Abstract
Electromagnetic induction (EMI) devices have become increasingly popular for their soil bulk properties, soil nutrient status, and use in taking non-invasive soil salinity measurements. However, the high cost of data acquisition (DAQ) systems has been a significant barrier to the widespread adoption of these devices. In this study, we addressed this challenge by developing a cost-effective, easy-to-use, open-source DAQ system, transferable to the end user. This system employs a Raspberry Pi 4 model, paired with various components, to monitor the speed and position of the EM38 (Geonics Ltd, Mississauga, ON, Canada) and compare these with a proprietary CR1000 system. Through our results, we demonstrate that the low-cost DAQ system can successfully extract the analogical signal from the device, which is strongly responsive to the variation in the soil’s physical properties. This cost-effective system is characterized by increased flexibility in software processes and provides performance comparable to the proprietary system in terms of its geospatial data and ECb measurements. This was validated by the strong correlation (R2 = 0.98) observed between the data collected from both systems. With our zoning analysis, performed using the Kriging technique, we revealed not only similar patterns in the ECb data but also similar patterns to the Normalized Difference Vegetation Index (NDVI) map, suggesting that soil physical characteristics contribute to variability in crop vigor. Furthermore, the developed web application enabled real-time data monitoring and visualization. These findings highlight that the open-source DAQ system is a viable, cost-effective alternative for soil property monitoring in precision farming. Future enhancements will focus on integrating additional sensors for plant vigor and soil temperature, as well as refining the web application, supporting zone classification based on the use of multiple parameters.
1. Introduction
Understanding the spatial variability of soil physical properties is crucial for improving the interpretation of agro-hydrological processes at great spatial scales and to improve the efficiency of agricultural operations such as irrigation and/or fertilization.
Over the past two decades, multiple techniques have been developed to assess soil heterogeneity. Among these, electromagnetic induction (EMI) methods offer valuable insights into hydropedological properties. Compared to traditional survey methods, EMI techniques enable higher sampling densities and broader site coverage. To this end, the EM38 sensor (Geonics Ltd, Mississauga, ON, Canada) is one of the most widely used EMI devices in soil physics surveys [1] and precision agriculture [2]. Its primary advantage lies in its ability to conduct large-scale soil conductivity surveys speed and accuracy [3].
The EM38 sensor can be used manually by leaning it on the ground and walking around to collect measurements of single points. When using the sensor in this way, the data must be recorded manually from the sensor to table them, and to collect position data, if desired, it is necessary to find an external GPS solution to collect the coordinates of the measured point. To perform a survey of the surface by possibly towing the sensor with the help of mechanical vehicles such as tractors and quads, and keeping track of all of the data and positions, the use of a data acquisition system (DAS or DAQ) is necessary. Out of the systems on the market, a manufacturer’s DAQ, the DAS70, or an alternative proprietary datalogger such as the CR1000 (Campbell Scientific Inc, Logan, UT, USA) could be integrated with the EM38 m to record and store simultaneously both ECa and geographic position data.
Proprietary data logging systems are widely used in agriculture and environmental monitoring, but there are several challenges associated with their use. These systems are typically developed by private manufacturers, who often protect their technologies through proprietary designs, limiting compatibility with other devices and sensors. This forces users to remain locked into using specific systems, making it difficult and expensive to switch to alternative solutions or integrate multiple different types of sensors. High costs and limited flexibility can make these systems impractical for research projects that require diverse, scalable, or customized solutions. Proprietary systems can also suffer from slow innovation cycles due to relatively small scientific and agricultural markets. As a result, researchers face barriers when attempting to collect high-quality, sufficient data for their experiments, especially when multiple sites or frequent measurements are needed. Furthermore, the cost-prohibitive nature of proprietary dataloggers makes it challenging to scale data collection efforts to meet observational and statistical requirements [4]. The use of these systems introduces significant challenges, including high costs, restricted accessibility, and limited adaptability for specific research needs. These limitations highlight how creating open-source alternatives is necessary to provide researchers with access to the use of advanced soil survey techniques.
Open-source hardware platforms, such as Arduino and Raspberry Pi, offer a transformative alternative to proprietary systems. These platforms are inexpensive, versatile, and widely accessible, making them suitable for automating data collection in agriculture. Their modular designs and open-source licenses enable researchers to customize systems for specific applications, integrate diverse sensors, and reduce costs significantly. Moreover, the collaborative nature of open-source projects allows for rapid innovation and adaptation to emerging needs, addressing the limitations of proprietary systems. Open-source solutions democratize access to advanced technologies, enabling scientists and practitioners to build data logging systems tailored to their requirements. This approach aligns with the principles of transparency, scalability, and interoperability, empowering researchers to overcome the constraints of proprietary dataloggers and unlock new possibilities for data collection in agriculture and related fields [5].
The DAQ system is built on a single-board Raspberry Pi and enables the acquisition of data related to the EM38’s speed and position. Its signal quality and GPS performance are compared with a proprietary DAQ system, coupled with a CR1000 datalogger (Campbell Scientific) and Garmin’s GPS, as both are considered to encompass high gamma among the property data acquisition and analysis.
In this study, we compared the use of two distinct data acquisition (DAQ) systems to collect and georeference soil bulk electrical conductivity (ECb) data from the EM38 conductivity meter (Geonics Ltd., Mississauga, ON, Canada). The first system utilized the proprietary CR1000 datalogger (Campbell Scientific, Inc, Logan, UT, USA) paired with a Garmin GPS, while the second system utilized an open-source alternative based on a Raspberry Pi model and a low-cost GPS, developed by the AgrHySMo laboratory at the University of Pisa. Our goal was to explore how a low-cost, flexible alternative such as the Raspberry Pi-based DAQ faired in relation to a well-established, professional proprietary system. This comparison will help us to illustrate the potential and limitations of using more accessible hardware for data collection, especially in settings where the budget or customization needs are key considerations. This field research focused on evaluating the effectiveness of ECb-based zoning by analyzing its spatial variability and comparing it with other proxies, such as the NDVI, within a pear orchard.
2. Materials and Methods
2.1. Study Site
We conducted our research activities at the Laboratory of Agro-Hydrological Sensing and Modelling (AgrHySMo) at the University of Pisa. The system was tested in a pear orchard (Illuminati Frutta Farm, Arezzo, Italy), where the spatial variability in the crop, expressed in terms of vigor, is known. The test was performed on an approximately 7 ha field slightly sloping toward the N-W direction with 3 plant cultivars (Conference, Williams, and Carmen). Table 1 describes the agronomic features of the investigated field.
Table 1.
Agronomic characteristics of the Carmen, Williams, and Conference orchards.
During the planting phase, two different irrigation methods were installed: sprinkler and drip irrigation. The drip irrigation system was divided into three sectors (one for each cultivar), while sprinkler irrigation was used to manage the thermal irrigation, which is necessary during anomalous periods with high (i.e., heat wave) and low (i.e., freezing) air temperatures.
The integral driplines integrated a self-compensating emitter spaced with 0.5 m (nominal flow of 1.6 L h−1). The water distribution network starts from the farm hydrant of the collective water network connected to the Montedoglio dam. Furthermore, the irrigation practice uses the water source of an artesian well equipped with a pumping station and a 120-mesh self-cleaning disk filtering system.
The soil predominantly has a sandy texture with a granulometric fraction of sand, silt, and clay of 62%, 18%, and 20%, respectively.
2.2. EM38 Sensor Description and Proprietary DAQ
The EM38 (Figure 1) is an electromagnetic induction sensor that directly measures the ECb of the soil. In agricultural investigations, it allows for the detection of the heterogeneity of the soil and helps to understand the agrohydrological process on a spatial scale. In our study, this is essential to the zoning process in terms of characterizing the spatial variability in the soil physical properties. The device weighs approximately 1.4 kg and has 1-m spacing between its coils. It operates at 14,600 Hz. When it is used in a vertical dipole orientation, it can reach a theoretical depth of about 1.5 m, covering the typical rooting zone [6]. The size of the instrument and its lightweight suit mean that it is appropriate for use in prospective and intensive surveys conducted on steeply sloping, forested terrains, provided that there is limited underbrush and ground cover. It is composed of 2 coils that have a distance of 1 m between them (a transmitter and a receiver); this is based on the ability of the soil to transmit the electromagnetic field that is emitted by the instrument. The transmitter generates a primary magnetic field into the ground so that it induces a secondary magnetic field which is later received by the receiver. Therefore, the receiver acquires the electrical field and transforms it into data (ECb).
Figure 1.
Schematic construction of the EM38 measurement principle and vertical dipole setup.
The measurement of the soil bulk electrical conductivity ECb (mS/m) is expressed by the ratio of the primary field (Hp) to the secondary field (Hs):
where Hp is the primary magnetic field (A m−1), Hs is the secondary magnetic field (A m−1), i is the imaginary unit, ECb (mS/m) is the bulk electrical conductivity of the soil, µ0 is the magnetic permeability of air (4π10−7 H m−1), s is the inter-coil spacing (m), and ω = 2 π f, where f is the frequency of the current (14.6 KHz).
The ECb measurement is representative of a soil volume that is trunked–spheric/ellipsoid-shaped (Figure 2). The horizontal axis, s, is equal to the inter-coil spacing, whereas the depth depends on the dipole orientation, i.e., whether it is horizontal (0.5 m) or vertical (1.5 m).
Figure 2.
Relative responses for vertically and horizontally oriented dipoles.
Prior to data collection, the EM38 was nulled in accordance to the manufacturer’s instructions (Geonics) [7].
The manufacturer’s DAQ, the DAS70, integrates an Allegro CE or CX field computer (Juniper Systems, North Logan, UT, USA) [8] running Geomar’s Trackmaker 38 software (Geomar Software, Inc., Mississauga, ON, Canada) [9] and a Garmin GPS Map-76 receiver (Garmin International, Inc., Olathe, KS, USA) [10]. A CSI Radio Beacon receiver with its corresponding antenna and accessories are integrated into a backpack. As an alternative, a CR1000 datalogger (Campbell Scientific, Inc, Logan, UT, USA) [11] could be programmed to operate with the same sensor. The two systems are shown in Figure 3.
Figure 3.
Geophysical survey workflow showcasing field equipment EM38, GPS devices, dataloggers, and software tools (Logger Net vs 4.7, NAV38) for soil conductivity measurement, data acquisition, and analysis.
To perform data acquisition in challenging environments, robust and reliable systems capable of handling diverse conditions and applications need to be used. One solution, that is widely diffused and already well-established, is the use of rugged dataloggers such as a DAQ system, like the one produced by Campbell Scientific that was used as a comparison in this work.
Rugged dataloggers are durable and reliable devices commonly used in applications such as environmental monitoring, agriculture, industrial processes, and research; these dataloggers are built to withstand extreme weather, dust, and other challenging conditions. With versatile I/O ports, robust storage capabilities, and support for various sensors and communication protocols, they efficiently collect, process, and transmit data. Their programmability and long-term reliability make them an ideal solution for remote data collection.
However, nowadays, there are other solutions besides property systems available on the market that can be customized to meet specific research needs, such as the Raspberry Pi 4 [12] model, a powerful and cost-effective single-board computer, which represents another excellent open-source option for data acquisition applications. With its quad-core processor, support for up to 8GB of RAM, and multiple connectivity options, including USB 3.0, GPIO pins, and dual micro-HDMI outputs, it offers robust real-time performance for collecting, processing, and analyzing data. Compatible with a wide array of sensors and programming languages like Python version 3.12, the Raspberry Pi 4 integrates seamlessly with data acquisition software, making it suitable for a variety of projects. Its compact size, low power consumption, and extensive community support further enhance its appeal to both hobbyists and professionals seeking scalable and cost-efficient solutions.
These technologies offer unique strengths suited to environmental monitoring, making them effective for adopting a precision navigation solution. GPS systems include property devices like Garmin and open-source alternatives. Garmin GPS devices are widely recognized for their accuracy, reliability, and user-friendly interfaces, making them a popular choice for navigation, outdoor activities, and professional applications. These devices feature rugged hardware, preloaded maps, and advanced tracking capabilities, offering seamless integration with Garmin’s ecosystem for data analysis and sharing. In comparison, open-source GPS solutions provide greater customization and cost-effectiveness, often leveraging hardware like Raspberry Pi or Arduino paired with open-source software. While open-source GPS systems are flexible for tailored applications, they may require more technical expertise, and they often lack the polished hardware and comprehensive support offered by Garmin devices. Garmin excels for its ease of use and robust performance, whereas open-source GPS systems stand out for their adaptability and affordability.
Each one of these technologies serves a specific role in the data acquisition process. Rugged dataloggers ensure reliability in extreme environments, Raspberry Pi 4 provides flexibility and cost-efficiency for customized projects, and GPS solutions address precise navigation needs with varying levels of customization. The choice of which technology to use depends on the specific application requirements, environmental constraints, and user expertise.
This study presents the design and implementation of an open-source DAQ (LC-DAQ) for collecting the RAW data from the data according to the geographical information acquired by a low-cost GPS.
Moreover, a web-based application has been developed for the EM38 visual data and setting.
2.3. Reverse Engineering Approach for DAQ System Design
The EM38 electronic logic was studied according to a reverse engineering approach, with the purpose of extracting the RAW data (in mV) generated throughout the data acquisition phase. By examining the configuration of the LCD (model BL-100101, Jewell Instruments, Manchester, NH, USA) of the EM38 device, the signal was directly extracted from the INHI and INLO pins, which corresponds to the positive and negative measurement inputs (Figure 4). Therefore, by using an oscilloscope, we verify the response of the LCD-derived signal to EC changes, created by moving the sensors at different distances from a high-conductivity soil surface (Figure 5). The mV response corresponds to the functional variable (ECb) expressed in mS m−1. The graph displays two distinct peaks, indicating that the sensor was closer to the high-conductivity medium at these time points. The gradual increase and decrease in the signal voltage reflect the sensor’s movement toward and away from the medium. The symmetry in the signal suggests the prompt response of the signal source to changes in the electrical conductivity of the medium. Thus, the clean rise and fall in the signal shape indicate that signal distortion due to attenuation or noise introduced through the LCD pin is minimal or negligible for our application. Additionally, no significant fluctuation was observed during the signal acquisition process, which further supports the stability of the data acquired via the LCD signal pin.
Figure 4.
(a) The electronic board of the EM38 device indicates the wiring to extract a signal (1: INLO, 2: INHI, 3: ground) from the (b) LCD unit.
Figure 5.
Electronic signal extracted from the LCD signal pin by positioning the device at different distances from a high-conductivity medium.
2.4. Proprietary System Used for the Comparison
A property CR1000 datalogger was used as the reference data acquisition unit (DAQ). The CR1000 is a widely used and reliable datalogger designed for environmental and agricultural monitoring applications. Figure 6 shows the wiring conceptual scheme of the CR1000 datalogger (Campbell Scientific, Inc, Logan, UT, USA). It is used to acquire and store ECb data along with a GPS receiver (GPS16X-HVS, Garmin Inc., Olathe, KS, USA), which delivers highly accurate position, velocity, and timing information. Figure 7 is an extract from the GPS16X-HVS (Garmin Inc., Olathe, KS, USA) manual.
Figure 6.
Wiring conceptual scheme of the property DAQ.
Figure 7.
Specifications of the PS16X-HVS (Garmin Inc., Olathe, Kansas, USA).
The CR1000 was configured to acquire, with a timestep of 3 s, a differential voltage input and GPS data. The CRBasic program (*.CR1) for the configuration of input channels, acquisition settings, and data storage logic is available on the GitHub (https://github.com/agrhysmo/EM38-DAQ, accessed on 7 January 2025) repository EM38-DAQ under the name “CR1000_EM38_GPS.CR1”. This program can be adapted and replicated for similar applications, providing a robust framework for data acquisition tasks in agricultural and environmental monitoring.
2.5. Statistical Analysis
For the statistical analysis, we used a coupled t-test to compare the ECb values detected by each DAQ. Moreover, we used Lin’s concordance correlation coefficient (rc) to quantify the concordance between the two measurements of the same variable (ECb for our study) detected by the property and the low-cost DAQs. The concordance correlation coefficient (rc) ranges from −1 to 1, with perfect agreement at 1. Analytically, according to Lawrence [13], the concordance correlation coefficient is calculated as follows:
where μx and μy are the means for the two variables, and Sx and Sy represent the corresponding variances.
To detect the spatial variability, we used the Ordinary Kriging approach to explain the surface spatial variability according to the features of the experimental semi-variogram [14]. The semi-variogram was calculated using the Smart map plug-in in QGIS software (Version 3.28), and linear (NDVI) and spherical (ECa) models were fitted to the experimental paired data.
3. Results
3.1. Design and Development of the Low-Cost Data Acquisition System
Figure 8 shows the conceptual electronic scheme of the low-cost DAQ (lc-DAQ). The Raspberry Pi4 operates with a power supply of at least 400 mA at 5 V. Power regulation is managed by an AMS1117 5V step-down voltage regulator, which ensures that there is a stable voltage supply to the components, optimizing system performance.
Figure 8.
Electronic conceptual scheme of the low-cost DAQ system.
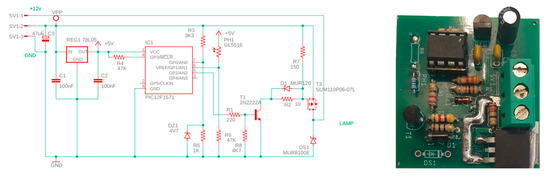
To provide an efficient power management solution, a shutdown control circuit (Figure 9) was implemented. The board consists of a PIC12F1571 microcontroller and a SUM110P06-07L-E3 N-channel MOSFET. The PIC12F1571 monitors system conditions and generates control signals, while the SUM110P06-07L-E3 MOSFET is a high-efficiency switch, enabling or disabling power flow to the load.
Figure 9.
Electrical scheme and image of the shutdown control circuit.
To meet the 9 V supply voltage requirement of the EM38 device, the circuit shown in Figure 10 was designed to step down the 12 V power input from the external battery to 9 V, ensuring proper operation and power regulation for the device.
Figure 10.
Electrical scheme and image of the power control circuit.
The EM38 produces signals within a range of ±200 mV, which are processed by an 8-channel 24-bit analog-to-digital converter (ADC) ADS1256 module, which provides a value range from 0 to 224, ensuring the high precision of the analog signal, and this is powered with 5 V and grounded via the Raspberry Pi 4’s GPIO header.
A GPS NEO7 module, connected via the RS232 serial protocol, releases the latitude, longitude, and time data from the NMEA-1083 sentences provided by the GPS platform. The system firmware is programmed using Python and C (Wiring Pi), with functional outputs displayed on the console’s terminal. Additionally, a 20 × 4 LCD screen was implemented for real-time system checks. Accurate timekeeping is ensured by the DS1307 real-time clock (RTC), which features 56 bytes of nonvolatile SRAM, battery backup, and the ability to track time and calendar data (hours, minutes, seconds, day, month, and year) even during power interruptions.
Moreover, the board allows for the implementation of analog sensors using 4 or 8 DiffVolts (range: ±1250 mV) and a single-end (0–2500 mV) channel, respectively.
Table 2 shows the main components implemented in the DAQ system and their relative costs on the market. The total cost of the hardware remains well below EUR 100, which is considered accessible within our European research context, in comparison to proprietary commercial alternatives that can cost several thousand euros. In contrast, regions with limited distribution networks, higher import costs, or restricted access to open-source tools may face challenges in obtaining these components and the necessary programming expertise. That is why it is crucial to encourage adaptations based on local contexts to ensure broader accessibility and sustainability.
Table 2.
List of the components used.
3.2. Computing and Software for the DAQ’s Management
The code named “ADS1256.py” (available on GitHub) lists the complete program, designed to interface with the ADS module. The program manages the reading mode and configures the Raspberry Pi (RPi) channels for both single-ended (SE) and differential voltage (Vdiff) logic. Additionally, the software utilizes the RPi.GPIO library to interface with the SPI (Serial Peripheral Interface) module and to control the Raspberry Pi’s GPIO pins, ensuring hardware communication and control.
The main functional program, named “EM38run.py” (available on GitHub), manages the EM38 and GPS sensors, performing data logging and interacting with the display and external devices. In the first operating phase (initialization and setup), the program turns on the backlight of the LCD display and initializes it, after synchronizing the system clock via the NTP protocol (Network Time Protocol), once the syncing has finished. It obtains the device’s IP address and shows it on both the display and console. Subsequently, it initializes and configures the ADC and checks the configuration files (setup.cfg and net.cfg), creating them if they do not exist, with default values and the access permissions set correctly. The second phase is the reading of the GPS: the program receives data from the GPS, according to an NMEA 0183 format, and ensures that the date and time are synchronized with the internal clock. The main cycle executes its key tasks in a loop: It reads the GPS data every 30 ms and updates the elapsed time counter. It monitors a start/stop button on GPIO pin 25 to manage the data logging, toggling the recording and writing files to the SD or FTP server. The sensor values from the ADC are converted to volts and logged with GPS data and timestamps. Data are temporarily stored in the RAM before they are periodically transferred to an SD card. Graphical updates occur in real time via an array, and if USB memory is present, data are written to it, with status updates displayed accordingly.
The cycle ends when the battery is low or the program is terminated; the program closes any open files, turns off the display, and releases the system resources (such as GPIOs and serial communication).
The acquired and stored data can be sent to the FTP server for remote management using an internet 3- or 4G connection. The server can be easily interrogated by an external client. A web/smartphone application was developed to display the operational data, adjust system configuration, and monitor real-time information through tables and graphs. For graphical visualization, a PHP code was written (program named “EM38_visgraph.php” available on GitHub); this is a web page that uses several JavaScript and jQuery libraries to load and display a dynamic graph (Figure 11).
Figure 11.
Web/smartphone interface for EM38 control and data logging.
3.3. Field Test and LC-DAQ Validation
Figure 12 shows the spatial distribution maps of the NDVI acquired using the Sentinel 2A-B satellite and the Kriging cross-validation 1:1 plot used to validate the performance of the linear model. Qualitatively, we observed a gradient that moves from the west to the east of the field, with higher values seen in the area cultivated with the Conference cultivar.
Figure 12.
(a) Spatial variability in the NDVI measured within the three subplots. (b) Cross-validation of the linear model.
The performance of the LC-DAQ was assessed by evaluating the ECb data and the geostatistical outcomes in comparison with those obtained by the property DAQ system. The system was analyzed and investigated in real field conditions at the Illuminati Frutta Farm, where a strong NDVI spatial variability was embedded during the spring (between the period of May–June 2023). Figure 13 provides a description of the experimental setup adopted for this study together with a description of the component system.
Figure 13.
Design and field implementation of the LC-DAQ coupled with the CR1000 system.
As shown in Figure 4, during June 2023, the EM38 was fitted onto a plastic sled system designed in the AgrHySMo laboratory (UNIPI) and pulled with a string attached behind the tractor. This setup was employed exclusively for the purposes of field validation, particularly to ensure consistent travel speed, controlled sensor trajectory, and the efficient coverage of large areas during data collection. The system power supply, the CR1000, the LC_DAQ, both GPSs, the Raspberry, and the computer were carried on the tractor; they were continuously controlled and monitored whilst this was taking place. We followed 8 m distant transects systematically arranged on the field for a total of 16 transects all over the pear orchard for the three cultivars (William, Conference, and Carmen).
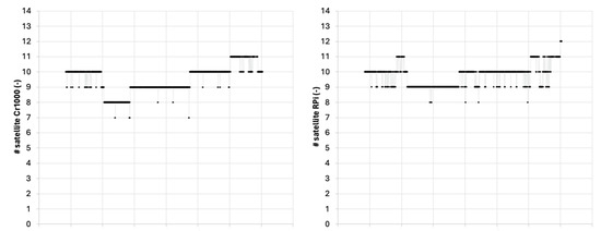
The first performance evaluation of the low-cost DAQ system was carried out by comparing the data recorded by its respective GPS with those from a Garmin GPS mounted on a CR1000 datalogger. Figure 14 shows the trend of the number of satellites visible to the GPS units compared to during the field monitoring exercise. On average, during the acquisition period, both GPS units tracked nine satellites. Analyzing the stability of the number of satellites tracked, expressed in terms of the coefficient of variation, greater noise was observed in the low-cost GPS.
Figure 14.
Trend of the number of satellites visible to the respective GPS units mounted on the CR1000 and Raspberry Pi.
Figure 15 shows the paired comparison between the latitude and longitude data recorded by GPS units mounted on the CR1000 and the Raspberry Pi, respectively. In terms of latitude and longitude, the differences (RMSE) between both GPS units are ±3.3375 × 10−5° and ±2.6026 × 10−5°, which correspond to ±1.9 m east and ±3.8 m north according to the UTM coordinate system. These values, however, fall within the ±5 m accuracy limit typical of standard GPS systems.
Figure 15.
Paired comparison of the latitude and longitude data recorded by GPS units mounted on the CR1000 and Raspberry Pi, respectively.
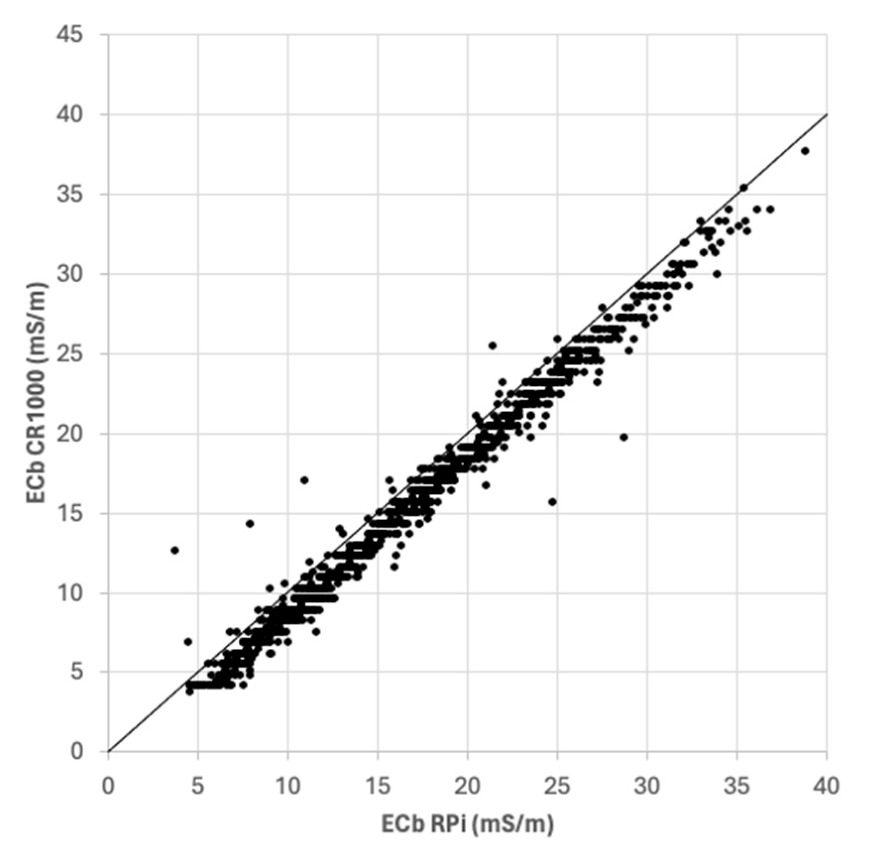
Figure 16 illustrates the correlation (R2 = 0.98; slope = 0.99; intercept = 1.62) comparing the ECa dataset acquired with the low-cost DAQ system and the corresponding data from the CR1000 system.
Figure 16.
Comparison of the ECa measurements acquired by the CR1000 and Raspberry Pi DAQ Systems.
The architecture of the proposed system has good reliability and was effective at displaying the collected data in real time. The preliminary results confirmed the feasibility of extracting the analogical signal from the EM38 instrument, which exhibits high sensitivity to the variation in the soil physical properties. Lin’s concordance correlation coefficient has given a value equal to rc = 0,98; this value is near +1, which indicates that there is strong concordance between the Raspberry Pi and CR1000 measurements. This implies that, in practical terms, the Raspberry Pi is able to generate measurements that closely match those of the CR1000 not only in terms of trends but also in terms of absolute values. Therefore, under the specific conditions and parameters evaluated in this study, the two systems can be regarded as functionally equivalent. This highlights the reliability and accuracy of the Raspberry Pi as a low-cost alternative for environmental data acquisition.
Figure 17 presents the two thematic maps generated through Kriging analysis of the ECb data collected from both DAQs. The Raspberry Pi-based DAQ successfully interpreted, with good approximation, the spatial variability pattern of the apparent electrical conductivity found with the proprietary system. The analysis of the ECa map, regardless of the DAQ type used, revealed a pattern similar to that observed for the NDVI, suggesting that physical soil characteristics (e.g., available water) also contribute to the variability in the vigor of the crop.
Figure 17.
Kriging patterns obtained from the data acquisition systems based on the CR1000 (on the left) and Raspberry Pi (on the right).
The raster analysis, shown in Figure 18, allowed for the delineation of three homogeneous zones for high, medium, and low ECb. The distribution of the three classes appears similar to the NDVI classes observed from the drone.
Figure 18.
Homogeneous zones for low, medium, and high ECa values obtained from the series of data acquired with the proprietary DAQ (on the left) and the low-cost DAQ (on the right).
4. Discussion
Through our findings, we confirm that the low-cost DAQ system offers a reliable and efficient solution for acquiring soil electrical conductivity (ECb) data, delivering a performance comparable to the proprietary CR1000 system. Several studies have highlighted the efficient use of the Raspberry Pi low-cost DAQ system [15,16] proving its consistent performance and affirming its stability and reliability.
Despite slight variations in the GPS accuracy, the high correlation between the datasets from both systems highlights the robustness of the open-source alternative for applications in precision agriculture. Similar findings in [17] confirm that affordable low-cost GPS systems are a viable and reliable alternative to high-cost GPS systems, where the low-cost DAQ showed a high correlation with Garmin’s data across different environment types.
A key advantage of the LC-DAQ lies in its integration of real-time data logging, geospatial visualization, and hardware flexibility. Unlike commercial systems, which often impose limitations due to proprietary design and high costs, the open-source platform provides an accessible and customizable framework, particularly valuable for research institutions and small-to-medium-scale agricultural operations.
The qualitative results show a west-to-east gradient across the field, with higher values recorded in the area cultivated with the Conference cultivar, as reported by [18]. Moreover, the strong spatial correspondence between the ECa maps and NDVI imagery reinforces the role that soil physical properties play in determining crop vigor. Similarly, in [19], strong spatial alignment was observed between the ECa zones and NDVI patterns, indicating that soil conductivity maps effectively reflected the variations in the vegetation vigor in the vineyard. This alignment highlights the potential of LC-DAQ to support the delineation of site-specific management zones, especially when integrated with additional sensors for monitoring plant or soil conditions.
Importantly, the successful reverse engineering of the EM38’s analog output demonstrates a practical method for modernizing existing equipment. The use of open-source tools and components enhances the functionality of legacy sensors, providing a cost-effective pathway for upgrades that support modern digital agriculture practices.
5. Conclusions
In this study, we compared two distinct data acquisition (DAQ) systems for collecting and georeferencing soil bulk electrical conductivity (ECb) data from the EM38 conductivity meter (Geonics Ltd., Mississauga, ON, Canada). The first system utilized the proprietary CR1000 datalogger (Campbell Scientific, Inc, Logan, UT, USA) paired with a Garmin GPS, while the second was an open-source alternative based on a Raspberry Pi model and a low-cost GPS, developed by the AgrHySMo laboratory at the University of Pisa.
The results confirmed the feasibility of extracting the analog signal from the EM38 device, which exhibits high sensitivity to changes in soil physical properties. The Raspberry Pi-based DAQ system interpreted the spatial variability pattern of the apparent electrical conductivity with good approximation, similar to that of the proprietary system. The analysis of the ECa map, regardless of the DAQ system used, showed a pattern similar to the NDVI, suggesting that soil physical characteristics (e.g., available water) also contribute to the variability in crop vigor.
Furthermore, a web platform was created to visualize, monitor, and download the real-time data. This system represents a powerful tool that can be transferred to farms, particularly due to the low cost of the DAQ components, both in terms of hardware acquisition and data processing software.
The use of open-source electronics enabled the revitalization of an old instrument to monitor the soil bulk electrical conductivity.
In future research, we aim to improve the system developed here by integrating sensors for measuring plant vigor, color, and soil temperature. Additionally, the web application will be enhanced through the implementation of algorithms that specialize in defining homogeneous zones according to multi-parametric logic.
Author Contributions
F.H.: investigation and writing—original draft and editing. À.P.-S.: data curation and writing—review and editing. L.B.: investigation and writing—review and editing. M.C.: investigation and writing—review and editing. G.R.: conceptualization, methodology, data curation, writing—review and editing, and supervision. All authors have read and agreed to the published version of the manuscript.
Funding
This research received no external funding.
Data Availability Statement
The data presented in this study are available on request from the corresponding author.
Acknowledgments
We thank A. Sbrana (University of Pisa) for providing support with the development of the hardware and software. This research was carried out within the frame of the projects 5G-HOSTS-SAT-5G Hub Over-the-air vertical segment validations (University of Pisa, European Spatial Agency) and POIANA—Piattaforma per Osservazioni In ambito Agricolo, Naturalistico e Ambientale (University of Pisa, MIUR).
Conflicts of Interest
The authors declare that they have no known competing financial interests or personal relationships that could have appeared to influence the work reported in this paper.
Correction Statement
This article has been republished with a minor correction to the Data Availability Statement. This change does not affect the scientific content of the article.
References
- Doolittle, J.A.; Brevik, E.C. The use of electromagnetic induction techniques in soils studies. Geoderma 2014, 223, 33–45. [Google Scholar] [CrossRef]
- Sudduth, K.A.; Drummond, S.T.; Kitchen, N.R. Accuracy issues in electromagnetic induction sensing of soil electrical conductivity for precision agriculture. Comput. Electron. Agric. 2001, 31, 239–264. [Google Scholar] [CrossRef]
- Bennett, D.L.; George, R.; Ryder, A. Soil Salinity Assessment Using the EM38: Field Operating Instructions and Data Interpretation; Report 4/95; Department of Primary Industries and Regional Development: Perth, Australia, 1995. [Google Scholar]
- Daniel, K.F.; Peter, J.G. Open-Source Hardware Is a Low-Cost Alternative for Scientific Instrumentation and Research. Mod. Instrum. 2012, 1, 8–20. [Google Scholar] [CrossRef]
- Baker, E. Open-source data logger for low-cost environmental monitoring. Biodivers. Data J. 2014, 2, e1059. [Google Scholar] [CrossRef] [PubMed]
- Limited, G. EM38 Ground Conductivity Meter Operating Manual. Mississangua, Ontario, Canada. 1998. Available online: https://www.geonics.com/ (accessed on 25 November 2023).
- Geonics, E.M. EM38 Ground Conductivity Meter Operating Manual; Geonics Limited Ontario: Mississauga, ON, Canada, 2002; p. 32. [Google Scholar]
- Allegro CE or CX Field Computer (Juniper Systems, North Logan, UT, USA). Available online: https://junipersystems.filecamp.com/s/i/OuUJ3JoVV9kBQqDR/s/g5jzxTokemawDh1H (accessed on 26 February 2024).
- Geomar’s Trackmaker 38 Software (Geomar Software, Inc., Mississauga, Ontario, Canada). Available online: https://www.geomar.com/ (accessed on 23 June 2023).
- Garmin GPS Map-76 Receiver (Garmin International, Inc., Olathe, KS, USA). Available online: https://www.garmin.com/it-IT/p/169#overview (accessed on 23 June 2023).
- CR1000 Measurement and Control System, Campbell Scientific, Inc. 2013. Available online: https://s.campbellsci.com/documents/br/manuals/cr1000.pdf (accessed on 12 April 2023).
- Halfacree, G. The Official Raspberry Pi Beginner’s Guide; John Wiley & Sons: Hoboken, NJ, USA, 2020; Available online: https://magazines-attachments.raspberrypi.org/books/full_pdfs/000/000/038/original/BeginnersGuide-4thEd-Eng_v2.pdf (accessed on 12 April 2023).
- Lawrence, I. A Concordance Correlation Coefficient to Evaluate Reproducibility. Biometrics 1989, 45, 255–268. [Google Scholar]
- Fortin, M.J.; Dale, M.R.T. Spatial Analysis: A Guide for Ecologists; Cambridge University Press: Cambridge, UK, 2005; pp. 1–30. [Google Scholar]
- Clement, R.; Fargier, Y.; Dubois, V.; Gance, J.; Gros, E.; Forquet, N. OhmPi: An open source data logger for dedicated applications of electrical resistivity imaging at the small and laboratory scale. HardwareX 2020, 8, e00122. [Google Scholar] [CrossRef] [PubMed]
- Joice, A.; Tufaique, T.; Tazeen, H.; Igathinathane, C.; Zhang, Z.; Whippo, C.; Hendrickson, J.; Archer, D. Applications of Raspberry Pi for Precision Agriculture—A Systematic Review. Agriculture 2025, 15, 227. [Google Scholar] [CrossRef]
- Forin-Wiart, M.A.; Hubert, P.; Sirguey, P.; Poulle, M.L.; Sueur, C. Performance and Accuracy of Lightweight and Low-Cost GPS Data Loggers According to Antenna Positions, Fix Intervals, Habitats and Animal Movements. PLoS ONE 2015, 10, e0129271. [Google Scholar] [CrossRef] [PubMed] [PubMed Central]
- Hamouda, F.; Puig-Sirera, À.; Bonzi, L.; Remorini, D.; Massai, R.; Rallo, G. Design and validation of a soil moisture-based wireless sensors network for the smart irrigation of a pear orchard. Agric. Water Manag. 2024, 305, 109138. [Google Scholar] [CrossRef]
- Esteves, C.; Fangueiro, D.; Braga, R.P.; Martins, M.; Botelho, M.; Ribeiro, H. Assessing the Contribution of ECa and NDVI in the Delineation of Management Zones in a Vineyard. Agronomy 2022, 12, 1331. [Google Scholar] [CrossRef]
Disclaimer/Publisher’s Note: The statements, opinions and data contained in all publications are solely those of the individual author(s) and contributor(s) and not of MDPI and/or the editor(s). MDPI and/or the editor(s) disclaim responsibility for any injury to people or property resulting from any ideas, methods, instructions or products referred to in the content. |
© 2025 by the authors. Licensee MDPI, Basel, Switzerland. This article is an open access article distributed under the terms and conditions of the Creative Commons Attribution (CC BY) license (https://creativecommons.org/licenses/by/4.0/).

















