The Negative Photoconductivity of Ag/AgO Grown by Spray-Pyrolysis
Abstract
:1. Introduction
2. Materials and Methods
3. Results and Discussion
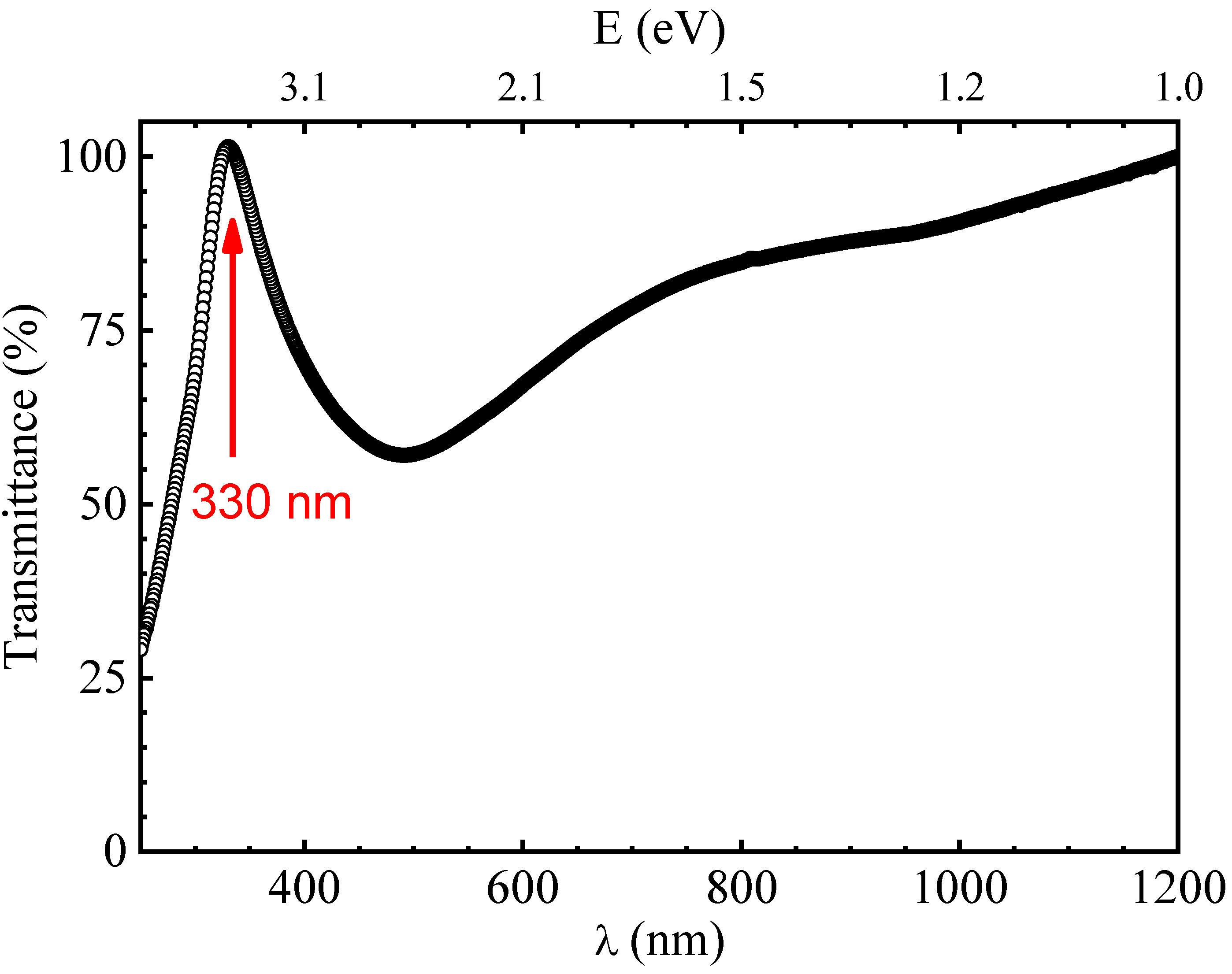
3.1. Structural Characterization
3.2. Electro-Optical Characteristics
4. Conclusions
Author Contributions
Funding
Institutional Review Board Statement
Informed Consent Statement
Data Availability Statement
Acknowledgments
Conflicts of Interest
References
- Onofre, Y.J.; Catto, A.C.; Bernardini, S.; Fiorido, T.; Aguir, K.; Longo, E.; Mastelaro, V.R.; da Silva, L.F.; de Godoy, M.P.F. Highly selective ozone gas sensor based on nanocrystalline Zn0.95Co0.05O thin film obtained via spray pyrolysis technique. Appl. Surf. Sci. 2019, 478, 347–354. [Google Scholar] [CrossRef]
- Akhtar, M.; Umar, A.; Sood, S.; Jung, I.; Hegazy, H.; Algarni, H. Rapid Growth of TiO2 Nanoflowers via Low-Temperature Solution Process: Photovoltaic and Sensing Applications. Materials 2019, 12, 566. [Google Scholar] [CrossRef] [Green Version]
- Cattabiani, N.; Baratto, C.; Zappa, D.; Comini, E.; Donarelli, M.; Ferroni, M.; Ponzoni, A.; Faglia, G. Tin Oxide Nanowires Decorated with Ag Nanoparticles for Visible Light-Enhanced Hydrogen Sensing at Room Temperature: Bridging Conductometric Gas Sensing and Plasmon-Driven Catalysis. J. Phys. Chem. C 2018, 122, 5026–5031. [Google Scholar] [CrossRef]
- Kim, M.; Lin, M.; Son, J.; Xu, H.; Nam, J.-M. Hot-Electron-Mediated Photochemical Reactions: Principles, Recent Advances, and Challenges. Adv. Opt. Mater. 2017, 5, 1700004. [Google Scholar] [CrossRef] [Green Version]
- Li, J.; Tao, Y.; Chen, S.; Li, H.; Chen, P.; Wei, M.; Wang, H.; Li, K.; Mazzeo, M.; Duan, Y. A flexible plasma-treated silver-nanowire electrode for organic light-emitting devices. Sci. Rep. 2017, 7, 16468. [Google Scholar] [CrossRef] [PubMed] [Green Version]
- Watté, J.; van Zele, M.; de Buysser, K.; van Driessche, I. Recent Advances in Low-Temperature Deposition Methods of Transparent, Photocatalytic TiO2 Coatings on Polymers. Coatings 2018, 8, 131. [Google Scholar] [CrossRef] [Green Version]
- Fantoni, A.; Fernandes, M.; Vygranenko, Y.; Louro, P.; Vieira, M.; Silva, R.P.O.; Texeira, D.; Ribeiro, A.P.C.; Prazeres, M.; Alegria, E.C.B.A. Analysis of metallic nanoparticles embedded in thin film semiconductors for optoelectronic applications. Opt. Quantum Electron. 2018, 50, 246. [Google Scholar] [CrossRef]
- Cortial, G.; Siutkowski, M.; Goettmann, F.; Moores, A.; Boissière, C.; Grosso, D.; le Floch, P.; Sanchez, C. Metallic Nanoparticles Hosted in Mesoporous Oxide Thin Films for Catalytic Applications. Small 2006, 2, 1042–1045. [Google Scholar] [CrossRef] [PubMed]
- Brady, B.; Wang, P.H.; Steenhoff, V.; Brolo, A.G. Nanostructuring Solar Cells Using Metallic Nanoparticles. In Metal Nanostructures for Photonics; Elsevier: Amsterdam, The Netherlands, 2019; pp. 197–221. [Google Scholar]
- Naghdi, S.; Rhee, K.; Hui, D.; Park, S. A Review of Conductive Metal Nanomaterials as Conductive, Transparent, and Flexible Coatings, Thin Films, and Conductive Fillers: Different Deposition Methods and Applications. Coatings 2018, 8, 278. [Google Scholar] [CrossRef] [Green Version]
- Morales, J.; Sánchez, L.; Martín, F.; Ramos-Barrado, J.R.; Sánchez, M. Synthesis, Characterization, and Electrochemical Properties of Nanocrystalline Silver Thin Films Obtained by Spray Pyrolysis. J. Electrochem. Soc. 2004, 151, A151. [Google Scholar] [CrossRef]
- Waterhouse, G.I.N.; Bowmaker, G.A.; Metson, J.B. The thermal decomposition of silver (I, III) oxide: A combined XRD, FT-IR and Raman spectroscopic study. Phys. Chem. Chem. Phys. 2001, 3, 3838–3845. [Google Scholar] [CrossRef]
- Vidyasagar, D.; Ghugal, S.G.; Kulkarni, A.; Mishra, P.; Shende, A.G.; Jagannath; Umare, S.S.; Sasikala, R. Silver/Silver(II) oxide (Ag/AgO) loaded graphitic carbon nitride microspheres: An effective visible light active photocatalyst for degradation of acidic dyes and bacterial inactivation. Appl. Catal. B Environ. 2018, 221, 339–348. [Google Scholar] [CrossRef]
- Fortin, E.; Weichman, F.L. Photoconductivity in Ag2O. Phys. Status Solidi. 1964, 5, 515–519. [Google Scholar] [CrossRef]
- Lee, T.H.; Hladik, C.R.; Dickson, R.M. Asymmetric Photoconductivity within Nanoscale Break Junctions. Nano Lett. 2003, 3, 1561–1564. [Google Scholar] [CrossRef]
- Yang, Y.; Peng, X.; Kim, H.S.; Kim, T.; Jeon, S.; Kang, H.K.; Choi, W.; Song, J.; Doh, Y.J.; Yu, D. Hot Carrier Trapping Induced Negative Photoconductance in InAs Nanowires toward Novel Nonvolatile Memory. Nano Lett. 2015, 15, 5875–5882. [Google Scholar] [CrossRef] [PubMed] [Green Version]
- Tavares, M.A.B.; da Silva, M.J.; Peres, M.L.; de Castro, S.; Soares, D.A.W.; Okazaki, A.K.; Fornari, C.I.; Rappl, P.H.O.; Abramof, E. Investigation of negative photoconductivity in p-type Pb1-xSnxTe film. Appl. Phys. Lett. 2017, 110, 042102. [Google Scholar] [CrossRef]
- Ianhez-Pereira, C.; Onofre, Y.J.; Magon, C.J.; Rodrigues, A.D.; de Godoy, M.P.F. The interplay between Mn valence and the optical response of ZnMnO thin films. Appl. Phys. A 2020, 126, 337. [Google Scholar] [CrossRef]
- de Godoy, M.P.F.; de Herval, L.K.S.; Cotta, A.A.C.; Onofre, Y.J.; Macedo, W.A.A. ZnO thin films design: The role of precursor molarity in the spray pyrolysis process. J. Mater. Sci. Mater. Electron. 2020, 31, 17269–17280. [Google Scholar] [CrossRef]
- Cullity, S.R.; Stock, B.D. Elements of X-ray Diffraction, 3rd ed.; Prentice-Hall: New York, NY, USA, 2001. [Google Scholar]
- Ramadan, R.; Dadgostar, S.; Silván, M.M.; Pérez-Casero, R.; Hernandez-Velez, M.; Jimenez, J.; Sanchez, O. Silver-enriched ZnO:Ag thin films deposited by magnetron co-sputtering: Post annealing effects on structural and physical properties. Mater. Sci. Eng. B 2022, 276, 115558. [Google Scholar] [CrossRef]
- Dun, A.; Wei, J.; Gan, F. Pattern structures fabricated on ZnS-SiO2/AgO x/ZnS-SiO2 thin film structure by laser direct writing technology. Appl. Phys. A Mater. Sci. Process. 2010, 100, 401–407. [Google Scholar] [CrossRef]
- Meškinis, Š.; Čiegis, A.; Vasiliauskas, A.; Tamulevičiene, A.; Šlapikas, K.; Juškenas, R.; Niaura, G.; Tamulevičius, S. Plasmonic properties of silver nanoparticles embedded in diamond like carbon films: Influence of structure and composition. Appl. Surf. Sci. 2014, 317, 1041–1046. [Google Scholar] [CrossRef]
- Jaiswal, K.K.; Banerjee, I.; Dutta, S.; Verma, R.; Gunti, L.; Awasthi, S.; Bhushan, M.; Kumar, V.; Alajmi, M.F.; Hussain, A. Microwave-assisted polycrystalline Ag/AgO/AgCl nanocomposites synthesis using banana corm (rhizome of Musa sp.) extract: Characterization and antimicrobial studies. J. Ind. Eng. Chem. 2021, 107, 145–154. [Google Scholar] [CrossRef]
- Raju, N.R.C.; Kumar, K.J.; Subrahmanyam, A. Physical properties of silver oxide thin films by pulsed laser deposition: Effect of oxygen pressure during growth. J. Phys. D Appl. Phys. 2009, 42, 135411. [Google Scholar] [CrossRef]
- Vargas, L.M.; de Castro, S.; Peres, M.L.; de Godoy, M.P.; Soares, D.A. Soares, Tuning positive and negative photoconductivity in Zn 1-x Cd x O. films. J. Alloys Compd. 2018, 749, 734–740. [Google Scholar] [CrossRef]
- Onofre, Y.J.; de Castro, S.; Rodrigues, A.D.; de Godoy, M.P.F. Influence of Co-doping on optical properties and traps localization of ZnO films obtained by spray pyrolysis. J. Anal. Appl. Pyrolysis 2017, 128, 131–135. [Google Scholar] [CrossRef]
- Bartosewicz, B.; Liszewska, M.; Budner, B.; Michalska-Domańska, M.; Kopczyński, K.; Jankiewicz, B.J. Fabrication of Ag-modified hollow titania spheres via controlled silver diffusion in Ag-TiO2 core-shell nanostructures, Beilstein. J. Nanotechnol. 2020, 11, 141–146. [Google Scholar] [CrossRef]
- Wei, W.; Mao, X.; Ortiz, L.A.; Sadoway, D.R. Oriented silver oxide nanostructures synthesized through a template-free electrochemical route. J. Mater. Chem. 2011, 21, 432–438. [Google Scholar] [CrossRef]
- Biesinger, M.C.; Payne, B.P.; Lau, L.W.M.; Gerson, A.; Smart, R.S.C. X-ray photoelectron spectroscopic chemical state Quantification of mixed nickel metal, oxide and hydroxide systems. Surf. Interface Anal. 2009, 41, 324–332. [Google Scholar] [CrossRef]
- Weaver, J.F.; Hoflund, G.B. Surface Characterization Study of the Thermal Decomposition of AgO. J. Phys. Chem. 1994, 98, 8519–8524. [Google Scholar] [CrossRef]
- Murray, B.J.; Li, Q.; Newberg, J.T.; Hemminger, J.C.; Penner, R.M. Silver oxide microwires: Electrodeposition and observation of reversible resistance modulation upon exposure to ammonia vapor. Chem. Mater. 2005, 17, 6611–6618. [Google Scholar] [CrossRef]
- Wu, L.Q.; Li, Y.C.; Li, S.Q.; Li, Z.Z.; Tang, G.D.; Qi, W.H.; Xue, L.C.; Ge, X.S.; Ding, L.L. Method for estimating ionicities of oxides using O1s photoelectron spectra. AIP Adv. 2015, 5, 097210. [Google Scholar] [CrossRef]
- Bielmann, M.; Schwaller, P.; Ruffieux, P.; Gröning, O.; Schlapbach, L.; Gröning, P. AgO investigated by photoelectron spectroscopy: Evidence for mixed valence. Phys. Rev. B Condens. Matter Mater. Phys. 2002, 65, 1–5. [Google Scholar] [CrossRef] [Green Version]
- Tjeng, L.H.; Meinders, M.B.J.; van Elp, J.; Ghijsen, J.; Sawatzky, G.A.; Johnson, R.L. Electronic structure of Ag2O. Phys. Rev. B 1990, 41, 3190–3199. [Google Scholar] [CrossRef] [PubMed]
- Liu, X.; Li, D.; Sun, X.; Li, Z.; Song, H.; Jiang, H.; Chen, Y. Tunable Dipole Surface Plasmon Resonances of Silver Nanoparticles by Cladding Dielectric Layers. Sci. Rep. 2015, 5, 1–7. [Google Scholar] [CrossRef] [PubMed] [Green Version]
- de Paiva, A.B.; Correr, G.I.; Ugucioni, J.C.; Carvalho, G.R.; Jasinevicius, R.G.; de Godoy, M.P.F. On the photoconductivity behavior of emeraldine-salt polyaniline films. Synth. Met. 2021, 281, 116915. [Google Scholar] [CrossRef]
- Salis, M.; Anedda, A.; Quarati, F.; Blue, A.J.; Cunningham, W. Photocurrent in epitaxial GaN. J. Appl. Phys. 2005, 97, 033709. [Google Scholar] [CrossRef]







Publisher’s Note: MDPI stays neutral with regard to jurisdictional claims in published maps and institutional affiliations. |
© 2022 by the authors. Licensee MDPI, Basel, Switzerland. This article is an open access article distributed under the terms and conditions of the Creative Commons Attribution (CC BY) license (https://creativecommons.org/licenses/by/4.0/).
Share and Cite
de Paiva, A.B.; Vargas, L.M.B.; da Silva, M.J.; Rodrigues, A.D.G.; Soares, D.A.W.; Peres, M.L.; de Godoy, M.P.F. The Negative Photoconductivity of Ag/AgO Grown by Spray-Pyrolysis. Surfaces 2022, 5, 209-217. https://doi.org/10.3390/surfaces5010014
de Paiva AB, Vargas LMB, da Silva MJ, Rodrigues ADG, Soares DAW, Peres ML, de Godoy MPF. The Negative Photoconductivity of Ag/AgO Grown by Spray-Pyrolysis. Surfaces. 2022; 5(1):209-217. https://doi.org/10.3390/surfaces5010014
Chicago/Turabian Stylede Paiva, Aline Bastos, Luis Miguel Bolaños Vargas, Matheus José da Silva, Ariano De Giovanni Rodrigues, Demétrio A. W. Soares, Marcelos Lima Peres, and Marcio Peron Franco de Godoy. 2022. "The Negative Photoconductivity of Ag/AgO Grown by Spray-Pyrolysis" Surfaces 5, no. 1: 209-217. https://doi.org/10.3390/surfaces5010014
APA Stylede Paiva, A. B., Vargas, L. M. B., da Silva, M. J., Rodrigues, A. D. G., Soares, D. A. W., Peres, M. L., & de Godoy, M. P. F. (2022). The Negative Photoconductivity of Ag/AgO Grown by Spray-Pyrolysis. Surfaces, 5(1), 209-217. https://doi.org/10.3390/surfaces5010014

