Next Article in Journal
Kinetic Modeling for the “One-Pot” Hydrogenolysis of Cellulose to Glycols over Ru@Fe3O4/Polymer Catalyst
Previous Article in Journal
Acid Treated Montmorillonite—Eco-Friendly Clay as Catalyst in Carvone Isomerization to Carvacrol
Previous Article in Special Issue
Impacts of Syngas Composition on Anaerobic Fermentation
 
 
Font Type:
Arial Georgia Verdana
Font Size:
Aa Aa Aa
Line Spacing:
Column Width:
Background:
Article

Bioconversions of Biodiesel-Derived Glycerol into Sugar Alcohols by Newly Isolated Wild-Type Yarrowia lipolytica Strains

by
Eleni-Stavroula Vastaroucha
,
Sofia Maina
,
Savvoula Michou
,
Ourania Kalantzi
,
Chrysanthi Pateraki
,
Apostolis A. Koutinas
and
Seraphim Papanikolaou
*
Department of Food Science and Human Nutrition, Agricultural University of Athens, 75 Iera Odos, 11855 Athens, Greece
*
Author to whom correspondence should be addressed.
Reactions 2021, 2(4), 499-513; https://doi.org/10.3390/reactions2040032
Submission received: 20 October 2021 / Revised: 14 November 2021 / Accepted: 30 November 2021 / Published: 12 December 2021

Abstract

:
The utilization of crude glycerol, generated as a by-product from the biodiesel production process, for the production of high value-added products represents an opportunity to overcome the negative impact of low glycerol prices in the biodiesel industry. In this study, the biochemical behavior of Yarrowia lipolytica strains FMCC Y-74 and FMCC Y-75 was investigated using glycerol as a carbon source. Initially, the effect of pH value (3.0–7.0) was examined to produce polyols, intracellular lipids, and polysaccharides. At low pH values (initial pH 3.0–5.0), significant mannitol production was recorded. The highest mannitol production (19.64 g L−1) was obtained by Y. lipolytica FMCC Y-74 at pH = 3.0. At pH values ranging between 5.0 and 6.0, intracellular polysaccharides synthesis was favored, while polyols production was suppressed. Subsequently, the effect of crude glycerol and its concentration on polyols production was studied. Y. lipolytica FMCC Y-74 showed high tolerance to impurities of crude glycerol. Initial substrate concentrations influence polyols production and distribution with a metabolic shift toward erythritol production being observed when the initial glycerol concentration (Gly0) increased. The highest total polyols production (=56.64 g L−1) was obtained at Gly0 adjusted to ≈120 g L−1. The highest polyols conversion yield (0.59 g g−1) and productivity (4.36 g L−1 d−1) were reached at Gly0 = 80 g L−1. In fed-batch intermittent fermentation with glycerol concentration remaining ≤60 g L−1, the metabolism was shifted toward mannitol biosynthesis, which was the main polyol produced in significant quantities (=36.84 g L−1) with a corresponding conversion yield of 0.51 g g−1.

1. Introduction

Global economic growth has led to extensive demand for energy and other resources. Biodiesel is one of the most prominent biofuels worldwide due to its high biodegradability and minimal toxicity [1]. Biodiesel is produced via the trans-esterification of long-chain fatty acids from vegetable oils, yellow grease, used cooking oils, animal fats, or microbial oils with methanol in the presence of a catalyst such as sodium or potassium hydroxide. The production of biodiesel generates approximately 10% (w/w) of glycerol as the main by-product [2]. It has been projected that the global biodiesel production will reach 39 billion liters by 2024, implying that approximately 4.2 billion gallons of crude glycerol would be produced [3]. The purification of glycerol for subsequent use in food, pharmaceutical, and cosmetic industries is an expensive process, and alternative methods for its valorization/management have been proposed, including combustion, composting, anaerobic digestion, animal feed, and finally, biotechnological conversions using prokaryotic or eukaryotic microbial cells [1,2,4]. Many promising applications have been proposed for the valorization of crude glycerol through fermentation routes including its transformation into microbial oil, citric acid, poly (3-hydroxybutyrate), 1,3-propanediol, succinic acid, and polyols [5,6,7,8].
Polyols (sugar alcohols), including mannitol, erythritol, arabitol, and xylitol, are polyhydric alcohols formed by the reduction of the aldo- or keto- group to a hydroxyl group [9]. Due to their sweet taste and low calorific value, sugar alcohols have many applications in the food, pharmaceutical, medical, and chemical industries [10]. Among these alcohols, mannitol, a C6 sugar alcohol, is a valuable additive used in food and pharmaceutical formulations. The market size of mannitol was estimated around 382 million USD in 2020, and it is likely to reach 497 million USD by 2026 [11]. The industrial production of mannitol is performed by chemical hydrogenation of sugars with hydrogen gas and nickel catalysts requiring high energy consumption and investment cost. The biotechnological synthesis of mannitol through fermentation processes could evolve into a sustainable and viable production process [12].
The biotechnological production of mannitol has been investigated in bacteria, yeasts, and fungi [9]. Osmophilic yeast strains e.g., the genera Pichia, Yarrowia, Candida, Debaryomyces, Moniliella, Torula, Torulopsis, Trigonopsis, Trichosporon, Trichosporonoides, and Pseudozyma produce polyols to oppose osmotic pressure exerted across the cell membrane [13]. Among these microorganisms, the non-conventional yeast Yarrowia lipolytica is an emerging industrial host for biotechnological processes including the production of intracellular lipids, organic acids, and polyols [1,4,8,13].
The biosynthesis of polyols from glycerol in Y. lipolytica yeast has not been extensively studied yet, and so far, the biochemical events leading to their biosynthesis have not been completely elucidated [1,4]. Combinations and modifications of the Embden-Meyerhof and pentose phosphate pathways including the action of transketolase seem to be involved in the formation of polyols in osmophilic yeasts. Glycerol is assimilated by phosphorylation or the oxidative pathway. The glycerol metabolic pathway is initiated by glycerol kinase and a mitochondrial glycerol-3-phosphate dehydrogenase. Dihydroxyacetone phosphate is converted to glyceraldehydes-3-phosphate and then to fructose-6-phosphate through the gluconeogenesis pathway. Then, fructose-6-phosphate is converted to mannitol-1-phosphate by M1PDH, which is the key enzyme for mannitol formation (Figure 1) [14]. Makri et al. [15] reported that only the phosphorylation pathway is used in Y. lipolytica.
The biosynthesis of polyols is strongly dependent on the type of substrate and its concentration, changes in osmotic pressure, medium pH, incubation temperature, aeration, as well as additional factors such as nitrogen source, elements, and salts. The highest mannitol production (213 g L−1) has been achieved by C. magnoliae in fed-batch fermentation mode using sugar-based media (mixture of fructose glucose) [16]. Glycerol has been also used as a substrate for mannitol production by Y. lipolytica and resting cells of C. magnoliae and T. mannitofaciens [8,13,17,18].
Previous studies of our research team have indicated that the wild-type Y. lipolytica strains FMCC Y-74 and FMCC Y-75 can produce polyols (mainly mannitol) quantities from biodiesel-derived glycerol [19]. During batch cultures on glycerol, in the mentioned Y. lipolytica strains, as well as in other wild-type or mutant strains of this species, the production of sugar alcohols has been revealed as a secondary metabolic activity occurring as a cellular response due to the imposition of nitrogen limitation into the growth medium [1,4,19,20]. In the current investigation, the potential of these yeast strains upon the biosynthesis and production of sugar alcohols during cultures on crude glycerol was further investigated; initially, these strains were studied to produce polyols at different pH values using glycerol as the carbon source. The most promising of these strains, namely FMCC Y-74, was further evaluated for polyols production using crude glycerol derived from the biodiesel production process or pure glycerol. The effect of initial crude glycerol concentration was also assessed in shake-flask fermentation in this strain. Finally, fed-batch shake-flask fermentations were carried out under conditions promoting the biosynthesis of mannitol.

2. Materials and Methods

2.1. Microorganism and Inoculum Preparation

The yeast strains Y. lipolytica FMCC Y-74 and FMCC Y-75, isolated from gilthead bream (Sparus aurata) fish and identified [19], were used in this study. The yeast cultures were maintained at T = 4 °C on agar slants containing YPDA medium, viz. glucose (10 g L−1), peptone (10 g L−1), yeast (10 g L−1), and agar 20 (g L−1). Each month, the cultures were transferred to fresh agar slants to maintain viability. Inoculum was prepared in 250 mL Erlenmeyer flasks containing 50 mL of Yeast Peptone Dextrose (YPD) at T = 29 °C for 24 h in a rotary shaker at 180 rpm.

2.2. Raw Materials

Industrial (crude) glycerol was obtained from the Hellenic biodiesel-producing facility “ELIN VERD SA” (Velestino, Magnissia Prefecture, Greece). Two types of crude glycerol were used; the first one, deriving exclusively from transesterification of edible oils, contained approximately on a mass basis (%, w/w) 88% glycerol, 1% lipid materials (monoglycerides, diglycerides, and free fatty acids), 4% NaCl, <0.1% methanol, and 7% water (pH = 4.5 ± 0.3). The second one, deriving exclusively from the transesterification of used/cooked oils, contained approximately on a mass basis (%, w/w) 74% glycerol, <0.1% lipids (monoglycerides, diglycerides, and free fatty acids), <0.1% methanol, 12% potassium and sodium salts, 3% ash, and 11% water (pH = 1.0 ± 0.2). Pure glycerol (J.T. BakerTM purity 98% w/w) was also employed as a carbon source.

2.3. Fermentation Media

The fermentation media used for polyols production by Y. lipolytica strains FMCC Y-74 and FMCC Y-75 contained 2.0 g L−1 bacteriological peptone, 1.0 g L−1 yeast extract, 0.06 g L−1 MnSO4 H2O, 1.5 g L−1 MgSO4 7H2O, 0.02 g L−1 ZnSO4 7H2O, 0.15 g L−1 CaCl2 2H2O, 0.15 g L−1 FeCl3 6H2O, 7.0 g L−1 KH2PO4, and 2.5 g L−1 Na2HPO4. Glycerol either pure (purity 98% w/w) or crude (see previously) was used as carbon source in the trials. It is evident that in order to add the requested initial quantity of glycerol (Gly0) into the medium, when crude glycerol feedstocks were employed, calculations taking the purity of the feedstocks were made.

2.4. Culture Conditions

In the first stage of the experiment, the strains Y. lipolytica FMCC Y-74 and FMCC Y-75 were individually examined in five different initial pH values (3.0, 4.0, 5.0, 6.0, and 7.0) using an initial glycerol concentration (Gly0) of ≈40 g L−1 and the fermentation media reported above. Crude glycerol with purity of c. 88% w/w was employed. pH value was adjusted to be maintained near (viz. ±0.3 units) the selected initial value, using either 5 M NaOH or 5 M HCl [8,19]. The most promising amongst the two strains tested, namely the strain FMCC Y-74, was further evaluated on glycerol at Gly0 ≈ 40 g L−1 and the pH value = 3.5. In this trial, the effect of glycerol origin (viz. utilization of crude glycerol deriving from both transesterification of edible or used/cooked oils or utilization of pure glycerol) was studied upon the physiological behavior of the strain.
The effect of the initial glycerol concentration was subsequently examined by varying the Gly0 concentration between 40 and 120 g L−1 in the selected strain (use of crude glycerol with purity of 88%). Finally, a fed-batch shake-flask fermentation with intermittent feeding was also carried out using the strain FMCC Y-74 on biodiesel-derived crude glycerol, in which it was desirable to maintain the concentration of glycerol into the medium at concentrations ≤50 g L−1. In this case, a concentrated feeding solution of crude glycerol (400 g L−1) was fed into, in pulse. In particular, after consuming the initial concentration of substrate, a dense concentration of glycerol was added to the current flasks under aseptic conditions. The aim was to study its effect on the production of metabolic products, whether it would affect the rate of production. The medium was placed in sterile 250 mL flasks, and fermentation was performed in the same way as simple fermentations. The pH value in these last series of experiments was also maintained at 3.5 ± 0.3 with the addition of 5 M NaOH or 5 M HCl.
All experiments of all sets were carried out in 250 mL Erlenmeyer flasks with a working volume of 50 ± 1 mL. Cultures were incubated in an agitated rotary shaker at 180 ± 5 rpm and temperature T = 29 ± 1 °C (incubator: Zhicheng ZHWY 211C; China), which were previously sterilized (at T = 115 °C, 20 min) and inoculated with 1 mL of exponential pre-culture (viz. 2% v/v inoculum corresponding to c. 106 cfu; the initial dry cell weight of the inoculum ≈0.10 g L−1). Samples were collected periodically to determine glycerol consumption and biomass, polyols (mannitol, arabitol, and erythritol), intracellular polysaccharides and intracellular lipid production. All shake-flask cultures were carried out in duplicates, and the results are presented as average ± standard deviation.

2.5. Analyses

Biomass, expressed as cell dry weight (DCW, g L−1), was determined gravimetrically. Cells were collected by centrifugation (9000× g, 10 min, T = 4 °C) in a Hettich Universal 320-R (Germany) centrifuge and washed once with distilled water. The sediments were transferred to pre-weighed McCartney vials and dried at T = 80 ± 5 °C until constant weight (DCW was achieved usually within 40 ± 5 h). The samples were cooled down in a desiccator until constant weight was obtained. The total intracellular lipid content was extracted and determined using a chloroform methanol mixture at a ratio of 2:1 (v/v), in a modified “Folch” method, according to a procedure reported by Sarantou et al. [20] and Folch et al. [21]. Total intracellular polysaccharides concentration was determined based on the method reported by Tsakona et al. [22] with few modifications; briefly, 10 mL of 2 M HCl was added to 0.05 g of dry yeast cell biomass followed by hydrolysis at T = 80 °C for 30 min. After hydrolysis, the neutralization of HCl was carried out by the addition of 10 mL of 2 M NaOH. Cellular debris were removed by centrifugation, and the supernatants were analyzed for total reducing sugars concentration. The concentration of total sugars was determined with the assay of 3,5-dinitrosalicylic acid [23], and endopolysaccharides were expressed as glucose equivalents. Glycerol and polyols concentrations were determined by an HPLC system equipped with a Phenomenex Rezex ROA column with size 300 mm × 7.8 mm coupled to a differential refractometer. Operating conditions were as follows: sample volume 20 μL; mobile phase 10 mM H2SO4; flow rate 0.6 mL/min; column temperature T = 65 °C.

2.6. Nomenclature

X (g L−1): Yeast dry biomass (dry cell weight; DCW); Gly (g L−1): Glycerol; L (g L−1): Total intracellular lipids; IPS (g L−1): Total intracellular polysaccharides; YIPS/X (g g−1): Endopolysaccharides in DCW; YL/X (g g−1): Intracellular lipids in DCW; YPolyols/Gly (g g−1): Polyols produced per unit of glycerol consumed; YM/Gly (g g−1): Mannitol produced per unit of glycerol consumed.

3. Results

3.1. Trials of Yarrowia lipolytica Strains on Crude Glycerol at Different Initial pH Values

The effect of pH value on biomass, mannitol, intracellular lipids, and endopolysaccharides production by two Y. lipolytica yeast strains was initially investigated in shake-flask cultures using glycerol as a carbon source at an initial concentration of c. 40 g L−1. The obtained results for Y. lipolytica strains FMCC Y-74 and FMCC Y-75 are presented in Table 1 and Table 2, respectively. Both Y. lipolytica strains presented significant biomass production and glycerol assimilation. Y. lipolytica FMCC Y-74 produced biomass in the range of 10.38 to 13.40 g L−1. The maximum biomass production of 13.4 g L−1 was obtained at t = 120 h in culture with a pH value of 7.0. A decrease in the biomass produced was observed at lower pH values. In the cultures with Y. lipolytica FMCC Y-75 strain, the final biomass concentration was slightly lower, ranging from 7.08 to 11.60 g L−1. Increasing the pH value from 3.0 to 7.0 led to a slightly higher biomass production (11.6 g L−1).
Mannitol was the main metabolite produced by both Y. lipolytica strains in all pH values. The results presented in Table 1 and Table 2 show that pH value significantly affected mannitol production for both strains. In cultures with Y. lipolytica FMCC Y-74, mannitol production was higher when the pH value ranged between 3.0 and 4.0, while for Y. lipolytica FMCC Y-75, high mannitol production was obtained at pH values ranging from 4.0 to 6.0. The highest mannitol production (19.64 g L−1) with corresponding yield = 0.54 g g−1 was reached at t = 48 h in the culture of Y. lipolytica FMCC Y-74 strain at the pH value of 3.0. In cultures with Y. lipolytica FMCC Y-75, the highest mannitol production of 16.11 g L−1 (t = 96 h) with corresponding yield = 0.45 g g−1 was obtained at the pH value of 4.0. Above optimum pH, mannitol production was decreased. Specifically, in the culture runs at the pH value of 7.0, mannitol production was markedly lower for both strains. For Y. lipolytica FMCC Y-74, remarkable re-consumption of mannitol was observed at the late culture steps when the concentration of glycerol into the medium presented low or negligible values.
Total intracellular lipid and polysaccharide production was also monitored for all cultures carried out. A similar production of total intracellular lipids (YL/X ranging between 0.06 and 0.11 g g−1) was obtained in all pH values, indicating that the accumulation of lipids was not affected by pH value into the medium, but in all cases, relatively low lipid accumulation (YL/X was always <0.20 g g−1) was observed. The maximum production of intracellular lipid was reached in fermentation time between 48 and 72 h after inoculation, which was relatively early and barely after the imposition of nitrogen limitation, in accordance with most literature reports dealing with the cultures of wild-type Y. lipolytica strains growing on glycerol or similarly catabolized compounds under nitrogen-limited conditions [15,19,20]. After that point, the total cellular lipid in DCW values (YL/X) were significantly decreased. It is also interesting to point out that significant quantities of intracellular polysaccharides were accumulated in the relatively early stages of growth (t ranging between 48 and 72 h), in the presence of nitrogen or barely after its exhaustion. The intracellular production of polysaccharides by Y. lipolytica FMCC Y-74 reached its highest values in DCW (YIPS/X ranging between 0.35 and 0.42 g g−1) at pH ranging from 5.0 to 7.0. Cultures with Y. lipolytica FMCC Y-75 showed similar biochemical behavior; however, the maximum IPS production was somehow lower (YIPS/X = 0.21–0.34 g g−1) compared with Y. lipolytica FMCC Y-74.

3.2. Effect of Glycerol Purity and Initial Concentration on Polyols Production by Yarrowia lipolytica FMCC Y-74

Taking into consideration that the strain Y. lipolytica FMCC Y-74 can effectively assimilate glycerol for the production of polyols (mainly, mannitol) with high conversion yields, it was selected for further investigation in the following experimental stages. The pH value for the subsequent trials was chosen to be that of 3.5 (±0.3), since in pH values between 3.0 and 4.0, the strain FMCC Y-74 presented an appreciable production of mannitol, while DCW production and glycerol assimilation were also significant. In this part of the study, it was desirable to evaluate the impact of the purity of the substrate (utilization of either pure glycerol or crude glycerol deriving from transesterification of edible or used/cooked oils) upon the physiological behavior of the strain. Therefore, the efficiency of Y. lipolytica FMCC Y-74 to convert various glycerol feedstocks for polyols and biomass production was evaluated at Gly0 ≈ 40 g L−1 (Table 3). Biomass production reached a concentration of 10.9 g L−1 at culture using crude glycerol deriving from the transesterification of edible oils (purity 88%), while in culture with the feedstock having derived from the transesterification of used/cooked oils, slightly higher DCW production occurred (X = 11.94 g L−1). On pure glycerol, Xmax concentration was = 11.20 g L−1 (Table 3), indicating that biomass production was unaffected by the presence (or the absence) of impurities found into the growth medium for the Gly0 concentration tested in this set of experiments. Glycerol assimilation equally was unaffected by the utilization of either pure or crude glycerol, with the maximum substrate quantity (90–95% w/w) having being consumed until 144–151 h after inoculation (kinetics not presented). The total polyols production reached a maximum value of 19.62 g L−1 with the corresponding conversion yield (YPolyols/Gly) of 0.54 g g−1 when crude glycerol deriving from edible oils was used. Comparable values were obtained using pure glycerol (19.73 g L−1; 0.57 g g−1) and crude glycerol from wasted/cooked oils (21.87 g L−1; 0.57 g g−1). The predominant sugar alcohol was mannitol, which in the case of pure glycerol or crude glycerol deriving from edible oils was c. 78.0% w/w, while it was lower (c. 63% w/w) in the fermentation in which crude glycerol from used/cooked oils was used.
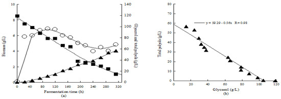
The above-mentioned results indicate that Y. lipolytica FMCC Y-74 cells were not affected by the impurities of biodiesel-derived crude glycerol. To investigate further the effect of crude glycerol on polyols production, increasing initial Gly0 concentrations (utilization of crude glycerol with purity of c. 88%) were used in shake-flask experiments at pH = 3.5 ± 0.3 (Table 4). A maximum biomass concentration of 7.58 g L−1 was obtained at a low initial concentration of crude glycerol (Gly0 ≈ 60 g L−1) compared with the fermentations using higher initial glycerol concentrations (Gly0 ≈ 80 and 120 g L−1), suggesting possible inhibition exerted due to high substrate concentration or the accumulation of recalcitrant compounds (i.e., impurities) into the fermentation medium, which was due to the increased quantity of crude feedstock employed. It is also interesting to indicate that in all cultures performed with all Gly0 concentrations tested, the DCW concentration (remarkably) decreased as the fermentation proceeded (Table 4), indicating autolysis of the yeast cells potentially due to the low culture pH, the presence of recalcitrant compounds into the medium, and the simultaneous accumulation of metabolites (polyols) in significant quantities into the fermentation broth. The final polyols concentration noticeably increased with increasing initial glycerol concentration, whereas it is interesting to indicate that a metabolic shift toward the synthesis of erythritol and to the detriment of accumulation of mannitol into the medium was observed when Gly0 concentrations increased into the medium. The highest polyols production of 56.64 g L−1 was obtained at t = 312 h at Gly0 ≈ 120 g L−1. The polyols conversion yield (0.59 g g−1) and productivity (0.23 g L−1 h−1) reached the highest values at Gly0 ≈ 80 g L−1. At Gly0 ≈ 60 g L−1, total polyols reached the maximum value of 23.01 g L−1 at t = 144 h; thereafter, polyols production slightly reduced, and the biosynthesis of new yeast biomass was observed. The kinetics of DCW, glycerol, and total polyols evolution in the shake-flask trial with Gly0 adjusted to c. 120 g L−1 is shown in Figure 2a, while the global conversion yield of total polyols produced per glycerol consumed (YPolyols/Gly, g g−1) for this fermentation, as demonstrated by linear regression of total polyols produced (g L−1) vs. remaining glycerol (g L−1) (Figure 2b), was = 0.56 g g−1.
It must also be indicated that the distribution of polyols was significantly affected by the initial glycerol concentration. At initial glycerol concentrations of 60 and 80 g L−1, mannitol was the principal polyol, which was followed by erythritol and arabitol. Specifically, at Gly0 ≈ 60 g L−1, the final ratio of mannitol, erythritol, and arabitol was 0.66:0.17:0.17. Increasing the initial glycerol concentration (Gly0 ≈ 80 g L−1) led to an equal production of mannitol and erythritol, while arabitol production was lower. At elevated initial glycerol concentration (Gly0 ≈ 120 g L−1), mannitol and erythritol were mainly produced until t = 96 h; after that point, erythritol biosynthesis was enhanced. The final mannitol, erythritol, and arabitol ratio was 0.38:0.43:0.18.

3.3. Fed-Batch Fermentation for Mannitol Production by Yarrowia lipolytica FMCC Y-74

Based on the results presented above, Y. lipolytica FMCC Y-74 produced mannitol as the main metabolic product using biodiesel-derived glycerol when relatively low initial glycerol concentrations (Gly0 ≤ 50 g L−1) were employed into the medium. Higher initial glycerol concentrations resulted in a metabolic shift toward (mainly) the synthesis of erythritol, and finally, mixtures of polyols, namely mannitol, erythritol, and arabitol, were accumulated into the medium, specifically in the trials with Gly0 ≥ 80 g L−1, whereas in some cases (i.e., Gly0 ≈ 120 g/L), the maximum concentration of erythritol was higher than the maximum one of mannitol (see Table 4). To increase further the production of mannitol, a fed-batch fermentation was carried out at the pH value of 3.5 using a relatively low initial glycerol concentration (Gly0 ≈ 40 g L−1). When glycerol concentration was below 10 g L−1, crude glycerol solution (Gly0 ≈ 400 g L−1) was fed into the shake flask in pulses in order to maintain the concentration of glycerol in the flasks ≤60 g L−1. The kinetics of biomass production, glycerol consumption, and polyols evolution are presented in Figure 3. Glycerol consumption was almost constant throughout the culture with an average glycerol consumption rate of 0.47 g L−1 h−1. Biomass production reached the value of 6.12 g L−1 at t = 24 h and then steadily increased, leading to 9.01 g L−1 production at the end of fermentation (t = 120 h). Total polyols production of 42.27 g L−1 was achieved with a corresponding conversion yield of 0.59 g g−1. Mannitol was produced as the main sugar alcohol followed by erythritol and arabitol. Particularly, the onset of mannitol production was given after t = 30 h, when biomass was equal to 6.57 g L−1. Arabitol and erythritol were produced at significantly lower concentrations. Mannitol production at t = 72 h was =14.1 g L−1, while erythritol and arabitol concentrations were 1.06 and 2.08 g L−1, respectively. When the glycerol concentration was 8.83 g L−1 (t = 72 h), glycerol (at 38.55 g L−1) was added into the fermentation medium, since as indicated, it was desirable to maintain the concentration of glycerol into relatively low quantities (≤60 g L−1) in order to shift the metabolism toward the synthesis of mannitol. Indeed, with the followed strategy, the final mannitol concentration was 36.84 g L−1 with a corresponding conversion yield of 0.51 g g−1, while erythritol and arabitol concentrations were insignificant compared to mannitol production, viz. 2.41 g L−1 and 3.02 g L−1, respectively.

4. Discussion

It has been previously reported that the non-conventional polymorphic yeast Y. lipolytica has great potential for the production of organic acids, microbial oil, polyols, and invertase using various renewable substrates [8,13,19,20,24,25,26]. Specifically, crude glycerol, the by-product from the biodiesel manufacturing process, has been successfully used as a carbon source for the production of value products (e.g., polyols, citric acid, succinic acid) by Y. lipolytica yeast strains [8,19,20,24,25]. In this study, two food-derived newly isolated Y. lipolytica strains were studied in cultures with crude glycerol used as the sole carbon source for metabolic compounds production, namely polyols (mannitol, erythritol, and arabitol), intracellular lipids, and endopolysaccharides. Particularly, the wild-type FMCC Y-74 and FMCC Y-75 strains were initially studied at shake-flask cultures using glycerol as a carbon source at relatively low initial concentrations (c. 40 g L−1) at pH values ranging from 3.0 to 7.0. Both strains were able to grow in glycerol-based media with the DCW reaching an average value of 11 g L−1. Mannitol was the main metabolic product for both strains in cultures at varied pH values (3.0–7.0), but based on the theory [14,24,25], polyols (e.g., mannitol and erythritol) are produced at relatively low pH values to protect microbial cells from osmotic stress [14]. Similar to other publications, the results of the present study demonstrated that pH is the key factor affecting the production and conversion yield of polyols [14,24,25]. The production of mannitol is facilitated by low pH values and decreases with the increasing pH value of the culture. The biosynthesis of mannitol by Y. lipolytica FMCC Y-74 reached a maximum value of 19.64 g L−1 with a conversion yield of 0.54 g g−1 at culture with a pH value of 3.0. Higher pH values led to lower concentrations of mannitol. Y. lipolytica FMCC Y-75 produced high concentrations of mannitol at cultures with pH values ranging from 3.0 to 6.0. Enhanced mannitol production (16.11 g L−1) by Y. lipolytica FMCC Y-75 was obtained at culture with a pH value of 4.0 (t = 96 h), while further incubation and glycerol depletion from the medium led to the degradation of mannitol, which was probably for cellular maintenance.
It is interesting to indicate that biomass synthesis occurred simultaneously with mannitol production after nitrogen depletion from the medium (that occurred at t = 45 ± 5 h after inoculation). This DCW increment despite nitrogen limitation would suggest potential storage intracellular compounds biosynthesis, such as i.e., intracellular lipids and endopolysaccharides. The results of the current research showed that both yeast strains produced insignificant quantities of total intracellular lipids at the end of fermentation. On the other hand, the highest lipid production was obtained at a relatively early growth stage of the culture (in the presence of nitrogen into the medium or barely after its depletion) and then decreased at the end of fermentation, while simultaneously, low-molecular weight compounds (viz. polyols) were secreted. This is a type of “atypical” oleaginous feature [8,15]. Similar observations concerning the interplay in the biosynthesis of cellular lipids and low-molecular weight metabolites (polyols and citric acid) have been reported for several wild-type Y. lipolytica strains in glycerol-based media in culture conditions enabling the de novo production of storage lipids (viz. nitrogen-limited ones) [8,15,20,26,27,28].
Another interesting result refers to the fact of the remarkable production of endopolysaccharides (YIPS/X = 0.31–0.42 g g−1), which are synthesized at the middle growth phases (up to c. 90–95 h after inoculation) in cultures with pH values of 5.0–7.0, while the respective YIPS/X values were significantly lower at the trials in which lower pH values were imposed for the growth. In Y. lipolytica strains, the pH manipulation seems to be a very important factor dealing with the production of extracellular metabolites in nitrogen-limited batch cultures (at low pH values, high polyols quantities are secreted, while at neutral or slightly acidic pH values, the metabolism is shifted toward the synthesis of citric acid and at the expense of the synthesis of polyols [1,24,25]). However, as far as we are aware, this is the first result in the literature dealing with the effect of incubation pH value upon the synthesis of endopolysaccharides in Y. lipolytica yeast. On the other hand, by taking into consideration the kinetics of intracellular polysaccharides production in Y. lipolytica (increase in YIPS/X values at the middle fermentation steps), comparable biosynthesis patterns under nitrogen-limited conditions have been observed for several other wild-type Y. lipolytica strains and other yeast species belonging to Rhodotorula sp. and Metschnikowia sp. [19,29]. On the contrary, strains of the species Rhodosporidium toruloides and Cryprococcus curvatus have been reported to present “interplay” in the biosynthesis of intracellular polysaccharides and storage lipids during nitrogen-limited batch growth on glycerol or other similarly metabolized ingredients, where at the very early growth steps, high quantities of endopolysaccharides are generated, while thereafter, these compounds are subjected to degradation with a simultaneous rise in the accumulation of storage cellular lipids [20,29,30,31].
The valorization of crude glycerol at Gly0 ≈ 40 g L−1 by Y. lipolytica FMCC Y-74 and relatively low pH value imposed in the culture (=3.5 ± 0.3) resulted in similar biomass and mannitol production, indicating the tolerance of Y. lipolytica to inhibitory compounds found in crude glycerol. When elevated crude glycerol concentrations were applied (viz. 60–120 g L−1), an enhanced production of polyols was observed. A maximum polyols concentration of 56.64 g L−1 was obtained in culture with Gly0 ≈ 120 g L−1, although in all cases, maximum DCW production was reduced with the increased Gly0 concentrations found into the medium, and cellular autolysis was observed at the late growth phases. The results suggested that polyols production is not related with biomass production. Onishi and Suzuki [32] have showed that a high concentration of inorganic phosphate positively affects mannitol production by salt-tolerant Torulopsis versatilis yeast. Similarly, salts in the form of NaCl can affect cell growth and polyols production [13,14]. At Gly0 ≈ 60 g L−1, the maximum biomass obtained was 7.58 g L−1 (at t = 96 h), and mannitol was the main metabolic product, reaching a concentration of 14.34 g L−1. Higher Gly0 concentrations imposed (≈80 g L−1) led to lower biomass production (Xmax around 6.95 g L−1), while mannitol and erythritol were mainly produced followed by arabitol, but a metabolic shift toward erythritol production was observed. At even higher Gly0 concentrations imposed (≈120 g L−1), erythritol (24.59 g L−1) was the predominant polyol followed by mannitol (21.74 g L−1) and arabitol (10.31 g L−1). It has been reported that at high osmotic stress conditions, the flux of the carbon source in polyols biosynthesis is changed, which is a phenomenon known as ‘‘osmotic stress response’’ [33]. Under high osmotic stress, yeasts produce more erythritol to reduce the outflow of water from intracellular to extracellular environment [14]. As a result, the pentose phosphate pathway is active instead of the Embden–Meyerhof–Parnas (EMP) pathway, in which mannitol is mainly synthesized. Similar results have been previously reported for Y. lipolytica strains cultivated on glycerol-based media [24,25].
Batch fermentations with a high initial concentration of glycerol (i.e., 120 or 140 g L−1) performed by wild-type Y. lipolytica strains resulted in a metabolic shift toward erythritol production and at the expense of the synthesis of mannitol, resulting in almost equal final amounts of mannitol and erythritol, which is in accordance with the results reported in the current submission; specifically, Y. lipolytica strain ACA YC 5029 produced mannitol (28.9 g L−1) and erythritol (33.6 g L−1) in cultures with a Gly0 concentration of 140 g L−1. Similarly, maximum mannitol and erythritol values of 32.1 g L−1 and 35.5 g L−1 respectively were obtained by Y. lipolytica ACA-YC 5030. For both these strains, a much higher conversion of mannitol produced per unit of glycerol consumed had been reported when lower Gly0 concentrations had been employed into the medium compared with the conversion of erythritol [8]. On the other hand, since high Gly0 concentrations (and, therefore, high osmotic pressure into the medium) have been revealed to favor the production of erythritol, reducing the biosynthesis of mannitol (see Table 4), it was decided to perform a fed-batch culture using Gly0 ≈ 40 g L−1 with intermittent glycerol feeding in which Gly0 concentration was always ≤60 g L−1 in order to direct the cellular metabolism for enhanced mannitol production by Y. lipolytica FMCC Y-74. The production of total polyols reached a concentration of 42.27 g L−1 with a corresponding conversion yield of 0.59 g g−1 and productivity of 8.45 g L−1 d−1. Mannitol (36.84 g L−1) was the main polyol produced followed by erythritol (2.41 g L−1) and arabitol (3.02 g L−1). In accordance with the above results, similar results have been reported by Y. lipolytica DSM 21,175 cultivated in glycerol-based media. Mannitol production of 25.4 g L−1 was produced at batch culture with a pH value of 3.0 [34]. Khan et al. [17] evaluated the resting cells of Candida magnoliae NCIM 3470 for mannitol production from various carbon sources. Mannitol production of 20 g L−1 was obtained from 250 g L−1 of pure glycerol over 4 days of incubation corresponding to a productivity of 5 g L−1 d−1 [17]. Torulopsis mannitofaciens CBS5981 was able to produce 23.4 g L−1 mannitol in culture with 11.3% (w/v) pure glycerol [32]. The highest mannitol production from crude glycerol has been achieved by Candida azyma NBRC10406. Batch fermentation with 250 g L−1 crude glycerol generated from oleochemical production from virgin plant oil and the addition of 0.2% CaCl2 led to 50.8 g L−1 mannitol with 7.26 g L−1 d−1 productivity [35].
In the table below (Table 5), the polyols produced in this research were compared with the results obtained in the literature for wild-type or mutant Y. lipolytica strains mostly cultured on glycerol-based media.

5. Conclusions

The application of two wild-type food-derived Y. lipolytica yeast strains for the valorization of glycerol was evaluated at various culture conditions. Y. lipolytica FMCC Y-74 and FMCC Y-75 present a high potential for mannitol production at low pH values (3.0–5.0). High mannitol production (19.64 g L−1) was obtained by Y. lipolytica FMCC Y-74. Not significantly acidic medium pH values (i.e., 5.0–6.0) favored the biosynthesis of total intracellular polysaccharides. In contrast, irrespective of the pH values imposed, cellular lipid in DCW values remained in almost all cases in values ≤0.20 g g−1,which is the threshold demonstrating the oleaginous character of the microbial species employed. In addition to pH value, initial crude glycerol concentration, which is related to the osmotic stress imposed, plays an important role in the production and distribution of total polyols. Relatively low Gly0 concentrations (≤60 g L−1) favored mannitol production, while higher Gly0 boosted principally the biosynthesis of erythritol at the expense of the synthesis of mannitol. High mannitol production (36.84 g L−1) with a corresponding conversion yield of 0.51 g g−1 and productivity of 8.45 g L−1 d−1 was reached in fed-batch culture by maintaining glycerol concentration below 60 g L−1. The results presented in this study provide an alternative way for the valorization of biodiesel-derived glycerol to value-added compounds (i.e., polyols).

Author Contributions

Methodology, validation, data analysis and writing original draft: E.-S.V.; Methodology: O.K., S.M. (Savvoula Michou), C.P., S.M. (Sofia Maina); Writing, review and editing: S.M. (Sofia Maina); Supervision and funding: A.A.K.; Conceptualization, data analysis, writing, review and editing, supervision and funding: S.P. All authors have read and agreed to the published version of the manuscript.

Funding

This research was funded by Ministry of National Education and Religious Affairs, Greece (project action: “Investigate–Create–Innovate 2014–2020, Intervention II”), grant number Τ1ΕΔΚ-03002.

Institutional Review Board Statement

Not applicable.

Informed Consent Statement

Not applicable.

Data Availability Statement

The data presented in this study are available on request from the corresponding author.

Acknowledgments

The current investigation was financially supported by the project entitled “Adding value to biodiesel-derived crude glycerol with the use of Chemical and Microbial Technology” (Acronym: Addvalue2glycerol, project code Τ1ΕΔΚ-03002) financed by the Ministry of National Education and Religious Affairs, Greece (project action: “Investigate—Create—Innovate 2014–2020, Intervention II”).

Conflicts of Interest

The authors declare no conflict of interest.

References

  1. Rzechonek, D.A.; Dobrowolski, A.; Rymowicz, W.; Mirończuk, A.M. Recent advances in biological production of erythritol. Crit. Rev. Biotechnol. 2018, 38, 620–633. [Google Scholar] [CrossRef] [PubMed]
  2. Maina, S.; Dheskali, E.; Papapostolou, H.; de Castro, A.M.; Freire, D.M.G.; Nychas, G.J.E.; Papanikolaou, S.; Kookos, I.K.; Koutinas, A. Bioprocess development for 2,3-butanediol production from crude glycerol and conceptual process design for aqueous conversion into methyl ethyl ketone. ACS Sustain. Chem. Eng. 2021, 9, 8692–8705. [Google Scholar] [CrossRef]
  3. World Energy Resources 2016 by the World Energy Council. Archived from the Executive Summary World Energy Resources. 2016. Available online: https://www.worldenergy.org/assets/images/imported/2016/10/World-Energy-Resources-Full-report-2016.10.03.pdf (accessed on 24 July 2021).
  4. Fickers, P.; Cheng, H.; Lin, C.S.K. Sugar alcohols and organic acids synthesis in Yarrowia lipolytica: Where are we? Microorganisms 2020, 8, 574. [Google Scholar] [CrossRef]
  5. Kachrimanidou, V.; Kopsahelis, N.; Papanikolaou, S.; Kookos, I.K.; De Bruyn, M.; Clark, J.H.; Koutinas, A.A. Sunflower-based biorefinery: Poly (3-hydroxybutyrate) and poly (3-hydroxybutyrate-co-3-hydroxyvalerate) production from crude glycerol, sunflower meal and levulinic acid. Bioresour. Technol. 2014, 172, 121–130. [Google Scholar] [CrossRef]
  6. Li, C.; Gao, S.; Yang, X.; Lin, C.S.K. Green and sustainable succinic acid production from crude glycerol by engineered Yarrowia lipolytica via agricultural residue based in situ fibrous bed bioreactor. Bioresour. Technol. 2018, 249, 612–619. [Google Scholar] [CrossRef] [PubMed]
  7. Metsoviti, M.; Paraskevaidi, K.; Koutinas, A.; Zeng, A.-P.; Papanikolaou, S. Production of 1,3-propanediol, 2,3-butanediol and ethanol by a newly isolated Klebsiella oxytoca strain growing on biodiesel-derived glycerol based media. Process. Biochem. 2012, 47, 1872–1882. [Google Scholar] [CrossRef]
  8. Papanikolaou, S.; Kampisopoulou, E.; Blanchard, F.; Rondags, E.; Gardeli, C.; Koutinas, A.A.; Chevalot, I.; Aggelis, G. Production of secondary metabolites through glycerol fermentation under carbon-excess conditions by the yeasts Yarrowia lipolytica and Rhodosporidium toruloides. Eur. J. Lipid Sci. Technol. 2017, 119, 1600507. [Google Scholar] [CrossRef]
  9. Rice, T.; Zannini, E.; KArendt, E.; Coffey, A. A review of polyols–biotechnological production, food applications, regulation, labeling and health effects. Crit. Rev. Food Sci. Nutr. 2020, 60, 2034–2051. [Google Scholar] [CrossRef] [PubMed]
  10. Kordowska-Wiater, M. Production of arabitol by yeasts: Current status and future prospects. J. Appl. Microbiol. 2015, 119, 303–314. [Google Scholar] [CrossRef]
  11. Expert Market Research. Global Mannitol Market Outlook. Available online: https://www.expertmarketresearch.com/reports/mannitol-market (accessed on 30 August 2021).
  12. Ortiz, M.E.; Bleckwedel, J.; Raya, R.R.; Mozzi, F. Biotechnological and in situ food production of polyols by lactic acid bacteria. Appl. Microbiol. Biotechnol. 2013, 97, 4713–4726. [Google Scholar] [CrossRef] [PubMed] [Green Version]
  13. Tomaszewska, L.; Rywińska, A.; Gładkowski, W. Production of erythritol and mannitol by Yarrowia lipolytica yeast in media containing glycerol. J. Ind. Microbiol. Biotechnol. 2012, 39, 1333–1343. [Google Scholar] [CrossRef] [Green Version]
  14. Yang, L.B.; Zhan, X.B.; Zheng, Z.Y.; Wu, J.R.; Gao, M.J.; Lin, C.C. A novel osmotic pressure control fed-batch fermentation strategy for improvement of erythritol production by Yarrowia lipolytica from glycerol. Bioresour. Technol. 2014, 151, 120–127. [Google Scholar] [CrossRef]
  15. Makri, A.; Fakas, S.; Aggelis, G. Metabolic activities of biotechnological interest in Yarrowia lipolytica grown on glycerol in repeated batch cultures. Bioresour. Technol. 2010, 101, 2351–2358. [Google Scholar] [CrossRef]
  16. Lee, J.; Song, J.; Kim, S. Controlling substrate concentration in fed-batch Candida magnoliae culture increases mannitol production. Biotechnol. Prog. 2003, 19, 768–775. [Google Scholar] [CrossRef]
  17. Khan, A.; Bhide, A.; Gadre, R. Mannitol production from glycerol by resting cells of Candida magnoliae. Bioresour. Technol. 2009, 100, 4911–4913. [Google Scholar] [CrossRef] [PubMed]
  18. Onishi, H.; Suzuki, T. Microbial production of D-mannitol and D-fructose from glycerol. Biotechnol. Bioeng. 1970, 12, 913–920. [Google Scholar] [CrossRef] [PubMed]
  19. Filippousi, R.; Antoniou, D.; Tryfinopoulou, P.; Nisiotou, A.A.; Nychas, G.; Koutinas, A.A.; Papanikolaou, S. Isolation, identification and screening of yeasts towards their ability to assimilate biodiesel-derived crude glycerol: Microbial production of polyols, endopolysaccharides and lipid. J. Appl. Microbiol. 2019, 127, 1080–1100. [Google Scholar] [CrossRef]
  20. Sarantou, S.; Stoforos, N.G.; Kalantzi, O.; Papanikolaou, S. Biotechnological valorization of biodiesel-derived glycerol: Trials with the non-conventional yeasts Yarrowia lipolytica and Rhodosporidium sp. Carbon Resour. Convers. 2021, 4, 61–75. [Google Scholar] [CrossRef]
  21. Folch, J.; Lees, M.; Sloane Stanley, G.H. A simple method for the isolation and purification of total lipids from animal tissues. J. Biol. Chem. 1957, 226, 497–509. [Google Scholar] [CrossRef]
  22. Tsakona, S.; Kopsahelis, N.; Chatzifragkou, A.; Papanikolaou, S.; Kookos, I.K.; Koutinas, A.A. Formulation of fermentation media from flour-rich waste streams for microbial lipid production by Lipomyces starkeyi. J. Biotechnol. 2014, 189, 36–45. [Google Scholar] [CrossRef]
  23. Miller, G.L. Use of Dinitrosalicylic acid reagent for determination of reducing sugar. Anal. Chem. 1959, 31, 426–428. [Google Scholar] [CrossRef]
  24. Rywińska, A.; Juszczyk, P.; Wojtatowicz, M.; Robak, M.; Lazar, Z.; Tomaszewska, L.; Rymowicz, W. Glycerol as a promising substrate for Yarrowia lipolytica biotechnological applications. Biomass Bioenergy 2013, 48, 148–166. [Google Scholar] [CrossRef]
  25. Tomaszewska, L.; Rakicka, M.; Rymowicz, W.; Rywińska, A. A comparative study on glycerol metabolism to erythritol and citric acid in Yarrowia lipolytica yeast cells. FEMS Yeast Res. 2014, 14, 966–976. [Google Scholar] [CrossRef] [Green Version]
  26. Papanikolaou, S.; Beopoulos, A.; Koletti, A.; Thevenieau, F.; Koutinas, A.A.; Nicaud, J.-M.; Aggelis, G. Importance of the methyl-citrate cycle on glycerol metabolism in the yeast Yarrowia lipolytica. J. Biotechnol. 2013, 168, 303–314. [Google Scholar] [CrossRef] [PubMed]
  27. Chatzifragkou, A.; Makri, A.; Belka, A.; Bellou, S.; Mavrou, M.; Mastoridou, M.; Mystrioti, P.; Onjaro, G.; Aggelis, G.; Papanikolaou, S. Biotechnological conversions of biodiesel derived waste glycerol by yeast and fungal species. Energy 2011, 36, 1097–1108. [Google Scholar] [CrossRef]
  28. André, A.; Chatzifragkou, A.; Diamantopoulou, P.; Sarris, D.; Philippoussis, A.; Galiotou-Panayotou, M.; Komaitis, M.; Papanikolaou, S. Biotechnological conversions of bio-diesel-derived crude glycerol by Yarrowia lipolytica strains. Eng. Life Sci. 2009, 9, 468–478. [Google Scholar] [CrossRef]
  29. Diamantopoulou, P.; Filippousi, R.; Antoniou, D.; Varfi, E.; Xenopoulos, E.; Sarris, D.; Papanikolaou, S. Production of added-value microbial metabolites during growth of yeast strains on media composed of biodiesel-derived crude glycerol and glycerol/xylose blends. FEMS Microbiol. Lett. 2020, 367, fnaa063. [Google Scholar] [CrossRef]
  30. Diamantopoulou, P.; Stoforos, N.G.; Xenopoulos, E.; Sarris, D.; Psarianos, D.; Philippoussis, A.; Papanikolaou, S. Lipid production by Cryptococcus curvatus growing on commercial xylose and subsequent valorization of fermentation waste-waters for the production of edible and medicinal mushrooms. Biochem. Eng. J. 2021, 162, 107706. [Google Scholar] [CrossRef]
  31. Xenopoulos, E.; Giannikakis, I.; Chatzifragkou, A.; Koutinas, A.; Papanikolaou, S. Lipid production by yeasts growing on commercial xylose in submerged cultures with process water being partially replaced by olive mill wastewaters. Processes 2020, 8, 819. [Google Scholar] [CrossRef]
  32. Onishi, H.; Suzuki, T. Production of D-mannitol and glycerol by yeasts. Appl. Microbiol. 1968, 16, 1847–1852. [Google Scholar] [CrossRef]
  33. Blomberg, A.; Adler, L. Physiology of osmotolerance in fungi. Adv. Microb. Physiol. 1992, 33, 145–212. [Google Scholar] [CrossRef]
  34. Egermeier, M.; Russmayer, H.; Sauer, M.; Marx, H. Metabolic flexibility of Yarrowia lipolytica growing on glycerol. Front. Microbiol. 2017, 8, 49. [Google Scholar] [CrossRef] [PubMed] [Green Version]
  35. Yoshikawa, J.; Habe, H.; Morita, T.; Fukuoka, T.; Imura, T.; Iwabuchi, H.; Uemura, S.; Tamura, T.; Kitamoto, D. Production of mannitol from raw glycerol by Candida azyma. J. Biosci. Bioeng. 2014, 117, 725–729. [Google Scholar] [CrossRef]
  36. Rymowicz, W.; Rywińska, A.; Marcinkiewicz, M. High-yield production of erythritol from raw glycerol in fed-batch cultures of Yarrowia lipolytica. Biotechnol. Lett. 2009, 31, 377–380. [Google Scholar] [CrossRef] [PubMed]
  37. Mirończuk, A.M.; Furgała, J.; Rakicka, M.; Rymowicz, W. Enhanced production of erythritol by Yarrowia lipolytica on glycerol in repeated batch cultures. J. Ind. Microbiol. Biotechnol. 2014, 41, 57–64. [Google Scholar] [CrossRef] [Green Version]
  38. Mirończuk, A.M.; Dobrowolski, A.; Rakicka-Pustułka, M.; Rywińska, A.; Rymowicz, W. Newly isolated mutant of Yarrowia lipolytica MK1 as a proper host for efficient erythritol biosynthesis from glycerol. Process. Biochem. 2015, 50, 61–68. [Google Scholar] [CrossRef]
  39. Carly, F.; Vandermies, M.; Telek, S.; Steels, S.; Thomas, S.; Nicaud, J.-M.; Fickers, P. Enhancing erythritol productivity in Yarrowia lipolytica using metabolic engineering. Metab. Eng. 2017, 42, 19–24. [Google Scholar] [CrossRef] [PubMed]
  40. Rakicka-Pustułka, M.; Biegalska, A.; Rymowicz, W.; Dobrowolski, A.; Mirończuk, A.M. Polyol production from waste materials by genetically modified Yarrowia lipolytica. Bioresour. Technol. 2017, 243, 393–399. [Google Scholar] [CrossRef] [PubMed]
Figure 1. Metabolic pathways for polyols biosynthesis from glycerol. GUT1: glycerol kinase; GUT2: mitochondrial glycerol-3-phosphate dehydrogenase; DHAP: dihydroxyacetone phosphate; TPI: triose phosphate isomerase; GA-3-P: glyceraldehyde-3-phospate; TDH: glyceraldehyde-3-phosphate dehydrogenase; PEP: phosphoenolpyruvate; PYK: pyruvate kinase; PYR: pyruvate; FBP1: fructose bisphosphatase; Fructose-6-P: fructose-6-phosphate;M1PDH: mannitol-1-phosphate dehydrogenase; Manntiol-1-P: mannitol-1-phosphate; M1P: mannitol-1-phosphatase; Glucose-6-p: glucose-6-phosphate; ARD: arabitol dehydrogenase; E4PK: erythrose-4-phosphate kinase; ER: erythrose reductase. Adapted by [14].
Figure 1. Metabolic pathways for polyols biosynthesis from glycerol. GUT1: glycerol kinase; GUT2: mitochondrial glycerol-3-phosphate dehydrogenase; DHAP: dihydroxyacetone phosphate; TPI: triose phosphate isomerase; GA-3-P: glyceraldehyde-3-phospate; TDH: glyceraldehyde-3-phosphate dehydrogenase; PEP: phosphoenolpyruvate; PYK: pyruvate kinase; PYR: pyruvate; FBP1: fructose bisphosphatase; Fructose-6-P: fructose-6-phosphate;M1PDH: mannitol-1-phosphate dehydrogenase; Manntiol-1-P: mannitol-1-phosphate; M1P: mannitol-1-phosphatase; Glucose-6-p: glucose-6-phosphate; ARD: arabitol dehydrogenase; E4PK: erythrose-4-phosphate kinase; ER: erythrose reductase. Adapted by [14].
Reactions 02 00032 g001
Figure 2. Kinetics of dry yeast cell mass production (○), total polyols biosynthesis (▲) and glycerol consumption (■) (a) and total polyols (▲) vs. remaining glycerol (b) by Yarrowia lipolytica FMCC Y-74 during cultivation on biodiesel-derived glycerol in shake flasks at 180 rpm, pH value of 3.5, incubation temperature T = 29 ± 1 °C. Each experimental point is the mean value of two independent determinations.
Figure 2. Kinetics of dry yeast cell mass production (○), total polyols biosynthesis (▲) and glycerol consumption (■) (a) and total polyols (▲) vs. remaining glycerol (b) by Yarrowia lipolytica FMCC Y-74 during cultivation on biodiesel-derived glycerol in shake flasks at 180 rpm, pH value of 3.5, incubation temperature T = 29 ± 1 °C. Each experimental point is the mean value of two independent determinations.
Reactions 02 00032 g002
Figure 3. On the left (a) time profiles of glycerol consumption (■), biomass (○), total polyols (▲), and on the right (b) time profiles of mannitol (□), erythritol (∆), and arabitol (●) production by Yarrowia lipolytica FMCC Y-74 during fed-batch culture with biodiesel-derived glycerol in shake-flask experiments at 180 rpm, pH value of 3.5, incubation temperature T = 29 ± 1 °C. Each experimental point is the mean value of two independent determinations.
Figure 3. On the left (a) time profiles of glycerol consumption (■), biomass (○), total polyols (▲), and on the right (b) time profiles of mannitol (□), erythritol (∆), and arabitol (●) production by Yarrowia lipolytica FMCC Y-74 during fed-batch culture with biodiesel-derived glycerol in shake-flask experiments at 180 rpm, pH value of 3.5, incubation temperature T = 29 ± 1 °C. Each experimental point is the mean value of two independent determinations.
Reactions 02 00032 g003
Table 1. Quantitative data of cultures of Yarrowia lipolytica FMCC Y-74 on glycerol-based media (Gly0 ≈ 40 g L−1) under different pH values. Culture conditions: shake-flask fermentation in 250 mL conical flasks at 180 rpm and incubation temperature T = 29 ± 1 °C. Each experimental point presented is the mean value of two independent determinations.
Table 1. Quantitative data of cultures of Yarrowia lipolytica FMCC Y-74 on glycerol-based media (Gly0 ≈ 40 g L−1) under different pH values. Culture conditions: shake-flask fermentation in 250 mL conical flasks at 180 rpm and incubation temperature T = 29 ± 1 °C. Each experimental point presented is the mean value of two independent determinations.
Time
(h)
X
(g L−1)
Glycons
(g L−1)
Mannitol
(g L−1)
YM/Gly
(g g−1)
YL/X
(g g−1)
YIPS/X
(g g−1)
pH = 3.0 ± 0.3a12010.3837.703.510.090.080.17
b, c486.6236.3319.640.540.110.20
d727.2637.7017.330.460.090.21
pH = 4.0 ± 0.3a14411.1337.702.970.080.060.13
b486.6934.1514.890.440.090.19
c969.0037.7014.200.380.090.17
d729.8337.7011.460.300.110.29
pH = 5.0 ± 0.3a12011.8637.708.450.220.070.19
b969.5537.0513.410.360.090.35
c, d7211.7034.338.450.250.100.37
pH = 6.0 ± 0.3a12012.9937.704.520.200.060.22
b9610.4837.7010.350.280.090.31
c, d7210.2637.709.380.250.110.42
pH = 7.0 ± 0.3a12013.4037.704.320.120.080.18
b, c, d965.2037.706.670.180.100.35
Representations: (a) When the maximum concentration of biomass is achieved; (b) When the maximum concentration of mannitol is achieved; (c) When the maximum percentage of lipid on dry matter (YL/X, g g−1) is achieved; (d) When the maximum percentage of intracellular polysaccharides on dry matter (YIPS/X, g g−1) is achieved; YM/GLY: yield of mannitol produced per glycerol synthesized (g g−1).
Table 2. Quantitative data of cultures of Yarrowia lipolytica FMCC Y-75 on glycerol-based media (Gly0 ≈ 40 g L−1) under different pH values. Culture conditions: shake-flask fermentation in 250 mL conical flasks at 180 rpm and incubation temperature T = 29 ± 1 °C. Each experimental point presented is the mean value of two independent determinations.
Table 2. Quantitative data of cultures of Yarrowia lipolytica FMCC Y-75 on glycerol-based media (Gly0 ≈ 40 g L−1) under different pH values. Culture conditions: shake-flask fermentation in 250 mL conical flasks at 180 rpm and incubation temperature T = 29 ± 1 °C. Each experimental point presented is the mean value of two independent determinations.
Time
(h)
X
(g L−1)
Glycons
(g L−1)
Mannitol
(g L−1)
YM/Gly
(g g−1)
YL/X
(g g−1)
YIPS/X
(g g−1)
pH = 3.0 ± 0.3a, c, d4810.6032.7510.130.310.120.23
b967.0836.1410.520.290.080.13
pH = 4.0 ± 0.3a14411.2536.146.320.180.060.13
b969.1336.1416.110.450.090.15
c7210.0036.1412.540.350.110.20
d4810.8034.549.630.280.090.30
pH = 5.0 ± 0.3a14410.4336.149.630.270.060.20
b969.1336.1413.310.370.090.19
c729.5736.1412.080.330.100.21
d488.0034.9911.530.330.080.31
pH = 6.0 ± 0.3a, c7211.2036.1412.230.350.110.25
b9610.4536.1412.260.340.090.17
d487.4030.7312.190.400.090.34
pH = 7.0 ± 0.3a, c7211.6036.148.320.230.120.29
b485.0030.278.740.290.090.29
d9610.8736.148.070.220.110.34
Representations: (a) When the maximum concentration of biomass is achieved; (b) When the maximum concentration of mannitol is achieved; (c) When the maximum percentage of lipid on dry matter (YL/X, g g−1) is achieved; (d) When the maximum percentage of intracellular polysaccharides on dry matter (YIPS/X, g g−1) is achieved; YM/GLY: yield of mannitol produced per glycerol synthesized (g g−1).
Table 3. Production of metabolic products by Yarrowia lipolytica FMCC Y-74 using pure and crude glycerol of different origin (Gly0 ≈ 40 g L−1) at pH value = 3.5 ± 0.3. Culture conditions: shake-flask fermentation in 250 mL conical flasks, agitation rate of 180 rpm and incubation temperature T = 29 ± 1 °C. Each experimental point presented is the mean value of two independent determinations.
Table 3. Production of metabolic products by Yarrowia lipolytica FMCC Y-74 using pure and crude glycerol of different origin (Gly0 ≈ 40 g L−1) at pH value = 3.5 ± 0.3. Culture conditions: shake-flask fermentation in 250 mL conical flasks, agitation rate of 180 rpm and incubation temperature T = 29 ± 1 °C. Each experimental point presented is the mean value of two independent determinations.
Time
(h)
X
(g L−1)
Glycons
(g L−1)
Mannitol
(g L−1)
Erythritol
(g L−1)
Arabitol
(g L−1)
Crude glycerol (88%)a, b14410.9036.0615.201.003.42
Crude glycerol (74%)a, b17111.9438.5213.682.415.78
Pure glycerola, b14411.2034.8215.501.003.23
Representations: (a) When the maximum concentration of biomass is achieved; (b) When the maximum concentration of mannitol is achieved.
Table 4. Production of polyols and biomass by Yarrowia lipolytica FMCC Y-74 using different initial concentrations of crude glycerol at pH value = 3.5 ± 0.3. Culture conditions: shake-flask fermentation in 250 mL conical flasks, agitation rate of 180 rpm, and incubation temperature T = 29 ± 1 °C. Crude glycerol from transesterification of edible oils (purity = 88% w/w) was used as substrate.
Table 4. Production of polyols and biomass by Yarrowia lipolytica FMCC Y-74 using different initial concentrations of crude glycerol at pH value = 3.5 ± 0.3. Culture conditions: shake-flask fermentation in 250 mL conical flasks, agitation rate of 180 rpm, and incubation temperature T = 29 ± 1 °C. Crude glycerol from transesterification of edible oils (purity = 88% w/w) was used as substrate.
Gly0
(g L−1)
Time
(h)
X
(g L−1)
Glycons
(g L−1)
Mannitol
(g L−1)
Erythritol
(g L−1)
Arabitol
(g L−1)
Polyols
(g L−1)
YPolyols/Gly
(g g−1)
≈60 96a7.5838.626.134.023.2113.360.35
144c, d4.1245.6611.585.905.5323.010.50
264b6.0155.6714.343.793.6321.760.39
≈80 96a7.0037.839.176.494.1119.770.52
168c3.7865.6215.6215.777.1938.580.59
216d3.0573.3616.4513.079.7339.250.54
240b2.5476.1819.1414.596.9140.640.53
≈120 96a6.8940.154.823.682.6311.130.28
312b, c, d4.85104.2721.7424.5910.3156.640.54
Representations: (a) When the maximum concentration of biomass is achieved; (b) When the maximum concentration of mannitol is achieved; (c) When the maximum concentration of erythritol is achieved; and (d) When the maximum concentration of arabitol is achieved.
Table 5. Representative results concerning the production of polyols by several yeasts belonging to the species Yarrowia lipolytica when cultivated on glycerol under various fermentation modes.
Table 5. Representative results concerning the production of polyols by several yeasts belonging to the species Yarrowia lipolytica when cultivated on glycerol under various fermentation modes.
StrainErythritol
(g L−1)
Mannitol
(g L−1)
Arabitol
(g L−1)
Polyols
(g L−1)
YPol/Gly
(g g−1)
Cultivation TypeReference
Wratislavia 1.31 †132.023.0-155.00.52Fed-batch reactorRymowicz et al. [36]
Wratislavia K1 †170.012.0-182.00.60Fed-batch reactorRymowicz et al. [36]
A-15 &71.08.01.880.80.50Batch reactorTomaszewska et al. [13]
A UV’1 †63.08.89.281.00.50Batch reactorTomaszewska et al. [13]
Wratislavia K1 †80.02.60.382.90.51Batch reactorTomaszewska et al. [13]
Wratislavia K1 †135.53.90.1139.50.58Repeated-batch reactorMirończuk et al. [37]
Wratislavia 1.31 †26.216.83.746.70.36Batch reactorTomaszewska et al. [25]
Wratislavia K1 †40.715.12.958.70.40Batch reactorTomaszewska et al. [25]
MK1 †79.52.70.482.60.55Batch reactorMirończuk et al. [38]
MK1 †177.32.2-179.50.67Repeated-batch reactorMirończuk et al. [38]
FCY 218 †80.6n.i.n.i.80.60.53Batch reactorCarly et al. [39]
HA 1251 &≈4≈32≈5≈41n.i.Batch reactorEgermeier et al. [34]
ACA YC 5030 &35.532.1-67.60.49Batch flasksPapanikolaou et al. [8]
AIB &56.712.66.075.30.49Fed-batch reactorRakicka et al. [40]
ACA-DC 5033 &25.917.54.247.60.58Batch flasksSarantou et al. [20]
FMCC Y-742.4136.843.0242.270.59Fed-batch flasksPresent study
FMCC Y-7424.5921.7410.3156.640.54Batch flasksPresent study
FMCC Y-7414.5919.146.9140.640.53Batch flasksPresent study
†: Mutant or genetically modified Yarrowia lipolytica; &: Wild-type Yarrowia lipolytica; ¶: Fermentations in which the medium pH remained between 4.5 and 6.0 throughout the culture (in all other trials, medium pH was = 3.0–3.5).
Publisher’s Note: MDPI stays neutral with regard to jurisdictional claims in published maps and institutional affiliations.

Share and Cite

MDPI and ACS Style

Vastaroucha, E.-S.; Maina, S.; Michou, S.; Kalantzi, O.; Pateraki, C.; Koutinas, A.A.; Papanikolaou, S. Bioconversions of Biodiesel-Derived Glycerol into Sugar Alcohols by Newly Isolated Wild-Type Yarrowia lipolytica Strains. Reactions 2021, 2, 499-513. https://doi.org/10.3390/reactions2040032

AMA Style

Vastaroucha E-S, Maina S, Michou S, Kalantzi O, Pateraki C, Koutinas AA, Papanikolaou S. Bioconversions of Biodiesel-Derived Glycerol into Sugar Alcohols by Newly Isolated Wild-Type Yarrowia lipolytica Strains. Reactions. 2021; 2(4):499-513. https://doi.org/10.3390/reactions2040032

Chicago/Turabian Style

Vastaroucha, Eleni-Stavroula, Sofia Maina, Savvoula Michou, Ourania Kalantzi, Chrysanthi Pateraki, Apostolis A. Koutinas, and Seraphim Papanikolaou. 2021. "Bioconversions of Biodiesel-Derived Glycerol into Sugar Alcohols by Newly Isolated Wild-Type Yarrowia lipolytica Strains" Reactions 2, no. 4: 499-513. https://doi.org/10.3390/reactions2040032

APA Style

Vastaroucha, E.-S., Maina, S., Michou, S., Kalantzi, O., Pateraki, C., Koutinas, A. A., & Papanikolaou, S. (2021). Bioconversions of Biodiesel-Derived Glycerol into Sugar Alcohols by Newly Isolated Wild-Type Yarrowia lipolytica Strains. Reactions, 2(4), 499-513. https://doi.org/10.3390/reactions2040032

Article Metrics

Back to TopTop