Abstract
This research presents an essential oil (EO) distillation method with improved efficiency, called recurrent water and steam distillation (RWASD), as well as the testing of a 500 L prototype essential oil distillation machine (500 L PDM). The raw material used was 100 kg of lime fruit. At each distillation time point, the test result was compared with that obtained via water and steam distillation (WASD), and different raw material grid configurations were taken into consideration. It was found that distillation using the RWASD method increased the amount of EO obtained from limes by 53.69 ± 2.68% (or 43.21 ± 2.16 mL) compared with WASD. The results of gas chromatography mass spectrometry (GC-MS) analysis of bioactive compounds from the distilled EO revealed that important compounds were present in amounts close to the standards reported in many studies; namely, β-myrcene (2.72%), limonene (20.72%), α-phellandrene (1.27%), and terpinen-4-ol (3.04%). In addition, it was found that the temperature, state of saturated steam, and heat distribution during distillation were relatively constant. The results showed the design, construction, and heat loss error values of the 500 L PDM were 5.90 ± 0.29% and 7.83 ± 0.39%, respectively, leading to the use and percentage of useful heat energy to stabilize at 29,880 ± 1,494 kJ/s and 22.47 ± 1.12%, respectively. Additionally, the shape of the grid containing the raw material affects the temperature distribution and the amount of EO distilled, with values 10.14 ± 0.51% and 8.07 ± 0.40% higher for the normal grid (NS), respectively, as well as an exergy efficiency of 49.97 ± 2.49%. The highest values found for exergy in, exergy out, and exergy loss were 294.29 ± 14.71 kJ/s, 144.76 ± 7.23 kJ/s, and 150.22 ± 7.51 kJ/s, respectively. The obtained results can be further developed and expanded to promote the application of this method in SMEs, serving as basic information for the development of the EO distillation industry.
1. Introduction
Essential oils (EOs) are oils or volatile compounds extracted from various parts of plants that contain chemical compounds with medicinal properties, including fruit, flowers, peel, seeds, leaves, roots, underground stems, and bark. There are many types and species of plants that can provide EOs. The use of EOs is diverse; the trend of their use is currently increasing, which is expected to continue in the future due to market demands and as populations around the world are paying greater attention to their health and products that do not harm the environment. Medicinal herbs and plants are the first choices for extraction to produce natural EOs. This has led to an increased need for essential oils in various industries, such as the food and pharmaceutical industries, and as ingredients for fragrance in health and wellness products. EOs are also used as ingredients in consumer products such as toothpaste, soap, shampoo, and detergent. Due to their medicinal properties and fragrant smell, they serve as key ingredients in the cosmetics and medical industries. Furthermore, essential oils can serve as insect repellents in environmentally friendly agriculture, avoiding the need to use pesticides. In high-value agriculture, 100% organic farming plots use essential oils, either directly or as diluted mixtures in sprays to repel pests. Research has shown that some essential oils contain compounds derived from carnosol, rosmanol, and rosmaridif, which have higher antioxidant activities than synthetic antioxidants [1,2]. Some EOs contain distinctive biologically active and chemically volatile compounds. These compounds have unique fragrances that are naturally created by the conditions in which the plants grow. Some plants are well accepted and known, having been in the retail market for many years (especially export markets) on a global scale, focusing on developed countries. Approximately 80% of the world’s essential oil exports go to Europe, Japan, and North America. Each region has its own unique characteristics that affect the growth of plants. Many plants are indigenous species that are known and used regularly by local people. Extraction methods are used to obtain essential oils from various parts of each plant, such as the leaves, bark, roots, flowers, and seeds. The most popular method of extraction to obtain essential oils is “distillation,” which is used to extract almost 90% of essential oils produced. The steam used in the distillation extraction method is produced and created in the boiler area or steam source. The steam rises and passes through the distillation tank with a screen containing the raw materials or plants to be extracted. When the heat from the steam hits the raw materials, the steam carries the essential oils. In this process, the steam flows out through a spiral pipe before being passed into the condensation area, which is surrounded by cold water to reduce the temperature, thus condensing the steam into a liquid. After that, the condensed liquid flows through the condensation pipe into a glass tube. The essential oil is separated from the water, and the essential oil (EO) and essential oil extract (hydrosol) that are obtained are taken together with the container to check the quality and standard of their chemical composition [3,4].
An advantage of EO extraction via distillation is that the form, method, and equipment are not complicated. Another advantage is that almost all parts of the plant that need to be extracted can be distilled, and the distilled EO is typically of good quality and purity. Some active ingredients in some essential oils do not actually exist in nature but will occur under the steam distillation process, such as chamazulene, a blue substance that is an active ingredient in EOs [3,5,6]. The amount of essential oil in most plants or raw materials that are extracted is usually low, at about 0.2 to 3% of the weight of the plant. Thus, extraction results in a small amount of EO. Therefore, the quality and standard of the extracted EO must be checked; that is, it must have a quality that can be verified via gas chromatography–mass spectrometry (GC-MS), which is widely used and accepted to examine volatile substances or chemical components of the extracted essential oils [4,5]. Considering market and trade trends regarding essential oils, their usage shows an increasing trend that is expected to continue, both domestically and internationally, as mentioned above. Due to the concerns for the health of the population in every country, as well as those for nature and the environment [2], it is challenging to produce essential oils in sufficient quantities to meet demand while also meeting the required quality and standards for the GC-MS inspection process. Based on the aforementioned problems, studies have been conducted to find methods to increase the efficiency of extraction in order to obtain higher amounts of essential oils of higher quality, as well as developing and designing modern essential oil distillation equipment that is ready for use with existing extraction techniques, such as essential oil distillation machines of the appropriate form and size to be used by small- and medium-sized enterprises (SMEs). SMEs have more business flexibility than large companies and industries, for whom it is more difficult to operate smoothly. Due to these aforementioned advantages, SMEs play an important role in many economies around the world [7].
Therefore, this research focuses on entrepreneurs or SMEs. In the past, there have been studies on the processes and formats of essential oil (EO) extraction using various methods, such as supercritical fluid extraction (SCFE), ultrasonic extraction (UE), solvent extraction (SE), hydro-distillation (HDD), steam distillation (SD), superheated steam distillation (SHSD), or even cold extraction (CE); these are currently considered to be popular methods for essential oil extraction or distillation. Each method is suitable for the extraction of EOs from different plants or raw materials [3,8]. A case study of cannabis leaf distillation with HDD or SD and SCFE found that the use of supercritical fluid extraction (SCFE) provided the highest amount of essential oil (EO) [9], and the optimal form and extraction process could be clearly determined through a comparison of the amount of obtained essential oil, along with its quality. For supercritical fluid extraction, CO2 is often used as the extraction liquid as it provides certain benefits over other solvents, including inertness, availability, suitability for heat-sensitive compounds, and being non-toxic to the environment. This is considered to be an advanced technique for the extraction of bioactive compounds. Each extraction method has both advantages and disadvantages. For example, supercritical fluid extraction (SCFE) has the limitation that it is only suitable for non-polar substances.
This method can be carried out by adding methanol to the mixture. The most popular gas used to extract plant substances is CO2. However, pure CO2 is expensive, and in the preliminary extraction step, there is often resin precipitation, leading to blockage at the channel where the extract flows out [10,11]. Therefore, it is necessary to solve this problem by using heat to assist in the process. When this extraction method is used, it brings about the complication that it must be customized to be suitable for the extraction of a given type of substance. Comparative studies have been conducted on hydro-distillation (HD), steam distillation (SD), and supercritical fluid extraction (SCFE). The tests found that SCFE yielded a higher amount of essential oil than all of the other tested methods, at 0.039%, whereas HD and SD produced 0.035% and 0.032%, respectively [12]. Due to the nature of water distillation, in the event of having to distill a large amount of plant matter, the heat applied to the distillation vessel will not be consistent throughout, causing combustion or decomposition of some components, potentially altering the fragrance of the essential oil or the container. A previous study extracted essential oil from betel stems via steam distillation in comparison with microwave oven distillation. The test showed that SD yielded an essential oil content of 54.0%, which was higher than that achieved by microwave distillation (34.6%) [13]. The extraction of essential oils using distillation methods has been popular for a long time. EO distillation can be divided into hydro-distillation (HDD), water and steam distillation (WASD), steam distillation (SD), and superheated steam distillation (SHSD), each with its own differences and advantages. Therefore, it can be seen that there are many methods for extracting essential oils from natural plants. The selection of the essential oil extraction method must consider various characteristics and factors, such as the part of the plant to be extracted, the chemical and physical properties of the essential oils required, and the purpose of using the essential oil.
A previous study has focused on the distillation of essential oil from parsley via steam distillation (SD) and superheated steam distillation (SHSD). When considering the test results, it was found that SHSD produced a higher amount of essential oil than SD. The results were analyzed by GC-MS, showing that the essential oil (EO) obtained from SHSD had the highest antimicrobial potential [13]. Superheated steam is steam that is heated to a temperature higher than the boiling point at a specified pressure. The temperature of superheated steam (ranging from 101 °C to more than 1000 °C) depends on the pressure and the source of the steam; it has high heat conductivity and pressure, low oxygen capacity, and high extraction or distillation efficiency, leading to the ability to separate a variety of polar and non-polar substances [14,15]. Superheated steam distillation (SHSD) requires very hot steam for extraction, and the state of the steam is an important factor in controlling the pressure. This is an important factor affecting the separation of essential oil (EO) with SHSD [15,16]. Inside the distillation tank and throughout the system, the pressure must be controlled at a constant level. Another factor that must be controlled when extracting essential oils with SHSD is the system and equipment in order to prevent condensation of the steam into a liquid [17]. Past research has shown that SHSD is a highly efficient method for extracting EOs; however, it is still not widely applied to large-scale industries or SMEs [18]. This may be due to the relatively high investment cost and complicated use of the system, requiring experts to control the distillation machine if it is used in an industrial context, and experiments have mostly been carried out in the laboratory. When considering the extraction of essential oils from flowers such as roses, it was also found that SHSD is not ideal for extracting rose essential oil, perhaps because it is not suitable for plants or raw materials that are easily destroyed when faced with the intense heat of the superheated steam, as with jasmine essential oil [19,20]; this represents an important problem relating to superheated steam distillation. In the past, each method of extracting and distilling essential oils has shown its own advantages and disadvantages, as mentioned above. Based on the problems and limitations of each distillation method mentioned above, along with the suitability of the technology that must be used to support each method, the extraction of essential oils via recurrent distillation with water and steam can be considered a new distillation technique.
Therefore, this research aims to increase the efficiency of essential oil distillation by recurrent distillation with water and steam, which was applied using a self-designed and -built 500 L prototype distillation machine. This allowed for comparative testing of its use with different raw material grids (i.e., a normal grid and a layered grid) and confirmation of the standard and quality of the distilled EO via GC-MS analysis. In particular, we focus on the development and creation of applications for small- and medium-sized enterprises in order to provide basic information for future development.
2. Related Principles and Theories
2.1. Extraction of Essential Oils by Distillation
Distillation is a popular and widely used method for extracting essential oils due to its many advantages. Distillation is an economical method and can be used to separate almost all types of essential oils. Essential oil extraction by distillation is divided into hydro-distillation (HDD), steam distillation (SD), and superheated steam distillation (SHSD). There are many types of plants that give off aromatic scents through their leaves, stems, bark, fruits, and roots. Such aromas can be extracted and separated to obtain a clear or light-yellow liquid similar to oil that evaporates at room temperature. The liquid obtained through this extraction process is called essential oil (EO).
Essential oils should be effective and of good quality. There are important factors that must be controlled in distillation, including the duration, temperature, and the appropriate distillation method for each type of plant or raw material, which directly affect both the quantity and quality of the EO extracted. Therefore, the extraction or distillation of essential oils must be carefully considered, as EOs consist of many compounds and volatile substances. For the three aforementioned essential oil distillation processes, the principles, operations, and steps are as follows:
- Hydro-distillation (HDD)
Hydro-distillation is the process of distilling plants or raw materials by placing them in a pot, adding water until they are completely submerged, and boiling the water. When the boiling water evaporates, the vapor will rise and move through the plants or raw materials, helping to carry out the essential oils from the plant tissues. When passing through a condenser, the vapor will condense into liquid water, from which the essential oils can be separated. The disadvantage of this method is that, when distilling a large amount of plant matter, the heat applied to the distillation pot will not be consistent throughout, potentially causing some of the components to burn and changing the smell of the essential oil. This method is suitable for distilling small quantities of plants in the laboratory.
- 2.
- Steam distillation (SD)
Steam distillation involves placing the plants to be distilled on a grid above the distillation pot, with steam produced from the steam source flowing through a conveyor pipe into the distillation pot. The steam used in this distillation method is saturated steam, which floats up, and the heat from the steam causes the essential oils in the plants to evaporate quickly. The limitation and inconvenience of this method is the additional equipment required, which is a set of steam sources, making the distillation machine more expensive and requiring more maintenance during use compared to both HDD and WASD. This limits this method’s commercial use in the essential oil industry. Flowers are typical materials that are not suitable for distillation using this method.
- 3.
- Water and steam distillation (WASD)
Water and steam distillation involves placing the plants to be distilled on a grid above a boiler, as shown in Figure 1, where they are heated until the water boils and turns into steam. The steam used in this method of distillation is saturated steam or wet steam, as shown in Figure 2 and Table 1. The steam helps to carry the essential oils through the conveyor pipes. Condensation occurs in the condensing area when the steam is cooled by the cold water flowing through the condensing section. This results in a change of state from steam to liquid, which includes essential oils, as shown in Figure 1. This distillation method uses saturated steam, the properties of which are discussed in the next section and shown in Figure 2 and Table 1.
Figure 1.
Schematic diagram of water and steam distillation process.
Figure 2.
Schematic classification of essential oil distillation methods using steam.
Essential oils distilled using this method are typically of good quality, making it another method of distillation that is widely used in the production of essential oils for industrial and commercial use.
All three of the aforementioned methods of essential oil distillation have been used for a long time. Each has both advantages and disadvantages, depending on many factors that affect the selection of a given distillation method, such as the type of plant or raw material, the amount of oil to be obtained, the cost of distillation, the size of the industry, and the components of the distillation technology in each area, as well as the required quality of the essential oils. A novel method for distilling essential oils is recurrent distillation with water and steam, as shown in Figure 2.
2.2. Recurrent Water and Steam Distillation (RWASD)
Recurrent water and steam distillation (RWASD) is a new distillation method that is presented in this research, in addition to the three aforementioned traditional essential oil distillation methods shown in Figure 2.
Figure 3 shows the relationship between distillation time and the temperature of water and steam, where Figure 3A depicts the recurrent distillation method with water and steam (RWASD), as determined in this research using a self-built 500 L prototype distillation machine, with lime as the raw material. As shown in Figure 3, the recurrent distillation with water and steam starts at Step 1, in which the raw materials are loaded into the grid and the essential oil distillation pot. Then, the burner is ignited. The water contained in the 100 L water storage area is heated and begins to change state from liquid to vapor. The steam temperature rises to approximately 99 °C over 1 h and 30 min. At that time, the valve on the top of the distillation vessel’s head is in the closed position, as shown in Figure 4. After approximately 1 h and 30 min, the valve is opened in order to prevent heat loss from the steam and the steam floating into the condensing section too quickly, which would lead to the boiling of water in the water storage area, thus increasing the process time. In Step 1 of the RWASD essential oil distillation process, the process goes on for 6 h. In comparison, in Figure 3B, the relationship between the water and steam distillation (WASD) process is shown; furthermore, the properties of the steam used in the distillation are detailed in Figure 5 and Table 1.
Figure 3.
The relationship between distillation time and steam temperature distribution in two distillation methods: (A) Recurrent water and steam distillation (RWASD) and (B) water and steam distillation (WASD).
Figure 4.
Position of the distillation vessel’s top valve during RWASD operation.
Figure 5.
Phase diagram of water, showing relationships between temperature, specific volume, and pressure.
When considering Step 2 of RWASD, it can be seen that the steam temperature is reduced to approximately 60 °C after 19 h, with Step 2 lasting almost 12 h, in which the LPG fuel valve is closed and no fuel is used. This results in the raw materials used to distill essential oils being aged in the distillation tank for 12 h in Step 2. The process in Step 2 is important as it helps to prepare the raw materials to be sent to the next step. In this step, the raw materials release their substances without stress, resulting in the essential oils being transported within the raw materials as they expand, helping the heat from steam to gradually penetrate into every surface of the raw material better. The remaining hot steam will move and penetrate through the fibers of the raw material, with enough time to extract the remaining volatile substances. To start Step 3 of the distillation process, as shown in Figure 3A, the stove is lit. It can be observed that the temperature of the steam increases to approximately 99 °C, over approximately 1 h. During this time, the valve on the top of the distillation tank will be in the closed position until the steam’s temperature and pressure achieve a saturated relationship and the valve is opened. Then, distillation continues for another 4 h in Step 3, which is considered to be a suitable time. When considering the break-even point regarding the cost of LPG and the amount of oil obtained after the distillation time of 4 h, there are certain differences between the WASD and RWASD methods.
In the WASD method, processes such as those in Steps 2 and 3 are rarely described, instead using a single common distillation technique. Therefore, it can be said that the proposed method is a prototype high-value steam distillation extraction process that may bring certain advantages. The recurrent distillation technique can be used to extract essential oils to maximize their benefits and ensure the cost-effective use of raw materials. Although the recurrent distillation technique is not suitable for all herbal plants, this research used fresh lime as a raw material. In addition, the RWASD method was tested on herbal plants containing essential oils in the leaves and tubers or shoots in order to confirm and demonstrate that RWASD can be used for various parts of herbal plants. It is well-known that extracting essential oils in sufficient quantities to meet demand and control marketing costs requires a large amount of raw materials for distillation, as well as ensuring the quality or chemical composition of the distilled EO. Therefore, RWASD is a novel distillation method that should be disseminated and widely used to meet the needs and solve the problems relating to essential oil distillation processes [21,22,23].
2.3. Status and Properties of Steam Used in Recurrent Distillation with Water and Steam
Considering the status of pure substances, in this case, steam is used as a medium for the distillation of essential oils. The change in the state of water to steam is detailed in Figure 5, which shows the state of pure substances (water) and the relationship between temperature and specific volume at different constant pressure values. It can be seen that, at different pressures (Ps) in this study, the essential oil distillation process is considered under atmospheric pressure (1 atm). As illustrated in Figure 5, the thermodynamic properties of water and saturated steam are examined, beginning with the water stored in the tank located beneath the distillation chamber. At State 1, the water exists in the compressed liquid region, with an initial temperature of 30 °C and a specific volume (Vf) of 0.0010 m3/kg. As heating commences, the water temperature gradually rises while remaining in the liquid phase, accumulating sensible heat from the LPG fuel source used in the distillation process. This continues until the system reaches State 2, at which the water temperature is 99.5 °C and the specific volume (Vf) is 0.001042 m3/kg. At this point, the water is considered a saturated liquid ready to vaporize upon receiving additional heat. Further heating leads to State 3, where the water begins to undergo a phase change at 100 °C. During this phase, latent heat is absorbed, and the water exists as a saturated mixture of liquid and vapor. The specific volume of the saturated mixture (Vfg) is 1.67058 m3/kg. As the phase transition progresses from State 3 to State 4, the proportion of liquid decreases while the vapor fraction increases, all while maintaining a constant temperature. Eventually, the liquid phase is completely converted into saturated vapor, characterized by a specific volume (Vg) of 1.6720 m3/kg at State 4. At this stage, the distillation chamber contains only saturated vapor. Any minor heat loss could result in immediate condensation into liquid droplets. Finally, with continued heating beyond this point, the system enters State 5, where the vapor becomes superheated [24,25,26]. The vapor that can be used in the distillation of essential oils can be divided into two types: saturated vapor and superheated vapor, the properties of which are listed in Table 1.
Table 1.
State and properties of steam used in water–steam redistillation [2,27,28,29].
Table 1.
State and properties of steam used in water–steam redistillation [2,27,28,29].
| Types of Steam | Characteristics of Steam/ Heat Transfer | Temperature of Steam |
|---|---|---|
| Saturated steam | - Saturated steam that still contains moisture, sometimes called wet steam, forms when water begins to boil and turns into steam. The amount of heat in saturated steam will have a greater or lesser value depending on the pressure. Steam with low pressure has more energy to transfer heat (latent heat). - When heat is transferred, the temperature does not decrease. The amount of heat transferred is equal to the latent heat of vaporization. This is heat transfer by condensation into a condensate with the same temperature and pressure as saturated steam. - Saturated steam will immediately become superheated steam when the pressure is lowered. | 99.15 °C ≤ Saturated steam ≤ 100 °C |
| Superheated steam | - Superheated steam occurs when saturated steam is further heated at constant pressure until it reaches a temperature higher than the boiling temperature of water at that pressure. - When superheated steam transfers heat, the temperature drops to the saturation point. The heat is transferred from the gas, so there is no condensation of water. - Saturated steam becomes superheated steam when the pressure is lowered. | Above 99.15 °C, but not exceeding 1100 °C |
Considered at atmospheric pressure of 0.10 MPa/1 atm.
2.4. The Amount of Essential Oil Obtained by Recurrent Distillation with Water and Steam (RWASD)
The quantity of essential oil can be calculated from the equations below, expressed in the form of essential oil percentage, which has two calculation formats [30,31]:
where (%) Voil/Wdry is the percentage of distilled essential oil, Voil is the volume of distilled essential oil (ml), Wdry is the dry weight of the raw material per distillation cycle (g), and Woil is the weight of distilled essential oil (g). A preliminary experiment was conducted to determine the Wdry value by drying samples of chopped limes at a temperature of 105 °C for 48 h [31,32], as shown in Figure 6. The limes were cut into thin, uniform slices and weighed, as shown in Figure 6A, before drying in the oven at 105 °C for 48 h, as shown in Figure 6B,C. After drying for the required time, the limes were removed from the oven and weighed, as shown in Figure 6D. The initial weights of the limes before and after drying were taken to find %Dry, using Equations (3) and (4) [3,32,33].
Figure 6.
Experimental procedure for determining %Dry and Wdry.
2.5. GC-MS Analysis of Volatile Substances
In this research, the essential oils were separated using GC-MS (carrier gas, GC injector, GC column, and detector), where the dispersion ability of each volatile component differs. The substances obtained from the column were presented in the form of chromatograms, which indicate the retention time and signal size of each substance. The signal size found at a certain time is called a peak, and MS measures the mass per charge (m/z) of a compound, which is recorded in the form of a spectrum. With GC-MS measurements and analysis, the chemical composition of the refined oil is often affected by the temperature at the exit from the condenser section. This does not correspond to the steam flow rate or even the coolant flow rate at the condenser section, indicating how important the design and construction of distillers are, including the distillation techniques and the related processes. GC-MS is used to analyze the important chemical components of the essential oils that can be distilled [8,34,35].
2.6. Design and Manufacturing of Distillers
The process of designing and building a 500 L industrial-grade commercial essential oil concentrator for distillation with water and vapor is discussed in this section. This is a popular method [19], where steam flows through the plant materials during extraction. The essential oils mix together with vapor and travel through a pipe connected to the condensation unit. When the steam enters the condensing section, it is cooled, changing its state from vapor to liquid, and is then stored in an oil separator, which is a cone-shaped glass container [36,37]. The most important components in the industrial-scale commercial essential oil distillation process are the distillation pot (or boiler) and a condensing tank set. In order to ensure that appropriate, safe, and effective equipment is developed, design and construction procedures are important [37,38]. For the distillation pot, SS-304 grade stainless steel is used, which is a material that has no (direct or indirect) impact on the industrial process. For calculations of different parts of the 500 L prototype distillation plant, see Table 2 and Figure 7 and Figure 8.
Figure 7.
Pressure distribution along the circumference of the distillation unit.
Figure 8.
Analysis of stress distribution in the height direction.
Table 2.
Details and equations of different parts of a 500 L prototype distillation apparatus [39,40].
Figure 9.
Schematic diagram of heat transfer network showing convection and conduction mechanisms.
Table 2.
Details and equations of different parts of a 500 L prototype distillation apparatus [39,40].
| Details | Equation |
|---|---|
| For the design of the distillation tank volume (Vdistillation tank, m3), this section typically addresses applications involving pressure capacity under specified design conditions. The volume is calculated using Equation (5). | hdistillation tank is the height of the holding tank (m), as illustrated in Figure 7 and Figure 8, respectively. |
| The design and construction of the distillation tank take into account the internal pressure (P) generated during operation. This pressure can be determined using Equation (6). | ρ is the liquid density (Kg/m3). g is the gravitational force (m/s2). h is the liquid height (m). |
| Another significant force acting on the pipe wall arises from the internal stress within the tank, which induces tension along both the circumferential and longitudinal directions. These stresses are calculated using Equations (7) and (8). | denotes the longitudinal stress (N). L is the length measured along the tank wall (m). tdistillation tank is the wall thickness of the distillation tank (m). rdistillation tank is the radius of the distillation tank (m). σheight refers to the axial stress acting along the vertical of the tank (MPa). P represents the internal pressure within the designed tank (Pa), as illustrated in Figure 7 and Figure 8, respectively. |
| The determination of the thicknesses of the distillation tank and its cap is based on the specified design pressure. In this section, the required thicknesses for both the tank and the cap are calculated using the formulas presented in Equations (9) and (10), respectively. | |
| For the cooling system, the design process involved determining the volumes of both the condensation tank and the internal coiled pipe (Vcondensation tank and Vcoiled tube, in m3), which were calculated using Equations (11) and (12). | |
| The heat transfer of thermal conductivity of distiller (Qcond, distiller, Qcond), (W). It is calculated from Equation (13). |
Qcond, distiller = Qcond = −kAcond(dT/dx)
Figure 9. |
| The heat transfer by convection from the outer surface of the distillation tank wall to the surrounding environment, denoted as Qcond, disstiller, Qconv distiller, or Qconv (W), is calculated using Equation (14) |
Qconv, distiller = Qconv = hconvAconv(Ts − Tf)
|
| The heat transfer in the condensing units (Qconden, Qc), (W) is calculated from Equation (15). |
Qconden = Qc = As UΔTm
It may also be further categorized as follows: , (°C) is the temperature differencebetween the hot essential oil inlet and cold-water outlet as shown in Figure 9; , (°C) is the temperature difference between the hot essential oil outlet and cold water inlet as shown in Figure 9; the overall heat transfer coefficient, U; U, can be determined from the following component expressions: , is the total heat transfer coefficient (W/m2 °C). , The thermal resistance of the tube is negligible (Rwall = 0). Furthermore, Ai ≈ Ao ≈ As denotes the inner and outer surface of the heat transfer coiled tube (m2), and hi and ho are determined using the heat convection coefficients of the inner and outer fluids (W/m2 °C), as shown in Figure 8 and Figure 9. |
The format and steps for designing and calculating the values to meet the objectives were as follows: (1) Check the equation list and related documents; (2) order materials and equipment; (3) check if the materials satisfy standards and design specifications; (4) construct and weld; (5) check work quality, such as confirming dimensions and whether various distances satisfy the design requirements or not; and (6) test pressure, as shown in Figure 9, Figure 10 and Figure 11. In this way, a 500 L essential oil distillation machine was designed, built, and installed.
Figure 10.
Temperature measurement locations at the condensation section with directional indicators.
Figure 11.
Schematic diagram of the 500 L essential oil distillation unit’s assembly and construction.
For the error value in the heat transfer value, heat loss is determined as the heat conduction through the wall of the distillation process equipment. The wall heat transfer rate loss was calculated as shown in Equations (16) and (17) [36,39]:
where Kwall is the thermal conductivity of the wall (W/m °C), A is the area of the wall (m2), and ∆T is the difference between the average temperature between the outside and inside of the wall (°C). The design and construction error values of the 500 L distillation plant were calculated using Equation (18).
Construction error (%) = ((Measure values − True value)/(True value)) × 100
In Figure 9 and Figure 10 and Table 2, Qc is defined as the heat transfer at the condensing section of the distillation process (kW); Tc,out and Tc,in are the temperatures of cold water at the outlet and inlet of the condensing section (°C), respectively; Qconvection is the heat transfer value caused by convection (kW); Tf and Ts are the temperatures of the fluid and solid at the considered position (°C), respectively; T1,A and T1,B are the temperatures of the inner and outer surfaces of the distillation tank at the considered position, respectively;
2.7. Energy and Exergy Analysis of Recurrent Water and Steam Distillation (RWASD) Process
In this analysis, the energy efficiency and energy losses occurring in RWASD are determined according to the balance of mass and energy input and output in the control volume system, using the first law of thermodynamics. The steady state of the system is expressed as Equation (19) [41,42,43]:
Energyin = Enegryout
It can also be represented in terms of energy that is subject to the law of conservation of energy, which states that energy cannot be created or destroyed. Thus, the energy balance can also be written as follows:
Energyin − Energyout = 0
The amount of fuel energy supplied to the system (Energyin = Energyout) for producing saturated steam is defined in Equation (21):
where Energyin and Energyout are the input and output heat energy (kJ), respectively; ṁLPG is the mass flow rate of the fuel (kg/s); and LHVLPG is the low heating value of LPG gas fuel (kcal/kg). In addition, there is energy loss throughout the system, whether through the cooling water system or the piping system, with the uncalculated energy losses being other products. The energy produced is given by Equation (22):
Ein = mLPG × LHVLPG
Eout = Ecw
The heat energy distributed to the cooling water (Ecw) is calculated using Equation (23):
where ṁcw is the mass flow rate of the cooling water (kg/s), Cp,w is the heat capacity of the coolant water (kJ/kg °C), and ∆T is the difference between the inlet and output temperatures of the cooling water (°C). The energy efficiency ratio useful for essential oil (EERU/EO) in RWASD can be calculated from the ratio of useful energy (heat energy from steam used for evaporation of essential oil to the total heat energy fed to the distillation vessel), which can be calculated using Equation (24) as follows:
Ecw = mcw × cp,w × ΔT
The quality of the energy transfer can be characterized through exergy analysis. Exergy is the energy a system possesses, and the exergy balance can be calculated using Equation (25) for the given control volume [44]:
Exergyin − Exergyout = Exergyloss
The main difference between energy and exergy is that energy is conserved, while exergy, as a measure of energy quality or work potential, can be consumed. The general exergy balance for the above system can also be expressed as [45]
We define Exergyin = Exi = exi, Exergyout = Exo = exo, Exheat = Exergy heat (kJ), Exergy work = Exergywork, Exergy mass in = Exmass, i, Exergy mass out = Exmass, o, Exloss = Exergy loss (kJ), and I = Irreversibility, and consider the system of recurrent distillation with water and steam as a one-dimensional flow. From Equation (27), it follows that
where mi and mo are the masses of fluid flowing into and out of the system (kg), respectively. From Equation (28), the equation can be modified as follows:
The exergy of the fluid flowing into and out of the distillation vessel area in the recurrent water and steam distillation (RWASD) process can be calculated using Equations 29 and 30 as follows:
Let Exergyin and Exergyout be the exergy of fluid flowing into and out of the RWASD system (kJ), respectively; Cp, vapor be the specific heat capacity of the fluid in the vapor state (kJ/kg °C); and Ti, To, and T∞ be the temperatures of the inlet and outlet fluids and the ambient temperature (°C), respectively.
The loss of exergy can be calculated from Equations (27) and (28). For determination of the exergy efficiency of the recurrent water and steam distillation process, Equations (31) and (32) can be used:
3. Test Procedure
Measuring equipment was installed in various parts of the system. The testing procedure, shown in Figure 12, was carried out as follows:
Figure 12.
Schematic representation of the recurrent water and steam distillation (RWASD) process.
- A hundred kilograms of fresh lime fruit was thoroughly washed, as shown in Figure 12A.
- Each of the washed samples was then placed into a specific sieve according to the test conditions, as shown in Figure 12A.
- The sieves filled with the samples were then hung and lowered into the distillation pot. For conventional sieves and layer sieves made of 304 stainless steel sieve sheets with a thickness of 1 mm, the sieves are porous sheets with a hole diameter of 3 mm and a thickness of 1 mm, with a total volume of 0.084 m3 and a total volume of 0.084 m3 in the section of the laminated sieve with a total volume of 0.084 m3 divided into three layers with the layers having a volume of 0.028 m3, as shown in Figure 12A.
- The thermocouple cables and measuring instruments related to the test were installed accordingly. As specified in Figure 12B, the lid of the distillation pot and the upper valve on top of the lid of the distillation pot were closed. The steam temperature distribution measurement points in the distillation tank and condenser were as follows: T1 was the temperature of the water in the combustion chamber, T2 was the temperature of the steam dissipated in the middle of the distillation tank, and T3 was the temperature of the steam dissipated at the top of the distillation tank. The steam inlet and outlet of the condensing unit were at positions T4 and T5, respectively.
- The temperatures in different areas were recorded using a data logging device.
- The data were analyzed, and the variables were adjusted according to the experimental conditions.
- Each experiment was conducted a minimum of three times. The mean value was calculated by averaging all recorded data points, and a 95% confidence interval was subsequently determined to ensure the statistical reliability of the results.
4. Results and Discussion
This research focuses on the study and presentation of the recurrent water and steam distillation (RWASD) method, which is a novel distillation method proposed to address the problem relating to the amount of essential oil that can be distilled, which is a known limitation of the existing water and steam distillation (WASD) method. The recurrent water and steam distillation process is a new alternative method for use in the essential oil distillation industry. The distillation process was tested using a self-designed and -built 500 L prototype distillation machine, which is considered to be of appropriate scale for a commercial distillation machine, along with the use of different screen patterns. The distillation test performed in this study used lime fruit as the raw material, as well as kaffir lime leaves and ginger root, to determine the effects of the proposed method in different types of materials. The guidelines for presenting the results and discussion are as follows:
- The effect of recurrent water and steam distillation on the amount of essential oil;
- The effects of time and steam heating temperature on the recurrent water and steam distillation method;
- Determination of the quality of essential oils obtained through recurrent water and steam distillation via GC-MS analysis;
- Useful energy efficiency and exergy of essential oil distillation via recurrent water and steam distillation method;
- The effects of different raw material packing screens on the yield of essential oil;
- Analysis of the design and construction of a 500 L prototype distillation apparatus.
- Essential oil distillation cost.
4.1. The Effect of Recurrent Water and Steam Distillation on the Amount of Essential Oil
A key goal in essential oil extraction is to obtain a higher amount of essential oil from the same amount of raw materials while maintaining the quality and chemical composition of the extracted volatile compounds within the standard criteria. This led us to propose the RWASD method, which has a certain effect on the amount of essential oil obtained. We present the test results of the RWASD essential oil extraction method in terms of the amount of essential oil distilled in Figure 13, which shows the relationship between time and amount of essential oil for each considered distillation method. Figure 13A,B show the relationships between the time in each period and the amount of essential oil extracted using the RWASD and WASD methods, respectively, along with a further explanation for each step in the RWASD process in Figure 3A.
Figure 13.
The relationship between distillation time and essential oil yield for different distillation methods: (A) recurrent water and steam distillation (RWASD), and (B) water and steam distillation (WASD).
From Figure 13, both tests used lime as a raw material for distillation. It was found that, when considering the first 1 h and 30 min of distillation using the RWASD method, no essential oils were extracted as the temperature of the steam during that time and the steam pressure were not high enough to penetrate into the tissue, enabling a transport route for the essential oil. However, at a distillation time of 2 h, 13.89 ± 0.69 mL of essential oils had been distilled. Along with the considerations mentioned in Section 2.2, it can be seen that the temperature of the steam during that time had a higher value, reaching up to approximately 99 °C. Due to the properties of saturated steam with a higher pressure, according to the steam’s temperature, it can permeate into the plant tissues, enabling essential oil transport. That steam will take the essential oils stored in these tissues, which are mixed with the steam, move higher, and flow through the pipe connected to the condenser of the system. The heat of the steam will transfer to the cold water that flows in a circulating system, causing condensation to occur and the steam to change its state from vapor to liquid. Normally, the extraction will produce two products: the insoluble part, consisting of essential oils, will float on the top layer, while the hydrosol extract will be on the bottom layer. Due to the nature of essential oils having a lower density than water, they float on top of the hydrosol as a thin film coating the surface above the hydrosol area. Before passing through the filter used to separate the essential oil and hydrosol (as shown in Figure 12), when the distillation time was 3 h, it was found that the distilled EO was 18.65 ± 0.93 mL, and EO was still extracted in sufficient amounts at 4 and 5 h of distillation (16.36 ± 0.81 and 17.64 ± 0.88 mL, respectively). From the test data, it was found that the EO extracted via RWASD tended to decrease to 13.91 ± 0.69 mL at a distillation time of 6 h, with a total accumulated EO volume of 80.45 ± 0.4.02 mL, as shown in Figure 13A. The test results are consistent with the amount of essential oil distilled according to previously reported research data [39,40,41,42,43]. In addition, it was also found that the tests considering RWASD of raw materials that had essential oils accumulated or stored in different parts—namely, ginger root and kaffir lime leaves—demonstrated the diverse ability of the RWASD method to extract essential oils from various plant materials. For ginger, the shoots or rhizomes contain approximately 3% essential oil, while for kaffir lime leaves, the main biological substances comprise about 10% essential oils. The aroma of the latter is similar to fresh kaffir lime and is popularly used in aromatic products, perfumes, spa products, soaps, shampoos, insect repellent sprays, and so on. Using the RWASD method, it was found that the amount of essential oil obtained via the distillation of ginger and kaffir lime leaves presented a similar trend as that observed when using lime as a raw material within the first 6 h (which is considered the first step of the RWASD process), as can be seen from Figure 13A.
In addition, the comparative testing of essential oil distillation between WASD and RWASD was conducted using the same raw material (lime) with the same characteristics and test samples, with the results for the former shown in Figure 13B. The test revealed that no essential oil could be initially extracted, as the steam temperature during that time and the steam pressure were not high enough to penetrate into the plant tissues, enabling a transport route for the essential oil. When considering distillation times of 2 and 3 h, the temperature of the steam was sufficiently hot, and the amount of steam was high enough to penetrate into the tissues and accumulate in the raw material. This resulted in a continuous increase in the amount of EO obtained from WASD in the second and third hours, with values of 13.80 ± 0.69 mL and 18.72 ± 0.93 mL, respectively. In addition, it was found that the EO distilled at the following time points had values of 16.39 ± 0.81, 17.58 ± 0.87 mL, and 13.82 ± 0.69 mL, with a total distilled amount of 80.31 ± 4.01 mL of EO. During the 6 h distillation period using the WASD method, the amount of EO distilled had the same direction and trend as the RWASD method [39,40,41,42,43]. After this, it was considered the end of the WASD distillation process, as can be seen from the data shown in Figure 13B. This is another limitation of WASD, as when the raw materials are heated by steam for a long time, it will cause the raw materials to condense and reduce in size, leading to the essential oil transport path being narrowed and reduced. As a result, the extraction and distillation of essential oils for more than 6 h will result in a lower amount of essential oil than the break-even point of the fuel cost lost in boiling water to produce saturated steam at that time. This is another limitation that is often observed during the extraction of essential oils using the WASD method, as reinforced by the content of Section 2.1 and Figure 13. This is in contrast to the extraction of EOs using RWASD, in which the process continues to Step 2, which is not performed in WASD. This step is important for further preparing the raw materials, in which the valve installed at the top of the distillation tank (shown in Figure 4) will be closed, along with the LPG fuel supply system, which was opened to initiate the boiling of water into saturated steam in the first step. In this way, the distillation process and format differ from that of the WASD method. This step lasts for 12 h, resulting in the raw materials being cured inside the distillation tank, along with a reduction in temperature from the steam caused by shutdown of the LPG fuel, allowing the raw materials (in this case, limes) to release their tissues and expand the transport channels, thus allowing the steam to flow more easily when the distillation process is re-initiated in Step 3.
In Step 2 of the RWASD distillation method, no fuel (in this case, LPG) is used. This provides further advantages in addition to affecting the desorption of the raw materials. In this test, the whole limes used as the raw material were re-entered into the distillation process in Step 3, which started at 19 h, as detailed in Figure 3A and Figure 13A. At this time, the steam temperature in the distillation tank is approximately 60 °C. Due to the steam changing state from vapor to liquid, the temperature in the distillation tank is lower (see Section 4.2 and Figure 3). The decrease in steam temperature is a result of shutting down all of the systems at the end of Step 1 of the RWASD method. At the time of initiating Step 3, the LPG fuel is turned back on to boil water in the boiler, thus converting it to saturated steam. The steam in the boiler is at the same temperature as the water that has already been heated. From this point, it takes about 1 h to boil the water. When the temperature of the steam reached about 99 °C (which is in the range of saturated steam properties), as the raw material has been prepared during Step 2 (as mentioned above), it was found that at a distillation time of 20 h, the amount of EO that was distilled was 16.30 ± 0.81 mL. After that, the trend of EO could be seen to decrease. At a distillation time of 21 and 22 h using the RWASD method, the amounts of EO were 13.93 ± 0.69 mL and 12.75 ± 0.63 mL, respectively, as shown in Figure 13A. The amount of EO that was additionally distilled in Step 3 was 42.98 ± 2.14 mL, and so the total amount of essential oil (EO) accumulated in Steps 1 to 3 was 123.43 ± 5.17 mL.
When comparing the amount of essential oil obtained through RWASD and WASD, it was found that RWASD yielded a higher amount of essential oil than WASD by 53.69 ± 2.68% or 43.12 ± 2.15 mL. It can be considered that the use of the RWASD technique can help to solve the problems associated with and improve the efficiency of the essential oil distillation process, enabling a higher amount of essential oil to be obtained via distillation, as shown in Figure 13. In addition, the RWASD method was tested using raw materials that accumulated essential oils in leaves and rhizomes. In particular, kaffir lime leaves and ginger were used as test materials to demonstrate the capability of the RWASD process to be used with various types of raw materials, with the results shown in Figure 13A. From the test, it was found that both kaffir lime leaves and ginger can effectively be extracted using the RWASD method, and the trend in the amount of essential oil obtained through distillation was similar to that when using lime as a raw material. The total volumes of EO obtained from the raw kaffir lime leaves and ginger were 72.31 ± 3.61 and 146.93 ± 7.34 mL, respectively. Figure 13 shows that the application of the proposed technique for recurrent distillation with steam, using a 500 L commercial prototype distiller, increased the volume of distilled essential oil obtained from fruits, leaves, and rhizomes. As shown in Figure 13A,B, another critical factor influencing essential oil (EO) distillation is the duration of each distillation stage. From both conventional water and steam distillation and the recurrent water and steam distillation (RWASD) processes, it can be observed that the distillation time significantly affects the yield. Initially, at a distillation time of six hours for both methods, the amount of EO obtained tends to peak between the third and fifth hours. However, at the sixth hour, the EO yield noticeably declines across all tested conditions. This trend aligns with previous studies concerning the relationship between distillation duration and EO yield [46,47]. In particular, Step 2 of the RWASD process plays a vital role in enhancing oil release. During this phase, the raw material undergoes a relaxation period inside the distillation chamber, during which both the heating system and fuel supply are shut off. The chamber is then left closed for 12 h, allowing internal temperature to gradually decrease. This resting phase promotes structural relaxation of the raw material and improves oil extraction in the subsequent phase [48]. Key variables influencing the effectiveness of Step 2 include the volume of raw material, capacity of the distillation unit, and the quantity of condensed steam that recontacts the raw material. However, excessive accumulation of condensate during this aging phase may lead to microbial degradation, causing an undesirable odor that could affect the final EO quality. Therefore, controlling the duration and environmental conditions during Step 2 is essential. Furthermore, factors such as the type of packing grid and the degree of raw material layering influence the degree of internal relaxation and the efficiency of oil release. These considerations are consistent with findings from earlier studies [49,50]. Based on the results obtained in this research and the supporting literature, it is concluded that a 12 h resting phase in Step 2, followed by a 4 h distillation in Step 3, is optimal for EO extraction via the RWASD method, as presented in Figure 13A.
4.2. The Effects of Time and Steam Heating Temperature on the Recurrent Water and Steam Distillation Method
Figure 14 shows the effects of the time and the temperature of the steam on the RWASD method. The test results revealed that, in the beginning and from approximately 81 to 120 min, the heat from the combustion chamber derived using LPG fuel gas transferred heat to the water in the liquid state. This water eventually started to change from a liquid state into vapor, thus floating up from the bottom of the distillation tank. This can be observed from the temperature of the steam, which starts to increase steeply during this time. After this point, the valve is closed (as shown in Figure 4). Along with the continuous heating of the combustion chamber, the average temperature of the steam then rises to a constant level of approximately 99 °C. Due to the properties of the saturated steam, its penetration into the plant tissues occurs, enabling a transport route for the essential oil in the raw materials. Therefore, it can be seen in Figure 13A that the initial amount of essential oil was distilled at 120 min (or 2 h). With continuous heating from the combustion chamber, the steam temperature is maintained at a constant level for 360 min (i.e., the average steam temperature throughout Step 1 remains approximately 99.51 ± 4.97 °C), which is consistent with the distillation of essential oil occurring at times of 2, 3, 4, 5, and 6 h, as detailed in Figure 13A. Steam affects the extraction of essential oil. With both the steam’s temperature properties, which are directly related to higher pressure and lower density, the steam can effectively penetrate into the material’s channels in which essential oils are accumulated. In the RWASD process, when the initial 6 h distillation time is completed, all systems are shut down, including the LPG fuel heating system, and the valve on top of the distillation tank is closed. After this, over the period from 361 to 1140 min (spanning 12 h), the temperature inside the distillation tank will drop to 65.0 ± 3.25 °C (as shown in Figure 14). During this period, some of the raw materials to be distilled will evaporate due to the decrease in temperature inside the distillation tank, resulting in some steam condensing into liquid in a compressed liquid state. The remaining heat vapor can flow into the material’s channels in large volumes throughout the 12 h period. As the temperature of the steam is lower, it will result in lower pressure, resulting in the steam in Step 2 having less ability to float upward. When Step 2 of RWASD ends at a total distillation time of 19 h, the state of the vapor in the distillation tank will generally be in the form of a compressed liquid (as shown in Figure 5 and Table 1). Then, the water in the compressed state will be heated again. The temperature is increased to approximately 99.07 ± 4.95 °C, causing the water in the form of a compressed liquid to once more become saturated vapor, taking approximately 60 min. This results in saturated vapor with a constant heat value, leading to distillation that yields essential oils at distillation times of 20, 21, and 22 h in Step 3, as shown in Figure 13, following the relationship between the distillation time and the temperature of the vapor, as well as the steps regarding the details of the equipment as described above.
Figure 14.
Time-dependent steam temperature profile during RWASD process.
4.3. Determination of the Quality of Essential Oils Obtained Through Recurrent Water and Steam Distillation via GC-MS Analysis
After the distillation of lime fruit to obtain essential oils, tested as a raw material to determine the efficacy of the RWASD method, the obtained essential oils were analyzed and identified using gas chromatography–mass spectrometry (GC-MS) to determine their quality in terms of the different percentages of identified compounds. The main bioactive compounds selected for examination in this research were detected by GC, which included β-Myrcene (2.72%), Limonene (20.72%), α-Phellandrene (1.27%), and Terpinen-4-ol (3.04%). The results of the test were compared with the results of GC-MS analysis of lemon raw materials obtained in previous studies [51,52,53] as detailed in Table 3 and Figure 15. The results demonstrated that the use of the RWASD method to distill essential oil from limes with the self-designed and -built distillation apparatus yielded EO that maintained the quality and standard of the considered volatile compounds, which were consistent with the results previously reported by many researchers [51,52,53]. In particular, these compounds have the following properties:
Table 3.
Results of the essential oil quality analysis.
Figure 15.
GC-MS chromatogram of lime essential oil obtained via RWASD.
- -
- β-Myrcene is used in food, beverages, and cosmetics as a flavoring agent, aromatic substance, and insecticide, and has anti-muscular pain, anti-inflammatory, antibacterial, and mental relaxation properties [54,55].
- -
- Limonene is used as a bittering agent, as a seasoning in the pharmaceutical industry, and as a wood paint to kill moths and termites. Limonene is also used as an ingredient in essential oils for medicinal purposes (also known as aromatherapy). In terms of its pharmacological properties, it is beneficial to health, such as its antioxidant properties, its ability to treat Alzheimer’s disease, and its ability to lower blood [56,57].
- -
- α-Phellandrene is a substance that helps to relieve pain, fights free radicals, fights bacteria, reduces inflammation, aids digestion, is a diuretic, and lowers blood pressure [56,57].
- -
- Terpinen-4-ol is a substance that helps to reduce skin inflammation caused by sunburn, reduces redness, and helps to heal wounds by helping them recover faster. It is an ingredient in facial cleansing foam and helps to destroy micro-organisms that cause acne [58,59].
4.4. Useful Energy Efficiency and Exergy of Essential Oil Distillation via Recurrent Water and Steam Distillation Method
From Figure 16—which shows the relationship between heat energy consumption and distillation time in RWASD with the 500 L prototype distillation machine—it can be seen that the heat energy used in distilling EO accumulated in the lime fruit in the early stages of distillation will be high, due to the need to produce steam in a saturated state in order to ensure sufficient steam heat temperature and pressure to penetrate into the raw material containing essential oils. With a distillation raw material volume of 100 kg and a distillation machine size of 500 L, the first period of approximately 120 min required a relatively high amount of useful heat energy, resulting in a useful energy ratio that is consistent with the trend shown in Figure 16. As the process time increases, the energy consumption and ratio of thermal energy to useful heat stabilize at 29,880 ± 1494 kJ/s and 22.47 ± 1.12%, respectively. Regarding steam thermal energy, a system can be controlled in a controlled volume or open system form, considering design and construction principles [60,61,62,63,64]. This is consistent with the constant steam thermal temperature in the system, which leads to the constant pressure in the distillation system and constant energy consumption to useful energy ratio throughout the distillation process in Step 1, as shown in Figure 16. However, in the RWASD process, the entire system is shut down in Step 2, resulting in decreased temperature in all parts of the distillation vessel, as shown in Figure 14. The efficiency of useful energy utilization mainly depends on the steam’s thermal temperature. As a result, residual heat energy is stored in the system, and the initial usable residual heat energy is around 126,300 ± 6315 kJ/s at the beginning of Step 3, as shown in Figure 16. The trend of the data in this period is in line with that in Step 1 but takes a shorter time. As a result, while the first step requires approximately 120 min to reach a sufficiently high usable heat energy, this takes approximately 50 min (i.e., minutes 1141–1191) during Step 3. As the time in Step 3 increases, the heat energy consumption and the usable heat energy ratio stabilize until the completion of the RWASD essential oil distillation process.
Figure 16.
Time-dependent analysis of useful energy efficiency and energy utilization ratio.
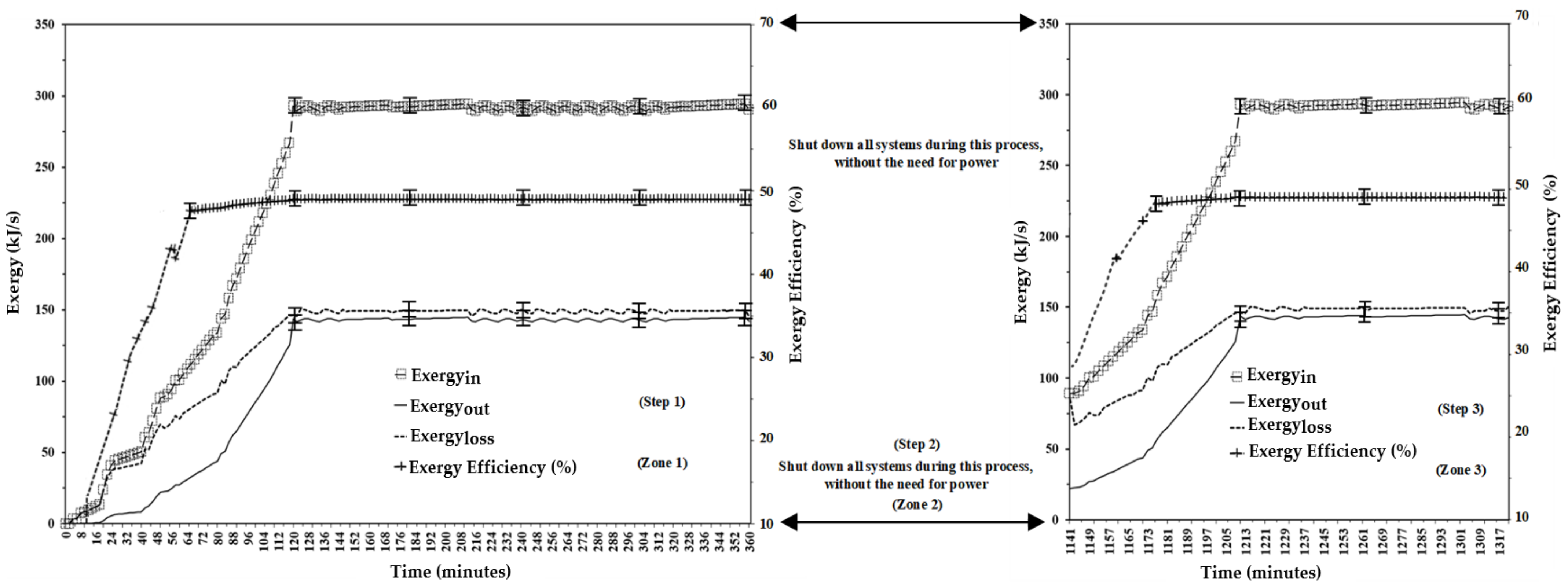
In addition, when considering the analysis of exergy over time shown in Figure 17, the inlet, outlet, and loss of exergy change over time with the distillation of essential oil (EO), as the saturated steam will be produced from the boiler, which was designed and built in the same area as the distillation pot but at a lower position, as shown in Figure 1. The design and construction of the distillation machine are suitable for recurrent distillation with water and steam, considering both the use and the purchase price of the distillation machine and the LPG fuel used as the energy source for the boiler. It can be seen that the inlet exergy is high in the initial period of distillation in both Step 1 and Step 3. The exergy characteristics are related to the heating temperature. In addition, from Figure 16, it can be seen that in the initial period of essential oils distillation using the RWASD method, the efficiency of the useful energy ratio is high as the useful energy is also high. Due to the volume of the distillation machine, the raw materials must be heated by pressurized steam to penetrate into the storage compartments in which the essential oil (EO) is concentrated. As a result, the raw materials absorb some of the heat from the steam, and the steam production must be accelerated to ensure constant volume control. As the time increases, the exergy at the entrance reaches a constant value of approximately 300.0 ± 15.0 kJ/s until the end of Step 1. This behavior and trend are similarly observed in Step 3. It can be observed that the efficiency of the exergy is the ratio of the beneficial exergy to the total exergy flowing in, which continuously affects the trend of the efficiency of the exergy in the same direction, as shown in Figure 17. Due to these characteristics, there is a loss of exergy relating to the difference between the total exergy flowing in and the total exergy flowing out of the essential oil distillation process. From the calculated efficiency of the exergy, it can be seen that in the early stages of the distillation, the efficiency is low as the exergy is lost or close to the exergy at the entrance. As the time of EO distillation increases, the efficiency of the exergy also increases. Due to the relatively slow increase in exergy loss in the time periods of 0–30 min and 1141–1151 min during the initiation of distillation during the said periods in Steps 1 and 3, respectively, in the test, the various exergy values were calculated as follows: Exergyin and Exergyout had the highest values of 294.29 ± 14.72 and 144.76 ± 7.23 kJ/s, while Exergy loss had the highest value of 150.22 ± 7.51 kJ/s. It was also found that the essential oil distillation process using the RWASD method had ηEx equal to 49.97 ± 2.49%. The exergy data obtained for the different steps presented a tendency that was generally consistent with previous research works [65,66]. Considering the comparison of the exergy efficiency values obtained in this study with other methods used to distill essential oils, it was found that the obtained exergy efficiency was at a high level. It can be considered that the use of the RWASD method with the designed 500 L prototype essential oil distiller can significantly improve the efficiency, increasing the amount of essential oil as well as the efficiency in utilizing the heat energy from steam (as detailed in Section 4.1 and Figure 18).
Figure 17.
Time-dependent exergy performance analysis.
Figure 18.
Comparison of thermal energy excitation efficiency among different essential oil distillation methods.
The application of a re-distillation method initially using water followed by steam for the extraction of essential oils represents a significant advancement in traditional distillation techniques. By collecting the distilled water and steam from the first cycle and subsequently shutting down the original system to perform an additional distillation cycle, this approach builds upon conventional practices. It effectively integrates essential oil distillation technology with agricultural processes, offering enhanced performance and broader applicability.
The re-distillation process, when employed in conjunction with a 500-L prototype essential oil distiller designed and constructed according to engineering principles, demonstrates compatibility with conventional agricultural operations. This integration enhances the efficiency of essential oil extraction for commercial purposes and contributes to improving the quality of essential oils, as demonstrated in the case of Chang Ton (litsea cubeba). Furthermore, the initiative supports the development of a robust knowledge base for essential oil distillation within agricultural communities.
Although this study presents a promising prototype and a novel approach to agricultural–engineering integration, it is acknowledged that further refinement and validation are required before widespread practical implementation. As such, this research serves as a foundational step toward future development rather than immediate application.
4.5. The Effects of Different Raw Material Packing Screens on the Yield of Essential Oil
Using a simple grid, it was found that the steam behaved like a wave when changing from liquid to vapor in the combustion chamber. The center and top of the distillation chamber using a simple grid had lower temperatures than the layered distillation chamber, which was due to the structure of the layered grid (with gaps between the layers), as shown in Figure 19. From the test depicted in Figure 20, it was found that when considering the comparative test at a distillation time of 6 h, considering the effects of each type of grid on the heat characteristics and heat transfer in each test under the same controlled conditions, the steam moved through the gaps between the layers relatively faster than the simple grid. It can be observed that the steam moved up from the surrounding area and penetrated into the gaps between the layers, while some steam passed through the bottom of the grid and floated up. As a result, the steam entering from the sides of the grid into the gaps between the grids would create a turbulent flow pattern, causing the flow to stop due to the rapid penetration of steam through the gaps between the layers of the grids, which can be seen from the trend of the data at the temperature measurement points. The temperature of the layered grid was initially higher than the simple grid (both at the center and the top of the distillation chamber) for approximately 81 min, as shown in Figure 19. In order to maintain a constant temperature and steam inside the distillation chamber, a shut-off valve was installed at the top of the distillation chamber. This included the installation of a gauge that measures the temperature and pressure of the steam with a valve at the top of the distillation vessel, which was opened after about 81 min to allow the steam to move through the conveyor to the condenser. The steam then flowed continuously from the distillation vessel to the conveyor to the condenser throughout the period until the distillation time reached 6 h. It was found that the use of multi-layer screens led to a lower steam temperature, which may be due to the gap and the position of the valve on the top that is open, which causes the steam to flow faster along the gap between the screens and the sides, meaning that there is less time for contact with the raw material as the direction of movement is upward to the opening of the valve at the top position, including a large gap, resulting in uneven steam flow and lower temperature compared to simple screens.
Figure 19.
Steam flow patterns and directions using different screen designs: (A) Normal sieve; and (B) Layered sieve.
Figure 20.
Amount of essential oil when using a conventional sieve vs. a layered sieve.
Additionally, to better understand the flow behaviour and movement of steam during distillation, visualization was conducted to observe how steam permeates through a conventional sieve when raw materials are packed. In this configuration, the lime used as the raw material naturally forms evenly distributed gaps, effectively creating a porous, cavity-like structure arranged in rows within the volume of the conventional packing screen. As a result, the steam passes through the sieve at a relatively low velocity. When the steam encounters the lime, there is limited space for abrupt flow redirection or turbulence, which contributes positively to the overall flow pattern. The reduced velocity enhances compound friction and increases flow viscosity, promoting smoother and more stable steam movement. This prolonged residence time facilitates better infiltration into and along the essential oil transport pathways within the raw material. Consequently, the steam, now enriched with volatile compounds extracted from the lime, exhibits improved diffusion and extraction performance compared to systems using layered sieve configurations.
The steam flow behaviour observed when using conventional grates is consistent with findings from studies on fluid flow and heat transfer in solar-assisted air heating systems employed in the food industry. Previous research [65,66,67] has demonstrated that thermal efficiency increases with rising air temperatures, accompanied by elevated Nusselt and Reynolds numbers, which govern the airflow characteristics. In this study, it was found that the use of a conventional sieve resulted in a 10.14 ± 0.51% higher temperature within the distillation tank compared to a layered sieve. This is illustrated in Figure 21, which presents the average steam heating temperature over time for both configurations. The average steam temperature within the distillation tank using the conventional sieve reached 100.34 ± 5.01 °C, whereas the layered sieve produced a lower average temperature of 90.80 ± 4.50 °C. These results highlight the superior heat distribution and thermal performance associated with the conventional sieve design during the distillation process.
Figure 21.
Time-dependent steam temperature profiles influenced by the use of a standard grid and a layered grid during the distillation process.
As the heat and flow of steam inside the storage tank affect the penetration of the raw material, making it easier for the volatile substances to be absorbed, this affects the amount of essential oil that can be extracted. In the analysis regarding the amount of essential oil, it was found that, on average, the yield of EO using a conventional screen was 8.07 ± 0.40% higher than that with a layered screen, as detailed in Figure 19 and Figure 20.
This may be due to the steam flow characteristics of the conventional screen, which allows the steam to continuously penetrate through the gaps throughout the distillation process. Therefore, the steam has sufficient time to penetrate into the fibers of the raw materials and, thus, transport volatile substances or essential oils. Therefore, to obtain higher oil yields, it is more suitable to distill using a conventional screen rather than a layered screen. The heating temperature, flow direction, and distribution of steam are shown in Figure 19 and Figure 20.
4.6. Analysis of the Design and Construction of a 500 L Prototype Distillation Apparatus
The design of the prototype machine is an important factor to be considered in order to provide guidelines or basic information for its further development. Details of the calculations and design regarding the prototype distillation machine, including data from both before its construction and during operational use (including the process of distilling evaporated water), are provided in Table 4. The amount of essential oil extracted was dependent on the performance of the machine, which was, in turn, affected by tolerances determined through its design and construction, as discussed below. In particular, the average thermal energy and heat transfer error in all variables throughout the test was 7.83 ± 0.39%, and the structural error for all variables throughout the experiment was 5.90 ± 0.29%.
Table 4.
Calculation and design of a 500 L prototype distillation machine.
The design temperature of saturated steam was 120 °C, the engineering safety value was 5, the weld strength was 0.85, and a material (Stainless Steel 304) with a thickness of 6 mm was chosen due to its ability to be formed, bent, and curved with welding.
4.7. Essential Oil Distillation Cost
In this study, the cost analysis of essential oil (EO) distillation was conducted with consideration of the prototype commercial-scale distillation unit as a potential learning and demonstration center for local farmers. This model could serve either for self-distillation of raw materials or as a facility where trained personnel perform the distillation on behalf of the community. The primary cost components assessed include energy consumption, raw material input, labour, and the cost of tap water, which is required for both the distillation process and the circulation system used for condensation and cooling. Experimental findings revealed that the cost of producing lemon essential oil via the conventional water and steam distillation method over a 6 h period amounted to approximately 38,500 THB per liter. However, by applying the recurrent water and steam distillation (RWASD) method with an extended 4 h phase, the production cost was significantly reduced to 23,400 THB per liter, representing a 40% reduction. This demonstrates that the RWASD method is a more cost-effective alternative when using lemon as the feedstock.
These results suggest that the RWASD method has strong potential for application in small-scale production settings, particularly within community enterprises, rural areas, and developing countries, where cost-efficiency and resource optimization are critical.
5. Conclusions
To enhance the efficiency of essential oil (EO) distillation, the recurrent water and steam distillation (RWASD) method was applied using a 500-L prototype distillation unit, with lime fruit as the raw material. The RWASD technique yielded 53.69 ± 2.68% (43.21 ± 2.16mL) more essential oil compared to conventional water and steam distillation (WASD) under identical conditions. This improvement is attributed to the process’s multi-step design, particularly Step 2, which allows steam retention and raw material curing, reducing LPG usage and enhancing oil extraction in Step 3. Steam temperatures averaged 99.51 ± 4.97 °C and 99.07 ± 4.95 °C in Steps 1 and 3, respectively, confirming stable thermal conditions. The EO quality was verified using GC-MS, identifying key compounds such as β-Myrcene (2.72%) Limonene (20.72%), α-Phellandrene (1.27%), and Terpinen-4-ol (3.04%), consistent with the literature. The RWASD system demonstrated an energy utilisation rate of 29,880 ± 1,494 kJ/s, with an exergy efficiency (ηEx) of 49.97 ± 2.49%. A simple packing grid achieved superior heat distribution, raising temperature and oil yield by 10.14 ± 0.50% and 8.07 ± 0.40%, respectively, compared to a layered grid. The prototype’s average heat loss and structural error rates were 7.83 ± 0.39% and 5.90 ± 0.29%. These findings highlight the RWASD method’s potential for efficient EO extraction in SME applications.
Author Contributions
Conceptualization, N.P. and S.S.; methodology, T.P. and S.S. software, N.B.; validation, Y.D., Y.L. and T.P.; formal analysis, S.S.; investigation, N.P.; resources, S.S.; data curation, S.S.; writing—original draft preparation, S.S.; writing—review and editing, S.S. and T.P.; visualization, N.P. and N.B.; supervision, Y.L. and Y.D.; project administration, S.S. All authors have read and agreed to the published version of the manuscript.
Funding
This article received no external funding.
Data Availability Statement
Dataset available on request from the authors.
Acknowledgments
The authors would like to express their sincere gratitude to the Agricultural Research Development Agency (Public Organization) for supporting this research. Special thanks to Sirikiat Senarat and Thanachai Kaensombat for the invaluable assistance with equipment preparation and transportation during the testing phase. Gratitude is also extended to the Department of Mechanical Engineering, Faculty of Industry and Technology, Rajamangala University of Technology Isan, Sakon Nakhon Campus, Sakon Nakhon 47160, Thailand, for the support.
Conflicts of Interest
The authors declare no conflict of interest.
Abbreviations
The following abbreviations are used in this manuscript:
| 500 L PDM | 500 Liter Prototype Distillation Machine |
| EO | Essential Oil |
| SHSD | Superheated steam distillation |
| CE | Cold Extraction |
| RWASD | Recurrent Water and Steam Distillation |
| WASD | Water and Steam Distillation |
| HD | Hydro-Distillation |
| SD | Steam Distillation |
| GC-MS | Gas Chromatography–Mass Spectrometry |
| v | vapor |
| l | liquid |
| SMEs | Small- and Medium-sized Enterprises |
| SCFE | Supercritical Fluid Extraction |
| UE | Ultrasonic Extraction |
| SE | Solvent Extraction |
| NS | Normal Sieve |
| LS | Layered Sieve |
| i | in |
| o | out |
| e | Energy |
| Ex | Exergy |
| LHV | Lower Heating Value |
| EERU/EO | Energy Efficiency Ratio Useful for Essential Oils |
References
- Carvalho, R.N., Jr.; Moura, L.S.; Rosa, P.T.V.; Meireles, M.A.A. Supercritical fluid extraction from rosemary (Rosmarinus officinalis): Kinetic data, extract’s global yield, composition, and antioxidant activity. J. Supercrit. Fluids 2005, 35, 197–204. [Google Scholar] [CrossRef]
- Mekonnen, S.; Kassahun, B. Bringing Aromatic Plants into Cultivation by Smallholder Farmers of Ethiopia: Opportunities and Challenges, Improving Quality Production of Horticultural Crops for Sustainable Development Proceedings; Jimma University College of Agriculture and Veterinary Medicine: Jimma, Ethiopia, 2011. [Google Scholar]
- Sichamnan, S.; Trongthiang, S.; Chimnin, T.; Pipatpaiboon, N. Efficiency of Essential Oil Distillers by a Convection Rod Sieve. J. Southwest Jiaotong Univ. 2022, 57, 562–571. [Google Scholar] [CrossRef]
- Kant, R.; Kumar, A. Process optimization of conventional steam distillation system for peppermint oil extraction. Energy Sources Part A Recover. Util. Environ. Eff. 2022, 44, 3960–3980. [Google Scholar] [CrossRef]
- Arranz, E.; Jaime, L.; Hazas, M.L.d.L.; Reglero, G.; Santoyo, S. Supercriticalfluid extraction as an alternative process to obtain essential oils with anti-inflammatory propertiesfrom marjoram and sweet basil. Ind. Crop. Prod. 2015, 67, 121–129. [Google Scholar] [CrossRef]
- Deineka, V.I.; Salasina, Y.Y. Determination of Chamazulene by Reversed Phase Hplc. ChemChemTech 2024, 67, 14–20. [Google Scholar] [CrossRef]
- Udalova, V. Leveraging Administrative Records and Record Linkages to Enhance Health Data at the U.S. Census Bureau. Int. J. Popul. Data Sci. 2024, 9, 5. [Google Scholar] [CrossRef]
- Figoli, A.; Donato, L.; Carnevale, R.; Tundis, R.; Statti, G.; Menichini, F.; Drioli, E. Bergamot essential oil extraction by pervaporation. Desalination 2006, 193, 160–165. [Google Scholar] [CrossRef]
- Naz, S.; Hanif, M.A.; Bhatti, H.N.; Ansari, T.M. Impact of Supercritical Fluid Extraction and Traditional Distillation on the Isolation of Aromatic Compounds from Cannabis indica and Cannabis sativa. J. Essent. Oil Bear. Plants 2017, 20, 175–184. [Google Scholar] [CrossRef]
- Masondo, N.A.; Makunga, N.P. Advancement of analytical techniques in some South African commercialized medicinal plants: Current and future perspectives. S. Afr. J. Bot. 2019, 126, 40–57. [Google Scholar] [CrossRef]
- Puwineza, P.A.; Waśkiewicz, A. Recent advances in supercritical fluid extraction of natural bioactive compounds from natural plant materials. Molecules 2020, 25, 3847. [Google Scholar] [CrossRef]
- Guan, W.; Li, S.; Yan, R.; Tang, S.; Quan, C. Comparison of essential oils of clove buds extracted with supercritical carbon dioxide and other three traditional extraction methods. Food Chem. 2007, 101, 1558–1564. [Google Scholar] [CrossRef]
- Silva, M.G.d.V.; Matos, F.J.d.A.; Lopes, P.R.O.; Silva, F.O.; Holanda, M.T. Composition of essential oils from three Ocimum species obtained by steam and microwave distillation and supercritical CO2 extraction. Arkivoc 2003, 2004, 66–71. [Google Scholar] [CrossRef]
- Ayub, M.A.; Hanif, M.A.; Blanchfield, J.; Zubair, M.; Abid, M.A.; Saleh, M.T. Chemical composition and antimicrobial activity of Boswellia serrata oleo-gum-resin essential oil extracted by superheated steam. Nat. Prod. Res. 2023, 37, 2451–2456. [Google Scholar] [CrossRef] [PubMed]
- Jin, C.; Guo, J.; Zhu, H.; Wen, J. Optimization of superheated steam treatment conditions for wheat aleurone layer flour. Food Sci. Technol. 2021, 42, 1–8. [Google Scholar] [CrossRef]
- Smith, R.M. Extractions with Superheated Water. J. Chromatogr. A 2002, 975, 31–46. [Google Scholar] [CrossRef]
- Jayawardena, B.; Smith, R.M. Superheated water extraction of essential oils from Cinnamomum zeylanicum (L.). Phytochem. Anal. 2010, 21, 470–472. [Google Scholar] [CrossRef]
- Raza, M.H.; Ayub, M.A.; Zubair, M.; Hussain, A.; Saleem, S.; Azam, M.T.; Hussain, M.; Memon, A.G.; Abdelgawad, M.A.; Ghoneim, M.M.; et al. Comparative Study of Essential Oils Extracted from Foeniculum vulgare Miller Seeds Using Hydrodistillation, Steam Distillation, and Superheated Steam Distillation. Food Sci. Nutr. 2024, 12, 10535–10549. [Google Scholar] [CrossRef]
- Makeri, M.; Salihu, A. Jasmine essential oil: Production, extraction, characterization, and applications. In Essential Oils; Elsevier: Amsterdam, The Netherlands, 2023; pp. 147–177. [Google Scholar]
- Katekar, V.P.; Rao, A.B.; Sardeshpande, V.R. Review of the rose essential oil extraction by hydrodistillation: An investigation for the optimum operating condition for maximum yield. Sustain. Chem. Pharm. 2022, 29, 100783. [Google Scholar] [CrossRef]
- Abbas, A.; Abdulazeez, M.A.; Abdullahi, A.S.; Abusamra, Y.; Adegoke, G.O.; Adelakun, O.E.; Adjou, E.S.; Afolabi, M.O.; Ahmad, N.; Ahmed, N.; et al. Essential Oils in Food Preservation, Flavor and Safety; Preedy, V.R., Ed.; Academic Press: San Diego, CA, USA, 2016; pp. 23–29. [Google Scholar]
- Preedy, V.R. (Ed.) Preface. In Essential Oils in Food Preservation, Flavor and Safety; Academic Press: San Diego, CA, USA, 2016; p. 33. [Google Scholar] [CrossRef]
- Hassanzadeh, M.K.; Tayarani, N.Z.; Nasery, M.; Emami, S.A. Essential Oils in Food Preservation, Flavor and Safety; Academic Press: San Diego, CA, USA, 2016; pp. 757–764. [Google Scholar]
- Cengel, Y.A. Steady Versus Transient Heat Transfer 63 Multidimensional Heat Transfer 64 Heat Generation 66 Generation 6. 2003. Available online: https://www.amirajcollege.in/wp-content/uploads/2020/10/3151909-heat-transfer-a-practical-approach-by-y-a-cengel.pdf (accessed on 1 April 2025).
- Shepherd, P. Fundamentals of Thermodynamics; John Wiley and Sons: New York, NY, USA, 2013; pp. 97–123. [Google Scholar] [CrossRef]
- Mutair, S.; Ikegami, Y. Experimental investigation on the characteristics of flash evaporation from superheated water jets for desalination. Desalination 2010, 251, 103–111. [Google Scholar] [CrossRef]
- Boppena, K.; Mekala, M.; Mallarapu, L.P.; Mohammed, R.W.; Uttaravalli, A.N.; Gidla, B.R.; Addanki, V.K. Extraction of rain water tree seed oil: Sustainable applications and management. Bioresour. Technol. Rep. 2023, 24, 101657. [Google Scholar] [CrossRef]
- Golmakani, M.-T.; Rezaei, K. Comparison of microwave-assisted hydrodistillation withthe traditional hydrodistillation method in the extractionof essential oils from Thymus vulgaris L. Food Chem. 2008, 109, 925–930. [Google Scholar] [CrossRef] [PubMed]
- Ayub, M.A.; Goksen, G.; Fatima, A.; Zubair, M.; Abid, M.A.; Starowicz, M. Comparison of Conventional Extraction Techniques with Superheated Steam Distillation on Chemical Characterization and Biological Activities of Syzygium aromaticum L. Essential Oil. Separations 2023, 10, 27. [Google Scholar] [CrossRef]
- Ramakrishnan, S.; Loganayagan, S.; Kowshika, G.; Ramprakash, C.; Aruneshwaran, M. Adobe blocks reinforced with natural fibres: A review. Mater. Today Proc. 2021, 45, 6493–6499. [Google Scholar] [CrossRef]
- Lal, A.N.; Krishnamurthy, S.; Girinandagopal, M.; Kothakota, A.; Kumar, R.; Venugopalan, V.; Ishwarya, S.P.; Venkatesh, T. A comparison of the Refrigerated Adsorption Drying of Daucus carota with fluidized bed drying. LWT 2022, 154, 112749. [Google Scholar]
- Akdağ, A.; Ozturk, E. Distillation Methods of Essential Oils. Agric. Eng. 2019, 45, 22–31. [Google Scholar]
- Shamspur, T.; Mohamadi, M.; Mostafavi, A. The effects of onion and salt treatments on essential oil content and composition of Rosa damascena Mill. Ind. Crop. Prod. 2012, 37, 451–456. [Google Scholar] [CrossRef]
- El-Shazly, M.; Mansour, M.; Elsayed, E.; Elgindi, M.; Singab, A.-N. Characterization of Essential Oils of the Leaves and Fruits of Adenanthera pavonina L. by GC/MS. Arch. Pharm. Sci. Ain Shams Univ. 2020, 4, 63–69. [Google Scholar] [CrossRef]
- Tran, T.H.; Nguyen, V.T.; Dao, T.P.; Lam, T.D.; Toan, T.Q.; Nguyen, T.D.; Vo, D.-V.N.; Vy, T.A.; Bui, L.M. New direction in research on extraction of Citrus aurantifolia (Lemon fruit) essential oil grown in Mekong Delta—Vietnam via microwave-assisted hydrodistillation. In IOP Conference Series: Materials Science and Engineering; Institute of Physics Publishing: Bristol, UK, 2019; Volume 542, p. 012038. [Google Scholar]
- Talati, A. Extraction Methods of Natural Essential Oils. J. Method 2017, 1, 1–15. [Google Scholar]
- Van Rompaey, R. Distribution and Ecology of Allanblackia spp. (Clusiaceae) in African Rain Forests with Special Attention to the Development of a Wild Picking System of the Fruits (Clusiaceae) in African Rain Forests. 2003. Available online: https://scholar.google.com/scholar?hl=sr&as_sdt=0%2C5&q=37.%09Van+Rompaey%2C+R.+Distribution+and+ecology+of+Allanblackia+spp+%28Clusiaceae%29+in+African+rain+forests+with+special+attention+to+the+development+of+a+wild+picking+system+of+the+fruits+%28Clusiaceae%29+in+African+rain+forests.+2003.+https%3A%2F%2Fdoi.org%2F10.13140%2FRG.2.2.19915.59683&btnG= (accessed on 1 April 2025).
- Vora, L.K.; Gholap, A.D.; Hatvate, N.T.; Naren, P.; Khan, S.; Chavda, V.P.; Balar, P.C.; Gandhi, J.; Khatri, D.K. Essential oils for clinical aromatherapy: A comprehensive review. J. Ethnopharmacol. 2024, 330, 118180. [Google Scholar] [CrossRef]
- Tancon, M.; Abbatecola, A.; Mirafiori, M.; Bortolin, S.; Colusso, E.; Martucci, A.; Del Col, D. Investigation of surface inclination effect during dropwise condensation of flowing saturated steam. Int. J. Therm. Sci. 2024, 196, 108738. [Google Scholar] [CrossRef]
- Mousa, M.H.; Yang, C.-M.; Nawaz, K.; Miljkovic, N. Review of heat transfer enhancement techniques in two-phase flows for highly efficient and sustainable cooling. Renew. Sustain. Energy Rev. 2022, 155, 111896. [Google Scholar] [CrossRef]
- Al-Muslim, H.; Dincer, I. Thermodynamic analysis of crude oil distillation systems. Int. J. Energy Res. 2005, 29, 637–655. [Google Scholar] [CrossRef]
- Doppalapudi, A.T.; Azad, A.K.; Khan, M.M.K. Exergy, energy, performance, and combustion analysis for biodiesel NOx reduction using new blends with alcohol, nanoparticle, and essential oil. J. Clean. Prod. 2024, 467, 142968. [Google Scholar] [CrossRef]
- Jamnani, M.B.; Ting, D.S.-K.; Carriveau, R.; Kardgar, A. Energy, Exergy, Environmental (3E) and Parametric Assessment of a Triple-Pressure Reheat Combined-Cycle Power Plant. J. Energy Resour. Technol. 2021, 143, 1–27. [Google Scholar] [CrossRef]
- Krishnan, M.G.; Rajkumar, S. Effects of dual fuel combustion on performance, emission and energy-exergy characteristics of diesel engine fuelled with diesel-isobutanol and biodiesel-isobutanol. Energy 2022, 252, 124022. [Google Scholar] [CrossRef]
- Çengel, Y.A.; Boles, M.A. Thermodynamics: An Engineering Approach/Yunus A. Çengel, Michael Boles; McGraw-Hill Higher Education: London, UK, 2007. [Google Scholar]
- Kumar, R.; Sharma, S.; Sharma, S.; Kumar, N. Drying methods and distillation time affects essential oil content and chemical compositions of Acorus calamus L. in the western Himalayas. J. Appl. Res. Med. Aromat. Plants 2016, 3, 136–141. [Google Scholar] [CrossRef]
- Kumar, D.; Suryavanshi, P.; Padalia, R.C.; Chauhan, A.; Venkatesha, K.T.; Tiwari, A.K.; Singh, V.R.; Singh, S.; Upadhyay, R.K. Evaluation of harvesting time and standardization of distillation duration for higher essential oil content and quality in German chamomile (Chamomilla recutita L.). J. Spices Aromat. Crop. 2021, 29, 140–147. [Google Scholar] [CrossRef]
- Indira, T.I.; Burhan, K.H.; Manurung, R.; Widiana, A. Enhancement of Essential Oil Yield from Melaleuca leucadendra L. Leaves by Lignocellulose Degradation Pre-Treatment Using Filamentous Fungi. J. Bioresour. Bioprod. 2021, 6, 379–386. [Google Scholar] [CrossRef]
- Kwanga, S.N.; Djuffo, D.T.; Boum, A.T.; Anoh, F.A.; Dongmo, P.M.J. Effect of Solid-State Fermentation on the Essential Oil Yield of Curcuma longa Residues. Waste Biomass Valorization 2022, 13, 4565–4573. [Google Scholar] [CrossRef]
- Hamidi, N. The role of pre-destilation fermentation in increasing patchouli oil productivity (Pogostemon cablin benth). In IOP Conference Series: Materials Science and Engineering; Institute of Physics Publishing: Bristol, UK, 2019. [Google Scholar]
- NAl-Jabri, N.N.; Hossain, M.A. Chemical composition and antimicrobial potency of locally grown lemon essential oil against selected bacterial strains. J. King Saud Univ. Sci. 2018, 30, 14–20. [Google Scholar] [CrossRef]
- Jain, N.; Sharma, M. Evaluation of Citrus lemon essential oil for its chemical and biological properties against fungi causing dermatophytic infection in human beings. Anal. Chem. Lett. 2017, 7, 402–409. [Google Scholar] [CrossRef]
- Yoo, Z.-W.; Kim, N.-S.; Lee, D.-S. Analyses of Hallabong Flavor by SPTE and HS-SPME with GC-MS. 2004. Available online: https://koreascience.kr/article/JAKO200402727444416.pdf (accessed on 1 April 2025).
- Murali, R.; Saravanan, R. Antidiabetic effect of d-limonene, a monoterpene in streptozotocin-induced diabetic rats. Biomed. Prev. Nutr. 2012, 2, 269–275. [Google Scholar] [CrossRef]
- Ravichandran, C.; Badgujar, P.C.; Gundev, P.; Upadhyay, A. Review of toxicological assessment of d-limonene, a food and cosmetics additive. Food Chem. Toxicol. 2018, 120, 668–680. [Google Scholar] [CrossRef] [PubMed]
- Zhang, J.-H.; Sun, H.-L.; Chen, S.-Y.; Zeng, L.; Wang, T.-T. Anti-fungal activity, mechanism studies on α-Phellandrene and Nonanal against Penicillium cyclopium. Bot. Stud. 2017, 58, 1–9. [Google Scholar] [CrossRef]
- Lima, D.F.; Brandão, M.S.; Moura, J.B.; Leitão, J.M.R.S.; Carvalho, F.A.A.; Miúra, L.M.C.V.; Leite, J.R.S.A.; Sousa, D.P.; Almeida, F.R.C. Antinociceptive activity of the monoterpene α-phellandrene in rodents: Possible mechanisms of action. J. Pharm. Pharmacol. 2012, 64, 283–292. [Google Scholar] [CrossRef]
- Mondello, F.; De Bernardis, F.; Girolamo, A.; Cassone, A.; Salvatore, G. In vivo activity of terpinen-4-ol, the main bioactive component of Melaleuca alternifolia Cheel (tea tree) oil against azole-susceptible and -resistant human pathogenic Candida species. BMC Infect. Dis. 2006, 6, 158. [Google Scholar] [CrossRef]
- Hart, P.; Brand, C.; Carson, C.; Riley, T.; Prager, R.; Finlay-Jones, J. Terpinen-4-ol, the main component of the essential oil of Melaleuca alternifolia (tea tree oil), suppresses inflammatory mediator production by activated human monocytes. Inflamm. Res. 2000, 49, 619–626. [Google Scholar] [CrossRef]
- Cavina, V.; Mari, A.; Carlini, A.; Giovannetti, V. Optimal thermodynamic control in open quantum systems. Phys. Rev. A 2017, 98, 012139. [Google Scholar] [CrossRef]
- Hsiang, J.-T.; Chou, C.H.; Subaşı, Y.; Hu, B.L. Quantum Thermodynamics from the Nonequilibrium Dynamics of Open Systems: Energy, Heat Capacity, and the Third Law. Phys. Rev. E 2017, 97, 012135. [Google Scholar] [CrossRef]
- Kuhl, E.; Steinmann, P. Mass– and volume–specific views on thermodynamics for open systems. Proc. R. Soc. A Math. Phys. Eng. Sci. 2003, 459, 2547–2568. [Google Scholar] [CrossRef]
- Kant, R.; Kumar, A. Energy-economic and exergy-environment performance evaluation of solar energy integrated essential oil extraction system. Sol. Energy 2023, 265, 112101. [Google Scholar] [CrossRef]
- Yousef, M.S.; Hassan, H.; Sekiguchi, H. Energy, exergy, economic and enviroeconomic (4E) analyses of solar distillation system using different absorbing materials. Appl. Therm. Eng. 2019, 150, 30–41. [Google Scholar] [CrossRef]
- Andrade, F.; Moita, A.; Nikulin, A.; Moreira, A.; Santos, H. Experimental investigation on heat transfer and pressure drop of internal flow in corrugated tubes. Int. J. Heat Mass Transf. 2019, 140, 940–955. [Google Scholar] [CrossRef]
- Yu, C.; Shao, M.; Zhang, W.; Huang, M.; Wang, G. Enhancing heat transfer efficiency in corrugated tube heat exchangers: A comprehensive approach through structural optimization and field synergy analysis. Heliyon 2024, 10, e30113. [Google Scholar] [CrossRef]
- Lopes, E.F.; Salviano, L.O. Investigation of the Enhancement of Heat Transfer in a Flat Plate Solar Collector with a Corrugated Tube Under Thermosiphon Effect. J. Sol. Energy Eng. 2024, 146, 1–26. [Google Scholar] [CrossRef]
Disclaimer/Publisher’s Note: The statements, opinions and data contained in all publications are solely those of the individual author(s) and contributor(s) and not of MDPI and/or the editor(s). MDPI and/or the editor(s) disclaim responsibility for any injury to people or property resulting from any ideas, methods, instructions or products referred to in the content. |
© 2025 by the authors. Licensee MDPI, Basel, Switzerland. This article is an open access article distributed under the terms and conditions of the Creative Commons Attribution (CC BY) license (https://creativecommons.org/licenses/by/4.0/).




















