Layered Acoustic Structures with Equally Phased Elements
Abstract
1. Introduction
2. Materials and Methods
2.1. Preliminaries
2.2. Dispersion Law
3. Results
3.1. Infinite Crystals
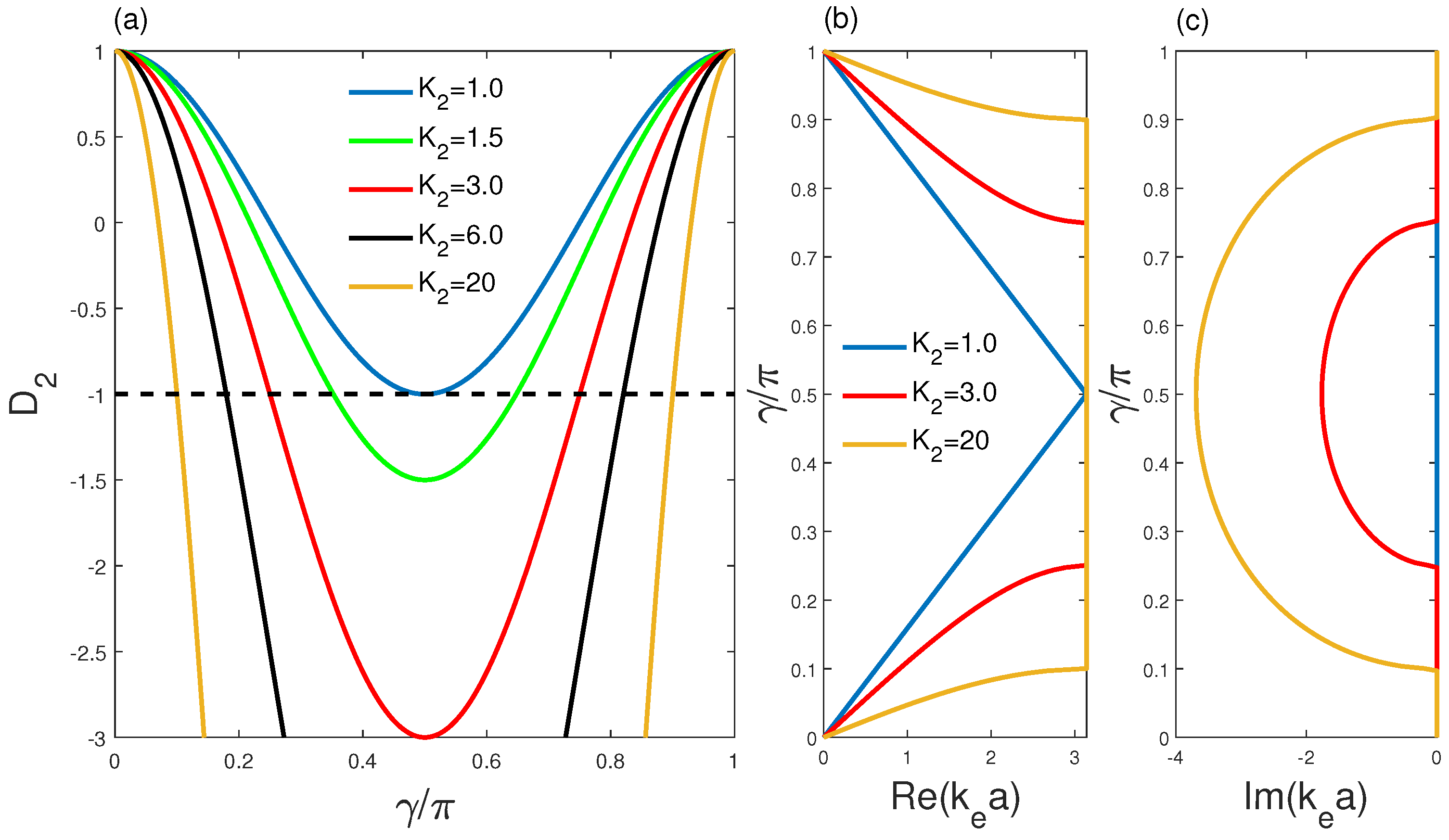
3.1.1. Two Layers per Cell
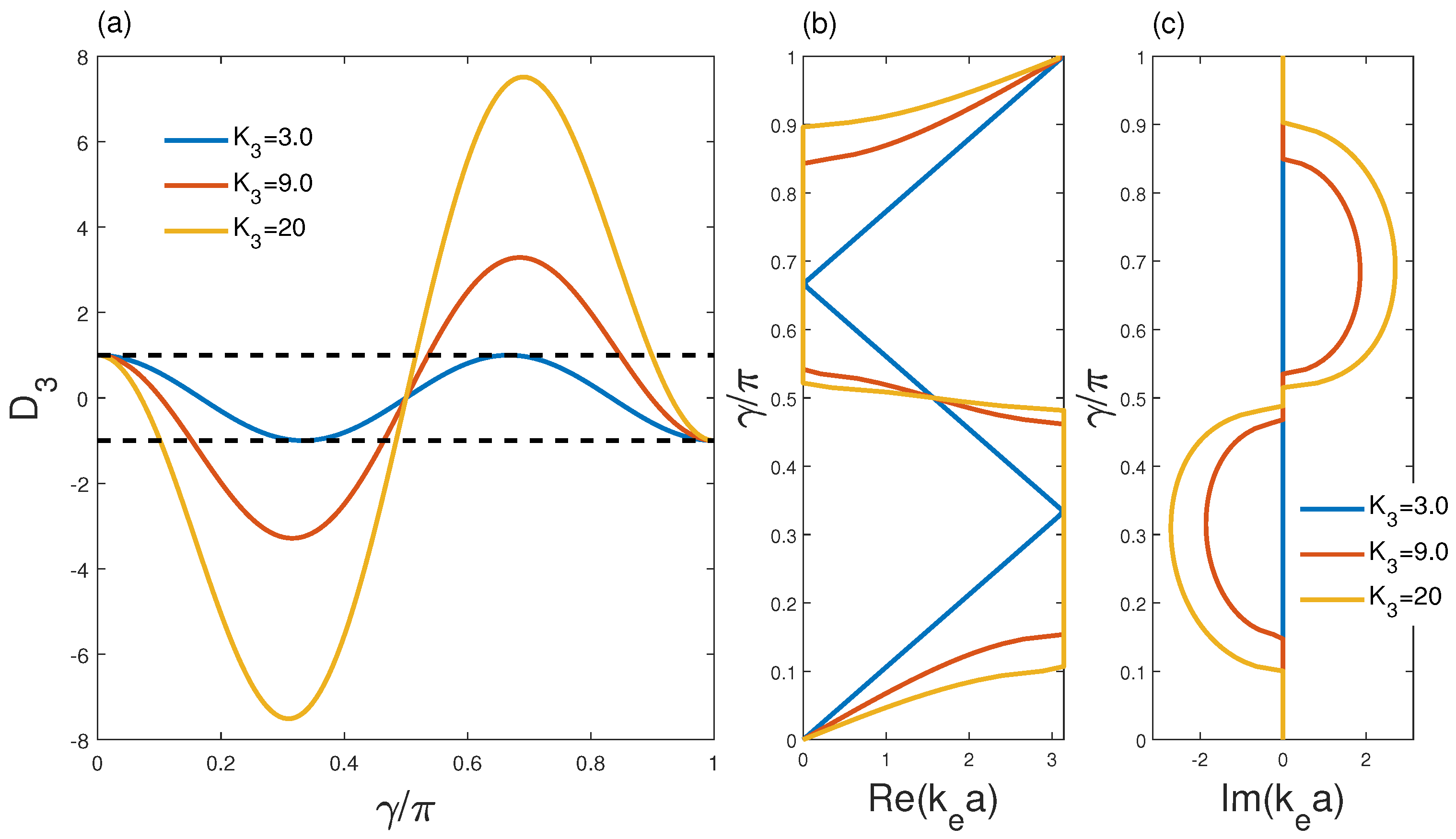
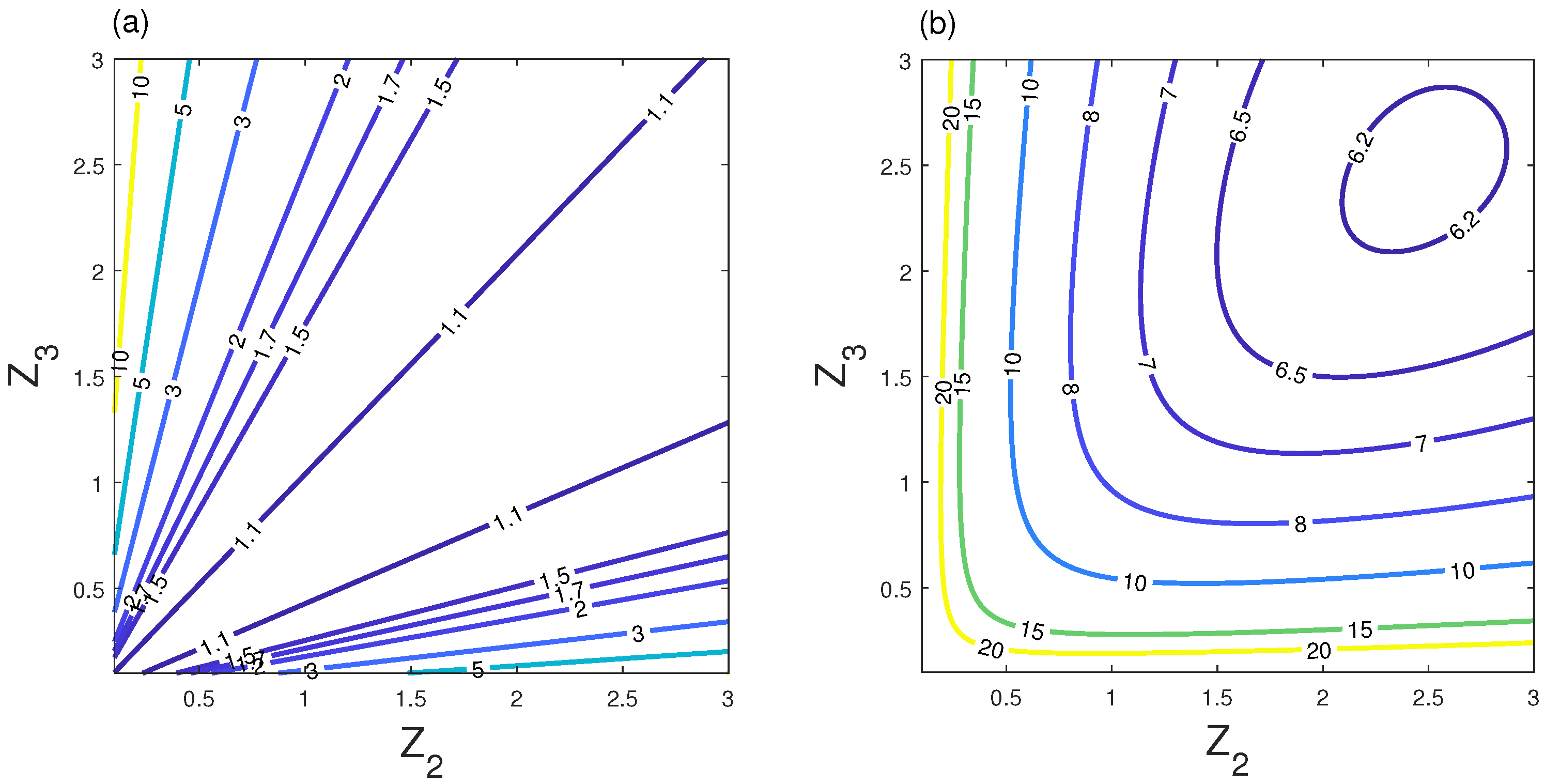
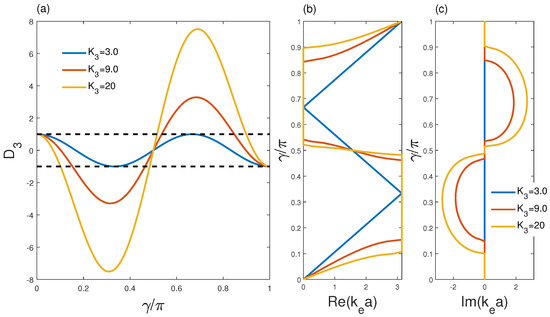
3.1.2. Three Layers per Cell
3.1.3. Four Layers per Cell
3.1.4. Five Layers per Cell
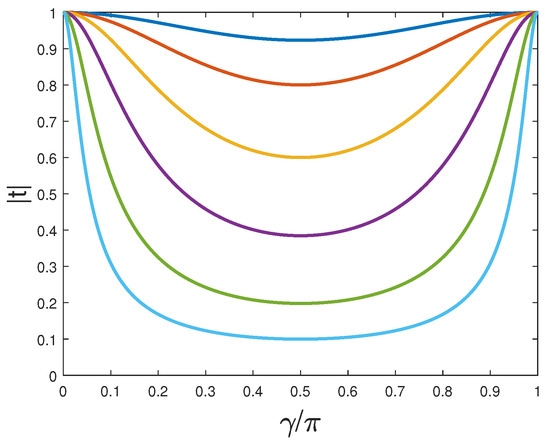
3.1.5. Higher Number of Layers
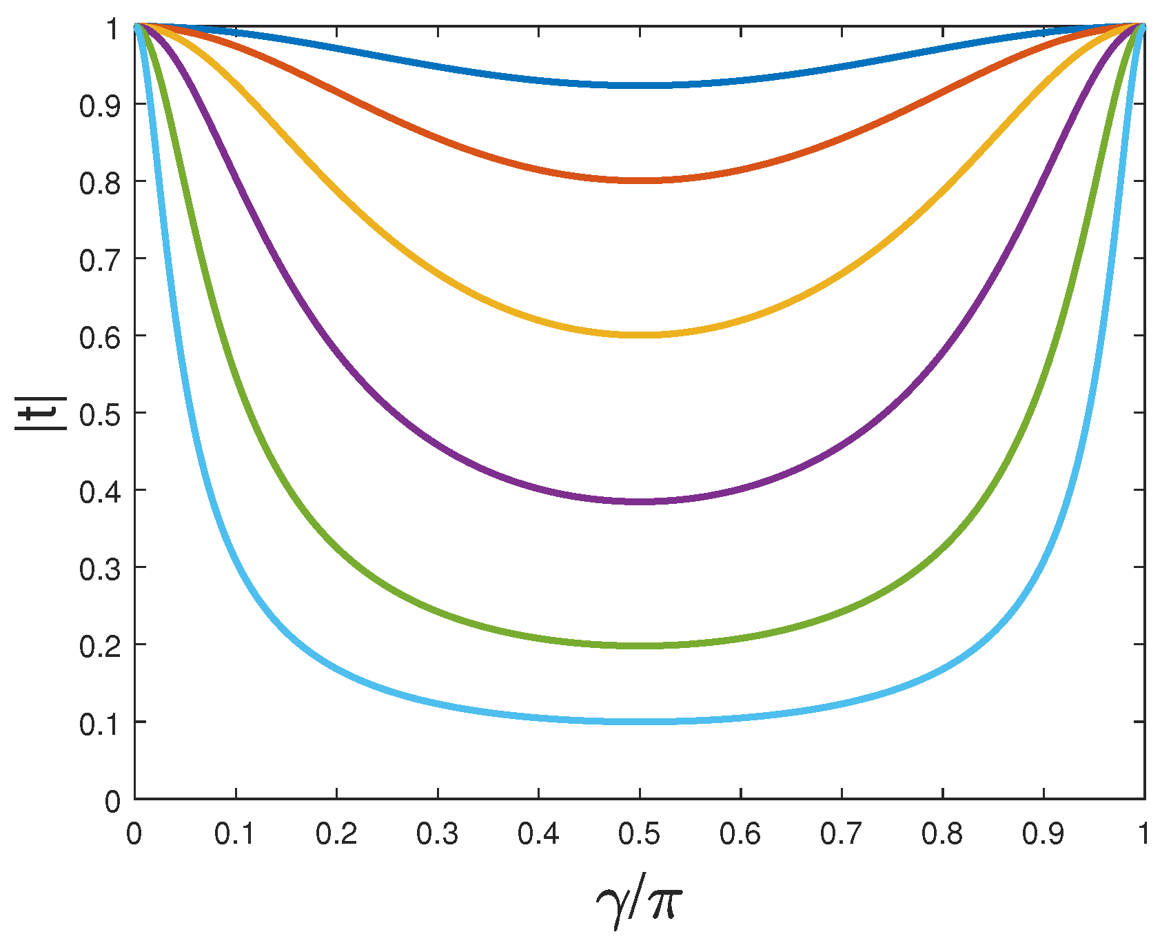
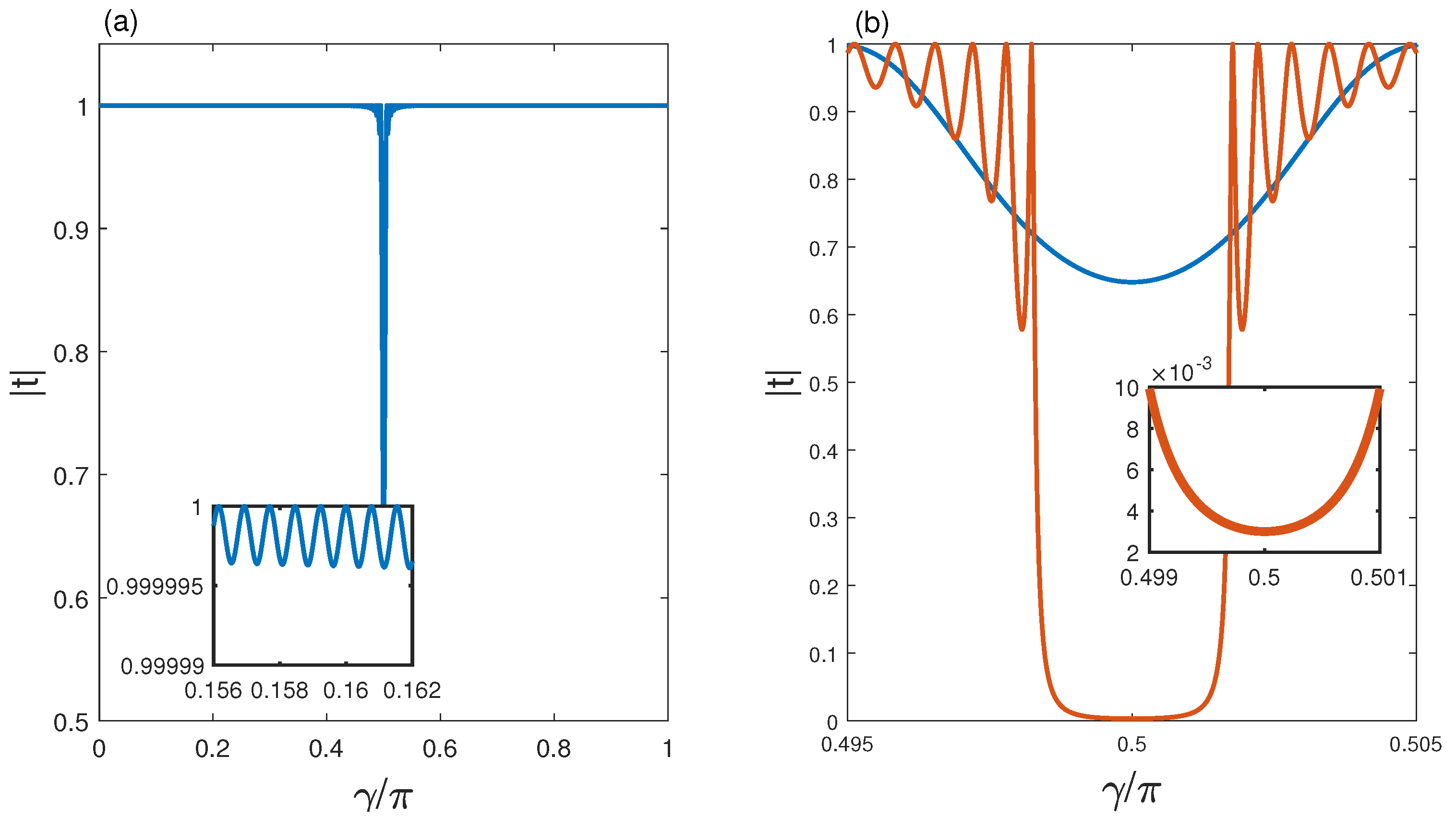
3.2. Finite Crystals
3.2.1. Two Layers per Cell
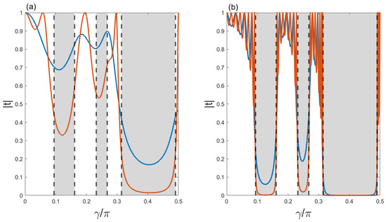
3.2.2. Three Layers per Cell
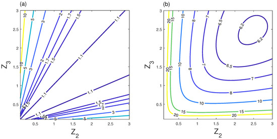
3.2.3. More Layers per Cell
4. Discussion
5. Conclusions
Author Contributions
Funding
Data Availability Statement
Conflicts of Interest
References
- Brillouin, L. Wave Propagation in Periodic Structures; MacGraw-Hill: New York, NY, USA, 1946. [Google Scholar]
- Ursin, B. Review of elastic and electromagnetic wave propagation in horizontally layered media. Geophysics 1983, 48, 1063–1081. [Google Scholar] [CrossRef]
- Brouard, B.; Lafarge, D.; Allard, J.F. A general method of modelling sound propagation in layered media. J. Sound Vib. 1995, 183, 129–142. [Google Scholar] [CrossRef]
- Brekhovskikh, L.M.; Godin, O.A. Acoustics of Layered Media I: Plane and Quasi-Plane Waves; Springer Science & Business Media: New York, NY, USA, 2012. [Google Scholar]
- Setaki, F.; Tenpierik, M.; Turrin, M.; van Timmeren, A. Acoustic absorbers by additive manufacturing. Build. Environ. 2014, 72, 188–200. [Google Scholar] [CrossRef]
- Fotsing, E.R.; Dubourg, A.; Ross, A.; Mardjono, J. Acoustic properties of periodic micro-structures obtained by additive manufacturing. Appl. Acoust. 2019, 148, 322–331. [Google Scholar] [CrossRef]
- Sekar, V.; Fouladi, M.H.; Namasivayam, S.N.; Sivanesan, S. Additive Manufacturing: A Novel Method for Developing an Acoustic Panel Made of Natural Fiber-Reinforced Composites with Enhanced Mechanical and Acoustical Properties. J. Eng. 2019, 2019, 4546863. [Google Scholar] [CrossRef]
- Shen, M.; Cao, W. Acoustic band-gap engineering using finite-size layered structures of multiple periodicity. Appl. Phys. Lett. 1999, 75, 3713–3715. [Google Scholar] [CrossRef]
- Mangipudi, K.R.; Jooss, C.; Volkert, C.A. Achieving large acoustic and phonon band gaps in multilayered structures. Phys. Status Solidi A 2016, 213, 824–830. [Google Scholar] [CrossRef]
- Isaac, C.W.; Pawelczyk, M.; Wrona, S. Comparative study of sound transmission losses of sandwich composite double panel walls. Appl. Sci. 2020, 10, 1543. [Google Scholar] [CrossRef]
- Ciaburro, G.; Parente, R.; Iannace, G.; Puyana-Romero, V. Design optimization of three-layered metamaterial acoustic absorbers based on PVC reused membrane and metal washers. Sustainability 2022, 14, 4218. [Google Scholar] [CrossRef]
- Martin, P. N masses on an infinite string and related one-dimensional scattering problems. Wave Motion 2014, 51, 296–307. [Google Scholar] [CrossRef]
- Jiménez, N.; Umnova, O.; Groby, J.P. Acoustic Waves in Periodic Structures, Metamaterials, and Porous Media; Springer: Berlin/Heidelberg, Germany, 2022. [Google Scholar]
- Sánchez-Soto, L.L.; Monzón, J.J.; Barriuso, A.G.; Cariñena, J.F. The transfer matrix: A geometrical perspective. Phys. Rep. 2012, 513, 191–227. [Google Scholar] [CrossRef]
- Adler, E.L. Matrix methods applied to acoustic waves in multilayers. IEEE Trans. Ultrason. Ferroelectr. Freq. Control 1990, 37, 485–490. [Google Scholar] [CrossRef] [PubMed]
- Lee, C.M.; Xu, Y. A modified transfer matrix method for prediction of transmission loss of multilayer acoustic materials. J. Sound Vib. 2009, 326, 290–301. [Google Scholar] [CrossRef]
- Li, J.; Zhu, X.; Shen, C.; Peng, X.; Cummer, S.A. Transfer matrix method for the analysis of space-time-modulated media and systems. Phys. Rev. B 2019, 100, 144311. [Google Scholar] [CrossRef]
- Mackay, T.G.; Lakhtakia, A. The Transfer-Matrix Method in Electromagnetics and Optics; Springer Nature: Berlin, Germany, 2022. [Google Scholar]
- Fayon, L.; Knapmeyer-Endrun, B.; Lognonné, P.; Bierwirth, M.; Kramer, A.; Delage, P.; Karakostas, F.; Kedar, S.; Murdoch, N.; Garcia, R.F.; et al. A numerical model of the SEIS leveling system transfer matrix and resonances: Application to SEIS rotational seismology and dynamic ground interaction. Space Sci. Rev. 2018, 214, 119. [Google Scholar] [CrossRef]
- Liang, J.; Wu, M.; Ba, Z.; Lee, V.W. Transfer matrix solution to free-field response of a multi-layered transversely isotropic poroelastic half-plane. Soil Dyn. Earthq. Eng. 2020, 134, 106168. [Google Scholar] [CrossRef]
- Biswas, D.; Kumar, V. Improved transfer matrix methods for calculating quantum transmission coefficient. Phys. Rev. E 2014, 90, 013301. [Google Scholar] [CrossRef] [PubMed]
- Ibarra-Reyes, M.; Pérez-Álvarez, R.; Rodríguez-Vargas, I. Transfer matrix in 1D Dirac-like problems. J. Phys. Condens. Matter 2023, 35, 395301. [Google Scholar] [CrossRef]
- Lauriks, W.; Mees, P.; Allard, J. The acoustic transmission through layered systems. J. Sound Vib. 1992, 155, 125–132. [Google Scholar] [CrossRef]
- Song, B.H.; Bolton, J.S. A transfer-matrix approach for estimating the characteristic impedance and wave numbers of limp and rigid porous materials. J. Acoust. Soc. Am. 2000, 107, 1131–1152. [Google Scholar] [CrossRef]
- Dell, A.; Krynkin, A.; Horoshenkov, K.V. The use of the transfer matrix method to predict the effective fluid properties of acoustical systems. Appl. Acoust. 2021, 182, 108259. [Google Scholar] [CrossRef]
- Sigalas, M.M. Elastic and acoustic wave band structure. J. Sound Vib. 1992, 158, 377–382. [Google Scholar] [CrossRef]
- Khelif, A.; Adibi, A. Phononic Crystals; Springer: Berlin/Heidelberg, Germany, 2015. [Google Scholar]
- Stoica, L.G.; Marco, A.D.; Gori, P. Metamodeling and optimisation of a sonic crystal-based noise attenuation device. In Proceedings of the INTER-NOISE and NOISE-CON Congress and Conference Proceedings, Seoul, Republic of Korea, 23–26 August 2020; Volume 261, pp. 256–266. [Google Scholar]
- Vasileiadis, T.; Varghese, J.; Babacic, V.; Gomis-Bresco, J.; Navarro Urrios, D.; Graczykowski, B. Progress and perspectives on phononic crystals. J. Appl. Phys. 2021, 129, 160901. [Google Scholar] [CrossRef]
- D’Orazio, T.; Asdrubali, F.; Godinho, L.; Veloso, M.; Amado-Mendes, P. Experimental and numerical analysis of wooden sonic crystals applied as noise barriers. Environments 2023, 10, 116. [Google Scholar] [CrossRef]
- Goupillaud, P.L. An approach to inverse filtering of near-surface layer effects from seismic records. Geophysics 1961, 26, 754–760. [Google Scholar] [CrossRef]
- Velo, A.P.; Gazonas, G.A. Optimal design of a two-layered elastic strip subjected to transient loading. Int. J. Solids Struct. 2003, 40, 6417–6428. [Google Scholar] [CrossRef]
- Gazonas, G.; Velo, A. Analytical solutions for the resonance response of Goupillaud-type elastic media using z-transform methods. Wave Motion 2012, 49, 135–151. [Google Scholar] [CrossRef]
- Farmer, C.; Ockendon, H.; Ockendon, J. One-dimensional acoustic waves in air/water mixtures. Wave Motion 2021, 106, 102798. [Google Scholar] [CrossRef]
- Asdrubali, F.; Schiavoni, S.; Horoshenkov, K. A review of sustainable materials for acoustic applications. Build. Acoust. 2012, 19, 283–311. [Google Scholar] [CrossRef]
- Gori, P.; Guattari, C.; Asdrubali, F.; de Lieto Vollaro, R.; Monti, A.; Ramaccia, D.; Bilotti, F.; Toscano, A. Sustainable acoustic metasurfaces for sound control. Sustainability 2016, 8, 107. [Google Scholar] [CrossRef]
- Kinsler, L.E.; Frey, A.R.; Coppens, A.B.; Sanders, J.V. Fundamentals of Acoustics; Wiley: New York, NY, USA, 2000. [Google Scholar]
- Abramowitz, M.; Stegun, I.A. Handbook of Mathematical Functions with Formulas, Graphs, and Mathematical Tables; Dover: New York, NY, USA, 1972. [Google Scholar]
- Hardy, G.H. A Course of Pure Mathematics; Cambridge University Press: Cambridge, UK, 2008. [Google Scholar]
- Grosso, G.; Parravicini, G.P. Solid State Physics; Academic Press: Cambridge, MA, USA; Elsevier: Amsterdam, The Netherlands, 2014. [Google Scholar]

















Disclaimer/Publisher’s Note: The statements, opinions and data contained in all publications are solely those of the individual author(s) and contributor(s) and not of MDPI and/or the editor(s). MDPI and/or the editor(s) disclaim responsibility for any injury to people or property resulting from any ideas, methods, instructions or products referred to in the content. |
© 2025 by the authors. Licensee MDPI, Basel, Switzerland. This article is an open access article distributed under the terms and conditions of the Creative Commons Attribution (CC BY) license (https://creativecommons.org/licenses/by/4.0/).
Share and Cite
Gori, P.; Guattari, C.; Evangelisti, L.; De Lieto Vollaro, R.; Asdrubali, F. Layered Acoustic Structures with Equally Phased Elements. Acoustics 2025, 7, 12. https://doi.org/10.3390/acoustics7010012
Gori P, Guattari C, Evangelisti L, De Lieto Vollaro R, Asdrubali F. Layered Acoustic Structures with Equally Phased Elements. Acoustics. 2025; 7(1):12. https://doi.org/10.3390/acoustics7010012
Chicago/Turabian StyleGori, Paola, Claudia Guattari, Luca Evangelisti, Roberto De Lieto Vollaro, and Francesco Asdrubali. 2025. "Layered Acoustic Structures with Equally Phased Elements" Acoustics 7, no. 1: 12. https://doi.org/10.3390/acoustics7010012
APA StyleGori, P., Guattari, C., Evangelisti, L., De Lieto Vollaro, R., & Asdrubali, F. (2025). Layered Acoustic Structures with Equally Phased Elements. Acoustics, 7(1), 12. https://doi.org/10.3390/acoustics7010012

