Assisted Lettuce Tipburn Monitoring in Greenhouses Using RGB and Multispectral Imaging
Abstract
1. Introduction
2. Materials and Methods
2.1. Environmental Conditions and Growing Setup
2.2. Plant Material, Growth Conditions, and Treatment Factors
2.3. Morphometric Analysis Using RGB Image Processing
2.3.1. RGB Image Acquisition
2.3.2. Plant Detection and Instance Segmentation
2.3.3. Morphometric Plant Features Extraction
2.4. Biomass Estimation Modeling
2.4.1. Plant Biomass Measurements
2.4.2. Model Training
2.4.3. Modeling Techniques
2.5. Prediction Performance Metrics
- (1)
- (2)
- RMSE, which computes the square root of the difference between actual and predicted values. As the error values are squared, RMSE is useful to detect larger errors. Additionally, the interpretation is more straightforward since the square roots transform the value to the same units as the response [20].
- (3)
- Symmetric Mean Absolute Percentage Error (SMAPE): Unlike the previous metrics, SMAPE is independent of the square function. Instead, it uses the absolute differences between the actual and predicted values, treating all errors equally regardless of their direction. It expresses the average absolute error as a percentage to better understand the relative size of errors [20]. The symmetry that characterizes this metric considers both underestimation and overestimation and provides a more balanced metric of error measurement when small and large values are present.
2.6. Multispectral Image Analysis
2.6.1. Image Acquisition
2.6.2. Multispectral Image Processing Workflow
2.6.3. Vegetation Indices Calculation
2.7. Statistical Analysis
3. Results
3.1. Effect of Melatonin on Biomass Accumulation
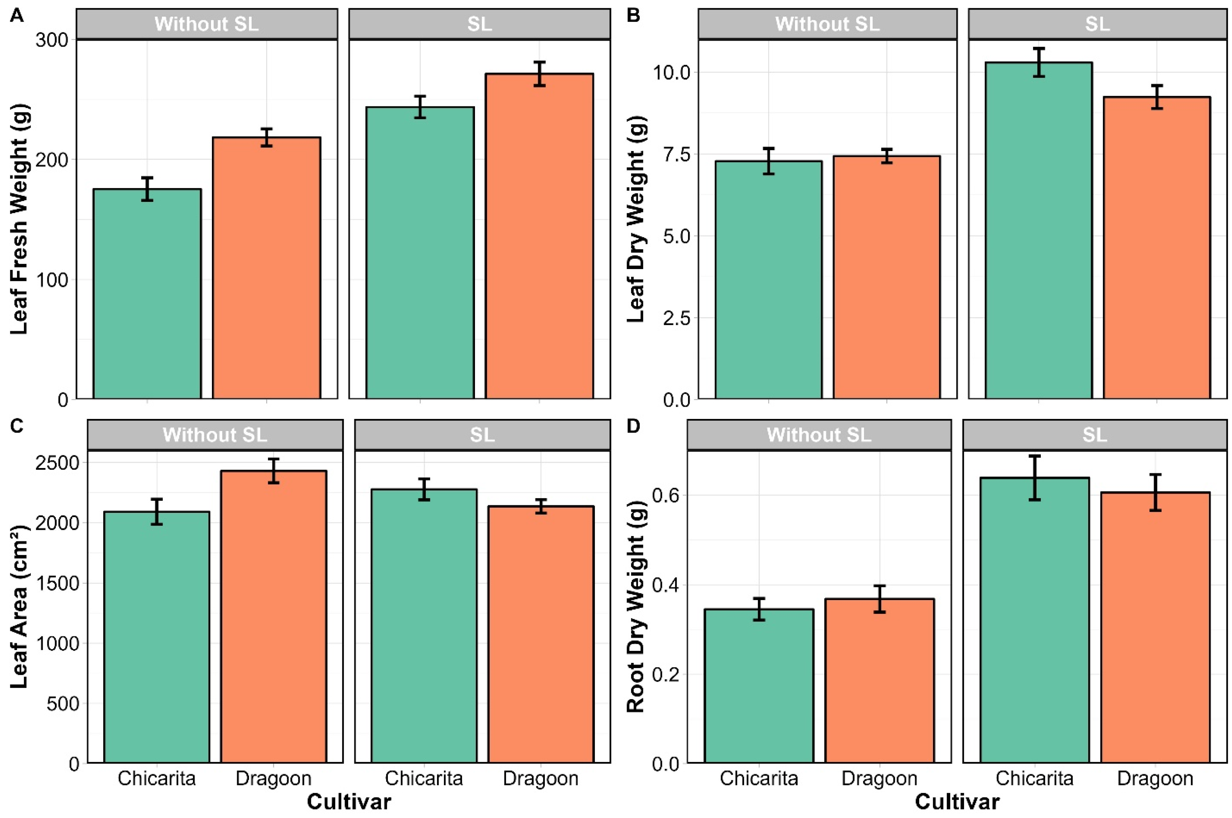
3.2. Cultivar and Supplemental Lighting Effects on Biomass
Tipburn Development Evaluation
3.3. Morphometric Analysis Using RGB Image Processing
3.4. Biomass Estimation Modeling
3.5. Multispectral Image Analysis
4. Discussion
4.1. Melatonin Effects on Growth and Tipburn Development
4.2. Multispectral and Morphometric Signals Associated with Tipburn Development
4.2.1. Biomass Estimation
4.2.2. Multispectral Image Analysis
4.3. Further Hardware Improvements
5. Conclusions
Author Contributions
Funding
Data Availability Statement
Acknowledgments
Conflicts of Interest
References
- Casey, L.; Freeman, B.; Francis, K.; Brychkova, G.; McKeown, P.; Spillane, C.; Bezrukov, A.; Zaworotko, M.; Styles, D. Comparative environmental footprints of lettuce supplied by hydroponic controlled-environment agriculture and field-based supply chains. J. Clean. Prod. 2022, 369, 133214. [Google Scholar] [CrossRef]
- Ertle, J.; Kubota, C. Testing cultivar-specific tipburn sensitivity of lettuce for indoor vertical farms. HortScience 2023, 58, 1257–1266. [Google Scholar] [CrossRef]
- de Freitas, S.T.; Pareek, S. (Eds.) Postharvest Physiological Disorders in Fruits and Vegetables; CRC Press: Boca Raton, FL, USA, 2019. [Google Scholar] [CrossRef]
- Bárcena, A.; Graciano, C.; Luca, T.; Guiamet, J.J.; Costa, L. Shade cloths and polyethylene covers have opposite effects on tipburn development in greenhouse-grown lettuce. Sci. Hortic. 2019, 249, 93–99. [Google Scholar] [CrossRef]
- Lee, J.G.; Choi, C.S.; Jang, Y.A.; Jang, S.W.; Lee, S.G.; Um, Y.C. Effects of air temperature and airflow rate control on the tipburn occurrence of leaf lettuce in a closed-type plant factory system. Hortic. Environ. Biotechnol. 2013, 54, 303–310. [Google Scholar] [CrossRef]
- Ahmed, H.A.; Tang, Y.-X.; Yang, Q.-C. Lettuce plant growth and tipburn occurrence as affected by airflow using a multi-fan system in a plant factory with artificial light. J. Therm. Biol. 2020, 88, 102496. [Google Scholar] [CrossRef]
- Ferrarezi, R.S.; Qin, K.; Hazard, C.; Gatard, E.; Gastaldo, T.B.; Housley, M.J.; Nieters, C.E.; Mesquita, M. Airflow, fertilizer solution recipes, and calcium concentrations influence lettuce and spinach growth in an indoor vertical farm. Sci. Hortic. 2024, 328, 112948. [Google Scholar] [CrossRef]
- Biradar, K.; Meng, Q. Nutrient solution application of a calcium-mobilizing biostimulant mitigates tipburn without decreasing biomass of greenhouse hydroponic lettuce. HortScience 2024, 59, 92–98. [Google Scholar] [CrossRef]
- Hassan, M.U.; Mahmood, A.; Awan, M.I.; Maqbool, R.; Aamer, M.; Alhaithloul, H.A.S.; Huang, G.; Skalicky, M.; Brestic, M.; Pandey, S.; et al. Melatonin-induced protection against plant abiotic stress: Mechanisms and prospects. Front. Plant Sci. 2022, 13, 902694. [Google Scholar] [CrossRef]
- Kumari, A.; Singh, S.K.; Mathpal, B.; Verma, K.K.; Garg, V.K.; Bhattacharyya, M.; Bhatt, R. The biosynthesis, mechanism of action, and physiological functions of melatonin in horticultural plants: A review. Horticulturae 2023, 9, 913. [Google Scholar] [CrossRef]
- Hasan, M.K.; Liu, C.-X.; Pan, Y.-T.; Ahammed, G.J.; Qi, Z.-Y.; Zhou, J. Melatonin alleviates low-sulfur stress by promoting sulfur homeostasis in tomato plants. Sci. Rep. 2018, 8, 10328. [Google Scholar] [CrossRef]
- Vafadar, F.; Ehsanzadeh, P. Synergistic effects of calcium and melatonin on physiological and phytochemical attributes of Dracocephalum kotschyi genotypes under salinity stress. Physiol. Plant. 2023, 175, e13912. [Google Scholar] [CrossRef] [PubMed]
- Appolloni, E.; Orsini, F.; Pennisi, G.; Gabarrell Durany, X.; Paucek, I.; Gianquinto, G. Supplemental LED lighting effectively enhances the yield and quality of greenhouse truss tomato production: Results of a meta-analysis. Front. Plant Sci. 2021, 12, 596927. [Google Scholar] [CrossRef] [PubMed]
- Uno, Y.; Okubo, H.; Itoh, H.; Koyama, R. Reduction of leaf lettuce tipburn using an indicator cultivar. Sci. Hortic. 2016, 210, 14–18. [Google Scholar] [CrossRef]
- Beacham, A.M.; Hand, P.; Teakle, G.R.; Barker, G.C.; Pink, D.A.C.; Monaghan, J.M. Tipburn resilience in lettuce (Lactuca spp.)—The importance of germplasm resources and production system-specific assays. J. Sci. Food Agric. 2023, 103, 4481–4488. [Google Scholar] [CrossRef]
- Chaerle, L.; Van Der Straeten, D. Imaging techniques and the early detection of plant stress. Trends Plant Sci. 2000, 5, 495–501. [Google Scholar] [CrossRef]
- Story, D.; Kacira, M.; Kubota, C.; Akoglu, A.; An, L. Lettuce calcium deficiency detection with machine vision computed plant features in controlled environments. Comput. Electron. Agric. 2010, 74, 238–243. [Google Scholar] [CrossRef]
- Behmann, J.; Steinrücken, J.; Plümer, L. Detection of early plant stress responses in hyperspectral images. ISPRS J. Photogramm. Remote Sens. 2014, 93, 98–111. [Google Scholar] [CrossRef]
- Beisel, N.S.; Callaham, J.B.; Sng, N.J.; Taylor, D.J.; Paul, A.; Ferl, R.J. Utilization of single-image normalized difference vegetation index (SI-NDVI) for early plant stress detection. Appl. Plant Sci. 2018, 6, e01186. [Google Scholar] [CrossRef]
- Cardenas-Gallegos, J.S.; Lacerda, L.N.; Severns, P.M.; Peduzzi, A.; Klimeš, P.; Ferrarezi, R.S. Advancing biomass estimation in hydroponic lettuce using RGB-depth imaging and morphometric descriptors with machine learning. Comput. Electron. Agric. 2025, 234, 110299. [Google Scholar] [CrossRef]
- Cardenas-Gallegos, J.S.; Severns, P.M.; Klimeš, P.; Lacerda, L.N.; Peduzzi, A.; Ferrarezi, R.S. Reliable plant segmentation under variable greenhouse illumination conditions. Comput. Electron. Agric. 2025, 229, 109711. [Google Scholar] [CrossRef]
- Bradski, G. The OpenCV Library. Dr. Dobb’s J. Softw. Tools 2000, 25, 120–125. [Google Scholar]
- Nguyen, V.A. AnyLabeling—Effortless Data Labeling with AI Support. 2024. Available online: https://github.com/vietanhdev/anylabeling (accessed on 15 August 2025).
- Jocher, G.; Chaurasia, A.; Qiu, J. Ultralytics YOLOv8. 2023. Available online: https://github.com/ultralytics/ultralytics (accessed on 15 August 2025).
- Paszke, A.; Gross, S.; Chintala, S.; Chanan, G.; Yang, E.; DeVito, Z.; DeVito, Z.; Lin, Z.; Desmaison, A.; Antiga, L.; et al. Automatic Differentiation in PyTorch. 2017. Available online: https://openreview.net/forum?id=BJJsrmfCZ (accessed on 15 August 2025).
- Jayalath, T.C.; van Iersel, M.W. Canopy size and light use efficiency explain growth differences between lettuce and mizuna in vertical farms. Plants 2021, 10, 704. [Google Scholar] [CrossRef] [PubMed]
- R Core Team. R: A Language and Environment for Statistical Computing. 2023. Available online: https://www.R-project.org/ (accessed on 15 August 2025).
- Posit Team. RStudio: Integrated Development Environment for R. 2024. Available online: http://www.posit.co/ (accessed on 15 August 2025).
- Kuhn, M.; Wickham, H. Tidymodels: A Collection of Packages for Modeling and Machine Learning Using Tidyverse Principles. 2020. Available online: https://www.tidymodels.org (accessed on 15 August 2025).
- Liu, Q.; Wu, Y. Supervised learning. In Encyclopedia of the Sciences of Learning; Seel, N.M., Ed.; Springer: Boston, MA, USA, 2012; pp. 3243–3245. [Google Scholar] [CrossRef]
- Kuhn, M.; Johnson, K. Linear regression and its cousins. In Applied Predictive Modeling; Kuhn, M., Johnson, K., Eds.; Springer: New York, NY, USA, 2013; pp. 101–139. [Google Scholar] [CrossRef]
- Kuhn, M. Tune: Tidy Tuning Tools. 2024. Available online: https://CRAN.R-project.org/package=tune (accessed on 15 August 2025).
- Kuhn, M.; Johnson, K. Regression trees and rule-based models. In Applied Predictive Modeling; Kuhn, M., Johnson, K., Eds.; Springer: New York, NY, USA, 2013; pp. 173–220. [Google Scholar] [CrossRef]
- Rayn Growing Systems. RVS Analytics. 2024. Available online: https://github.com/rayngrowingsystems/RVS_Analytics (accessed on 15 August 2025).
- Gehan, M.A.; Fahlgren, N.; Abbasi, A.; Berry, J.C.; Callen, S.T.; Chavez, L.; Doust, A.N.; Feldmen, M.J.; Gilbet, K.B.; Hodge, J.G.; et al. PlantCV v2: Image analysis software for high-throughput plant phenotyping. PeerJ 2017, 5, e4088. [Google Scholar] [CrossRef] [PubMed]
- Carassay, L.R.; Bustos, D.A.; Golberg, A.D.; Taleisnik, E. Tipburn in salt-affected lettuce (Lactuca sativa L.) plants results from local oxidative stress. J. Plant Physiol. 2012, 169, 285–293. [Google Scholar] [CrossRef] [PubMed]
- Agathokleous, E.; Zhou, B.; Xu, J.; Ioannou, A.; Feng, Z.; Saitanis, C.J.; Frei, M.; Calabrese, E.J.; Fotopoulos, V. Exogenous application of melatonin to plants, algae, and harvested products to sustain agricultural productivity and enhance nutritional and nutraceutical value: A meta-analysis. Environ. Res. 2021, 200, 111746. [Google Scholar] [CrossRef]
- Golzarian, M.R.; Frick, R.A.; Rajendran, K.; Berger, B.; Roy, S.; Tester, M.; Lun, D.S. Accurate inference of shoot biomass from high-throughput images of cereal plants. Plant Methods 2011, 7, 2. [Google Scholar] [CrossRef]
- Wang, L.; Zhou, X.; Zhu, X.; Dong, Z.; Guo, W. Estimation of biomass in wheat using random forest regression algorithm and remote sensing data. Crop J. 2016, 4, 212–219. [Google Scholar] [CrossRef]
- Prabhakar, M.; Prasad, Y.G.; Rao, M.N. Remote sensing of biotic stress in crop plants and its applications for pest management. In Crop Stress and Its Management: Perspectives and Strategies; Venkateswarlu, B., Shanker, A.K., Shanker, C., Maheswari, M., Eds.; Springer: Dordrecht, The Netherlands, 2012; pp. 517–545. [Google Scholar] [CrossRef]
- Agarwal, A.; de Jesus Colwell, F.; Bello Rodriguez, J.; Sommer, S.; Correa Galvis, V.A.; Hill, T.; Boonham, N.; Prashar, A. Monitoring root rot in flat-leaf parsley via machine vision by unsupervised multivariate analysis of morphometric and spectral parameters. Eur. J. Plant Pathol. 2024, 169, 359–377. [Google Scholar] [CrossRef]
- Clevers, J.G.P.W.; Kooistra, L. Using hyperspectral remote sensing data for retrieving total canopy chlorophyll and nitrogen content. In Proceedings of the 2011 3rd Workshop on Hyperspectral Image and Signal Processing: Evolution in Remote Sensing (WHISPERS), Lisbon, Portugal, 6–9 June 2011; pp. 1–4. [Google Scholar] [CrossRef]
- Gitelson, A.A.; Gritz, Y.; Merzlyak, M.N. Relationships between leaf chlorophyll content and spectral reflectance and algorithms for non-destructive chlorophyll assessment in higher plant leaves. J. Plant Physiol. 2003, 160, 271–282. [Google Scholar] [CrossRef]
- Gamon, J.A.; Serrano, L.; Surfus, J.S. The photochemical reflectance index: An optical indicator of photosynthetic radiation use efficiency across species, functional types, and nutrient levels. Oecologia 1997, 112, 492–501. [Google Scholar] [CrossRef]
- Sukhova, E.; Sukhov, V. Connection of the photochemical reflectance index (PRI) with the photosystem II quantum yield and nonphotochemical quenching can be dependent on variations of photosynthetic parameters among investigated plants: A meta-analysis. Remote Sens. 2018, 10, 771. [Google Scholar] [CrossRef]
- Sukhov, V.; Sukhova, E.; Khlopkov, A.; Yudina, L.; Ryabkova, A.; Telnykh, A.; Sergeeva, E.; Vodeneev, V.; Turchin, I. Proximal imaging of changes in photochemical reflectance index in leaves based on using pulses of green-yellow light. Remote Sens. 2021, 13, 1762. [Google Scholar] [CrossRef]
- Moghimi, A.; Yang, C.; Miller, M.E.; Kianian, S.F.; Marchetto, P.M. A novel approach to assess salt stress tolerance in wheat using hyperspectral imaging. Front. Plant Sci. 2018, 9, 1182. [Google Scholar] [CrossRef]
- Lowe, A.; Harrison, N.; French, A.P. Hyperspectral image analysis techniques for the detection and classification of the early onset of plant disease and stress. Plant Methods 2017, 13, 80. [Google Scholar] [CrossRef]




















| Metric Type | Metric Name | Value (Epoch 200) |
|---|---|---|
| Detection (Bounding Box) | Precision (B) | 0.94986 |
| Recall (B) | 0.96333 | |
| mAP@0.50 (B) | 0.98172 | |
| mAP@0.50:0.95 (B) | 0.92504 | |
| Segmentation (Mask) | Precision (M) | 0.94986 |
| Recall (M) | 0.96333 | |
| mAP@0.50 (M) | 0.98172 | |
| mAP@0.50:0.95 (M) | 0.90361 | |
| Validation Losses | Box Loss | 0.26032 |
| Segmentation Loss | 0.44315 | |
| Classification Loss | 0.53345 | |
| Distribution Focal Loss (DFL) | 0.76496 |
| Extracted Features | Explanation | Type/Sensor |
|---|---|---|
| area | Area (pixels) enclosed by contour | Geometrical/RGB |
| perimeter | Length of the contour | Geometrical/RGB |
| diameter | Contour x-axis extent in pixels | Geometrical/RGB |
| extent | Contour y-axis extent in pixels | Geometrical/RGB |
| convex hull | Convex shape enclosing contour | Geometrical/RGB |
| compactness | Ratio of area to convex hull area | Geometrical/RGB |
| e_minoraxis | Shorter length of a fitted ellipse | Geometrical/RGB |
| e_majoraxis | Longer length of a fitted ellipse | Geometrical/RGB |
| e_eccentricity | Ratio of a fitted ellipse minor axis to its major axis | Geometrical/RGB |
| incident light | Area in cm2 multiplied by cumulative DLI | Environmental/Geometrical |
| Band Color | Half-Max Min Wavelength (nm) | Mean Peak Wavelength (nm) | Half-Max Max Wavelength (nm) |
|---|---|---|---|
| blue | 463 | 475 | 488 |
| cyan | 484 | 500 | 513 |
| green | 510 | 526 | 545 |
| amber | 594 | 603 | 609 |
| red | 624 | 637 | 648 |
| deep-red | 651 | 665 | 672 |
| far-red | 717 | 740 | 752 |
| NIR 850 nm | 827 | 850 | 862 |
| NIR 940 nm | 917 | 940 | 952 |
| Vegetation Indices | Index Theoretic Formula | MS Sensor Bands Alternatives (nm) * |
|---|---|---|
| Normalized Difference Vegetation Index (NDVI) | R850, R665 | |
| Green Normalized Difference Vegetation Index (GDVI) | R850, R526 | |
| Photochemical Reflectance Index (PRI) | R526, R595 | |
| Enhanced vegetation Index (EVI) | R850, R665, R475 | |
| Anthocyanin Reflectance Index (ARI) | R526, R665 | |
| Rededge Chlorophyll Index | R850, R665 | |
| Modified Chlorophyll Absorption Reflectance Index (MCARI) | R665, R740, R526 | |
| Plant Senescence Reflectance Index (PSRI) | R665, R500, R740 |
| Tray ID | Nutrient Concentration (mg·L−1) | ||||||||||
|---|---|---|---|---|---|---|---|---|---|---|---|
| NO3− | NH4+ | P | K | Ca | Mg | B | Cu | Fe | Mn | Zn | |
| T01 | 186 | 0.08 | 51 | 158 | 182 | 39 | 0.38 | 0.12 | 1.39 | 0.15 | 0.17 |
| T02 | 184 | 0.11 | 53 | 149 | 191 | 41 | 0.41 | 0.12 | 1.51 | 0.03 | 0.14 |
| T03 | 156 | 0.15 | 55 | 153 | 196 | 42 | 0.42 | 0.12 | 1.48 | 0.01 | 0.11 |
| T04 | 186 | 0.11 | 50 | 188 | 191 | 41 | 0.41 | 0.12 | 1.46 | 0.21 | 0.18 |
| T05 | 200 | 0.39 | 50 | 191 | 191 | 41 | 0.41 | 0.13 | 1.44 | 0.28 | 0.20 |
| T06 | 206 | 0.08 | 51 | 184 | 190 | 41 | 0.41 | 0.16 | 1.38 | 0.21 | 0.16 |
Disclaimer/Publisher’s Note: The statements, opinions and data contained in all publications are solely those of the individual author(s) and contributor(s) and not of MDPI and/or the editor(s). MDPI and/or the editor(s) disclaim responsibility for any injury to people or property resulting from any ideas, methods, instructions or products referred to in the content. |
© 2025 by the authors. Licensee MDPI, Basel, Switzerland. This article is an open access article distributed under the terms and conditions of the Creative Commons Attribution (CC BY) license (https://creativecommons.org/licenses/by/4.0/).
Share and Cite
Cardenas-Gallegos, J.; Severns, P.M.; Kutschera, A.; Ferrarezi, R.S. Assisted Lettuce Tipburn Monitoring in Greenhouses Using RGB and Multispectral Imaging. AgriEngineering 2025, 7, 328. https://doi.org/10.3390/agriengineering7100328
Cardenas-Gallegos J, Severns PM, Kutschera A, Ferrarezi RS. Assisted Lettuce Tipburn Monitoring in Greenhouses Using RGB and Multispectral Imaging. AgriEngineering. 2025; 7(10):328. https://doi.org/10.3390/agriengineering7100328
Chicago/Turabian StyleCardenas-Gallegos, Jonathan, Paul M. Severns, Alexander Kutschera, and Rhuanito Soranz Ferrarezi. 2025. "Assisted Lettuce Tipburn Monitoring in Greenhouses Using RGB and Multispectral Imaging" AgriEngineering 7, no. 10: 328. https://doi.org/10.3390/agriengineering7100328
APA StyleCardenas-Gallegos, J., Severns, P. M., Kutschera, A., & Ferrarezi, R. S. (2025). Assisted Lettuce Tipburn Monitoring in Greenhouses Using RGB and Multispectral Imaging. AgriEngineering, 7(10), 328. https://doi.org/10.3390/agriengineering7100328

