Supramolecular Chemistry of Polymer-Based Molecular Tweezers: A Minireview
Abstract
1. Introduction
History of Molecular Tweezers
2. Different Types of Polymer-Based Molecular Tweezers
- (i)
- The architecture of molecular tweezers, containing both spacer and pincers, are bonded to a polymer chain;
- (ii)
- The pincers are directly attached to the polymer chain. It means a short part of the polymer chain (a monomer unit or an oligomer) is the spacer of the molecular tweezers.
2.1. Molecular Tweezers Bound to a Polymer Chain
- i.
- A polyethylene glycol (PEG) polymer chain as a water-soluble carrier;
- ii.
- Two naphthalene rings as the pincers of the tweezers;
- iii.
- A methoxyphenyl pyridine methoxyphenyl triad unit as the pH-responsive part of the tweezers.
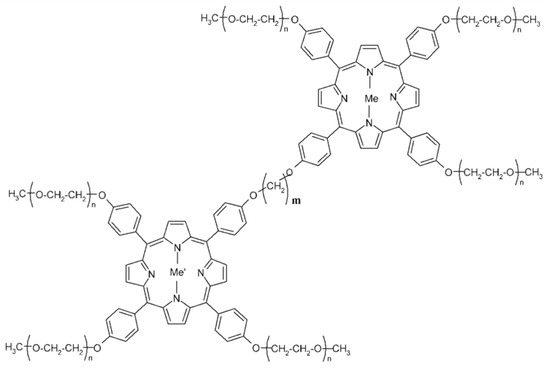
2.2. Molecular Tweezers That Use the Polymer Chain as the Spacer
3. Future Perspectives

4. Conclusions
Author Contributions
Funding
Conflicts of Interest
References
- Shahpasand-Kroner, H.; Siddique, I.; Malik, R.; Linares, G.R.; Ivanova, M.I.; Ichida, J.; Weil, T.; Müunch, J.; Sanchez-Garcia, E.; Klüarner, F.G.; et al. Molecular Tweezers: Supramolecular Hosts with Broad-Spectrum Biological Applications. Pharmacol. Rev. 2023, 75, 263–308. [Google Scholar] [CrossRef] [PubMed]
- El-Refaey, A.; Kozawa, D.; Kameda, T.; Kato, Y.K.; Ito, Y.; Kawamoto, M. Diameter-Selective Sorting of Single-Walled Carbon Nanotubes Using π-Molecular Tweezers for Energy Materials. ACS Appl. Nano Mater. 2023, 6, 1919–1926. [Google Scholar] [CrossRef]
- Qian, C.; Chen, J.; Wang, C.; Wang, Q.; Wang, X.; Wang, X. Light-Controlled Molecular Tweezers Capture Specific Amyloid Oligomers. Aggregate 2024, 5, e463. [Google Scholar] [CrossRef]
- Leblond, J.; Petitjean, A. Molecular Tweezers: Concepts and Applications. ChemPhysChem 2011, 12, 1043–1051. [Google Scholar] [CrossRef] [PubMed]
- Blom, M.; Norrehed, S.; Andersson, C.H.; Huang, H.; Light, M.E.; Bergquist, J.; Grennberg, H.; Gogoll, A. Synthesis and Properties of Bis-Porphyrin Molecular Tweezers: Effects of Spacer Flexibility on Binding and Supramolecular Chirogenesis. Molecules 2016, 21, 16. [Google Scholar] [CrossRef]
- Mbarek, A.; Moussa, G.; Chain, J.L. Pharmaceutical Applications of Molecular Tweezers, Clefts and Clips. Molecules 2019, 24, 1803. [Google Scholar] [CrossRef]
- Chen, C.W.; Whitlock, H.W. Molecular Tweezers: A Simple Model of Bifunctional Intercalation. J. Am. Chem. Soc. 1978, 100, 4921–4922. [Google Scholar] [CrossRef]
- Zimmerman, S.C. Rigid Molecular Tweezers as Hosts for the Complexation of Neutral Guests. Top. Curr. Chem. 1993, 165, 71–102. [Google Scholar]
- Meiners, A.; Bäcker, S.; Hadrović, I.; Heid, C.; Beuck, C.; Ruiz-Blanco, Y.B.; Mieres-Perez, J.; Pörschke, M.; Grad, J.N.; Vallet, C.; et al. Specific Inhibition of the Survivin–CRM1 Interaction by Peptide-Modified Molecular Tweezers. Nat. Commun. 2021, 12, 1–13. [Google Scholar] [CrossRef]
- Msellem, P.; Dekthiarenko, M.; Seyd, N.H.; Vives, G. Switchable Molecular Tweezers: Design and Applications. Beilstein J. Org. Chem. 2024, 20, 504–539. [Google Scholar] [CrossRef]
- Yu, G.; Jie, K.; Huang, F. Supramolecular Amphiphiles Based on Host-Guest Molecular Recognition Motifs. Chem. Rev. 2015, 115, 7240–7303. [Google Scholar] [CrossRef] [PubMed]
- Oshchepkov, A.S. Buckybowl Molecular Tweezers for Recognition of Fullerenes. ChemPhysChem 2024, 25, 1–12. [Google Scholar] [CrossRef]
- Zimmerman, S.C.; Zeng, Z.; Wu, W.; Reichert, D.E. Synthesis and Structure of Molecular Tweezers Containing Active Site Functionality. J. Am. Chem. Soc. 1991, 113, 183–196. [Google Scholar] [CrossRef]
- Zimmerman, S.C.; VanZyl, C.M.; Hamilton, G.S. Rigid Molecular Tweezers: Preorganized Hosts for Electron Donor-Acceptor Complexation in Organic Solvents. J. Am. Chem. Soc. 1989, 111, 1373–1381. [Google Scholar] [CrossRef]
- Zheng, X.; Liu, D.; Klärner, F.G.; Schrader, T.; Bitan, G.; Bowers, M.T. Amyloid β-Protein Assembly: The Effect of Molecular Tweezers CLR01 and CLR03. J. Phys. Chem. B 2015, 119, 4831–4841. [Google Scholar] [CrossRef]
- Bier, D.; Rose, R.; Bravo-Rodriguez, K.; Bartel, M.; Ramirez-Anguita, J.M.; Dutt, S.; Wilch, C.; Klärner, F.-G.; Sanchez-Garcia, E.; Schrader, T.; et al. Molecular Tweezers Modulate 14-3-3 Protein-Protein Interactions. Nat. Chem. 2013, 5, 234–239. [Google Scholar] [CrossRef] [PubMed]
- Klärner, F.G.; Schrader, T. Aromatic Interactions by Molecular Tweezers and Clips in Chemical and Biological Systems. Acc. Chem. Res. 2013, 46, 967–978. [Google Scholar] [CrossRef] [PubMed]
- Klärner, F.G.; Kahlert, B. Molecular Tweezers and Clips as Synthetic Receptors. Molecular Recognition and Dynamics in Receptor-Substrate Complexes. Acc. Chem. Res. 2003, 36, 919–932. [Google Scholar] [CrossRef] [PubMed]
- D’Souz, L.J.; Maitra, U. Design, Synthesis, and Evaluation of Bile Acid-Based Molecular Tweezers. J. Org. Chem. 1996, 61, 9494–9502. [Google Scholar] [CrossRef]
- Harmata, M. Chiral Molecular Tweezers. Acc. Chem. Res. 2004, 37, 862–873. [Google Scholar] [CrossRef]
- Legouin, B.; Gayral, M.; Uriac, P.; Cupif, J.F.; Levoin, N.; Toupet, L.; Van De Weghe, P. Molecular Tweezers: Synthesis and Formation of Host-Guest Complexes. Eur. J. Org. Chem. 2010, 5503–5508. [Google Scholar] [CrossRef]
- Dutt, S.; Wilch, C.; Gersthagen, T.; Talbiersky, P.; Bravo-Rodriguez, K.; Hanni, M.; Sánchez-García, E.; Ochsenfeld, C.; Klärner, F.G.; Schrader, T. Molecular Tweezers with Varying Anions: A Comparative Study. J. Org. Chem. 2013, 78, 6721–6734. [Google Scholar] [CrossRef][Green Version]
- Lindqvist, M.; Borre, K.; Axenov, K.; Kótai, B.; Nieger, M.; Leskelä, M.; Pápai, I.; Repo, T. Chiral Molecular Tweezers: Synthesis and Reactivity in Asymmetric Hydrogenation. J. Am. Chem. Soc. 2015, 137, 4038–4041. [Google Scholar] [CrossRef] [PubMed]
- Heid, C.; Sowislok, A.; Schaller, T.; Niemeyer, F.; Klärner, F.G.; Schrader, T. Molecular Tweezers with Additional Recognition Sites. Chem. Eur. J. 2018, 24, 11332–11343. [Google Scholar] [CrossRef]
- Schrader, T.; Bitan, G.; Klärner, F.G. Molecular Tweezers for Lysine and Arginine-Powerful Inhibitors of Pathologic Protein Aggregation. Chem. Commun. 2016, 52, 11318–11334. [Google Scholar] [CrossRef]
- Attar, A.; Ripoli, C.; Riccardi, E.; Maiti, P.; Li Puma, D.D.; Liu, T.; Hayes, J.; Jones, M.R.; Lichti-Kaiser, K.; Yang, F.; et al. Protection of Primary Neurons and Mouse Brain from Alzheimer’s Pathology by Molecular Tweezers. Brain 2012, 135, 3735–3748. [Google Scholar] [CrossRef]
- Prabhudesai, S.; Sinha, S.; Attar, A.; Kotagiri, A.; Fitzmaurice, A.G.; Lakshmanan, R.; Ivanova, M.I.; Loo, J.I.; Klärner, F.; Schrader, T.; et al. A Novel “Molecular Tweezer” Inhibitor of α-Synuclein Neurotoxicity in Vitro and in Vivo. Neurotherapeutics 2012, 9, 464–476. [Google Scholar] [CrossRef] [PubMed]
- Zimmerman, S.C. A Journey in Bioinspired Supramolecular Chemistry: From Molecular Tweezers to Small Molecules That Target Myotonic Dystrophy. Beilstein J. Org. Chem. 2016, 12, 125–138. [Google Scholar] [CrossRef]
- Hardouin-Lerouge, M.; Hudhomme, P.; Sallé, M. Molecular Clips and Tweezers Hosting Neutral Guests. Chem. Soc. Rev. 2011, 40, 30–43. [Google Scholar] [CrossRef]
- Weil, T.; Kirupakaran, A.; Le, M.; Rebmann, P.; Mieres-Perez, J.; Issmail, L.; Conzelmann, C.; Müller, J.A.; Rauch, L.; Gilg, A.; et al. Advanced Molecular Tweezers with Lipid Anchors against SARS-CoV-2 and Other Respiratory Viruses. JACS Au 2022, 2, 2187–2202. [Google Scholar] [CrossRef]
- Choi, H.K.; Kim, H.G.; Shon, M.J.; Yoon, T.Y. High-Resolution Single-Molecule Magnetic Tweezers. Annu. Rev. Biochem. 2022, 91, 33–59. [Google Scholar] [CrossRef] [PubMed]
- Le, M.; Taghuo, E.S.; Schrader, T. Molecular tweezers—A new class of potent broad-spectrum antivirals against enveloped viruses. Chem. Commun. 2022, 58, 2954–2966. [Google Scholar] [CrossRef] [PubMed]
- Gao, Z.; Wei, C.; Han, Y.; Yuan, M.; Yan, X.; Wang, F. Near-Infrared-Emissive Self-Assembled Polymers via the Implementation of Molecular Tweezer/Guest Complexation on a Supramolecular Coordination Complex Platform. Chin. J. Polym. Sci. 2018, 36, 399–405. [Google Scholar] [CrossRef]
- Tian, Y.K.; Shi, Y.G.; Yang, Z.S.; Wang, F. Responsive Supramolecular Polymers Based on the Bis[Alkynylplatinum(II)] Terpyridine Molecular Tweezer/Arene Recognition Motif. Angew. Chem.–Int. Ed. 2014, 53, 6090–6094. [Google Scholar] [CrossRef]
- Tian, Y.K.; Han, Y.F.; Yang, Z.S.; Wang, F. Donor-Acceptor-Type Supramolecular Polymers Derived from Robust Yet Responsive Heterodimeric Tweezers. Macromolecules 2016, 49, 6455–6461. [Google Scholar] [CrossRef]
- Dial, B.E.; Shimizu, K.D. Applications of Supramolecular Chemistry; CRC Press: Boca Raton, FL, USA, 2012; pp. 301–320. [Google Scholar] [CrossRef]
- Zhu, Z.; Cardin, C.J.; Gan, Y.; Colquhoun, H.M. Sequence-Selective Assembly of Tweezer Molecules on Linear Templates Enables Frameshift-Reading of Sequence Information. Nat. Chem. 2010, 2, 653–660. [Google Scholar] [CrossRef]
- Han, Y.; Tian, Y.; Li, Z.; Wang, F. Donor-Acceptor-Type Supramolecular Polymers on the Basis of Preorganized Molecular Tweezers/Guest Complexation. Chem. Soc. Rev. 2018, 47, 5165–5176. [Google Scholar] [CrossRef] [PubMed]
- Vermonden, T.; van Nostrum, C.F.; Hennink, W.E.; van de Manakker, F. Cyclodextrin-Based Polymeric Materials: Synthesis, Properties, and Pharmaceutical/Biomedical Applications. Biomacromolecules 2009, 10, 3157–3175. [Google Scholar] [CrossRef]
- Song, X.; Mensah, N.N.; Wen, Y.; Zhu, J.; Zhang, Z.; Tan, W.S.; Chen, X.; Li, J. β-Cyclodextrin-Polyacrylamide Hydrogel for Removal of Organic Micropollutants from Water. Molecules 2021, 26, 5031. [Google Scholar] [CrossRef]
- Alves, N.M.; Mano, J.F. Chitosan Derivatives Obtained by Chemical Modifications for Biomedical and Environmental Applications. Int. J. Biol. Macromol. 2008, 43, 401–414. [Google Scholar] [CrossRef]
- Campos, E.V.R.; Oliveira, J.L.; Fraceto, L.F. Poly(Ethylene Glycol) and Cyclodextrin-Grafted Chitosan: From Methodologies to Preparation and Potential Biotechnological Applications. Front. Chem. 2017, 5, 1–15. [Google Scholar] [CrossRef] [PubMed]
- Yamada, S.; Sanada, Y.; Tamura, A.; Yui, N.; Sakurai, K. Chain Architecture and Flexibility of α-Cyclodextrin/PEG Polyrotaxanes in Dilute Solutions. Polym. J. 2015, 47, 464–467. [Google Scholar] [CrossRef]
- Morin-Crini, N.; Winterton, P.; Fourmentin, S.; Wilson, L.D.; Fenyvesi, É.; Crini, G. Water-Insoluble β-Cyclodextrin–Epichlorohydrin Polymers for Removal of Pollutants from Aqueous Solutions by Sorption Processes Using Batch Studies: A Review of Inclusion Mechanisms. Prog. Polym. Sci. 2018, 78, 1–23. [Google Scholar] [CrossRef]
- Anne, J.M.; Boon, Y.H.; Saad, B.; Miskam, M.; Yusoff, M.M.; Shahriman, M.S.; Zain, N.N.M.; Lim, V.; Raoov, M. B-Cyclodextrin Conjugated Bifunctional Isocyanate Linker Polymer for Enhanced Removal of 2,4-Dinitrophenol from Environmental Waters. R. Soc. Open Sci. 2018, 5, 1–22. [Google Scholar] [CrossRef] [PubMed]
- Rafai Far, A.; Lag Cho, Y.; Rang, A.; Rudkevich, D.M.; Rebek, J. Polymer-Bound Self-Folding Cavitands. Tetrahedron 2002, 58, 741–755. [Google Scholar] [CrossRef]
- Shimazawa, R.; Hashimoto, Y.; Iwasaki, S. Water Soluble Zimmerman Mlecular Tweezers Analogs: Dextran Coupling Method for Solubilization. Tetrahedron Lett. 1992, 33, 7197–7200. [Google Scholar] [CrossRef]
- Tamminen, J.; Kolehmainen, E. Bile Acids as Building Blocks of Supramolecular Hosts. Molecules 2001, 6, 21–46. [Google Scholar] [CrossRef]
- Burattini, S.; Greenland, B.W.; Hayes, W.; MacKay, M.E.; Rowan, S.J.; Colquhoun, H.M. A Supramolecular Polymer Based on Tweezer-Type π-π Stacking Interactions: Molecular Design for Healability and Enhanced Toughness. Chem. Mater. 2011, 23, 6–8. [Google Scholar] [CrossRef]
- Colquhoun, H.; Zhu, Z.; Cardin, C.J.; Drew, M.G.B.; Gan, Y. Recognition of Sequence-Information in Synthetic Copolymer Chains by a Conformationally-Constrained Tweezer Molecule. Faraday Discuss. 2009, 143, 205–220. [Google Scholar] [CrossRef]
- Elisa, L.; Baldini, F.; Giannetti, A.; Trono, C.; Carofiglio, T. Solid-Supported Zn(II) Porphyrin Tweezers as Optical Sensors for Diamines. Chem. Commun. 2010, 46, 3678–3680. [Google Scholar] [CrossRef]
- Leblond, J.; Gao, H.; Petitjean, A.; Leroux, J.C. PH-Responsive Molecular Tweezers. J. Am. Chem. Soc. 2010, 132, 8544–8545. [Google Scholar] [CrossRef] [PubMed]
- Dhamija, A.; Mondal, P.; Saha, B.; Rath, S.P. Induction, Control, and Rationalization of Supramolecular Chirogenesis Using Metalloporphyrin: Tweezers: A Structure-Function Correlation. Dalton Trans. 2020, 49, 10679–10700. [Google Scholar] [CrossRef] [PubMed]
- Luciano, M.; Brückner, C. Modifications of Porphyrins and Hydroporphyrins for Their Solubilization in Aqueous Media. Molecules 2017, 22, 980. [Google Scholar] [CrossRef] [PubMed]
- Percástegui, E.G.; Ronson, T.K.; Nitschke, J.R. Design and Applications of Water-Soluble Coordination Cages. Chem. Rev. 2020, 120, 13480–13544. [Google Scholar] [CrossRef]
- Scamporrino, E.; Mineo, P.; Dattilo, S.; Vitalini, D.; Spina, E. Uncharged Water-Soluble Metal-Bis- Porphyrins like Molecular Tweezers for Amino Acids. Macromol. Rapid Commun. 2007, 28, 1546–1552. [Google Scholar] [CrossRef]
- Li, Z.; Siddique, I.; Hadrović, I.; Kirupakaran, A.; Li, J.; Zhang, Y.; Klärner, F.G.; Schrader, T.; Bitan, G. Lysine-Selective Molecular Tweezers Are Cell Penetrant and Concentrate in Lysosomes. Commun. Biol. 2021, 4, 1–15. [Google Scholar] [CrossRef] [PubMed]
- Lee, Y.J.; Kang, B.; Seo, J. Metalloporphyrin Dimers Bridged by a Peptoid Helix: Host-Guest Interaction and Chiral Recognition. Molecules 2018, 23, 2741. [Google Scholar] [CrossRef]
- Wolf, L.M.; Servoss, S.L.; Moss, M.A. Peptoids: Emerging Therapeutics for Neurodegeneration. J. Neurol. Neuromed. 2017, 2, 1–5. [Google Scholar] [CrossRef]
- Besouw, M.; Masereeuw, R.; Van Den Heuvel, L.; Levtchenko, E. Cysteamine: An Old Drug with New Potential. Drug Discov. Today 2013, 18, 785–792. [Google Scholar] [CrossRef]
- Sayaheen, M.; Otero, N.; Peña-Gallego, A. A Computational Study of Two Promising Tweezers. Theor. Chem. Acc. 2023, 142, 1–12. [Google Scholar] [CrossRef]
- Kim, S.; Lee, D.; Bhashini Wijesinghe, W.C.; Min, D. Robust Membrane Protein Tweezers Reveal the Folding Speed Limit of Helical Membrane Proteins. eLife 2023, 12, 1–35. [Google Scholar] [CrossRef] [PubMed]
- Vafakish, B.; Wilson, L.D. Surface-Modified Chitosan: An Adsorption Study of a “Tweezer-Like” Biopolymer with Fluorescein. Surfaces 2019, 2, 468–484. [Google Scholar] [CrossRef]
- Vafakish, B.; Wilson, L.D. Cu(II) Ion Adsorption by Aniline Grafted Chitosan and Its Responsive Fluorescence Properties. Molecules 2020, 25, 1052. [Google Scholar] [CrossRef] [PubMed]
- Dolatkhah, A.; Dewani, C.; Kazem-Rostami, M.; Wilson, L.D. Magnetic Silver Nanoparticles Stabilized by Superhydrophilic Polymer Brushes with Exceptional Kinetics and Catalysis. Polymers 2024, 16, 2500. [Google Scholar] [CrossRef]
- Chi, Y.; Yuan, Q.; Li, Y.; Tu, J.; Zhao, L.; Li, N.; Li, X. Synthesis of Fe3O4@SiO2-Ag Magnetic Nanocomposite Based on Small-Sized and Highly Dispersed Silver Nanoparticles for Catalytic Reduction of 4-Nitrophenol. J. Coll. Interface Sci. 2012, 383, 96–102. [Google Scholar] [CrossRef]
- Wang, M.; Tian, D.; Tian, P.; Yuan, L. Synthesis of Micron-SiO2@nano-Ag Particles and Their Catalytic Performance in 4-Nitrophenol Reduction. Appl. Surf. Sci. 2013, 283, 389–395. [Google Scholar] [CrossRef]
- Liang, M.; Su, R.; Qi, W.; Yu, Y.; Wang, L.; He, Z. Synthesis of Well-Dispersed Ag Nanoparticles on Eggshell Membrane for Catalytic Reduction of 4-Nitrophenol. J. Mater. Sci. 2014, 49, 1639–1647. [Google Scholar] [CrossRef]
- Vafakish, B.; Wilson, L.D. A Highly Sensitive Chitosan-Based SERS Sensor for the Trace Detection of a Model Cationic Dye. Int. J. Mol. Sci. 2024, 25, 9327. [Google Scholar] [CrossRef]
- Xiao, G.N.; Man, S.Q. Surface-Enhanced Raman Scattering of Methylene Blue Adsorbed on Cap-Shaped Silver Nanoparticles. Chem. Phys. Lett. 2007, 447, 305–309. [Google Scholar] [CrossRef]
- Srichan, C.; Ekpanyapong, M.; Horprathum, M.; Eiamchai, P.; Nuntawong, N.; Phokharatkul, D.; Danvirutai, P.; Bohez, E.; Wisitsoraat, A.; Tuantranont, A. Highly-Sensitive Surface-Enhanced Raman Spectroscopy (SERS)-Based Chemical Sensor Using 3D Graphene Foam Decorated with Silver Nanoparticles as SERS Substrate. Sci. Rep. 2016, 6, 23733. [Google Scholar] [CrossRef]
- Prikhozhdenko, E.S.; Lengert, E.V.; Parakhonskiy, B.V.; Gorin, D.A.; Sukhorukov, G.B.; Yashchenok, A.M. Biocompatible Chitosan Nanofibers Functionalized with Silver Nanoparticles for Sers Based Detection. Acta Phys. Pol. A 2016, 129, 247–249. [Google Scholar] [CrossRef]
- Wang, C.; Wong, K.W.; Wang, Q.; Zhou, Y.; Tang, C.; Fan, M.; Mei, J.; Lau, W.M. Silver-Nanoparticles-Loaded Chitosan Foam as a Flexible SERS Substrate for Active Collecting Analytes from Both Solid Surface and Solution. Talanta 2019, 191, 241–247. [Google Scholar] [CrossRef]
- Suarasan, S.; Focsan, M.; Maniu, D.; Astilean, S. Gelatin-Nanogold Bioconjugates as Effective Plasmonic Platforms for SERS Detection and Tagging. Coll. Surf. B Biointerfaces 2013, 103, 475–481. [Google Scholar] [CrossRef]
- He, C.; Bai, H.; Yi, W.; Liu, J.; Li, X.; Li, X.; Xi, G. A Highly Sensitive and Stable SERS Substrate Using Hybrid Tungsten Dioxide/Carbon Ultrathin Nanowire Beams. J. Mater. Chem. C 2018, 6, 3200–3205. [Google Scholar] [CrossRef]
- Hariprasad, E.; Radhakrishnan, T.P. In Situ Fabricated Polymer-Silver Nanocomposite Thin Film as an Inexpensive and Efficient Substrate for Surface-Enhanced Raman Scattering. Langmuir 2013, 29, 13050–13057. [Google Scholar] [CrossRef]
- Mir, M.; Wilson, L.D. Flax fiber-chitosan biocomposites with tailored structure and switchable physicochemical properties. Carbohydr. Polym. Technol. Appl. 2023, 6, 100397. [Google Scholar] [CrossRef]
- Nia, M.H.; Wilson, L.D.; Kiasat, A.R.; Munguia-Lopez, J.G.; Kinsella, J.M.; van de Ven, T. Internally bridged nanosilica for loading and release of sparsely soluble compounds. J. Coll. Interface Sci. 2023, 649, 456–470. [Google Scholar]
- Venegas-García, D.J.; Mir, M.; Steiger, B.G.K.; Wilson, L.D. Furfuryl-pyridinium-functionalization of flaxseed gum for effective methylene blue removal from aqueous solution. Can. J. Chem. 2024, 1–13. [Google Scholar] [CrossRef]
- Jozeliūnaitė, A.; Javorskis, T.; Vaitkevičius, V.; Klimavičius, V.; Orentas, E. Fully Supramolecular Chiral Hydrogen-Bonded Molecular Tweezer. J. Amer. Chem. Soc. 2022, 144, 8231–8241. [Google Scholar] [CrossRef]
- Dehabadi, L.; Karoyo, A.H.; Wilson, L.D. Spectroscopic and Thermodynamic Study of Biopolymer Adsorption Phenomena in Heterogeneous Solid−Liquid Systems. ACS Omega 2018, 3, 15370–15379. [Google Scholar] [CrossRef]
- Rekharsky, M.; Inoue, Y. Solvation Effects in Supramolecular Recognition. In Supramolecular Chemistry: From Molecules to Nanomaterials; John Wiley & Sons, Ltd.: Hoboken, NJ, USA, 2012; pp. 1–17. [Google Scholar] [CrossRef]
- Yusof, W.R.W.; Awang, N.Y.F.; Laile, M.A.A.; Azizi, J.; Husaini, A.A.S.A.; Seeni, A.; Wilson, L.D.; Sabar, S. Chemically modified water-soluble chitosan derivatives: Modification strategies, biological activities, and applications. Polym. Technol. Mater. 2023, 62, 2182–2220. [Google Scholar] [CrossRef]
- Riseh, R.S.; Hassanisaadi, M.; Vatankhah, M.; Varma, R.S.; Thakur, V.K. Nano/Micro-Structural Supramolecular Biopolymers: Innovative Networks with the Boundless Potential in Sustainable Agriculture. Nano-Micro Lett. 2024, 16, 147. [Google Scholar] [CrossRef] [PubMed]
- Nakamura, K.; Kubota, R.; Aoyama, T.; Urayama, K.; Hamachi, I. Four distinct network patterns of supramolecular/polymer composite hydrogels controlled by formation kinetics and interfiber interactions. Nat. Commun. 2023, 14, 1696. [Google Scholar] [CrossRef] [PubMed]
- Xing, J.; Jin, S.; Yu, Y.; Zeng, G.; Zhang, F.; Xiao, H.; Yang, R.; Li, K.; Li, J. Supramolecular and double network strategy toward strong and antibacterial protein films by introducing waterborne polyurethane and quaternized chitosan. Ind. Crop. Prod. 2023, 205, 117445. [Google Scholar] [CrossRef]












| Sample | Catalytic Activity ka (min−1 g−1) | Reference |
|---|---|---|
| PAAgCHI/Fe3O4/Ag (H) | 96 | Dolatkhah et al. [65] |
| PAAgCHI/Fe3O4/Ag (L) | 66 | Dolatkhah et al. [65] |
| Fe3O4@SiO2-Ag | 0.46 | Chi et al. [66] |
| SiO2@Ag NPs | 14.9 | Wang et al. [67] |
| Ag@egg shell membrane | 0.41 | Liang et al. [68] |
| SERS Substrate | Dye | EF | LOD | Ref. |
|---|---|---|---|---|
| Silica core with a silver cap | MB | 4.2 × 107 | - | [70] |
| Graphene foam decorated with Ag NPs | MB | 5.0 × 104 | 1 nM | [71] |
| Chitosan nanofibers functionalized with Ag NPs | RhoB | - | 104 nM | [72] |
| Ag NPs-loaded chitosan foam(3D) | Rho6G | - | 1 nM | [73] |
| Gelatin–nanogold bioconjugate | Rose Bengal | - | 360 nM | [74] |
| WO2/C ultrathin nanowire | Rho6G | 1.3 × 106 | 10 nM | [75] |
| Poly(vinyl butyral-co-vinyl alcohol-co-vinyl acetate) (PVVV) with Ag NPs | Rho6G | ~107 | 5.6 nM | [76] |
| Chitosan grafted withS-acetyl mercaptosuccinic anhydride & decorated with Ag NPs | MB | 2.6 × 108 | 1.6 nM | [69] |
Disclaimer/Publisher’s Note: The statements, opinions and data contained in all publications are solely those of the individual author(s) and contributor(s) and not of MDPI and/or the editor(s). MDPI and/or the editor(s) disclaim responsibility for any injury to people or property resulting from any ideas, methods, instructions or products referred to in the content. |
© 2024 by the authors. Licensee MDPI, Basel, Switzerland. This article is an open access article distributed under the terms and conditions of the Creative Commons Attribution (CC BY) license (https://creativecommons.org/licenses/by/4.0/).
Share and Cite
Vafakish, B.; Wilson, L.D. Supramolecular Chemistry of Polymer-Based Molecular Tweezers: A Minireview. Surfaces 2024, 7, 752-769. https://doi.org/10.3390/surfaces7030049
Vafakish B, Wilson LD. Supramolecular Chemistry of Polymer-Based Molecular Tweezers: A Minireview. Surfaces. 2024; 7(3):752-769. https://doi.org/10.3390/surfaces7030049
Chicago/Turabian StyleVafakish, Bahareh, and Lee D. Wilson. 2024. "Supramolecular Chemistry of Polymer-Based Molecular Tweezers: A Minireview" Surfaces 7, no. 3: 752-769. https://doi.org/10.3390/surfaces7030049
APA StyleVafakish, B., & Wilson, L. D. (2024). Supramolecular Chemistry of Polymer-Based Molecular Tweezers: A Minireview. Surfaces, 7(3), 752-769. https://doi.org/10.3390/surfaces7030049
