The Stability and Chloride Entrapping Capacity of ZnAl-NO2 LDH in High-Alkaline/Cementitious Environment
Abstract
1. Introduction
2. Materials and Methods
2.1. Material Synthesis
2.2. Materials Characterization
2.3. Stability of ZnAl-NO2 in the High pH Range
2.4. Chloride Binding Capacity
2.5. Compatibility of LDH with Cement Paste
2.6. Chloride Sensors Embedded in Mortars
2.7. Corrosion Testing
3. Results and Discussion
3.1. Characterization of the ZnAl-NO2
3.2. Stability in High-Alkaline Environment
3.2.1. Release of NO2− Ions
3.2.2. XRD Analysis of LDH Exposed to Alkaline Solutions
3.3. Chloride Entrapment and the Effect of pH
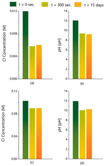
3.3.1. Effect of Time on the Chloride Entrapment
3.3.2. Chloride Binding Capacity
3.4. Compatibility with Cement
3.5. Embedded Sensors and Chloride Ingress in Mortar
3.6. Corrosion of Steel Bar in Mortar with and without ZnAl-NO2
4. Conclusions
- The Zn-Al LDH presents very good chloride-capture capability in near-neutral pH. Our investigations reported a peak binding capacity of about ~45 mg of Cl per gram of LDH. However, as the pH increases, the chloride-capture capability of Zn-Al LDH is reduced.
- The LDH is stable in alkaline medium, until pH ~12.5. Partial dissolution occurs at a higher pH, with the release of the constituent anions (Zn2+, Al3+, NO2−) to the environment.
- The ZnAl-NO2 delays the hardening of cement paste and mortars. This has been attributed to the zinc ions released by the partial LDH dissolution which interfere with the cement hydration reaction.
- The partial dissolution and preferential capture of OH− at the pH values typical of cementitious material suggest the inadequacy of ZnAl-NO2 for the chloride capture inside concrete, where a pH higher than 13 is possible.
- Mortars with the LDH presented a slower penetration of Cl− ions and led to higher corrosion resistance of the embedded steel rebar, even with a small amount (0.3% of total mass of mortar). Earlier studies pointed out that LDH dissolution can possibly lead to higher amounts of AFm being generated. However, additional experiments are needed to clarify this effect for ZnAl LDH. As a future scope to this work, more work will be performed to investigate the dissolution and working mechanism of LDH in concrete and will be reported in future.
Author Contributions
Funding
Data Availability Statement
Conflicts of Interest
References
- Page, C.L. Mechanism of Corrosion Protection in Reinforced-Concrete Marine Structures. Nature 1975, 258, 514–515. [Google Scholar] [CrossRef]
- Tuutti, K. Corrosion of Steel in Concrete. Technical Report; Swedish Cement and Concrete Research Institute: Stockholm, Sweden, 1982. [Google Scholar]
- Bertolini, L.; Elsener, B.; Pedeferri, P.; Redaelli, E.; Polder, R. Corrosion of Steel in Concrete: Prevention, Diagnosis, Repair; Wiley: Hoboken, NJ, USA, 2013. [Google Scholar]
- Angst, U. Challenges and Opportunities in Corrosion of Steel in Concrete. Mater. Struct. 2018, 51, 1–20. [Google Scholar] [CrossRef]
- Lian, C.; Zhuge, Y.; Beecham, S. The Relationship between Porosity and Strength for Porous Concrete. Constr. Build. Mater. 2011, 25, 4294–4298. [Google Scholar] [CrossRef]
- Alonso, C.; Andrade, C.; Castellote, M.; Castro, P. Chloride Threshold Values to Depassivate Reinforcing Bars Embedded in a Standardized Opc Mortar. Cem. Concr. Res. 2007, 30, 1047–1055. [Google Scholar] [CrossRef]
- Ghods, P.; Isgor, O.B.; McRae, G.A.; Li, J.; Gu, G.P. Microscopic Investigation of Mill Scale and Its Proposed Effect on the Variability of Chloride-Induced Depassivation of Carbon Steel Rebar. Corros. Sci. 2011, 53, 946–954. [Google Scholar] [CrossRef]
- Mir, M.Z.; Bastos, A.; Höche, D.; Zheludkevich, M.L. Recent Advances on the Application of Layered Double Hydroxides in Concrete—A Review. Materials 2020, 13, 1426. [Google Scholar] [CrossRef]
- Li, F.; Duan, X. Applications of Layered Double Hydroxides. In Layered Double Hydroxides; Duan, X., David, E.G., Eds.; Springer: Berlin/Heidelberg, Germany, 2006. [Google Scholar]
- Peng, C.; Yu, J.Y.; Zhao, Z.J.; Dai, J.; Fu, J.Y.; Zhao, M.L.; Wang, W. Synthesis and Properties of a Clean and Sustainable Deicing Additive for Asphalt Mixture. PLoS ONE 2015, 10, e0115721. [Google Scholar] [CrossRef] [PubMed]
- Kirm, I.; Francesc, M.; Xavier, R.; Cesteros, Y.; Salagre, P.; Sueiras, J. Epoxidation of Styrene with Hydrogen Peroxide Using Hydrotalcites as Heterogeneous Catalysts. Appl. Catalysis A General 2004, 272, 175–185. [Google Scholar] [CrossRef]
- Park, D.H.; Choi, G.; Choy, J.H. Bio-Layered Double Hydroxides Nanohybrids for Theranostics Applications. In Photofunctional Layered Materials; Dongpeng, Y., Min, W., Eds.; Springer International Publishing: Cham, Switzerland, 2015. [Google Scholar]
- Ogawa, M.; Kazuyuki, K. Photofunctions of Intercalation Compounds. Chem. Rev. 1995, 15, 399–438. [Google Scholar] [CrossRef]
- Liao, C.-S.; Wei-Bin, Y. Structure and Conductive Properties of Poly (Ethylene Oxide)/Layered Double Hydroxide Nanocomposite Polymer Electrolytes. Electrochim. Acta 2004, 49, 4993–4998. [Google Scholar] [CrossRef]
- Tedim, J.; Kuznetsova, A.; Salak, A.N.; Montemor, F.; Snihirova, D.; Pilz, M.; Zheludkevich, M.L.; Ferreira, M.G.S. Zn-Al Layered Double Hydroxides as Chloride Nanotraps in Active Protective Coatings. Corros. Sci. 2012, 55, 1–4. [Google Scholar] [CrossRef]
- Choy, J.H.; Kwak, S.Y.; Park, J.S.; Jeong, Y.J.; Portier, J. Intercalative Nanohybrids of Nucleoside Monophosphates and DNA in Layered Metal Hydroxide. J. Am. Chem. Soc. 1999, 121, 1399–1400. [Google Scholar] [CrossRef]
- Martin, K.J.; Thomas, J.P. Layered Double Hydroxides as Supported Anionic Reagents. Halide-Ion Reactivity in Zinc Chromium Hexahydroxide Halide Hydrates [Zn2Cr(OH)6x. NH2O](X = Cl, I). J. Am. Chem. Soc. 1986, 108, 541–542. [Google Scholar] [CrossRef] [PubMed]
- Crepaldi, E.L.; Paulo, C.P.; João, B.V. Comparative Study of the Coprecipitation Methods for the Preparation of Layered Double Hydroxides. J. Braz. Chem. Soc. 2000, 11, 64–70. [Google Scholar] [CrossRef]
- He, J.; Min, W.; Bo, L.; Yu, K.; David, G.E.; Duan, X. Preparation of Layered Double Hydroxides. In Layered Double Hydroxides; Duan, X., David, G.E., Eds.; Springer: Berlin/Heidelberg, Germany, 2006. [Google Scholar]
- Costa, D.G.; Rocha, A.B.; Souza, W.F.; Chiaro, S.S.X.; Leitão, A.A. Comparative Structural, Thermodynamic and Electronic Analyses of Znalan−Hydrotalcite-Like Compounds (an−Cl−, F−, Br−, OH−, CO32− or NO3−): An Ab Initio Study. Appl. Clay Sci. 2012, 56, 16–22. [Google Scholar] [CrossRef]
- Hibino, T. Anion Selectivity of Layered Double Hydroxides: Effects of Crystallinity and Charge Density. Eur. J. Inorg. Chem. 2018, 6, 722–730. [Google Scholar] [CrossRef]
- Zuo, J.D.; Wu, B.; Luo, C.Y.; Dong, B.Q.; Xing, F. Preparation of Mgal Layered Double Hydroxides Intercalated with Nitrite Ions and Corrosion Protection of Steel Bars in Simulated Carbonated Concrete Pore Solution. Corros. Sci. 2019, 152, 120–129. [Google Scholar] [CrossRef]
- Raki, L.; Beaudoin, J.J.; Mitchell, L. Layered Double Hydroxide-Like Materials: Nanocomposites for Use in Concrete. Cem. Concr. Res. 2004, 34, 1717–1724. [Google Scholar] [CrossRef]
- Xu, S.; Chen, Z.; Zhang, B.; Yu, J.; Zhang, F.; Evans, D.G. Facile Preparation of Pure CaAl-Layered Double Hydroxides and Their Application as a Hardening Accelerator in Concrete. Chem. Eng. J. 2009, 155, 881–885. [Google Scholar] [CrossRef]
- Shui, Z.; Juntao, M.; Wei, C.; Xiaoxing, C. Chloride Binding Capacity of Cement Paste Containing Layered Double Hydroxide (Ldh). J. Test. Eval. 2012, 40, 796–800. [Google Scholar]
- Duan, P.; Chen, W.; Ma, J.; Shui, Z. Influence of Layered Double Hydroxides on Microstructure and Carbonation Resistance of Sulphoaluminate Cement Concrete. Constr. Build. Mater. 2013, 48, 601–609. [Google Scholar]
- Mir, Z.M.; Alexandre, B.; Celestino, G.; Urs, M.; Alonso, M.C.; Villar, K.; Miguel, P.; Rabade, F.M.; Cláudia, M.; Rocha, P.M.; et al. Numerical and Experimental Analysis of Self-Protection in Reinforced Concrete Due to Application of Mg–Al–No2 Layered Double Hydroxides. Adv. Eng. Mater. 2020, 22, 2000398. [Google Scholar] [CrossRef]
- Chen, Y.X.; Shui, Z.H.; Chen, W.; Chen, G.W. Chloride Binding of Synthetic Ca-Al-No3 Ldhs in Hardened Cement Paste. Constr. Build. Mater. 2015, 93, 1051–1058. [Google Scholar] [CrossRef]
- Yoon, S.; Moon, J.; Bae, S.; Duan, X.N.; Giannelis, E.P.; Monteiro, P.M. Chloride Adsorption by Calcined Layered Double Hydroxides in Hardened Portland Cement Paste. Mater. Chem. Phys. 2014, 145, 376–386. [Google Scholar] [CrossRef]
- Yang, Z.; Fischer, H.; Polder, R. Modified Hydrotalcites as a New Emerging Class of Smart Additive of Reinforced Concrete for Anticorrosion Applications: A Literature Review. Mater. Corros. Werkst. Korros. 2013, 64, 1066–1074. [Google Scholar] [CrossRef]
- Tian, Y.W.; Dong, C.F.; Wang, G.; Cheng, X.Q.; Li, X.G. Zn-Al-No2 Layered Double Hydroxide as a Controlled-Release Corrosion Inhibitor for Steel Reinforcements. Mater. Lett. 2019, 236, 517–520. [Google Scholar] [CrossRef]
- SINTEF. Norway European Union’s Project, Lorcenis–Long Lasting Reinforced Concrete for Energy Infrastructure under Severe Operating Conditions, European Union Horizon 2020 Programme; SINTEF: Trondheim, Norway, 2016–2020. [Google Scholar]
- Poznyak, S.K.; Tedim, J.; Rodrigues, L.M.; Salak, A.N.; Zheludkevich, M.L.; Dick, L.F.P.; Ferreira, M.G.S. Novel Inorganic Host Layered Double Hydroxides Intercalated with Guest Organic Inhibitors for Anticorrosion Applications. Acs Appl. Mater. Interfaces 2009, 1, 2353–2362. [Google Scholar] [CrossRef]
- Cao, Y.H.; Dong, S.G.; Zheng, D.J.; Wang, J.J.; Zhang, X.J.; Du, R.G.; Song, G.L.; Lin, C.J. Multifunctional Inhibition Based on Layered Double Hydroxides to Comprehensively Control Corrosion of Carbon Steel in Concrete. Corros. Sci. 2017, 126, 166–179. [Google Scholar] [CrossRef]
- Ewald, P.P. William Henry Bragg and the New Crystallography. Nature 1962, 195, 320–325. [Google Scholar] [CrossRef]
- Lv, L.; Sun, P.; Gu, Z.; Du, H.; Pang, X.; Tao, X.; Xu, R.; Xu, L. Removal of Chloride Ion from Aqueous Solution by Znal-No(3) Layered Double Hydroxides as Anion-Exchanger. J. Hazard. Mater. 2009, 161, 1444–1449. [Google Scholar] [CrossRef]
- Trezza, M.A. Hydration Study of Ordinary Portland Cement in the Presence of Zinc Ions. Mater. Res. 2007, 10, 331–334. [Google Scholar] [CrossRef]
- Asavapisit, S.; Fowler, G.; Cheeseman, C.R. Solution Chemistry During Cement Hydration in the Presence of Metal Hydroxide Wastes. Cem. Concr. Res. 1997, 17, 1249–1260. [Google Scholar] [CrossRef]
- Stephan, D.H.; Maleki, D.K.; Eber, B.; Härdtl, R. Influence of Cr, Ni, and Zn on the Properties of Pure Clinker Phases: Part, I. C3s. Cem. Concr. Res. 1999, 29, 545–552. [Google Scholar] [CrossRef]
- Franke, W.; Magdalena, B.-S.; Tandre, O.; Gaurav, S. The Fate of Nitrate Ions in Concrete under the Focus of Corrosion Inhibition. In Proceedings of the 2nd International Conference on Durability of Concrete Structures, ICDCS 2010, Sapporo, Japan, 24–26 November 2010. [Google Scholar]
- Justnes, H.; Nygaard, E.C. Technical Calcium Nitrate as Set Accelerator for Cement at Low Temperatures. Cem. Concr. Res. 1995, 25, 1766–1774. [Google Scholar]
- Gomes, G.; Mir, Z.; Sampaio, R.; Bastos, A.; Tedim, J.; Maia, F.; Rocha, C.; Ferreira, M. Use of Znal-Layered Double Hydroxide (Ldh) to Extend the Service Life of Reinforced Concrete. Materials 2020, 13, 1769. [Google Scholar]
- Qu, Z.Y.; Yu, Q.L.; Brouwers, H.J.H. Relationship between the Particle Size and Dosage of Ldhs and Concrete Resistance against Chloride Ingress. Cem. Concr. Res. 2018, 105, 81–90. [Google Scholar] [CrossRef]
- Andrade, C.; Diez, L.M.; Alonso, C. Mathematical Modeling of a Concrete Surface ’’Skin Effect’’ on Diffusion in Chloride Contaminated Media. Adv. Cem. Based Mater. 1997, 6, 39–44. [Google Scholar] [CrossRef]
- Castro, P.; de Rincon, O.T.; Pazini, E.J. Interpretation of Chloride Profiles from Concrete Exposed to Tropical Marine Environments. Cem. Concr. Res. 2001, 31, 529–537. [Google Scholar] [CrossRef]
- De Weerdt, K.; Orsáková, D.; Müller, A.C.A.; Larsen, C.K.; Pedersen, B.; Geiker, M.R. Towards the Understanding of Chloride Profiles in Marine Exposed Concrete, Impact of Leaching and Moisture Content. Constr. Build. Mater. 2016, 120, 418–431. [Google Scholar] [CrossRef]
- Chen, P.; Ma, B.; Tan, H.; Liu, X.; Zhang, T.; Qi, H.; Peng, Y.; Yang, Q.; Wang, J. Effects of Amorphous Aluminum Hydroxide on Chloride Immobilization in Cement-Based Materials. Constr. Build. Mater. 2020, 231, 117171. [Google Scholar]

















Publisher’s Note: MDPI stays neutral with regard to jurisdictional claims in published maps and institutional affiliations. |
© 2021 by the authors. Licensee MDPI, Basel, Switzerland. This article is an open access article distributed under the terms and conditions of the Creative Commons Attribution (CC BY) license (http://creativecommons.org/licenses/by/4.0/).
Share and Cite
Mir, Z.M.; Gomes, C.; Bastos, A.C.; Sampaio, R.; Maia, F.; Rocha, C.; Tedim, J.; Höche, D.; Ferreira, M.G.S.; Zheludkevich, M.L. The Stability and Chloride Entrapping Capacity of ZnAl-NO2 LDH in High-Alkaline/Cementitious Environment. Corros. Mater. Degrad. 2021, 2, 78-99. https://doi.org/10.3390/cmd2010005
Mir ZM, Gomes C, Bastos AC, Sampaio R, Maia F, Rocha C, Tedim J, Höche D, Ferreira MGS, Zheludkevich ML. The Stability and Chloride Entrapping Capacity of ZnAl-NO2 LDH in High-Alkaline/Cementitious Environment. Corrosion and Materials Degradation. 2021; 2(1):78-99. https://doi.org/10.3390/cmd2010005
Chicago/Turabian StyleMir, Zahid M., Celestino Gomes, Alexandre C. Bastos, Rui Sampaio, Frederico Maia, Cláudia Rocha, João Tedim, Daniel Höche, Mario G. S. Ferreira, and Mikhail L. Zheludkevich. 2021. "The Stability and Chloride Entrapping Capacity of ZnAl-NO2 LDH in High-Alkaline/Cementitious Environment" Corrosion and Materials Degradation 2, no. 1: 78-99. https://doi.org/10.3390/cmd2010005
APA StyleMir, Z. M., Gomes, C., Bastos, A. C., Sampaio, R., Maia, F., Rocha, C., Tedim, J., Höche, D., Ferreira, M. G. S., & Zheludkevich, M. L. (2021). The Stability and Chloride Entrapping Capacity of ZnAl-NO2 LDH in High-Alkaline/Cementitious Environment. Corrosion and Materials Degradation, 2(1), 78-99. https://doi.org/10.3390/cmd2010005

