Stochastic Scheduling of Grid-Connected Smart Energy Hubs Participating in the Day-Ahead Energy, Reactive Power and Reserve Markets
Abstract
Highlights
- The presented smart energy hub (EH) operation enhances the economic and flexibility status of EHs while improving energy network performance.
- Utilization of the bi-level optimization is able to improve energy losses, voltage and temperature drops significantly.
- The integration of energy hubs with flexible operation models enhances the economic and operational performance of energy networks, making them more resilient and efficient.
- The proposed scheme can be a valuable tool for energy market participants, providing a strategic advantage in maximizing profits while maintaining optimal grid performance under uncertainty.
Abstract
1. Introduction
1.1. Motivation
1.2. Literature Review
1.3. Research Gaps
- EHs are typically operated on a cost-based model in most studies. However, EHs are able to transfer power and store energy [1]. Therefore, they are expected to be able to extract favorable financial benefits from energy and ancillary services markets (such as active and reactive power) for resources, responsive loads, and storage. In some research, EHs have been analyzed according to their operation model in proportion to the energy market; however, their participation in ancillary services has been less discussed [7,12,15].
- Market participation and energy management of grid-connected smart EHs are types of operational issues. The operation step for this issue is generally under an hour [9,15]. Thus, to solve the problem, a short computational time is particularly important [15]. This is accomplished in cases of low-volume data and simple formulation of the problem. In addition, the aforementioned problem has a high number of uncertainty parameters, including loads, energy prices, EVs, and renewable power. In some research, such as [7,11,13,15], the SBSO method has been considered for modeling. As a result of these uncertainties, a large number of scenarios must be considered. Nevertheless, the volume of the problem data and the computational time increase. Some studies have used robust optimization for uncertainty modeling to solve this issue [6,8,9,10,14], which includes only one scenario. However, calculating some indices, such as flexibility, requires examining different states related to uncertainty parameters, like renewable power. This is not achieved through robust optimization. To overcome this research gap, using stochastic optimization based on methods with a minimum number of scenarios such as unscented transformation (UT) is necessary, which has been less discussed in the literature.
- An EH is less flexible due to the presence of RESs and CHP [3,4]. To compensate, most research discusses flexible resource utilization, including responsive loads and storage [6,7,8,9,10,11,12,13,14,15]. However, the improvement of an EH’s flexibility depends on its optimal energy management by considering the number of flexible indices. This issue can be established only by considering a flexible model with respect to the grid-connected smart EH energy management issue, which has been discussed less in the literature, such as [16].
1.4. Contributions
- The operation of grid-connected EHs in energy networks, considering their simultaneous participation in reserve, reactive, and energy markets in order to improve the economic status of hubs and the operational status of the network simultaneously.
- Providing flexible constraint formulation in the proposed scheme in order to access an EH with high flexibility with respect to the uncertainties of renewable resources.
- Utilizing the UT technique to simultaneously carry out uncertainty modeling of the energy price, EV’ aggregation parameters, loads, and renewable power to reduce the volume of problem data and increase problem convergence rates under the goals of the operators.
1.5. Paper Organization
2. Energy Network Operation Considering EHs Participating in the Markets
2.1. Proposed Scheme Formulation
- (A)
- Upper level problem
- -
- Objective function: The objective function in Equation (1) is equal to minimizing expected energy losses (EELs) in three networks: electrical (first part), thermal (second part), and gas (third part). Hence, the difference between the produced energy (by distribution substation and EH) and the consumed energy due to passive loads of the network is considered an energy loss in a network [4]. However, in modeling the problem, it is assumed that EHs are producers. In this case, if the gas, thermal, reactive, and active power have a positive (negative) value, then it will be a producer (consumer). In this equation, PES, HHS, and GGS are the active power of the electrical station, thermal power of the heat post, and gas power of the gas station, respectively. PED, HHD, and GGD are the active, thermal, and gas load, respectively. PEH, HEH, and GEH are the active, thermal, and gas power of the i-th EH in hour t and scenario w.
- -
- Model of energy networks: A linearized optimal power flow equation in an electrical, gas, or thermal network is the basis of Equations (2)–(21). Constraints (2)–(5) represent linearized equations of power flow in electrical networks, which describe the balance of active and reactive power in electrical buses [20,21,22,23,24] and active and reactive power flows in electrical distribution lines, respectively [5,25]. Thermal network power flow Equations (6) and (7) represent the balance of thermal power in the thermal node and also the thermal power flow through the thermal pipe, respectively [1,2]. Relations (8)–(12) also represent the linearized power flow constraints of the gas networks [2,3,4,5,6,7,8,9,10,11,12,13,14,15]. Constraint (8) refers to the balance of the gas power in gas nodes. Constraints (9)–(12) represent the linearized power flow model through the gas pipe [15]. Electrical, thermal, and gas network operation constraints are expressed in (13)–(15) [25,26], (16)–(18) [1,2], and (19)–(21) [14,15], respectively. These constraints for the electrical networks (thermal/gas) refer to the voltage deviation limitation (temperature/pressure) and apparent power (thermal/gas) flow through the line and substation, respectively.
- (B)
- Lower level problem
- -
- Objective function: The objective function in relation (26) maximizes the expected profit of EHs in the energy market (the first line of the relation), reactive power market (the second line of the relation), and reserve power market (the third line of the relation). There are reserve and energy markets for three sections, including electricity, thermal, and gas. The positive sign (or negative sign) of power in each equation section represents the profit (or cost) in that section. In other words, relationship (26) simultaneously calculates the profit or cost of hubs in different markets. In this regard, the reserve and reactive power variables of hubs are positive. Therefore, the relationship (26) in the market of reactive power and reservation for hubs is profitable. In the energy market, if the active power of hubs is positive, that profit is obtained for the hubs in this market. But if the active power of hubs is negative, the hubs have a cost in the energy market. Therefore, if Profit had a positive value, then hubs have profits in all markets. Otherwise, they have a cost.
- -
- Power balance model of EHs: Relations (27)–(30) represent the power balances of active power, reactive power, thermal, and gas in an EH. CHP, RESs, storage, and responsive loads can control EH active power based on (23). CHP, RESs, and EES play a role in reactive control. CHP, boiler, and responsive loads are used for reactive power control in an EH. In gas power control, the boiler and CHP play a role in gas energy consumption; however, the responsive load can act in production/consumption mode.
- -
- -
- Boiler model: The boiler operation model is represented in (35)–(36) [15]. The input gas amount is calculated in (35), and the output thermal power limitation is expressed in (36).
- -
- RES model: It should be noted that, generally, the amount of active power in an RES is a parameter [31,32,33,34,35]; however, its reactive power can be controlled by an electric power converter [25]. The active power of the RES is constant [36,37,38,39]. Hence, Equation (37) is taken into consideration for the RES, which refers to the RES’s reactive power constraints.
- -
- EES model: The operation model of EES is described in (38)–(41) [40], which refer to the limitations of the charge and discharge rates [41,42,43,44], stored energy, and reactive power, respectively. EES devices such as batteries and EVs are connected to the network by a DC/AC converter. These converters are able to control reactive power using IGBT switches [45,46]. Additionally, in other forms of EES, like compressed air energy storage (CAES), the synchronous generator is also capable of controlling reactive power. As another point, relations (38)–(41) can be used for the aggregation of EVs, with the difference that the parameters CREES, DREES, EI, , , , and depend on the number and the type of EVs [5,25]. Hence, the indexes of time (t) and scenario (w) are used for these parameters. The right-side unequal expression of constraint (40) is also converted to the equal expression because in the operation model of EVs, represents the energy consumption of EVs during travel, which must be provided [5,25].
- -
- TES model: The limitations of charge and discharge rate and stored energy in thermal energy storage (TES) are described in (42)–(44) as the operation model of TES [4].
- -
- DRP model: The DRP formulation for electrical, thermal, and gas consumers is expressed in (45)–(46). This model is based on the price and incentive method [5]. Therefore, if the energy price is high (low), consumers will reduce (increase) their energy consumption, and all the reduced energy must be provided in cheap energy price hours [5]. Therefore, this leads to an increase in the profits of EHs based on Equation (1). Thus, constraint (45) indicates the power control range of active, thermal, and gas in DRP, while (46) ensures that the total decreased energy in expensive energy hours is supplied in cheap energy hours.
- -
- Reserve model of EHs: Constraint (47) can also be used to calculate the reserve amount of electrical, thermal, and gas power. It is noted that the difference between the consumed active power of the loads and the generated active power by storage, sources, and responsive loads is injected into the network as PEH or reserved in the EH as EREH. This is true for the thermal and gas sections in relations (29)–(30). There is always a positive value for reserve power, as stated in constraint (47) [47].
- -
- Flexibility model of EHs: Constraint (48) describes the flexibility of EHs in the thermal and electrical sections. In this constraint, 100% flexibility is achieved if ΔF tend to zero. According to the generated active power uncertainty of RESs, there will be different values for active power in different scenarios. Therefore, flexible sources, including responsive loads, non-renewable resources, and storage in the EH, are able to overcome the fluctuation of power produced by RESs through active power control. As a result, this enables EHs to achieve high flexibility through a certain amount of active power injection into each scenario [48]. Formulation (48) can be used to address this issue. CHP thermal power (relation 27) depends on the active power in the thermal section. Therefore, independent control is not applicable to it. In the case of CHP’s active power changes to compensate for RES active power, thermal power changes occur in the EH. CHP’s thermal power fluctuation can be compensated for by TES, responsive load, and boiler, which leads to the injection of a certain amount of thermal power into the network by the EH in different scenarios. This will result in the improved flexibility of the EH’s thermal section, and the mathematical model (48) can be used to access it. Finally, variables γ and μ represent Lagrangian multipliers.
2.2. Uncertainty Modeling Based on UT
- Step 1: 2n + 1 scenarios are taken from the uncertain entries:
- Step 2: The scenario weight factor evaluation:
- Step 3: Output parameter determination based on (56) and scenario 2n + 1 indicate the nonlinear function:
- Step 4: Output parameter ν evaluation, including mean and covariance (μy and σy, respectively):
3. The Extraction of a Single-Level Formulation
4. Numerical Results
4.1. Problem Data
4.2. Results
- (A)
- Appropriate solution algorithm extraction
- (B)
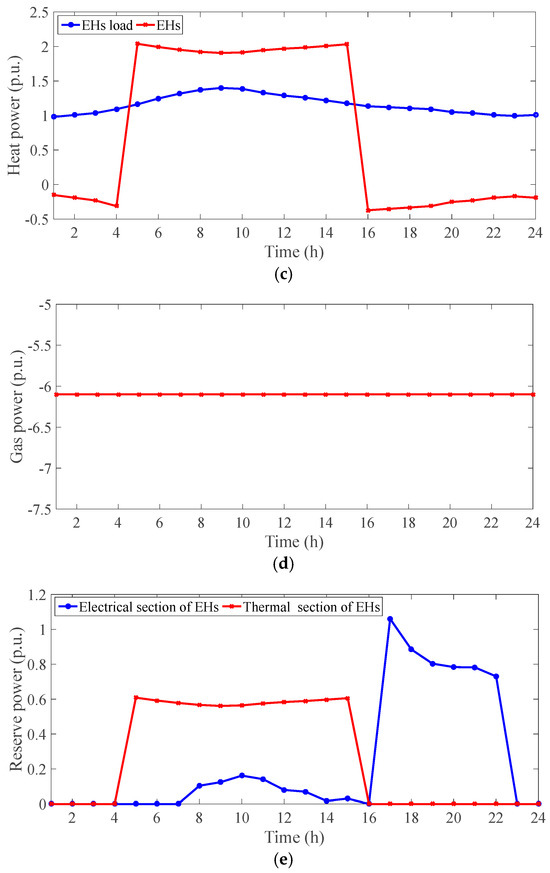
- EH performance evaluation
- (C)
- Evaluation of the operation status of the energy networks
- Power flow analysis
- Proposed scheme
5. Conclusions
Author Contributions
Funding
Data Availability Statement
Conflicts of Interest
Nomenclature
| Variables | |
| EEL HDCH, HCH | Expected energy loss [MWh] Discharge and charge modes of thermal power of thermal energy storage (TES) [p.u.] |
| GB, HB GREH, EREH, HREH | Gas and thermal power of the boiler [p.u.] Reserve power for gas, electricity, and thermal power [p.u.] |
| GD, PD, HD | Gas, active, and thermal power in a DRP |
| PDCH, PCH | Discharge and charge active power of EES [p.u.] |
| GEH, HEH, QEH, PEH | EH’s gas, thermal, reactive, and active power [p.u.] |
| GGL, HHL, QEL, PEL | Power flow of gas and thermal power through the distribution pipe, reactive and active power flow through the electricity distribution line [p.u.] |
| QE, QR | EES and RES reactive power [p.u.] |
| Profit | EHs’ total profit expectation in energy, reserve regulation, and reactive markets [USD] |
| GGS, HHS, QES, PES | Power flow of gas, thermal, reactive, and active power through the distribution networks [p.u.] |
| T | Temperature [p.u.] |
| σ, ΔV, V | Voltage angle [Rad], voltage deviation [p.u.], and voltage magnitude [p.u.] |
| φ, Δφ | Auxiliary variables [p.u.] |
| λ, μ | Lagrangian multipliers |
| Δξ, ξ | Pressure deviation [p.u.], gas pressure [p.u.] |
| Constants | |
| GEL, BEL | Electrical distribution line conductance and susceptance [p.u.] |
| DREES, CREES | EES discharge and charge rates [p.u.] |
| DRTES, CRTES | TES discharge and charge rates [p.u.] |
| EI | ESS initial energy [p.u.] Maximum and minimum stored energy of an ESS [p.u.] |
| Maximum passing gas power flow through the gas substation and pipeline [p.u.] | |
| Maximum and minimum thermal power of the boiler [p.u.] | |
| Maximum and minimum CHP thermal power [p.u.] | |
| Maximum passing thermal power flow through the thermal pipeline and substation [p.u.] | |
| JG, JH, JE IG, IH, IE | Incidence matrix of pipeline and gas node, pipeline and thermal node, line and electrical bus Incidence matrix of EH and gas node, thermal node, and electrical bus |
| KQ | Reactive power price to energy price ratio |
| lsξ, lsσ | The slope of a linear piece for the variables ξ, σ |
| nS | Total number of sides of a regular polygon plane |
| CHP maximum and minimum active power [p.u.] | |
| GGD, HHD, QED, PED | Gas, thermal, reactive, and active demand [p.u.] |
| PR | RES active power generated [p.u.] |
| CHP maximum and minimum reactive power [p.u.] | |
| EES maximum and minimum reactive power [p.u.] | |
| RES maximum and minimum reactive power [p.u.] | |
| Apparent maximum power flow through the electrical substation and distribution line [p.u.] | |
| β sign(a, b) | Rate of DRP consumer participation Sign function: for a ≥ b has the value 1; otherwise, it is equal to −1. |
| Maximum and minimum pressure magnitudes (temperature or voltage) [p.u.] | |
| ηB | Efficiency of the boiler |
| ηDCH, ηCH | ESS discharge and charge efficiency |
| ηH, ηL, ηT | CHP thermal, losses, and turbine efficiency |
| λGR, λHR, λER λG, λH, λE | Reserve price in the markets of gas, thermal, and electrical reserve regulation [USD/MWh] Gas, thermal, and electrical energy prices in the market [USD/MWh] |
| ω π | Constant of the gas pipeline [p.u.] Probability of the scenario’s occurrence |
| ΔF | Tolerance of flexibility [p.u.] |
| Δθ | Angle deviation, Δθ = 360/nS |
| ϑ nS | Constant thermal pipeline [p.u.] Total number of sides in the new plane |
| Sub-indexes | |
| g, h, e | Gas and thermal node, electrical bus |
| i | Energy hub |
| k | Linear piece in the conventional linear piece linearization method |
| m | Node’s [bus] corresponding sub-index |
| s | Side on a regular polygon plane |
| t | Hours of operation |
| w o | Scenarios Slack (node) bus |
| Acronym | |
| BDA | Benders’ decomposition algorithm |
| CAES | Compressed air energy storage |
| CG&C | Constraint generation and column |
| CHP | Combined heat and power |
| CI | Convergence iteration |
| CT | Computational time |
| DA | Day-ahead |
| DG | Distributed generation |
| DRP | Demand–response program |
| EEL | Expected energy loss |
| EES | Electrical energy storage |
| EH | Energy hub |
| EMS | Energy management system |
| ESS | Energy storage system |
| EV | Electric vehicle |
| IGDT | Information-gap decision theory |
| KM | Kantorovich method |
| KKT | Karush–Kuhn–Tucker |
| LP | Linear programming |
| MOP | Maximum overpressure |
| MOT | Maximum overtemperature |
| MOV | Maximum overvoltage |
| MPD | Maximum pressure drop |
| MTD | Maximum temperature drop |
| MVD | Maximum voltage drop |
| NLP | Nonlinear programming |
| OEF | Optimal energy flow |
| QPSO | Quantum particle swarm optimization |
| SBSO | Scenario-based stochastic optimization |
| RES | Renewable energy source |
| RT | Real time |
| RWM | Roulette wheel mechanism |
| TES | Thermal energy storage |
| UT | Unscented transformation |
References
- Afrashi, K.; Bahmani-Firouzi, B.; Nafar, M. Multicarrier Energy System Management as Mixed Integer Linear Programming. Iran. J. Sci. Technol. Trans. Electr. Eng. 2021, 45, 619–631. [Google Scholar] [CrossRef]
- Zafarani, H.; Taher, S.A.; Shahidehpour, M. Robust Operation of a Multicarrier Energy System Considering EVs and CHP Units. Energy 2020, 192, 116703. [Google Scholar] [CrossRef]
- Azarhooshang, A.; Sedighizadeh, D.; Sedighizadeh, M. Two-Stage Stochastic Operation Considering Day-Ahead and Real-Time Scheduling of Microgrids with High Renewable Energy Sources and Electric Vehicles Based on Multi-Layer Energy Management System. Electr. Power Syst. Res. 2021, 201, 107527. [Google Scholar] [CrossRef]
- Homayoun, M.; Joorabian, M. Multi-objective operation of distributed generations and thermal blocks in microgrids based on energy management system. IET Gen. Transm. Distrib. 2021, 15, 867–877. [Google Scholar] [CrossRef]
- Asl, S.A.F.; Bagherzadeh, L.; Pirouzi, S.; Norouzi, M.; Lehtonen, M. A New Two-Layer Model for Energy Management in the Smart Distribution Network Containing Flexi-Renewable Virtual Power Plant. Electr. Power Syst. Res. 2021, 194, 107085. [Google Scholar] [CrossRef]
- Shams, M.H.; Shahabi, M.; MansourLakouraj, M.; Shafie-khah, M.; Catalão, J.P.S. Adjustable Robust Optimization Approach for Two-Stage Operation of Energy Hub-Based Microgrids. Energy 2021, 222, 119894. [Google Scholar] [CrossRef]
- Tavakoli, A.; Karimi, A.; Shafie-khah, M. Optimal Probabilistic Operation of Energy Hub with Various Energy Converters and Electrical Storage Based on Electricity, Heat, Natural Gas, and Biomass by Proposing Innovative Uncertainty Modeling Methods. J. Energy Storage 2022, 51, 104344. [Google Scholar] [CrossRef]
- Zare Oskouei, M.; Mohammadi-Ivatloo, B.; Abapour, M.; Shafiee, M.; Anvari-Moghaddam, A. Techno-Economic and Environmental Assessment of the Coordinated Operation of Regional Grid-Connected Energy Hubs Considering High Penetration of Wind Power. J. Clean. Prod. 2021, 280, 124275. [Google Scholar] [CrossRef]
- AkbaiZadeh, M.; Niknam, T.; Kavousi-Fard, A. Adaptive Robust Optimization for the Energy Management of the Grid-Connected Energy Hubs Based on Hybrid Meta-Heuristic Algorithm. Energy 2021, 235, 121171. [Google Scholar] [CrossRef]
- Shahrabi, E.; Hakimi, S.M.; Hasankhani, A.; Derakhshan, G.; Abdi, B. Developing Optimal Energy Management of Energy Hub in the Presence of Stochastic Renewable Energy Resources. Sustain. Energy Grids Netw. 2021, 26, 100428. [Google Scholar] [CrossRef]
- Oskouei, M.Z.; Mohammadi-Ivatloo, B.; Abapour, M.; Shafiee, M.; Anvari-Moghaddam, A. Privacy-Preserving Mechanism for Collaborative Operation of High-Renewable Power Systems and Industrial Energy Hubs. Appl. Energy 2021, 283, 116338. [Google Scholar] [CrossRef]
- Oskouei, M.Z.; Mohammadi-Ivatloo, B.; Abapour, M.; Shafiee, M.; Anvari-Moghaddam, A. Strategic Operation of a Virtual Energy Hub with the Provision of Advanced Ancillary Services in Industrial Parks. IEEE Trans. Sustain. Energy 2021, 12, 2062–2073. [Google Scholar] [CrossRef]
- Zahedmanesh, A.; Muttaqi, K.M.; Sutanto, D. A Cooperative Energy Management in a Virtual Energy Hub of an Electric Transportation System Powered by PV Generation and Energy Storage. IEEE Trans. Transp. Electrif. 2021, 7, 1123–1133. [Google Scholar] [CrossRef]
- Kafaei, M.; Sedighizadeh, D.; Sedighizadeh, M.; Fini, A.S. An IGDT/Scenario Based Stochastic Model for an Energy Hub Considering Hydrogen Energy and Electric Vehicles: A Case Study of Qeshm Island, Iran. Int. J. Electr. Power Energy Syst. 2022, 135, 107477. [Google Scholar] [CrossRef]
- Dini, A.; Pirouzi, S.; Norouzi, M.; Lehtonen, M. Grid-Connected Energy Hubs in the Coordinated Multi-Energy Management Based on Day-Ahead Market Framework. Energy 2019, 188, 116055. [Google Scholar] [CrossRef]
- Bonfiglio, A.; Bruno, S.; Martino, M.; Minetti, M.; Procopio, R.; Velini, A. Renewable Energy Communities Virtual Islanding: A Novel Service for Smart Distribution Networks. In Proceedings of the 2024 IEEE/IAS 60th Industrial and Commercial Power Systems Technical Conference (I&CPS), Las Vegas, NV, USA, 19–23 May 2024; pp. 1–8. [Google Scholar] [CrossRef]
- Gaggero, G.B.; Piserà, D.; Girdinio, P.; Silvestro, F.; Marchese, M. Novel Cybersecurity Issues in Smart Energy Communities. In Proceedings of the 2023 1st International Conference on Advanced Innovations in Smart Cities (ICAISC), Jeddah, Saudi Arabia, 23–25 January 2023; pp. 1–6. [Google Scholar] [CrossRef]
- Chen, T.; Gan, L.; Iqbal, S.; Jasiński, M.; El-Meligy, M.A.; Sharaf, M.; Ali, S.G. A Novel Evolving Framework for Energy Management in Combined Heat and Electricity Systems with Demand Response Programs. Sustainability 2023, 15, 10481. [Google Scholar] [CrossRef]
- Jamshidi, F.; Ghiasi, M.; Mehrandezh, M.; Wang, Z.; Paranjape, R. Optimizing Energy Consumption in Agricultural Greenhouses: A Smart Energy Management Approach. Smart Cities 2024, 7, 859–879. [Google Scholar] [CrossRef]
- Jiang, W.; Wang, X.; Huang, H.; Zhang, D.; Ghadimi, N. Optimal economic scheduling of microgrids considering renewable energy sources based on energy hub model using demand response and improved water wave optimization algorithm. J. Energy Storage 2022, 55, 105311. [Google Scholar] [CrossRef]
- Chen, L.; Huang, H.; Tang, P.; Yao, D.; Yang, H.; Ghadimi, N. Optimal modeling of combined cooling, heating, and power systems using developed African Vulture Optimization: A case study in watersport complex. Energy Sources Part A Recovery Util. Environ. Eff. 2022, 44, 4296–4317. [Google Scholar] [CrossRef]
- Yuan, Z.; Wang, W.; Wang, H.; Ghadimi, N. Probabilistic decomposition-based security constrained transmission expansion planning incorporating distributed series reactor. IET Gener. Transm. Distrib. 2020, 14, 3478–3487. [Google Scholar] [CrossRef]
- Eslami, M.; Moghadam, H.A.; Zayandehroodi, H.; Ghadimi, N. A New Formulation to Reduce the Number of Variables and Constraints to Expedite SCUC in Bulky Power Systems. Proc. Natl. Acad. Sci. India Sect. A Phys. Sci. 2019, 89, 311–321. [Google Scholar] [CrossRef]
- Li, M.; Yang, M.; Yu, Y.; Lee, W.-J. A Wind Speed Correction Method Based on Modified Hidden Markov Model for Enhancing Wind Power Forecast. IEEE Trans. Ind. Appl. 2022, 58, 656–666. [Google Scholar] [CrossRef]
- Kiani, H.; Hesami, K.; Azarhooshang, A.; Pirouzi, S.; Safaee, S. Adaptive robust operation of the active distribution network including renewable and flexible sources. Sustain. Energy Grids Netw. 2021, 26, 100476. [Google Scholar] [CrossRef]
- Parhoudeh, S.; Eguía López, P.; Kavousi Fard, A. Stochastic Coordinated Management of Electrical-Gas-Thermal Networks in Flexible Energy Hubs Considering Day-Ahead Energy and Ancillary Markets. Sustainability 2023, 15, 10744. [Google Scholar] [CrossRef]
- Ansari, M.R.; Pirouzi, S.; Kazemi, M.; Naderipour, A.; Benbouzid, M. Renewable Generation and Transmission Expansion Planning Coordination with Energy Storage System: A Flexibility Point of View. Appl. Sci. 2021, 11, 3303. [Google Scholar] [CrossRef]
- Li, S.; Fang, X.; Liao, J.; Ghadamyari, M.; Khayatnezhad, M.; Ghadimi, N. Evaluating the efficiency of CCHP systems in Xinjiang Uygur Autonomous Region: An optimal strategy based on improved mother optimization algorithm. Case Stud. Therm. Eng. 2024, 54, 104005. [Google Scholar] [CrossRef]
- Mehrpooya, M.; Ghadimi, N.; Marefati, M.; Ghorbanian, S.A. Numerical investigation of a new combined energy system includes parabolic dish solar collector, Stirling engine and thermoelectric device. Int. J. Energy Res. 2021, 45, 16436–16455. [Google Scholar] [CrossRef]
- Cao, Y.; Wang, Q.; Du, J.; Nojavan, S.; Jermsittiparsert, K.; Ghadimi, N. Optimal operation of CCHP and renewable generation-based energy hub considering environmental perspective: An epsilon constraint and fuzzy methods. Sustain. Energy Grids Netw. 2019, 20, 100274. [Google Scholar] [CrossRef]
- Ghadimi, N.; Sedaghat, M.; Azar, K.K.; Arandian, B.; Fathi, G.; Ghadamyari, M. An innovative technique for optimization and sensitivity analysis of a PV/DG/BESS based on converged Henry gas solubility optimizer: A case study. IET Gener. Transm. Distrib. 2023, 17, 4735–4749. [Google Scholar] [CrossRef]
- Chang, L.; Wu, Z.; Ghadimi, N. A new biomass-based hybrid energy system integrated with a flue gas condensation process and energy storage option: An effort to mitigate environmental hazards. Process Saf. Environ. Prot. 2023, 177, 959–975. [Google Scholar] [CrossRef]
- Bo, G.; Cheng, P.; Kong, D.; Wang, X.; Li, C.; Gao, M.; Ghadimi, N. Optimum structure of a combined wind/photovoltaic/fuel cell-based on amended Dragon Fly optimization algorithm: A case study. Energy Sources Part A Recovery Util. Environ. Eff. 2022, 44, 7109–7131. [Google Scholar] [CrossRef]
- Mir, M.; Shafieezadeh, M.; Heidari, M.A.; Ghadimi, N. Application of hybrid forecast engine based intelligent algorithm and feature selection for wind signal prediction. Evol. Syst. 2020, 11, 559–573. [Google Scholar] [CrossRef]
- Meng, Q.; Liu, T.; Su, C.; Niu, H.; Hou, Z. A single-phase transformer-less grid-tied inverter based on switched capacitor for PV application. J. Control Autom. Electr. Syst. 2020, 31, 257–270. [Google Scholar] [CrossRef]
- Abedinia, O.; Bagheri, M.; Naderi, M.S.; Ghadimi, N. A new combinatory approach for wind power forecasting. IEEE Syst. J. 2020, 14, 4614–4625. [Google Scholar] [CrossRef]
- Leng, H.; Li, X.; Zhu, J.; Tang, H.; Zhang, Z.; Ghadimi, N. A new wind power prediction method based on ridgelet transforms, hybrid feature selection and closed-loop forecasting. Adv. Eng. Inform. 2018, 36, 20–30. [Google Scholar] [CrossRef]
- Abedinia, O.; Zareinejad, M.; Doranehgard, M.H.; Fathi, G.; Ghadimi, N. Optimal offering and bidding strategies of renewable energy based large consumer using a novel hybrid robust-stochastic approach. J. Clean. Prod. 2019, 215, 878–889. [Google Scholar] [CrossRef]
- Khodaei, H.; Hajiali, M.; Darvishan, A.; Sepehr, M.; Ghadimi, N. Fuzzy-based heat and power hub models for cost-emission operation of an industrial consumer using compromise programming. Appl. Therm. Eng. 2018, 137, 395–405. [Google Scholar] [CrossRef]
- Battula, A.R.; Vuddanti, S.; Salkuti, S.R. A Day Ahead Demand Schedule Strategy for Optimal Operation of Microgrid with Uncertainty. Smart Cities 2023, 6, 491–509. [Google Scholar] [CrossRef]
- Zhu, L.; Zhang, F.; Zhang, Q.; Chen, Y.; Khayatnezhad, M.; Ghadimi, N. Multi-criteria evaluation and optimization of a novel thermodynamic cycle based on a wind farm, Kalina cycle and storage system: An effort to improve efficiency and sustainability. Sustain. Cities Soc. 2023, 96, 104718. [Google Scholar] [CrossRef]
- Dehghani, M.; Ghiasi, M.; Niknam, T.; Kavousi-Fard, A.; Shasadeghi, M.; Ghadimi, N.; Taghizadeh-Hesary, F. Blockchain-based securing of data exchange in a power transmission system considering congestion management and social welfare. Sustainability 2020, 13, 90. [Google Scholar] [CrossRef]
- Liu, J.; Chen, C.; Liu, Z.; Jermsittiparsert, K.; Ghadimi, N. An IGDT-based risk-involved optimal bidding strategy for hydrogen storage-based intelligent parking lot of electric vehicles. J. Energy Storage 2020, 27, 101057. [Google Scholar] [CrossRef]
- Cai, W.; Mohammaditab, R.; Fathi, G.; Wakil, K.; Ebadi, A.G.; Ghadimi, N. Optimal bidding and offering strategies of compressed air energy storage: A hybrid robust-stochastic approach. Renew. Energy 2019, 143, 1–8. [Google Scholar] [CrossRef]
- Ye, H.; Jin, G.; Fei, W.; Ghadimi, N. High step-up interleaved dc/dc converter with high efficiency. Energy Sources Part A Recovery Util. Environ. Eff. 2020, 46, 4886–4905. [Google Scholar] [CrossRef]
- Eltamaly, A.M. Optimal Dispatch Strategy for Electric Vehicles in V2G Applications. Smart Cities 2023, 6, 3161–3191. [Google Scholar] [CrossRef]
- Castillo-Calzadilla, T.; Oroya-Villalta, J.; Borges, C.E. Energy Management System for a Residential Positive Energy District Based on Fuzzy Logic Approach. Smart Cities 2024, 7, 1802–1835. [Google Scholar] [CrossRef]
- EURELECTRIC Publication: Flexibility and Aggregation—Requirements for Their Interaction in the Market. Available online: https://www.iene.eu/eurelectric-publication-flexibility-and-aggregation-requirements-for-their-interaction-in-the-market-p296.html (accessed on 10 July 2024).
- Hamidpour, H.; Aghaei, J.; Dehghan, S.; Pirouzi, S.; Niknam, T. Integrated Resource Expansion Planning of Wind Integrated Power Systems Considering Demand Response Programmes. IET Renew. Power Gener. 2019, 13, 519–529. [Google Scholar] [CrossRef]
- Najy, W.K.A.; Zeineldin, H.H.; Woon, W.L. Optimal Protection Coordination for Microgrids with Grid-Connected and Islanded Capability. IEEE Trans. Ind. Electron. 2013, 60, 1668–1677. [Google Scholar] [CrossRef]
- Mohammadi, M.; Talebpour, F.; Safaee, E.; Ghadimi, N.; Abedinia, O. Small-scale building load forecast based on hybrid forecast engine. Neural Process. Lett. 2018, 48, 329–351. [Google Scholar] [CrossRef]
- Hamian, M.; Darvishan, A.; Hosseinzadeh, M.; Lariche, M.J.; Ghadimi, N.; Nouri, A. A framework to expedite joint energy-reserve payment cost minimization using a custom-designed method based on mixed integer genetic algorithm. Eng. Appl. Artif. Intell. 2018, 72, 203–212. [Google Scholar] [CrossRef]
- Yu, D.; Ghadimi, N. Reliability constraint stochastic UC by considering the correlation of random variables with Copula theory. IET Renew. Power Gener. 2019, 13, 2587–2593. [Google Scholar] [CrossRef]
- Saeedi, M.; Moradi, M.; Hosseini, M.; Emamifar, A.; Ghadimi, N. Robust optimization based optimal chiller loading under cooling demand uncertainty. Appl. Therm. Eng. 2019, 148, 1081–1091. [Google Scholar] [CrossRef]
- Karamnejadi Azar, K.; Kakouee, A.; Mollajafari, M.; Majdi, A.; Ghadimi, N.; Ghadamyari, M. Developed design of battle royale optimizer for the optimum identification of solid oxide fuel cell. Sustainability 2022, 14, 9882. [Google Scholar] [CrossRef]
- Mahdinia, S.; Rezaie, M.; Elveny, M.; Ghadimi, N.; Razmjooy, N. Optimization of PEMFC model parameters using meta-heuristics. Sustainability 2021, 13, 12771. [Google Scholar] [CrossRef]
- Zhang, J.; Khayatnezhad, M.; Ghadimi, N. Optimal model evaluation of the proton-exchange membrane fuel cells based on deep learning and modified African Vulture Optimization Algorithm. Energy Sour. Part A Recovery Util. Environ. Eff. 2022, 44, 287–305. [Google Scholar] [CrossRef]
- Yuan, K.; Ma, Y.; Zhang, H.; Razmjooy, N.; Ghadimi, N. Optimal parameters estimation of the proton exchange membrane fuel cell stacks using a combined owl search algorithm. Energy Sour. Part A Recovery Util. Environ. Eff. 2023, 45, 11712–11732. [Google Scholar] [CrossRef]
- Guo, X.; Ghadimi, N. Optimal design of the proton-exchange membrane fuel cell connected to the network utilizing an improved version of the metaheuristic algorithm. Sustainability 2023, 15, 13877. [Google Scholar] [CrossRef]
- Akbary, P.; Ghiasi, M.; Pourkheranjani, M.R.R.; Alipour, H. Extracting appropriate nodal marginal prices for all types of committed reserve. Comput. Econ. 2019, 53, 1–26. [Google Scholar] [CrossRef]
- Rezaie, M.; Karamnejadi Azar, K.; Kardan Sani, A.; Akbari, E.; Ghadimi, N.; Razmjooy, N.; Ghadamyari, M. Model parameters estimation of the proton exchange membrane fuel cell by a Modified Golden Jackal Optimization. Sustain. Energy Technol. Assess. 2022, 53, 102657. [Google Scholar] [CrossRef]
- Guo, H.; Gu, W.; Khayatnezhad, M.; Ghadimi, N. Parameter extraction of the SOFC mathematical model based on fractional order version of dragonfly algorithm. Int. J. Hydrogen Energy 2022, 47, 24059–24068. [Google Scholar] [CrossRef]
- Duan, F.; Song, F.; Chen, S.; Khayatnezhad, M.; Ghadimi, N. Model parameters identification of the PEMFCs using an improved design of Crow Search Algorithm. Int. J. Hydrogen Energy 2022, 47, 33839–33849. [Google Scholar] [CrossRef]
- Han, E.; Ghadimi, N. Model identification of proton-exchange membrane fuel cells based on a hybrid convolutional neural network and extreme learning machine optimized by improved honey badger algorithm. Sustain. Energy Technol. Assess. 2022, 52, 102005. [Google Scholar] [CrossRef]
- Zhang, L.; Zhang, J.; Gao, W.; Bai, F.; Li, N.; Ghadimi, N. A deep learning outline aimed at prompt skin cancer detection utilizing gated recurrent unit networks and improved orca predation algorithm. Biomed. Signal Process. Control 2024, 90, 105858. [Google Scholar] [CrossRef]
- Liu, H.; Ghadimi, N. Hybrid convolutional neural network and Flexible Dwarf Mongoose Optimization Algorithm for strong kidney stone diagnosis. Biomed. Signal Process. Control 2024, 91, 106024. [Google Scholar] [CrossRef]
- Han, M.; Zhao, S.; Yin, H.; Hu, G.; Ghadimi, N. Timely detection of skin cancer: An AI-based approach on the basis of the integration of Echo State Network and adapted Seasons Optimization Algorithm. Biomed. Signal Process. Control 2024, 94, 106324. [Google Scholar] [CrossRef]
- Gong, Z.; Li, L.; Ghadimi, N. SOFC stack modeling: A hybrid RBF-ANN and flexible Al-Biruni Earth radius optimization approach. Int. J. Low-Carbon Technol. 2024, 19, 1337–1350. [Google Scholar] [CrossRef]
- Ghiasi, M.; Niknam, T.; Wang, Z.; Mehrandezh, M.; Dehghani, M.; Ghadimi, N. A comprehensive review of cyber-attacks and defense mechanisms for improving security in smart grid energy systems: Past, present and future. Electr. Power Syst. Res. 2023, 215, 108975. [Google Scholar] [CrossRef]
- Gabrielaitienė, I.; Bøhm, B.; Sundén, B. Dynamic Temperature Simulation in District Heating Systems in Denmark Regarding Pronounced Transient Behaviour. J. Civil Eng. Manag. 2011, 17, 79–87. [Google Scholar] [CrossRef]
- Parhoudeh, S.; Baziar, A.; Mazareie, A.; Kavousi-Fard, A. A Novel Stochastic Framework Based on Fuzzy Cloud Theory for Modeling Uncertainty in the Micro-Grids. Int. J. Electr. Power Energy Syst. 2016, 80, 73–80. [Google Scholar] [CrossRef]
- Aghaei, J.; Bozorgavari, S.A.; Pirouzi, S.; Farahmand, H. Flexibility planning of distributed battery energy storage systems in smart distribution networks. Iran. J. Sci. Technol. Trans. Electr. Eng. 2020, 44, 1105–1121. [Google Scholar] [CrossRef]
- Norouzi, M.; Aghaei, J.; Pirouzi, S.; Niknam, T.; Lehtonen, M. Flexible operation of grid-connected microgrid using ES. IET Gener. Transm. Distrib. 2020, 14, 254–264. [Google Scholar] [CrossRef]
- Pirouzi, S.; Latify, M.A.; Yousefi, G.R. Investigation on reactive power support capability of PEVs in distribution network operation. In Proceedings of the 2015 23rd Iranian Conference on Electrical Engineering, Tehran, Iran, 10–14 May 2015; pp. 1591–1596. [Google Scholar] [CrossRef]
- Pirouzi, S.; Aghaei, J.; Shafie-khah, M.; Osório, G.J.; Catalão, J.P.S. Evaluating the security of electrical energy distribution networks in the presence of electric vehicles. In Proceedings of the 2017 IEEE Manchester PowerTech, Manchester, UK, 18–22 June 2017; pp. 1–6. [Google Scholar] [CrossRef]
- Pirouzi, S.; Aghaei, J.; Niknam, T.; Farahmand, H.; Korpås, M. Exploring prospective benefits of electric vehicles for optimal energy conditioning in distribution networks. Energy 2018, 157, 679–689. [Google Scholar] [CrossRef]
- Dini, A.; Azarhooshang, A.; Pirouzi, S.; Norouzi, M.; Lehtonen, M. Security-Constrained generation and transmission expansion planning based on optimal bidding in the energy and reserve markets. Electr. Power Syst. Res. 2021, 193, 107017. [Google Scholar] [CrossRef]
- Pirouzi, S.; Aghaei, J.; Niknam, T.; Farahmand, H.; Korpås, M. Proactive operation of electric vehicles in harmonic polluted smart distribution networks. IET Gener. Transm. Distrib. 2018, 12, 967–975. [Google Scholar] [CrossRef]
- Dini, A.; Pirouzi, S.; Norouzi, M.; Lehtonen, M. Hybrid stochastic/robust scheduling of the grid-connected microgrid based on the linear coordinated power management strategy. Sustain. Energy Grids Netw. 2020, 24, 100400. [Google Scholar] [CrossRef]
- Pirouzi, S.; Aghaei, J. Mathematical modeling of electric vehicles contributions in voltage security of smart distribution networks. Simulation 2019, 95, 429–439. [Google Scholar] [CrossRef]
- Norouzi, M.; Aghaei, J.; Pirouzi, S.; Niknam, T.; Fotuhi-Firuzabad, M.; Shafie-khah, M. Hybrid stochastic/robust flexible and reliable scheduling of secure networked microgrids with electric springs and electric vehicles. Appl. Energy 2021, 300, 117395. [Google Scholar] [CrossRef]
- GAMS—Generalized Algebraic Modeling Systems. Available online: https://www.gams.com/ (accessed on 10 July 2024).






| Ref. | Market Model | Uncertainty Modeling | Flexibility Model | ||
|---|---|---|---|---|---|
| Energy | Reactive Power | Reserve Regulation | |||
| [6] | No | No | No | Robust optimization | No |
| [7] | Yes | No | No | SBSO | No |
| [8] | No | No | No | IGDT | No |
| [9] | No | No | No | Robust optimization | No |
| [10] | No | No | No | Robust optimization | No |
| [11] | No | No | No | Robust stochastic optimization | No |
| [12] | Yes | No | No | Robust stochastic optimization | No |
| [13] | No | No | No | SBSO | No |
| [14] | No | No | No | IGDT | No |
| [15] | Yes | No | No | SBSO | No |
| [16] | No | No | No | - | Yes |
| [17] | No | No | No | - | No |
| [18] | No | No | No | - | No |
| PM | Yes | Yes | Yes | Unscented transformation (UT) method | Yes |
| EH | Location (e, h, g) | Source | ESS | DRP | PED (MW) | QED (MVAr) | HHD (MW) | GGD (MW) |
|---|---|---|---|---|---|---|---|---|
| 1 | 6, -, - | PV, WT | B, EVs | Electrical | 0.6 | 0.3 | 0 | 0 |
| 2 | 13, -, - | PV, WT | B, EVs | Electrical | 0.4 | 0.2 | 0 | 0 |
| 3 | 23, -, - | PV, WT | B, EVs | Electrical | 0.6 | 0.3 | 0 | 0 |
| 4 | 26, -, - | PV, WT | B, EVs | Electrical | 0.4 | 0.2 | 0 | 0 |
| 5 | 17, 5, 2 | CHP, boiler, PV, WT | TES, B, EVs | Electrical and thermal | 0.8 | 0.4 | 0.4 | 0 |
| 6 | 31, 11, 4 | CHP, boiler, PV, WT | TES, B, EVs | Electrical and thermal | 0.8 | 0.4 | 0.4 | 0 |
| 7 | 21, 2, 3 | CHP, boiler | TES | Thermal | 0.4 | 0.2 | 0.3 | 0 |
| 8 | 10, 8, 3 | CHP, boiler | TES | Thermal | 0.4 | 0.2 | 0.3 | 0 |
| Model | Solver | UT Method (39 Scenarios) | SBSO-Based KWM and KM (80 Scenarios) | ||||||
|---|---|---|---|---|---|---|---|---|---|
| EEL (MWh) | Profit (USD) | CI | CT (min) | EEL (MWh) | Profit (USD) | CI | CT (min) | ||
| NLP | IPOPT | 6.73 | 3253.40 | 1469 | 47.3 | 6.73 | 3253.60 | 1894 | 65.5 |
| CONOPT | 6.91 | 3089.50 | 1722 | 54.8 | 6.92 | 3089.90 | 2347 | 75.2 | |
| MINOS | 7.17 | 2845.80 | 2046 | 65.5 | Infeasible | ||||
| LGO | Infeasible | Infeasible | |||||||
| LP | CPLEX | 6.58 | 3405.70 | 46 | 2.2 | 6.58 | 3405.90 | 63 | 3.1 |
| OSL | 6.58 | 3405.70 | 82 | 3.6 | 6.58 | 3405.90 | 105 | 5.2 | |
| CBC | 6.58 | 3405.70 | 65 | 2.9 | 6.58 | 3405.90 | 87 | 4.4 | |
| Model | LP | NLP | Calculation Error (%) |
|---|---|---|---|
| Solver | CPLEX | IPOPT | |
| PES in electrical peak load hour (p.u.) | 2.18 | 2.23 | 2.24 |
| QES in electrical peak load hour (p.u.) | 1.60 | 1.64 | 2.44 |
| HHS in thermal peak load hour (p.u.) | 3.87 | 3.87 | 0 |
| Maximum value of GGS (p.u.) | 12.34 | 12.45 | 0.88 |
| Mean value of V (p.u.) | 0.962 | 0.958 | 0.42 |
| Mean value of σ (rad) | −0.01406861 | −0.014 | 0.49 |
| Mean value of T (p.u.) | 0.947 | 0.947 | 0 |
| Mean value of ξ (p.u.) | 0.964 | 0.963 | 0.10 |
| DA Market | Flexibility Tolerance (p.u.) | ||||||||
|---|---|---|---|---|---|---|---|---|---|
| 0 | 0.05 | 0.10 | 0.15 | 0.20 | 0.25 | 0.30 | 0.35 | 0.40 | |
| Energy | 2095.4 | 2180.6 | 2224.1 | 2245.9 | 2259.8 | 2268.9 | 2273.4 | 2275.1 | 2275.1 |
| Reactive power | 154.3 | 154.3 | 154.3 | 154.3 | 154.3 | 154.3 | 154.3 | 154.3 | 154.3 |
| Reserve | 1503.2 | 1526.7 | 1538.3 | 1548.9 | 1553.7 | 1555.9 | 1557.1 | 1557.8 | 1557.8 |
| Total | 3752.9 | 3861.6 | 3916.7 | 3949.1 | 3967.8 | 3979.1 | 3984.8 | 3987.2 | 3987.2 |
| Index | Case I | Case II | |||
|---|---|---|---|---|---|
| ΔF = 0 | ΔF = 0.05 p.u. | ΔF = 0.1 p.u. | |||
| EEL (MWh) | Electrical network | 3.28 | 2.34 | 2.32 | 2.29 |
| Thermal network | 4.47 | 3.17 | 3.15 | 3.12 | |
| Gas network | 0 | 1.12 | 1.11 | 1.10 | |
| Total | 7.75 | 6.63 | 6.58 | 6.51 | |
| MVD (p.u.) | 0.092 | 0.047 | 0.046 | 0.044 | |
| MTD (p.u.) | 0.107 | 0.058 | 0.057 | 0.055 | |
| MPD (p.u.) | 0 | 0.039 | 0.038 | 0.038 | |
| MOV (p.u.) | 0 | 0.012 | 0.012 | 0.013 | |
| MOT (p.u.) | 0 | 0.015 | 0.016 | 0.017 | |
| MOP (p.u.) | 0 | 0 | 0 | 0 | |
Disclaimer/Publisher’s Note: The statements, opinions and data contained in all publications are solely those of the individual author(s) and contributor(s) and not of MDPI and/or the editor(s). MDPI and/or the editor(s) disclaim responsibility for any injury to people or property resulting from any ideas, methods, instructions or products referred to in the content. |
© 2024 by the authors. Licensee MDPI, Basel, Switzerland. This article is an open access article distributed under the terms and conditions of the Creative Commons Attribution (CC BY) license (https://creativecommons.org/licenses/by/4.0/).
Share and Cite
Parhoudeh, S.; Eguía López, P.; Kavousi Fard, A. Stochastic Scheduling of Grid-Connected Smart Energy Hubs Participating in the Day-Ahead Energy, Reactive Power and Reserve Markets. Smart Cities 2024, 7, 3587-3615. https://doi.org/10.3390/smartcities7060139
Parhoudeh S, Eguía López P, Kavousi Fard A. Stochastic Scheduling of Grid-Connected Smart Energy Hubs Participating in the Day-Ahead Energy, Reactive Power and Reserve Markets. Smart Cities. 2024; 7(6):3587-3615. https://doi.org/10.3390/smartcities7060139
Chicago/Turabian StyleParhoudeh, Sina, Pablo Eguía López, and Abdollah Kavousi Fard. 2024. "Stochastic Scheduling of Grid-Connected Smart Energy Hubs Participating in the Day-Ahead Energy, Reactive Power and Reserve Markets" Smart Cities 7, no. 6: 3587-3615. https://doi.org/10.3390/smartcities7060139
APA StyleParhoudeh, S., Eguía López, P., & Kavousi Fard, A. (2024). Stochastic Scheduling of Grid-Connected Smart Energy Hubs Participating in the Day-Ahead Energy, Reactive Power and Reserve Markets. Smart Cities, 7(6), 3587-3615. https://doi.org/10.3390/smartcities7060139

