 | 0.09 |
| LaFeO3 + 30Co@C | 84 | 0.07 |
| LaCoO3@C | 49 | 0.11 |
| LaCoO3 + 10Fe@C | 49 | 0.10 |
| LaCoO3 + 30Fe@C | 36 | 0.03 |
| Fe 2p3/2 | Co 2p3/2 | O 1s | ||||
|---|---|---|---|---|---|---|
| Fe2+ | Fe3+ | Co3+ | OL | OHC | OW | |
| LaFeO3@C | 710.0 (66) | 711.8 (34) | --- | 529.2 (18) | 531.8 (67) | 533.6 (15) |
| LaFeO3 + 10Co@C | 710.3 (64) | 712.1 (36) | 779.8 (100) | 529.4 (24) | 531.7 (69) | 533.9 (7) |
| LaFeO3 + 30Co@C | 710.5 (63) | 712.4 (37) | 780.6 (100) | 529.4 (10) | 531.6 (84) | 533.1 (6) |
| LaCoO3@C | --- | --- | 780.8 (100) | --- | 531.2 (79) | 532.7 (21) |
| LaCoO3 + 10Fe@C | 710.6 (41) | 713.5 (59) | 780.9 (100) | --- | 531.2 (81) | 532.7 (19) |
| LaCoO3 + 30Fe@C | 710.6 (61) | 712.9 (39) | 780.8 (100) | --- | 531.3 (97) | 533.7 (3) |
| La/(La + Fe + Co) | Fe/(Fe + Co) | Co/(Fe + Co) | |
|---|---|---|---|
| LaFeO3@C | 0.72 (0.5) | 1.0 (1.0) | --- |
| LaFeO3 + 10Co@C | 0.79 (0.5) | 0.90 (0.9) | --- |
| LaFeO3 + 30Co@C | 0.82 (0.5) | 0.85 (0.7) | --- |
| LaCoO3@C | 0.86 (0.5) | --- | 1.0 (1.0) |
| LaCoO3 + 10Fe@C | 0.91 (0.5) | --- | 0.59 (0.9) |
| LaCoO3 + 30Fe@C | 0.94 (0.5) | --- | 0.54 (0.7) |
| Xt (%) | Initial Rate (vo) × 104 (mol g−1 s−1) | Intrinsic Rate (Ir) × 106 (mol m−1 s−1) | |
|---|---|---|---|
| LaFeO3@C | 98 | 7.1 | 6.4 |
| LaFeO3 + 10Co@C | 77 | 4.5 | 4.7 |
| LaFeO3 + 30Co@C | 31 | 4.7 | 5.6 |
| LaCoO3@C | 37 | 5.1 | 10.4 |
| LaCoO3 + 10Fe@C | 40 | 4.9 | 10.0 |
| LaCoO3 + 30Fe@C | 36 | 4.5 | 12.5 |
Disclaimer/Publisher’s Note: The statements, opinions and data contained in all publications are solely those of the individual author(s) and contributor(s) and not of MDPI and/or the editor(s). MDPI and/or the editor(s) disclaim responsibility for any injury to people or property resulting from any ideas, methods, instructions or products referred to in the content. |
© 2026 by the authors. Licensee MDPI, Basel, Switzerland. This article is an open access article distributed under the terms and conditions of the Creative Commons Attribution (CC BY) license.
Share and Cite
Diaz, D.; Arias, D.; Díaz de León, J.N.; Dongil, A.B.; Martínez-Quintana, L.; Escalona, N.; Pecchi, G.; Herrera, C.; Sepulveda, C. Effect of Partial Co and Fe Substitution on LaFeO3@C, LaCoO3@C Catalysts in the Oxidation of Furfural. Reactions 2026, 7, 28. https://doi.org/10.3390/reactions7020028
Diaz D, Arias D, Díaz de León JN, Dongil AB, Martínez-Quintana L, Escalona N, Pecchi G, Herrera C, Sepulveda C. Effect of Partial Co and Fe Substitution on LaFeO3@C, LaCoO3@C Catalysts in the Oxidation of Furfural. Reactions. 2026; 7(2):28. https://doi.org/10.3390/reactions7020028
Chicago/Turabian StyleDiaz, Diego, Dana Arias, Jorge Noé Díaz de León, Ana Belén Dongil, Laura Martínez-Quintana, Néstor Escalona, Gina Pecchi, Carla Herrera, and Catherine Sepulveda. 2026. "Effect of Partial Co and Fe Substitution on LaFeO3@C, LaCoO3@C Catalysts in the Oxidation of Furfural" Reactions 7, no. 2: 28. https://doi.org/10.3390/reactions7020028
APA StyleDiaz, D., Arias, D., Díaz de León, J. N., Dongil, A. B., Martínez-Quintana, L., Escalona, N., Pecchi, G., Herrera, C., & Sepulveda, C. (2026). Effect of Partial Co and Fe Substitution on LaFeO3@C, LaCoO3@C Catalysts in the Oxidation of Furfural. Reactions, 7(2), 28. https://doi.org/10.3390/reactions7020028

