Next Article in Journal
Detection of P-Wave Arrival as a Structural Transition in Seismic Signals: An Approach Based on SVD Entropy
Next Article in Special Issue
Cost-Effective Planning of Station-Based Car-Sharing Systems: Increasing Efficiency While Emphasizing User Comfort
Previous Article in Journal
Mapping Urban Digital Twins Across Regions: An Exploratory Study of Maturity, Implementation Status, and Authority
Previous Article in Special Issue
Urban Freight in Casablanca: Congestion, Emissions, and Welfare Losses from Large-Scale Simulation-Based Dynamic Assignment
 
 
Font Type:
Arial Georgia Verdana
Font Size:
Aa Aa Aa
Line Spacing:
Column Width:
Background:
Article

Towards Supporting Real-Time Estimation of Vehicle Fuel Consumption and CO2 Emissions in Smart City Applications

1
College of Computing and Informatics, Saudi Electronic University, Riyadh 13316, Saudi Arabia
2
Department of Computer Science, Old Dominion University, Norfolk, VA 23529, USA
*
Authors to whom correspondence should be addressed.
Smart Cities 2026, 9(3), 50; https://doi.org/10.3390/smartcities9030050
Submission received: 10 January 2026 / Revised: 12 March 2026 / Accepted: 13 March 2026 / Published: 18 March 2026
(This article belongs to the Special Issue Cost-Effective Transportation Planning for Smart Cities)

Highlights

What are the main findings?
  • A simple physics-based model accurately estimates both instantaneous and aggregated fuel consumption using the suitable powertrain efficiency value.
  • The simple physics-based model can be effectively generalized to user-defined scenarios.
What are the implications of the main findings?
  • This study evaluates a computationally efficient, interpretable, and robust method for real-time emissions estimation.
  • The simple physics-based model is suitable for integration into smart city mobility platforms, traffic simulation tools, and decision-support systems.

Abstract

This paper evaluates a simplified physics-based energy demand model designed to estimate vehicle fuel consumption and CO2 emissions—a critical tool for sustainable transportation planning and smart city applications. Unlike data-driven regression models that lack generalizability for user-defined conditions or complex physics-based approaches that rely on extensive, often proprietary data, the simplified model is distinguished by its minimal parameter requirements, depending primarily on a single, overarching powertrain efficiency value. A key contribution is the comprehensive empirical evaluation of the simplified model against official Environmental Protection Agency (EPA) test data across multiple driving cycles and vehicle types, providing a rigorous validation previously absent in the literature. We identify optimal powertrain efficiency values that are directly derived from publicly available vehicle specifications, ensuring transparency and accessibility. Our findings demonstrate that this simple, physics-based model accurately estimates fuel consumption and CO2 emissions for standard EPA cycles and can be effectively generalized to user-defined scenarios. This establishes a computationally efficient, interpretable, and robust method for environmental impact assessment, policy evaluation, and real-time emissions estimation.

1. Introduction

Researchers studying the environmental impact of transportation planning often need to estimate instantaneous fuel consumption and carbon dioxide (CO2) emissions given the driving cycles (that is, the data points represent the speed of a driven vehicle over time for a typical driving pattern [1]) and the car specifications of interest. To accomplish this, several approaches may be considered.
One natural approach is to conduct real-world experiments to record measured fuel consumption and emissions using specialized equipment, such as in [2]. The collected data can then be used to develop statistical models (i.e., data-driven models), such as linear regression models, to estimate fuel consumption and emissions for user-defined driving cycles and car-specific characteristics. This approach is challenging to apply because real-world experiments are expensive to carry out and require specialized equipment to measure fuel consumption and emissions. Alternatively, researchers can use data-driven models developed from field data by applying them directly (with the required model calibrations), using simulation tools that embed them to predict fuel consumption and emissions in simulation environments, or utilizing machine learning (ML) techniques to predict fuel consumption [3]. This approach has its shortcomings: (1) choosing a suitable data-driven model can be challenging due to differences between the conditions under which the models were developed and the user-defined cycles that they are aiming to study; and (2) data-driven models derived from real-world experiments contain constant coefficients that may be difficult for users to understand [4].
In contrast, physics-based models [5,6] have been used to estimate fuel consumption and emissions. To predict the energy needed by a car to complete a given driving cycle, these models use speed profiles and car specifications as input parameters. This allows the model to be generalized to various driving patterns and car models. Moreover, physics-based models provide an intuitive way to understand the relationships between inputs and outputs, making the model understandable to researchers. However, the complexity of these models may vary depending on the input parameters. Considering more related inputs might increase the accuracy of the estimations, and vice versa. These types of models can be applied using specific software such as the Motor Vehicle Emission Simulator (MOVES) [7]. However, this software cannot be used to obtain real-time data during driving when needed, such as in fuel optimization algorithms. Therefore, researchers need a simple fuel consumption model that considers available data as parameters and produces accurate and interpretable results in real time.
One of the simplest physics-based models used to estimate fuel consumption is the energy demand model used in [5,6,8]. The energy demand model utilizes variable parameters that are determined by the speed profile and vehicle specifications. The EPA provides car test datasets that contain these specifications [9]. This, in turn, makes the car specifications that were used for official car tests available to be used in the model. Additionally, [6,10] determined the efficiency of a car to convert fuel to mechanical energy. This efficiency value can be used to estimate fuel consumption accurately if the correct powertrain efficiency is known. One of the advantages of this model is that it can capture instantaneous changes in fuel consumption based on the car dynamics, determined using the speed profile and the specifications of the car. The model relies on a minimal set of parameters, namely, the instantaneous speed, acceleration, and publicly available vehicle specifications, all of which can be readily obtained in real time using modern vehicle sensors and GPS technology. This makes the model directly applicable to real-time scenarios, such as fuel optimization algorithms and smart city applications, where instantaneous estimates are required and access to detailed proprietary data is limited. Although the energy demand model offers a simple way to estimate fuel consumption for any driving cycle using minimal parameters, there is currently a lack of studies that assess the quality of the estimates that it produces using publicly available data.
With this in mind, the first contribution of this work is the evaluation of fuel consumption and CO2 emission estimates produced by a simple energy demand model, as well as their comparison with official measurements published by the EPA using entirely publicly available data, which makes the validation comprehensive and reproducible. The second contribution is to demonstrate the ability of the energy demand model to be generalized across various driving cycles, including user-defined driving cycles, and across a wide range of car models. The third contribution is the evaluation of the optimal powertrain efficiency values for both city and highway driving cycles using publicly available EPA data. As a result, smart city researchers and practitioners can apply the model directly to environmental impact assessments in urban transportation planning and smart city applications, and they can easily interpret and explain its results.
The remainder of this paper is structured as follows: Section 2 provides a concise review of the relevant literature. Section 3 describes the methodology employed in this study. In Section 4, the results of the evaluation are presented. Additional implications are further discussed in Section 5. Finally, Section 6 offers concluding remarks and suggests potential areas for future research.

2. Related Work

Accurate estimation of fuel consumption and tailpipe gas emissions is a critical component of assessing the environmental impact of transportation systems and informing policymakers. Several models, ranging from physics-based approaches to advanced data-driven and ML algorithms, have been developed to address this challenge. These models can be categorized as follows:

2.1. Physics-Based and Empirical Models

Physics-based and empirical models are early and widely adopted approaches that often rely on empirical relationships or fundamental vehicle physics. Ref. [11] investigated the fuel consumption of passenger cars for their user-defined driving cycle, using a portable emissions measurement system (PEMS) to collect real-time data on driving parameters, fuel consumption rates, and emissions. They validated their results using the vehicle-specific power (VSP)-based model [7]. Their results showed that the model can predict fuel consumption to within 15% to 20% of the measured values. However, their model relies on the use of constant coefficients based on the specific data and conditions of the study. Applying them to different scenarios or vehicle models leads to less accurate fuel consumption estimates.
Similarly, Ref. [12] estimated the emissions of light-duty vehicles in Hyderabad, India, using the default emission rates from the MOVES model. This model incorporates parameters such as local meteorological conditions, vehicle age, and fuel data to determine base emission rates and deterioration factors for older vehicles. They used the VSP model in their emission rate calculations. VSP is one of the parameters used as an input in MOVES lookup tables. In order to obtain the corresponding rate for the VSP, MOVES lookup tables need to be accessed, which makes the application of this method to real-time applications awkward, if not impossible.
Further empirical assessments have compared different modeling paradigms. For example, Ref. [13] implemented an empirical assessment to compare two fuel consumption models: the powertrain-based model and the vehicle dynamics-based model. The powertrain-based model predicts fuel consumption based on the engine’s fuel injection rate, whereas the vehicle dynamics-based model (also referred to as the physics-based model) accounts for the mechanical work exerted on the vehicle. The constant coefficients of the models were determined during the calibration process, utilizing the measured data acquired from field tests.
Similarly, Ref. [8] utilized an energy demand model that considers engine-specific parameters and the average speed of the driving cycle. The results of their estimation were reasonably accurate compared to the fuel consumption data that they obtained from field test measurements. Engine-specific parameters determine powertrain loss and lead to an accurate estimate of fuel consumption. However, those parameters are not publicly available from official sources. Thus, it is challenging for policymakers and other stakeholders to adapt the model of [8] for their purposes.

2.2. Microscopic Models for Intelligent Transportation Systems (ITSs)

A distinct class of models has been developed specifically for microscopic analysis, often within the context of ITSs where instantaneous data is available. The Virginia Tech Microscopic (VT-Micro) model is a prominent example, used by several policymakers. The VT-Micro model was developed using data gathered at the Oak Ridge National Laboratory and the EPA, expressing fuel consumption and emission rates as functions of instantaneous vehicle speed and acceleration measurements. It relies on constant coefficients established by a regression model and applied to user-defined driving cycles.
Policymakers interested in studying the environmental impacts of ITSs have used the VT-Micro model [14,15]. This model was applied to user-defined driving cycles using constant coefficients established by the regression model.
Other models validated for ITS applications include the VT-CPFM-1 and VT-CPFM-2 models. Both models were validated in [16] using the available data provided by the EPA. Although validated, these models also present a challenge for broad adoption by policymakers due to their reliance on several parameters that may not be easily understood or accessed.
On the other hand, Ref. [17] conducted a comprehensive assessment of alternative low-degree polynomial models for estimating fuel consumption in ITS applications. The study evaluated both existing models from the literature and newly developed models using a sub-search regression guided by the Akaike information criterion. While the high-fidelity models evaluated in the study offer excellent accuracy for individual vehicles, their reliance on detailed, proprietary engine maps renders them impractical for fleet-wide policy analysis, where data availability is the primary constraint.

2.3. Data-Driven and Simulation-Based Approaches

More recent research has used real-world driving data and simulation environments. For example, Ref. [18] conducted a real-world experiment with four driving cycles to obtain vehicle fuel consumption and emissions data using a vehicle emission testing system. By analyzing the second-by-second data collected during the experiment, the authors developed a model to estimate taxi fuel consumption and emissions by reconstructing the driving trajectories using GPS data.
The increasing availability of large datasets has also led to the application of ML techniques. For instance, Ref. [19] used ML to model fuel consumption and emissions (CO2 and NO2) using real-world driving data for gasoline and diesel vehicles.
Simulation tools like Simulation of Urban MObility (SUMO) are also employed for fuel consumption estimation. Ref. [20] used the SUMO simulator to measure fuel consumption as part of the evaluation of their autonomous intersection management system. SUMO also uses a data-driven model with several constant coefficients that must be adjusted for use with different cars, indicating a persistent need for model calibration across various vehicle types.
In Europe, researchers widely use PTV-VISUM software that utilizes the COPERT method to estimate fuel consumption and other emissions [21]. COPERT [22] accurately represents the observed statistical relationship between average speed and fuel consumption for a specific vehicle group under defined conditions. However, the coefficients of the model need to be calibrated based on local measurement data. Furthermore, interdisciplinary researchers seeking to understand the fundamental drivers of fuel efficiency or to design interventions at the vehicle or driver behavior level might find these coefficients less intuitive and harder to explain in terms of basic physics.
Overall, policymakers utilize several approaches to estimate instantaneous fuel consumption and emissions. However, most of these models are either limited in their direct interoperability or require additional complex processes to calibrate the coefficients based on specific measurements and applications. A simple physics-based model with a suitable powertrain efficiency value is one of the simplest models that can be used by policymakers without additional complex processes. However, to the best of our knowledge, this model lacks a comprehensive evaluation using recent publicly available data provided by official agencies. Hence, this study offers such an evaluation to enable policymakers and interdisciplinary researchers to directly apply this model in their applications.

3. Methodology

The main goal of this section is to discuss the details of the methodology followed for conducting our study.

3.1. Instantaneous Energy Demand Model

The energy demand model is a simple physics-based model that calculates the amount of energy necessary to drive a vehicle from point to point throughout a driving cycle. The input consists of the speed profile and the vehicle specifications that influence the tractive force. The complexity of the energy demand model may change based on the number of input parameters. The selection of the energy demand model depends on the availability of data to input into the model. In this paper, the simple version of the energy demand model in [6] is used to estimate the instantaneous energy demand.
In the i-th second of the driving cycle, the instantaneous power P i (in Watts) required to overcome the mass forces and road load at each time step can be estimated based on the car’s dynamics as follows:
P i = m a i v i + f 0 v i + f 2 v i 3 , for a i 0 0 , for a i < 0
where m is the mass of the car in kilograms [kg], a i is the current acceleration of the car in the i-th second [m/sec2], and v i is the current speed [m/sec]. f 0 and f 2 are the rolling resistance and the aerodynamic drag, respectively, which are the forces that the car needs to overcome while moving [5]. Since the driving cycle data are sampled at a time step of Δ t = 1 second, the instantaneous energy demand E i in Joules is obtained by multiplying the instantaneous power P i by the time step Δ t = 1 s, such that E i = P i × Δ t . Based on that, the numerical values of the instantaneous power in Watts and the instantaneous energy demand in Joules are identical in this study, and E i is used throughout the remainder of this paper to denote the instantaneous energy demand in Joules.
In accordance with other researchers [5,6,8], it is assumed that the energy demand during deceleration is zero, since the engine does not provide power to the wheels while decelerating (i.e., negative acceleration). Similarly, the energy demand during idling (i.e., when speed is zero) is assumed to be zero, as the car shuts down the engine if it stops for more than a few seconds, following the stop–start mechanism [23]. It is also assumed that this model is applied to conventional vehicles, where the energy used to overcome the inertia of the vehicle while braking is lost as heat due to friction. The model does not account for road grade, as the EPA omits road grade in the dynamometer test, which is conducted under controlled flat surface conditions with zero road grade by design [24].
It follows that the total instantaneous energy demand, E i n s t , of the car in the interval [ 0 , T ] is calculated as follows:
E i n s t = i = 0 T E i
where T is the total number of time steps in the driving cycle of interest, and each time step corresponds to one second.

3.2. Estimating Fuel Consumption

The energy demand resulting from Equation (1) can be used to obtain the amount of fuel expended to satisfy that demand. However, this equation only estimates the energy demand required to overcome the road load and the mass forces (also called energy to the wheels), while a large amount of fuel is expended on the operation of the internal parts of the car (e.g., the powertrain).
The fuel energy expended can be calculated given η , which is the efficiency of the powertrain in converting fuel into mechanical energy to move the car. Once η is obtained, the fuel consumption can be estimated theoretically using a simple energy demand model, as follows [10]:
E F u e l = E i n s t η ,
where E F u e l is an estimate of the expended fuel energy in Joules.

3.3. Determining η —The Powertrain Efficiency

In his early work, the author of [6] used η = 0.17 , as this value was determined by dividing the energy demand by the fuel energy that was measured experimentally. Due to advances in the car industry, the efficiency of cars in converting fuel into mechanical energy has increased [10,25]. Therefore, an updated value for η is needed to estimate fuel consumption accurately. This value can be determined given the specifications of the car engine [5,8]. Although these specifications are not directly available to researchers in most cases, straightforward alternative approaches can be used to determine the value of η . In this study, the following approaches are used:
  • Constant Efficiency: The simplest way to obtain updated values for η is to use the constant values reported by the EPA in [26]. In this paper, the values [0.20, 0.16] are used for the urban driving cycle and [0.30, 0.25] for the highway cycle. It is worth mentioning that in many modern smart city and connected vehicle applications, the driving context can be reliably inferred in real time using available data such as GPS information, road classification, and instantaneous speed thresholds, which could be used to dynamically select the appropriate η value without manual intervention. Here, each pair represents the upper limit and the mean of the upper and lower limits of the percentage of total fuel energy delivered to the wheels.
  • Theoretical Benchmark Efficiency: Another approach is to estimate the powertrain efficiency, as described in [6,10]. This can be achieved by dividing the estimated energy demand by the measured fuel consumption. This value is chosen as a theoretical benchmark, assuming that the measured fuel consumption is known.
    Specifically, the theoretical instantaneous efficiency η i ¯ can be estimated from the instantaneous fuel consumption data provided by Argonne National Laboratory (ANL) [27] by employing the following equation [10]:
    η i ¯ = E i E F u e l i ,
    where E F u e l i is the instantaneous fuel energy expended. E F u e l i is obtained by converting the fuel consumption from gallons [gal] to Joules, where 1 gal of fuel releases 120,000,000 Joules of energy. It is worth mentioning here that this value uses the measured (actual) fuel consumption. Although the results will be accurate, they may not be reliable, given that the actual data is used in the estimation process. This value is assumed to be the actual efficiency of the car, and it corresponds to the best possible error if the fuel consumption were known perfectly.
  • Predicting the Instantaneous Efficiency: The value of η can be predicted given that the instantaneous fuel consumption and energy demand for some cars are available and can be accessed. To predict the value of η using instantaneous data, a linear regression model is designed in this work using instantaneous test data for the CAMRY XLE 2018 [27]. The model uses instantaneous speed and acceleration as predictors and produces instantaneous efficiency. These two parameters were chosen because they are the only available data for predicting the value for other cars. The linear regression model is defined by the following equation:
    η i = β 0 + β 1 · v i + β 2 · a i
    where η i is the predicted instantaneous efficiency at time i, v i and a i are the instantaneous speed and acceleration at time i, respectively, and β 0 , β 1 , and β 2 are the coefficients determined by the regression analysis. Data preprocessing is applied to eliminate idling and deceleration intervals prior to training. The linear regression model is designed assuming a linear relationship between the predictors and the instantaneous efficiency, which is calculated using Equation (1). The trained model is used on other cars to predict their instantaneous powertrain efficiency. It should be noted here that, as the model is trained on only one car’s data, it may not be sufficient to be applied to other cars.

3.4. Estimating CO2 Emissions

According to extended EPA testing [28], there is a strong correlation between fuel consumption and CO2 emissions. This allows for the estimation of CO2 emissions in grams per K J o u l e s given the fuel energy E F u e l , using the EPA-prescribed formula in [28], which calculates the CO2 emissions as follows:
CO 2 = E F u e l × Carbon Content × Oxidation Fraction × 44 12 ,
where the carbon content is 0.0196 grams/Kilojoule, the oxidation fraction is 0.99, and the value 44 12 is the molecular mass of CO2.
The estimated CO2 emissions are then compared with the emissions reported in [9] to evaluate how well the energy estimated by the energy demand model can be used to estimate these emissions. Furthermore, EPA CO2 emissions are calculated by inserting the fuel energy measured by the EPA ( E F u e l ) in Equation (6).

3.5. Data Collection and Preprocessing

The purpose of this subsection is to provide a detailed illustration of the data collection process used in our study. Figure 1 provides a summary of the data collection and the various processing steps involved.
The car specifications are first obtained from the EPA Test Car Data files [9]. The speed profiles of the selected driving cycles are obtained from the EPA Dynamometer Driving Schedule [29]. The measured fuel consumption for those driving cycles is obtained from EPA test car data and ANL data, which are then used to evaluate the estimates from the energy demand model.

3.5.1. Driving Cycles

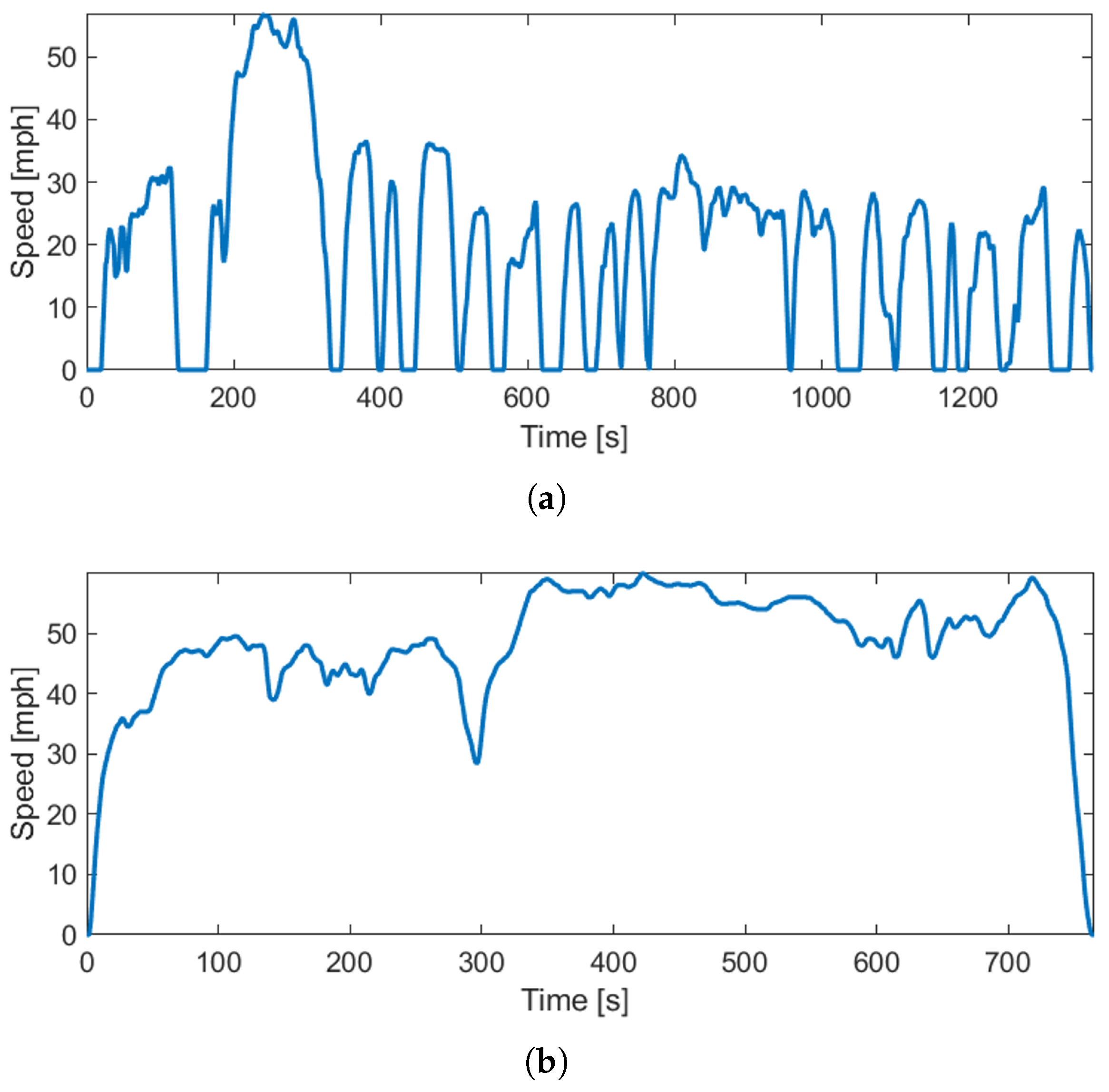
In this paper, the energy demand model is used to estimate instantaneous (i.e., second-by-second) fuel consumption. Therefore, instantaneous speed and acceleration data of the car are required to estimate its energy demand. The speed profile is obtained from EPA Dynamometer Driving Schedules [29]. These schedules contain the time steps in seconds and the speed of the car in miles per hour (mph) during the test, while the acceleration is derived from the recorded speed. To evaluate the energy demand model, two driving cycles were selected. The first driving cycle is the EPA Urban Dynamometer Driving Schedule (UDDS), which represents city driving conditions. The second cycle is the Highway Fuel Economy Driving Schedule (HWFET), which mimics highway driving conditions. The speed profile of the test car in both driving cycles is shown in Figure 2. Additional details about the selected driving cycles are shown in Table 1.
To extract the required data from the [9] files according to the selected driving cycles, the T e s t C a t e g o r y field values ‘FTP’ and ‘HWY’ were chosen for the UDDS and HWFET driving cycles, respectively.

3.5.2. Car Specifications

As the energy demand model requires the car specifications to estimate its energy demand, these specifications have to be obtained from a publicly available dataset. Specifically, ref. [9] provides data files that include test car specifications and the fuel consumed during laboratory tests for specific driving cycles. The data extracted for this paper is from the 2023 test car list data. The car specifications obtained from this file are the rolling resistance force f 0 (the unit used in this paper is Newtons [nt]), the aerodynamic drag force f 2 (the unit used in this paper is Newtons per mile per second squared [nt/mps2]), and the mass in kilograms [kg]. The required unit conversions were done to ensure compliance with the energy demand model in Equation (1). These specifications are the inputs to the energy demand model.
Initially, several cars were randomly selected for evaluation and verifying that the data used in the study was free of errors or missing entries. Table 2 shows the list of selected cars and their specifications that were input into the energy demand model. Additional information about the used fields are presented in Appendix A. To further evaluate the energy demand model on a larger set of cars with different specifications, all cars in the dataset will be included.

3.5.3. Measured Fuel Consumption and CO2 Emissions Data

The measured fuel and CO2 emissions were obtained from the instantaneous dataset and aggregated dataset provided by ANL and the EPA.
  • Instantaneous Measurement: The instantaneous test car dataset provided by ANL [27] was used to evaluate the accuracy of the energy demand model’s estimates. At the time of writing this paper, the latest available instantaneous sedan data from ANL is for the TOYOTA CAMRY XLE/XSE 2018 and HONDA ACCORD LX 2018. The obtained instantaneous fuel consumption is measured in gallons per second [gal/sec]. The dataset also includes the instantaneous CO2 emissions during the laboratory tests, measured in milligrams per second [mg/s]. Additional steps were taken for unit conversion. Additional preprocessing is required to synchronize the data provided. In the dataset, the data are sampled every 0.1 seconds, while the dynamometer test speed profile is sampled every second. Therefore, the measured data are downsampled by averaging the ten 0.1 s readings within each corresponding 1-second window of the speed profile entries. It should be noted that some residual time lag may still be present between the measured and estimated data due to well-known physical factors in vehicle emissions testing, such as exhaust gas transport delay through sampling lines and sensor response times [30], which are independent of the downsampling methodology.
  • Aggregated Measurement: For obtaining the measured fuel consumption during the laboratory test cycles, the EPA provides the aggregated fuel economy F E of existing cars in miles per gallon [mpg] in [9]. The EPA test car files specify the fuel type that was used in the test. Additional steps were taken to convert mpg to the total gallons spent during the driving cycle, as follows:
    F M e a s u r e d = 1 F E × d ,
    where d is the total distance (in miles) traveled during the driving cycle.
    The dataset also includes the aggregated CO2 emissions during the laboratory tests, measured in grams per mile [g/mi]. Again, additional steps were taken for unit conversion.

4. Results and Analysis

This section evaluates the accuracy of the proposed energy demand model in estimating fuel consumption and the corresponding CO2 emissions based on vehicle speed profiles for the selected driving cycles and vehicle specifications. The evaluation considers several values of the powertrain efficiency parameter η , described in Section 3.3, in order to assess how the choice of efficiency influences the accuracy of the estimates.

4.1. Overall Results

The performance of the energy demand model is analyzed under four different efficiency assumptions.
  • Constant Efficiency  η = 1 : This value is chosen assuming that all of the expended fuel is converted to mechanical energy to move the car through the driving cycle, and that the powertrain loss is zero. While unrealistic, this value was chosen to assess the amount of the estimated energy compared to the measured energy. This value produced large differences in most cases. This was expected because, as indicated by the EPA [26], a large amount of fuel is lost in the internal parts of the engine, and this loss is not considered in the energy demand model.
  • Constant Efficiency  η = [ 0.20 , 0.16 ] and η = [ 0.3 , 0.25 ] : These values are chosen to represent the percentage of fuel energy that is delivered to the wheels to move gasoline-fueled cars, as described in Section 3.3; [0.20, 0.16] is better aligned with the EPA measurements for city driving cycle, while [0.3,0.25] is better aligned with the highway driving cycle.
  • Theoretical Benchmark  η ¯ : The estimated values of η for individual cars, as described in Section 3.3, were used here to estimate fuel consumption. These values were used in the evaluation, assuming that the actual fuel consumption is known. The estimated values of η for the selected cars are shown in Table 3.
    It can be seen that these values are close to the values reported by the EPA [26] for city driving and highway driving. The results show that the lowest errors for fuel estimation resulted from using these values. However, these results are not reliable, because they rely on knowing the actual fuel consumption in advance. In a real-world application, the goal is to estimate fuel consumption when it is unknown. Therefore, while these results serve as a useful benchmark, they should not be considered a reliable method for practical prediction, as the model’s input (efficiency η ) is derived from its own target output (measured fuel consumption).
  • Predicted  η : Based on the designed linear regression model in Section 3.3, the mean of predicted values of η for the TOYOTA CAMRY XLE 2018 is 0.20609 for the UDDS driving cycle and 0.30613 for the HWFET driving cycle. These values are close to the values reported by the EPA [26]. These values produced a reasonably accurate instantaneous estimate for some cars, although they were obtained by training the model on the TOYOTA CAMRY XLE 2018. This indicates that the predicted instantaneous efficiency was able to estimate the fuel consumption and CO2 accurately. However, this approach requires training on several cars, as well as obtaining the instantaneous data, which are not always available.

4.2. Evaluation Metrics

The performance of the energy demand model is evaluated at two levels: instantaneous estimation and aggregated estimation.
Instantaneous evaluation assesses how well the model captures second-by-second variations in fuel consumption and CO2 emissions. For this purpose, the Root-Mean-Squared Error (RMSE) is used. Aggregated evaluation examines the accuracy of the total fuel consumption and CO2 emissions over an entire driving cycle. For this purpose, the Root Squared Error (RSE) is used.
The RMSE of fuel consumption is defined as follows:
R M S E F u e l = i = 1 N ( F i M e a s u r e d F i E s t i m a t e d ) 2 N ,
where F i M e a s u r e d and F i E s t i m a t e d are the measured and estimated fuel consumption in second i, respectively, and N is the total number of data samples. As we mentioned above, F i M e a s u r e d is obtained from the ANL dataset. For estimating the CO2 emissions, the instantaneous estimate is obtained using Equation (6) and is compared with the instantaneous measurements from ANL.
Similarly, the RMSE for CO2 emissions is computed as
R M S E CO 2 = i = 1 N ( CO 2 i M e a s u r e d CO 2 i E s t i m a t e d ) 2 N ,
where CO 2 i M e a s u r e d and CO 2 i E s t i m a t e d are the measured and estimated CO2 emissions in second i, respectively, and N is the total number of data samples.
For aggregated evaluation, the Root Squared Error (RSE) for fuel consumption is defined as
R S E F u e l = ( F m e a s u r e d F e s t i m a t e d ) 2 ,
where F m e a s u r e d and F e s t i m a t e d are the measured fuel consumption obtained from EPA data and the estimated fuel using the energy demand model, respectively.
The same formulation is applied to compute the aggregated CO2 estimation error:
R S E CO 2 = ( CO 2 m e a s u r e d CO 2 e s t i m a t e d ) 2 ,
where CO 2 m e a s u r e d and CO 2 e s t i m a t e d are the measured CO2 obtained from EPA data and the estimated CO2 using the energy demand model, respectively.

4.3. Estimating Fuel Consumption Using Instantaneous ANL Data

The model was first evaluated using instantaneous ANL test data for the TOYOTA CAMRY XLE 2018 and HONDA ACCORD LX 2018. The results show that the energy demand model successfully captures the dynamic variations in fuel consumption corresponding to changes in vehicle speed and acceleration. Figure 3 shows the instantaneous estimate for the TOYOTA CAMRY XLE using the chosen values of η . The figure shows that, in both driving cycles, the energy demand model was able to capture the changes in fuel consumption based on the changes in car dynamics, except during deceleration and idling, regardless of the used value of η .
Table 4 shows that the R M S E F u e l for both cars in UDDS is low when η = 1 , while it is high in HWFET. Selecting η = 0.20 outperformed η = 0.16 in correctly estimating instantaneous fuel consumption. The predicted instantaneous η i produced the lowest error, so it can be used to accurately estimate the fuel consumption.
Figure 4 shows the instantaneous CO2 emissions measured by ANL, along with our estimated results. The figure shows that the instantaneous CO2 emissions were captured quite accurately by using the estimated fuel energy.
The results shown in Table 5 confirm the accuracy of the energy demand model in estimating CO2 emissions, as the RMSE is very low. Unsurprisingly, when η = 1 , the error is high because the loss of the powertrain was not considered. However, the errors are reasonably low when using the constants η = 0.2 for the UDDS cycle and η = 0.25 , 0.3 for the HWFET cycle, with estimated and predicted efficiency values for each driving cycle.

4.4. Estimating Fuel Consumption and CO2 Using Aggregated EPA Data for Selected Cars

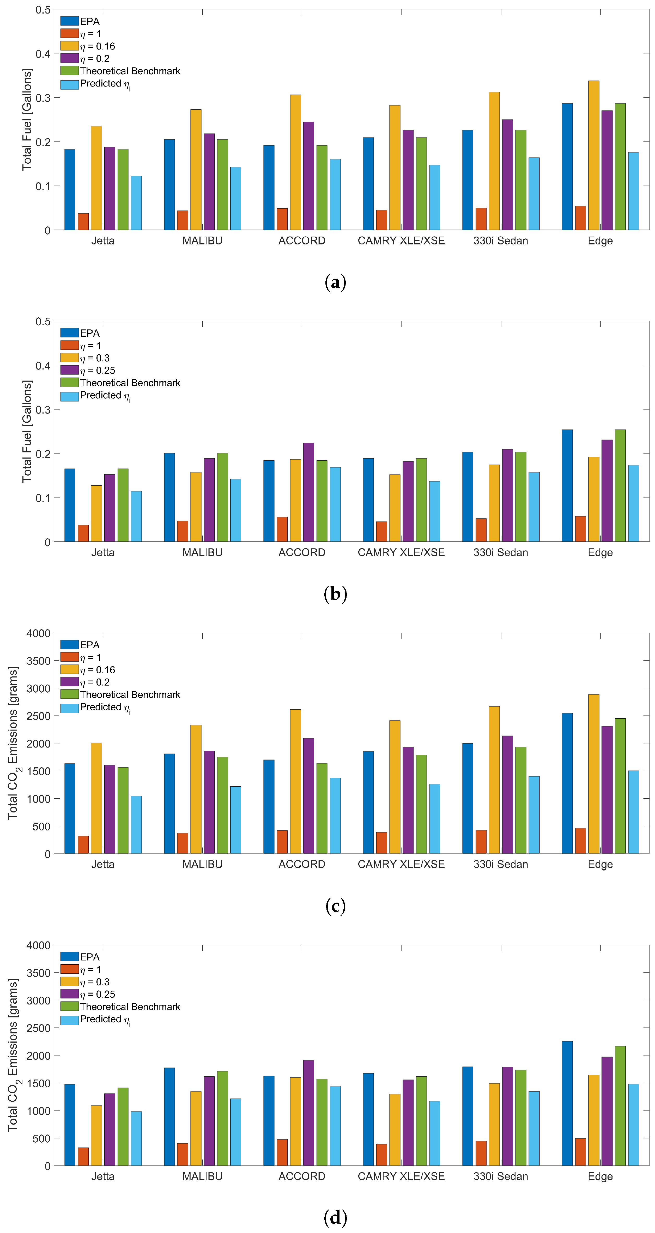
Figure 5a,b show the estimated total fuel consumed at the end of each driving cycle for the selected cars. Selecting η = 1 results in a very large difference compared to the EPA measurements. The figure illustrates the model’s ability to properly estimate the total instantaneous fuel when η = 0.2 for UDDS and η = 0.25 for HWFET compared to the EPA measurements. It can also be seen that selecting η = 0.16 and the predicted η i resulted in outliers in the estimation of fuel consumption compared to the EPA measurements in UDDS. The energy demand model is also able to capture the variety of car specifications as fuel consumption increases as the mass of the car increases.
For the estimate of CO2 shown in Figure 5c,d, as the CO2 emissions are highly correlated with the expended energy, the same effect of the choice of η on the accuracy of the estimate can be seen.
Furthermore, the effects of individual values of η are not generalized to all cars. For example, it can be seen from the UDDS data in the same figure that η = 0.2 produced an accurate estimate for most of the selected cars, except for the ACCORD.
Table 6 shows the R S E F u e l of each selected car based on each selected value of η . The mean of R S E F u e l for each car was also evaluated to assess the average accuracy. As can be seen from the table, the largest error was produced by not considering the powertrain loss—that is, when η = 1 . The theoretical benchmark η ¯ produced the lowest error, but this value cannot be used, as explained above. The constant values of η produced acceptable errors for all cars.
Table 7 shows the R M S E CO 2 of each selected car based on each selected value of η . The mean of R S E CO 2 per car was also calculated to measure the mean of errors per car. As can be seen in the table, the highest error was produced by not considering any powertrain loss—that is, when η = 1 . The theoretical benchmark η ¯ produced the lowest error across most of the cars, as it was used as a benchmark except for some cars in the UDDS driving cycle. The constant values of η produced acceptable errors across all cars. Although the predicted value of η produced a slightly larger error, the error was not significantly high compared to other values.

4.5. Estimating Fuel Consumption and CO2 Using Aggregated EPA Data for All Cars

To further evaluate the model, aggregated EPA fuel economy data were used and the energy demand model was applied to all cars listed in the dataset. The distribution of R S E F u e l based on each η value is shown in Figure 6.
The results indicate that η = 0.20 for UDDS and η = 0.25 for HWFET provide the best overall performance across the majority of vehicles. These values consistently produce lower estimation errors compared with other efficiency assumptions.
From the results, if the driving cycle is expected to have significant changes in speed, as in the UDDS driving cycle, then η = 0.16 or η = 0.2 could generate accurate estimates. On the other hand, if the speed changes are insignificant, as in the HWFET driving cycle, then η = 0.3 or η = 0.25 could generate accurate estimates. The low errors among all cars also indicate that the energy demand model can be applied using different car specifications as long as the correct efficiency of the car is properly selected.
Overall, the results demonstrate that the simple physics-based energy demand model can effectively estimate fuel consumption and CO2 emissions across a wide range of vehicles and driving conditions when appropriate efficiency values are used. The relatively small estimation errors suggest that the model can be generalized for estimating fuel consumption for arbitrary driving cycles using publicly available vehicle specifications.

4.6. Comparing the Energy Demand Model with the Engine-Specific Model

In this subsection, the estimation of fuel consumption using the energy demand model is compared with the fuel consumption estimated using known engine-specific efficiency in [8], which used the UN/ECE Extra-Urban Driving Cycle (EUDC) to evaluate their model. Since the EUDC does not include aggressive deceleration and idle periods, the average efficiency of the highway driving cycle in [10] for the year 2011 ( η = 0.17 ) is used in the energy demand model. The speed profile of the EUDC was obtained from [29]. The specifications for similar cars that were selected in [8] were obtained from [9] for the year 2011. The selected cars and their specifications are listed in Table 8 and compared to the specifications that were used in [8].
Figure 7 shows that choosing η = 0.27 to calculate fuel consumption in the EUDC cycle results in a close estimate when the model uses engine-specific efficiency. The results of both models are also compared with the EPA highway fuel consumption (the fuel consumption was adjusted to the distance traveled in the EUDC cycle). It can be seen here that the energy demand model with η = 0.27 produced a closer estimate to the EPA measurements than [8].

5. Discussion

The results demonstrate that the simple energy demand model accurately estimates fuel consumption and CO2 emissions for both city and highway driving cycles across a large and diverse fleet of vehicles using entirely publicly available data. This is a notable advantage over existing models in the literature, which rely on several coefficients and parameters that are not publicly available or easily interpreted by cross-disciplinary researchers and smart city practitioners. The employed optimal powertrain efficiency values—namely, η = 0.20 for the UDDS city driving cycle and η = 0.25 for the HWFET highway driving cycle—can be directly used by researchers to estimate fuel consumption and CO2 emissions for any user-defined driving cycle without requiring proprietary engine data or specialized simulation tools. Since the parameters required by the model can be readily obtained in real time using modern vehicle sensors and GPS technology, these values make the model directly applicable to real-time smart city applications.
It should be noted, however, that the model has several limitations that should be acknowledged. First, the assumption of zero energy demand during idling and deceleration, while consistent with the foundational literature, may not accurately represent vehicles without active stop–start systems. Second, the use of a constant powertrain efficiency value η is a simplification that may lead to an overestimate of fuel consumption in stop–start driving and congested traffic conditions, where the powertrain frequently operates at low speeds and low loads. Third, the omission of road grade in the model, while acceptable for the EPA dynamometer validation performed in this paper, may limit the model’s accuracy in real-world smart city applications where topography significantly influences fuel consumption and emissions. Finally, the current model focuses exclusively on conventional gasoline-powered vehicles and does not account for regenerative braking in hybrid and electric vehicles.

6. Conclusions

In this paper, an evaluation of the fuel consumption and CO2 emission estimates produced by the energy demand model, along with a comparison to official measurements published by the EPA, is provided. The ability of the energy demand model to be generalized to various driving cycles, including user-defined driving cycles and a variety of car models, is also demonstrated. In addition, this paper also provides a simple approach for smart city researchers and practitioners responsible for urban transportation environmental impact assessments to implement the model directly, given publicly available data and optimal powertrain efficiency values. The results show that the model can accurately estimate the fuel consumption and emissions, although the accuracy of the estimation varies slightly across different car models. The accuracy of estimations using the chosen powertrain efficiency is promising for use across a large class of user-defined driving cycles.
In spite of these encouraging results, additional investigations are required to address these limitations and extend the model to a broader range of real-world applications. Future work could investigate incorporating idling fuel consumption rates for vehicles without active stop–start systems, extending the model to account for regenerative braking in hybrid and electric vehicles, incorporating road grade data from modern GPS and digital elevation datasets, and developing dynamic selection methods for the optimal powertrain efficiency based on real-time speed thresholds and GPS road classification data. These extensions would significantly improve the model’s applicability across different vehicle types and real-world driving conditions, making it a more robust tool for environmental impact assessment in smart city applications.

Author Contributions

Conceptualization, S.O.; methodology, S.O.; software, A.A.; validation, A.A. and S.O.; formal analysis, A.A. and S.O.; investigation, S.O. and A.A.; resources, A.A.; data curation, A.A.; writing—original draft preparation, S.O. and A.A.; writing—review and editing, S.O.; visualization, A.A.; supervision, S.O. All authors have read and agreed to the published version of the manuscript.

Funding

This research received no external funding.

Data Availability Statement

The original contributions presented in this study are included in the article. Further inquiries can be directed to the corresponding authors.

Acknowledgments

During the preparation of this manuscript, the authors used ChatGPT-5.2 and QuillBot in text editing for purposes of summarizing the abstract, restructuring some of the manuscript sections, and proofreading. The authors have reviewed and edited the output and take full responsibility for the content of this publication.

Conflicts of Interest

The authors declare no conflicts of interest.

Appendix A

Specific fields from EPA test car data were used in this paper [9]. For additional clarification, Table A1 has a list of these fields and their usage in this paper. It should be noted here that, to the best of our knowledge, there is only one file that contains the metadata for the test car files [31]. Moreover, this file does not contain metadata for all of the fields, so interpretation with a personal effort was performed to map the fields to the required data.
Table A1. List of used fields from EPA test car aggregated data and their usage in this paper.
Table A1. List of used fields from EPA test car aggregated data and their usage in this paper.
EPA Test Car DataUsage in This Paper
Description Field Name Unit Parameter Name Unit
Rolling Resistance Drag ForceTargetCoefAlbflbf f 0 Newton [nt]
Aerodynamic Drag ForceTargetCoefClbfmph2lbf/mph2 f 2 nt/mps2
Car MassEquivalentTestWeightlbslbs m a s s killograms [kg]
Fuel EconomyRND_ADJ_FEmiles per gallon [mpg] F E mpg
CO2 EmissionCO2gmigram per mile [g/mile] CO 2 M e a s u r e d g/mile

References

  1. Achour, H.; Olabi, A.G. Driving cycle developments and their impacts on energy consumption of transportation. J. Clean. Prod. 2016, 112, 1778–1788. [Google Scholar] [CrossRef]
  2. Kabir, R.; Remias, S.M.; Waddell, J.; Zhu, D. Time-Series fuel consumption prediction assessing delay impacts on energy using vehicular trajectory. Transp. Res. Part D Transp. Environ. 2023, 117, 103678. [Google Scholar] [CrossRef]
  3. Zahid, S.; Jamil, U. Data-driven machine learning techniques for fuel economy prediction in sustainable transportation systems. Green Energy Intell. Transp. 2025, 5, 100303. [Google Scholar] [CrossRef]
  4. Zhou, M.; Jin, H.; Wang, W. A review of vehicle fuel consumption models to evaluate eco-driving and eco-routing. Transp. Res. Part D Trans. Environ. 2016, 49, 203–218. [Google Scholar] [CrossRef]
  5. Guzzella, L.; Sciarretta, A. Vehicle Propulsion Systems; Springer: Berlin/Heidelberg, Germany, 2007; Volume 1. [Google Scholar]
  6. Jones, R. Quantitative Effects of Acceleration Rate on Fuel Consumption; Technical Report EPA-AA-SDSB-80-06; Environmental Protection Agency: Ann Arbor, MI, USA, 1980. [Google Scholar]
  7. U.S. Environmental Protection Agency. MOtor Vehicle Emission Simulator (MOVES). Available online: https://www.epa.gov/moves (accessed on 3 December 2025).
  8. Chaim, M.; Shmerling, E. A model for vehicle fuel consumption estimation at urban operating conditions. Int. J. Mech. 2013, 7, 18–23. [Google Scholar]
  9. EPA. Data for Cars Used in Testing Fuel Economy. 2023. Available online: https://www.epa.gov/compliance-and-fuel-economy-data/data-cars-used-testing-fuel-economy (accessed on 20 November 2025).
  10. Thomas, J. Drive cycle powertrain efficiencies and trends derived from EPA vehicle dynamometer results. SAE Int. J. Passeng.-Cars-Mech. Syst. 2014, 7, 1374–1384. [Google Scholar] [CrossRef]
  11. Wang, H.; Fu, L.; Zhou, Y.; Li, H. Modelling of the fuel consumption for passenger cars regarding driving characteristics. Transp. Res. Part D Trans. Environ. 2008, 13, 479–482. [Google Scholar]
  12. Perugu, H. Emission modelling of light-duty vehicles in India using the revamped VSP-based MOVES model: The case study of Hyderabad. Transp. Res. Part D Transp. Environ. 2019, 68, 150–163. [Google Scholar] [CrossRef]
  13. Shaw, S.; Hou, Y.; Zhong, W.; Sun, Q.; Guan, T.; Su, L. Instantaneous fuel consumption estimation using smartphones. In Proceedings of the 2019 IEEE 90th Vehicular Technology Conference (VTC2019-Fall), Honolulu, HI, USA, 22–25 September 2019; pp. 1–6. [Google Scholar] [CrossRef]
  14. Alsabaan, M.; Naik, K.; Khalifa, T. Optimization of Fuel Cost and Emissions Using V2V Communications. IEEE Trans. Intell. Transp. Syst. 2013, 14, 1449–1461. [Google Scholar] [CrossRef]
  15. Lu, Y.; Xu, X.; Ding, C.; Lu, G. A Speed Control Method at Successive Signalized Intersections Under Connected Vehicles Environment. IEEE Intell. Transp. Syst. Mag. 2019, 11, 117–128. [Google Scholar] [CrossRef]
  16. Rakha, H.A.; Ahn, K.; Moran, K.; Saerens, B.; den Bulck, E.V. Virginia Tech Comprehensive Power-Based Fuel Consumption Model: Model development and testing. Transp. Res. Part D Transp. Environ. 2011, 16, 492–503. [Google Scholar] [CrossRef]
  17. Saerens, B.; Rakha, H.; Ahn, K.; Van Den Bulck, E. Assessment of alternative polynomial fuel consumption models for use in intelligent transportation systems applications. J. Intell. Transp. Syst. 2013, 17, 294–303. [Google Scholar] [CrossRef]
  18. Weng, J.; Liang, Q.; Qiao, G.; Chen, Z.; Rong, J. Taxi fuel consumption and emissions estimation model based on the reconstruction of driving trajectory. Adv. Mech. Eng. 2017, 9, 1–12. [Google Scholar] [CrossRef]
  19. Alazemi, F.; Alazmi, A.; Alrumaidhi, M.; Molden, N. Predicting fuel consumption and emissions using GPS-based machine learning models for gasoline and diesel vehicles. Sustainability 2025, 17, 2395. [Google Scholar] [CrossRef]
  20. Wang, M.I.C.; Wen, C.H.P.; Chao, H.J. Roadrunner+: An Autonomous Intersection Management Cooperating with Connected Autonomous Vehicles and Pedestrians with Spillback Considered. ACM Trans. Cyber-Phys. Syst. 2021, 6, 1–29. [Google Scholar] [CrossRef]
  21. Gosztola, A.; Verebélyi, B.; Horváth, B. Traffic Modelling and Emission Calculation: Integration of the COPERT Method into the PTV-VISUM Software. Appl. Sci. 2026, 16, 567. [Google Scholar] [CrossRef]
  22. Ali, M.; Kamal, M.D.; Tahir, A.; Atif, S. Fuel consumption monitoring through COPERT model—A case study for urban sustainability. Sustainability 2021, 13, 11614. [Google Scholar] [CrossRef]
  23. Huff, S.; Davis, S.; Boundy, R.; Gibson, R. Auto Stop-Start Fuel Consumption Benefits. In SAE Technical Paper 2023-01-0346; SAE International: Warrendale, PA, USA, 2023; p. 0346. [Google Scholar] [CrossRef]
  24. U.S. Environmental Protection Agency. Dynamometers. 40 Code of Federal Regulations §1066.210, Current Edition. Available online: https://www.ecfr.gov/current/title-40/chapter-I/subchapter-U/part-1066/subpart-C/section-1066.210 (accessed on 12 March 2026).
  25. Patankar, N.A.; Lin, J.; Patankar, T.N. Mileage efficiency of cars. Clean. Eng. Technol. 2021, 4, 100240. [Google Scholar] [CrossRef]
  26. U.S. Department of Energy; U.S. Environmental Protection Agency. Where the Energy Goes: Gasoline Vehicles. Available online: https://www.fueleconomy.gov/feg/atv.shtml (accessed on 12 November 2025).
  27. Argonne National Lab. Conventional Vehicle Testing. 2023. Available online: https://www.anl.gov/taps/conventional-vehicle-testing (accessed on 3 January 2026).
  28. U.S. Environmental Protection Agency. MOVES2004 Energy and Emission Inputs. Office of Transportation and Air Quality. 2005. Available online: https://nepis.epa.gov/Exe/ZyPURL.cgi?Dockey=P1001DAQ.txt (accessed on 13 November 2025).
  29. EPA. Dynamometer Drive Schedules. 2023. Available online: https://www.epa.gov/vehicle-and-fuel-emissions-testing/dynamometer-drive-schedules (accessed on 2 January 2026).
  30. Stutenberg, K.; Lohse-Busch, H.; Duoba, M.; Iliev, S.; Jehlik, F.; Di Russo, M. An Overview of Argonne’s Advanced Mobility Technology Laboratory Vehicle Systems Instrumentation and Evaluation Methodology; Technical Report; Argonne National Laboratory (ANL): Argonne, IL, USA, 2021. [Google Scholar] [CrossRef]
  31. EPA. EPA Test Car List Definitions. 2016. Available online: https://www.epa.gov/sites/default/files/2016-07/documents/test-car-list-definitions.pdf (accessed on 10 November 2025).
Figure 1. An illustration of the methodology used to obtain the required data for the estimation and evaluation processes.
Figure 1. An illustration of the methodology used to obtain the required data for the estimation and evaluation processes.
Smartcities 09 00050 g001
Figure 2. Speed profiles for the driving cycles used in this paper: (a) UDDS cycle; (b) HWFET cycle.
Figure 2. Speed profiles for the driving cycles used in this paper: (a) UDDS cycle; (b) HWFET cycle.
Smartcities 09 00050 g002
Figure 3. Instantaneous fuel consumption for CAMRY XLE/XSE estimated using several values of η : (a) UDDS cycle; (b) HWFET cycle. Note: Theoretical Benchmark corresponds to the best possible error if the fuel consumption were known perfectly.
Figure 3. Instantaneous fuel consumption for CAMRY XLE/XSE estimated using several values of η : (a) UDDS cycle; (b) HWFET cycle. Note: Theoretical Benchmark corresponds to the best possible error if the fuel consumption were known perfectly.
Smartcities 09 00050 g003
Figure 4. Instantaneous CO2 emissions for TOYOTA CAMRY XLE/XSE estimated using several values for η : (a) UDDS cycle; (b) HWFET cycle. Note: η ¯ corresponds to the best possible error if the fuel consumption were known perfectly.
Figure 4. Instantaneous CO2 emissions for TOYOTA CAMRY XLE/XSE estimated using several values for η : (a) UDDS cycle; (b) HWFET cycle. Note: η ¯ corresponds to the best possible error if the fuel consumption were known perfectly.
Smartcities 09 00050 g004
Figure 5. Total fuel consumption and CO2 emissions for selected cars using several values for η : (a) UDDS cycle; (b) HWFET cycle; (c) UDDS cycle; (d) HWFET cycle.
Figure 5. Total fuel consumption and CO2 emissions for selected cars using several values for η : (a) UDDS cycle; (b) HWFET cycle; (c) UDDS cycle; (d) HWFET cycle.
Smartcities 09 00050 g005
Figure 6. R S E F u e l and R S E CO 2 for all cars under various values of η : (a) UDDS cycle; (b) HWFET cycle; (c) UDDS cycle; (d) HWFET cycle.
Figure 6. R S E F u e l and R S E CO 2 for all cars under various values of η : (a) UDDS cycle; (b) HWFET cycle; (c) UDDS cycle; (d) HWFET cycle.
Smartcities 09 00050 g006
Figure 7. Results of applying the energy demand model to the EUDC driving cycle compared with the engine-specific model used in [8].
Figure 7. Results of applying the energy demand model to the EUDC driving cycle compared with the engine-specific model used in [8].
Smartcities 09 00050 g007
Table 1. Driving cycle details.
Table 1. Driving cycle details.
CycleTypeAverage SpeedDistanceDuration
UDDSCity19.59 mph7.45 miles1369 s
HWFETHighway48.3 mph10.26 miles765 s
Table 2. Car specifications as obtained from EPA test car data (with unit conversion).
Table 2. Car specifications as obtained from EPA test car data (with unit conversion).
Car ModelTypeMass [kg] f 0 [nt] f 2 [nt/mps2]
Volkswagen JettaCar1473.92391.90.37
CHEVROLET MALIBUCar1587.302135.50.46
HONDA ACCORDCar1643.991188.20.55
TOYOTA CAMRY XLE/XSECar1700.68144.70.38
BMW 330i SedanCar1757.37198.40.42
Ford EdgeTruck2040.816142.20.59
Table 3. η ¯ for the selected cars.
Table 3. η ¯ for the selected cars.
VolkswagenCHEVROLETHONDATOYOTABMW SedanFord
Jetta MALIBU ACCORD CAMRY XLE/XSE 330i Sedan Edge
UDDS η ¯ 0.20560.212610.255740.215990.2207500.18871
HWFET η ¯ 0.230790.23570.304570.240990.257630.22747
Table 4. Revised R M S E F u e l [gal/sec] for the selected cars. Note: η ¯ corresponds to the best possible error if the fuel consumption were known perfectly.
Table 4. Revised R M S E F u e l [gal/sec] for the selected cars. Note: η ¯ corresponds to the best possible error if the fuel consumption were known perfectly.
UDDS CycleHWFET Cycle
Car Model η = 1 η = 0.16 η = 0.20 η ¯ i Predicted η i η = 1 η = 0.30 η = 0.25 η ¯ i Predicted η i
HONDA ACCORD0.00015320.00018050.00012440.00006160.00008910.00019990.00011160.00012630.00010490.0001113
TOYOTA CAMRY XLE/XSE0.00014910.00020670.00014210.00006160.00009540.00019520.00011480.00013890.00010290.0001136
Table 5. Revised R M S E CO 2 in [grams/sec] for the selected cars. Note: η ¯ corresponds to the best possible error if the fuel consumption were known perfectly.
Table 5. Revised R M S E CO 2 in [grams/sec] for the selected cars. Note: η ¯ corresponds to the best possible error if the fuel consumption were known perfectly.
UDDS CycleHWFET Cycle
Car Model η = 1 η = 0.16 η = 0.20 η ¯ i Predicted η i η = 1 η = 0.30 η = 0.25 η ¯ i Predicted η i
HONDA ACCORD1.2201.5831.0820.5180.7391.8060.9941.0800.9400.99
TOYOTA CAMRY XLE/XSE1.3031.7421.1960.5320.8111.7090.9881.1770.8940.980
Table 6. R S E F u e l [gal/mile] of the selected cars. Note: η ¯ corresponds to the best possible error if the fuel consumption were known perfectly.
Table 6. R S E F u e l [gal/mile] of the selected cars. Note: η ¯ corresponds to the best possible error if the fuel consumption were known perfectly.
UDDS CycleHWFET Cycle
Car Model η = 1 η = 0.16 η = 0.20 η ¯ Predicted η i η = 1 η = 0.3 η = 0.25 η ¯ Predicted η i
Volkswagen Jetta0.0141910.0050480.0004680.0000310.0059540.0124320.0037490.0012680.0000280.004980
CHEVROLET MALIBU0.0157710.0065360.0012250.0000350.0061550.0149630.0042210.0011520.0000340.005717
HONDA ACCORD0.0139130.0111260.0051640.0000330.0030400.0124930.0002420.0038800.0000320.001503
TOYOTA CAMRY XLE/XSE0.0160120.0070950.0015940.0000360.0060480.0140100.0036550.0006970.0000320.005111
BMW 330i Sedan0.0172210.0083340.0022490.0000390.0061190.0147370.0028320.0005700.0000350.004481
Ford Edge0.0226860.0049570.0016250.0000490.0108250.0191300.0060170.0022700.0000440.007857
Mean R S E F u e l 0.0166320.0071830.0020540.0000370.0063570.0146280.0034530.0016390.0000340.004941
Table 7. R S E CO 2 [grams/mile] of the selected cars. Note: η ¯ corresponds to the best possible error if the fuel consumption were known perfectly.
Table 7. R S E CO 2 [grams/mile] of the selected cars. Note: η ¯ corresponds to the best possible error if the fuel consumption were known perfectly.
UDDS CycleHWFET Cycle
Car Model η = 1 η = 0.2 η = 0.16 η ¯ Predicted η i η = 1 η = 0.3 B = 0.25 η ¯ Predicted η i
Volkswagen Jetta175.8750.563.359.2378.92112.1737.8916.676.0748.42
CHEVROLET MALIBU192.7969.747.237.6079.62133.8341.9415.686.1354.73
HONDA ACCORD171.76122.9252.768.4143.79112.093.1627.975.4918.08
TOYOTA CAMRY XLE/XSE196.4275.5410.788.3979.15125.5436.9611.655.9749.42
BMW 330i Sedan210.7290.0418.438.5080.05131.3529.520.435.6043.63
Ford Edge280.0345.2932.1713.62140.44171.9359.7627.728.6775.50
Mean R S E CO 2 204.6075.6820.799.2983.66131.1534.8716.696.3248.30
Table 8. Comparisons of car specifications used in this study and in [8].
Table 8. Comparisons of car specifications used in this study and in [8].
Horse Power [kW]Mass [kg]
Car Model EPA Ben EPA Ben
YARIS79.073.11190.51005.0
GENESIS COUPE156.6157.31700.71570.0
CAMRY199.9196.91757.41570.0
Disclaimer/Publisher’s Note: The statements, opinions and data contained in all publications are solely those of the individual author(s) and contributor(s) and not of MDPI and/or the editor(s). MDPI and/or the editor(s) disclaim responsibility for any injury to people or property resulting from any ideas, methods, instructions or products referred to in the content.

Share and Cite

MDPI and ACS Style

Alali, A.; Olariu, S. Towards Supporting Real-Time Estimation of Vehicle Fuel Consumption and CO2 Emissions in Smart City Applications. Smart Cities 2026, 9, 50. https://doi.org/10.3390/smartcities9030050

AMA Style

Alali A, Olariu S. Towards Supporting Real-Time Estimation of Vehicle Fuel Consumption and CO2 Emissions in Smart City Applications. Smart Cities. 2026; 9(3):50. https://doi.org/10.3390/smartcities9030050

Chicago/Turabian Style

Alali, Abrar, and Stephan Olariu. 2026. "Towards Supporting Real-Time Estimation of Vehicle Fuel Consumption and CO2 Emissions in Smart City Applications" Smart Cities 9, no. 3: 50. https://doi.org/10.3390/smartcities9030050

APA Style

Alali, A., & Olariu, S. (2026). Towards Supporting Real-Time Estimation of Vehicle Fuel Consumption and CO2 Emissions in Smart City Applications. Smart Cities, 9(3), 50. https://doi.org/10.3390/smartcities9030050

Article Metrics

Back to TopTop