Measuring the Primary and Secondary Bioreceptivity of Stone and Their Implications for Heritage Conservation
Abstract
1. Introduction
2. Materials and Methods
3. Results
3.1. Physical Characterisation of Stone Properties
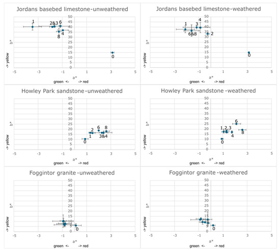
3.2. Characterisation of Bioreceptivity
3.3. Bioreceptivity Index
3.4. Relationship between Stone Characteristics and Bioreceptivity
4. Discussion
5. Conclusions
Author Contributions
Funding
Data Availability Statement
Acknowledgments
Conflicts of Interest
References
- Guillitte, O.; Dreesen, R. Laboratory chamber studies and petrographical analysis as bioreceptivity assessment tools of building materials. Sci. Total Environ. 1995, 167, 365–374. [Google Scholar] [CrossRef]
- Sanmartín, P.; Miller, A.Z.; Prieto, B.; Viles, H.A. Revisiting and reanalysing the concept of bioreceptivity 25 years on. Sci. Total Environ. 2021, 770, 145314. [Google Scholar] [CrossRef] [PubMed]
- Miller, A.; Dionísio, A.; Macedo, M.F. Primary bioreceptivity: A comparative study of different Portuguese lithotypes. Int. Biodeterior. Biodegrad. 2006, 57, 136–142. [Google Scholar] [CrossRef]
- Miller, A.Z.; Dionísio, A.; Laiz, L.; MacEdo, M.F.; Saiz-Jimenez, C. The influence of inherent properties of building limestones on their bioreceptivity to phototrophic microorganisms. Ann. Microbiol. 2009, 59, 705–713. [Google Scholar] [CrossRef]
- Sasso, S.; Miller, A.Z.; Rogerio-Candelera, M.A.; Cubero, B.; Coutinho, M.L.; Scrano, L.; Bufo, S.A. Potential of natural biocides for biocontrolling phototrophic colonization on limestone. Int. Biodeterior. Biodegrad. 2016, 107, 102–110. [Google Scholar] [CrossRef]
- Ennis, N.J.; Dharumaduri, D.; Bryce, J.G.; Tisa, L.S. Metagenome Across a Geochemical Gradient of Indian Stone Ruins Found at Historic Sites in Tamil Nadu, India. Microb. Ecol. 2021, 81, 385–395. [Google Scholar] [CrossRef] [PubMed]
- Louati, M.; Ennis, N.J.; Ghodhbane-Gtari, F.; Hezbri, K.; Sevigny, J.L.; Fahnestock, M.F.; Cherif-Silini, H.; Bryce, J.G.; Tisa, L.S.; Gtari, M.; et al. Elucidating the ecological networks in stone-dwelling microbiomes. Environ. Microbiol. 2020, 22, 1467–1480. [Google Scholar] [CrossRef]
- Tiano, P.; Accolla, P.; Tomaselli, L. Phototrophic biodeteriogens on lithoid surfaces: An ecological study. Microb. Ecol. 1995, 29, 299–309. [Google Scholar] [CrossRef]
- Saiz-Jimenez, C. Weathering and colonization of limestones in an urban environment. In Soil Biology and Conservation of the Biosphere 2; Akadémiai Kiadó: Budapest, Hungary, 1984; Volume 120, pp. 757–767. [Google Scholar]
- Tomaselli, L.; Lamenti, G.; Bosco, M.; Tiano, P. Biodiversity of photosynthetic micro-organisms dwelling on stone monuments. Int. Biodeterior. Biodegrad. 2000, 46, 251–258. [Google Scholar] [CrossRef]
- Prieto, B.; Silva, B. Estimation of the potential bioreceptivity of granitic rocks from their intrinsic properties. Int. Biodeterior. Biodegrad. 2005, 56, 206–215. [Google Scholar] [CrossRef]
- Miller, A.Z.; Laiz, L.; Gonzalez, J.M.; Dionísio, A.; Macedo, M.F.; Saiz-Jimenez, C. Reproducing stone monument photosynthetic-based colonization under laboratory conditions. Sci. Total Environ. 2008, 405, 278–285. [Google Scholar] [CrossRef] [PubMed]
- Miller, A.Z.; Leal, N.; Laiz, L.; Rogerio-Candelera, M.A.; Silva, R.J.C.; Dionisio, A.; Macedo, M.F.; Saiz-Jimenez, C. Primary bioreceptivity of limestones used in southern European monuments. Geol. Soc. Lond. Spec. Publ. 2010, 331, 79–92. [Google Scholar] [CrossRef]
- Miller, A.Z.; Rogerio-Candelera, M.A.; Laiz, L.; Wierzchos, J.; Ascaso, C.; Sequeira Braga, M.A.; Hernández-Mariné, M.; Maurício, A.; Dionísio, A.; Macedo, M.F.; et al. Laboratory-induced endolithic growth in calcarenites: Biodeteriorating potential assessment. Microb. Ecol. 2010, 60, 55–68. [Google Scholar] [CrossRef] [PubMed]
- Favero-Longo, S.E.; Borghi, A.; Tretiach, M.; Piervittori, R. In vitro receptivity of carbonate rocks to endolithic lichen-forming aposymbionts. Mycol. Res. 2009, 113, 1216–1227. [Google Scholar] [CrossRef]
- Vázquez-Nion, D.; Silva, B.; Troiano, F.; Prieto, B. Laboratory grown subaerial biofilms on granite: Application to the study of bioreceptivity. Biofouling 2017, 33, 24–35. [Google Scholar] [CrossRef] [PubMed]
- Vázquez-Nion, D.; Silva, B.; Prieto, B. Influence of the properties of granitic rocks on their bioreceptivity to subaerial phototrophic biofilms. Sci. Total Environ. 2018, 610–611, 44–54. [Google Scholar] [CrossRef]
- Vázquez-Nion, D.; Troiano, F.; Sanmartín, P.; Valagussa, C.; Cappitelli, F.; Prieto, B. Secondary bioreceptivity of granite: Effect of salt weathering on subaerial biofilm growth. Mater. Struct. 2018, 51, 158. [Google Scholar] [CrossRef]
- Cámara, B.; de los Ríos, A.; Urizal, M.; Álvarez de Buergo, M.; Varas, M.J.; Fort, R.; Ascaso, C. Characterizing the Microbial Colonization of a Dolostone Quarry: Implications for Stone Biodeterioration and Response to Biocide Treatments. Microb. Ecol. 2011, 62, 299–313. [Google Scholar] [CrossRef]
- Papida, S.; Murphy, W.; May, E. Enhancement of physical weathering of building stones by microbial populations. Int. Biodeterior. Biodegrad. 2000, 46, 305–317. [Google Scholar] [CrossRef]
- Henriksen, N.N.S.E.; Hansen, M.F.; Kiesewalter, H.T.; Russel, J.; Nesme, J.; Foster, K.R.; Svensson, B.; Øregaard, G.; Herschend, J.; Burmølle, M. Biofilm cultivation facilitates coexistence and adaptive evolution in an industrial bacterial community. npj Biofilms Microbiomes 2022, 8, 59. [Google Scholar] [CrossRef]
- Eggert, A.; Häubner, N.; Klausch, S.; Karsten, U.; Schumann, R. Quantification of algal biofilms colonising building materials: Chlorophyll a measured by PAM-fluorometry as a biomass parameter. Biofouling 2007, 22, 79–90. [Google Scholar] [CrossRef] [PubMed]
- O’Brien, T.J.; Hassan, M.M.; Harrison, F.; Welch, M. An in vitro model for the cultivation of polymicrobial biofilms under continuous-flow conditions. F1000Research 2021, 10, 801. [Google Scholar] [CrossRef] [PubMed]
- Shirakawa, M.A.; Beech, I.B.; Tapper, R.; Cincotto, M.A.; Gambale, W. The development of a method to evaluate bioreceptivity of indoor mortar plastering to fungal growth. Int. Biodeterior. Biodegrad. 2003, 51, 83–92. [Google Scholar] [CrossRef]
- Wiktor, V.; Grosseau, P.; Guyonnet, R.; Garcia-Diaz, E. Biodeterioration of cementeous matrix by fungi : Influence of accelerated weathering on fungal development. Mater. Tech. 2006, 94, 507–515. [Google Scholar] [CrossRef]
- Giannantonio, D.J.; Kurth, J.C.; Kurtis, K.E.; Sobecky, P.A. Effects of concrete properties and nutrients on fungal colonization and fouling. Int. Biodeterior. Biodegrad. 2009, 63, 252–259. [Google Scholar] [CrossRef]
- Marques, J.; Vázquez-Nion, D.; Paz-Bermúdez, G.; Prieto, B. The susceptibility of weathered versus unweathered schist to biological colonization in the Côa Valley Archaeological Park (north-east Portugal). Environ. Microbiol. 2014, 17, 1805–1816. [Google Scholar] [CrossRef]
- Coutinho, M.L.; Miller, A.Z.; Rogerio-Candelera, M.A.; Mirão, J.; Cerqueira Alves, L.; Veiga, J.P.; Águas, H.; Pereira, S.; Lyubchyk, A.; Macedo, M.F. An integrated approach for assessing the bioreceptivity of glazed tiles to phototrophic microorganisms. Biofouling 2016, 32, 243–259. [Google Scholar] [CrossRef]
- Sanmartín, P.; Fuentes, E.; Montojo, C.; Barreiro, P.; Paz-Bermúdez, G.; Prieto, B. Tertiary bioreceptivity of schists from prehistoric rock art sites in the Côa Valley (Portugal)and Siega Verde (Spain)archaeological parks: Effects of cleaning treatments. Int. Biodeterior. Biodegrad. 2019, 142, 151–159. [Google Scholar] [CrossRef]
- Skipper, P.J.A.; Skipper, L.K.; Dixon, R.A. A metagenomic analysis of the bacterial microbiome of limestone, and the role of associated biofilms in the biodeterioration of heritage stone surfaces. Sci. Rep. 2022, 12, 4877. [Google Scholar] [CrossRef]
- Skipper, P.J.A. Biodeterioration of Limestone: Role of Bacterial Biofilms and Possible Intervention Strategies. Doctoral Dissertation, University of Lincoln, Lincoln, UK, 2018. Available online: https://repository.lincoln.ac.uk/articles/thesis/Biodeterioration_of_limestone_role_of_bacterial_biofilms_and_possible_intervention_strategies/24326077 (accessed on 19 August 2024).
- Ross, M.E.; Stanley, M.S.; Day, J.G.; Semião, A.J.C. A comparison of methods for the non-destructive fresh weight determination of filamentous algae for growth rate analysis and dry weight estimation. J. Appl. Phycol. 2017, 29, 2925–2936. [Google Scholar] [CrossRef]
- Fuentes, E.; Prieto, B. A laboratory approach on the combined effects of granite bioreceptivity and parameters modified by climate change on the development of subaerial biofilms on cultural heritage. Int. Biodeterior. Biodegrad. 2021, 164, 105295. [Google Scholar] [CrossRef]
- Vázquez-Nion, D.; Silva, B.; Prieto, B. Bioreceptivity index for granitic rocks used as construction material. Sci. Total Environ. 2018, 633, 112–121. [Google Scholar] [CrossRef] [PubMed]
- Sanmartín, P.; Grove, R.; Carballeira, R.; Viles, H. Impact of colour on the bioreceptivity of granite to the green alga Apatococcus lobatus: Laboratory and field testing. Sci. Total Environ. 2020, 745, 141179. [Google Scholar] [CrossRef]
- Miller, A.Z.; Sanmartín, P.; Pereira-Pardo, L.; Dionísio, A.; Saiz-Jimenez, C.; Macedo, M.F.; Prieto, B. Bioreceptivity of building stones: A review. Sci. Total Environ. 2012, 426, 1–12. [Google Scholar] [CrossRef]
- Muthukrishnan, T.; Govender, A.; Dobretsov, S.; Abed, R.M.M. Evaluating the reliability of counting bacteria using epifluorescence microscopy. J. Mar. Sci. Eng. 2017, 5, 4. [Google Scholar] [CrossRef]
- De Muynck, W.; Ramirez, A.M.; De Belie, N.; Verstraete, W. Evaluation of strategies to prevent algal fouling on white architectural and cellular concrete. Int. Biodeterior. Biodegrad. 2009, 63, 679–689. [Google Scholar] [CrossRef]
- BMG Labtech. Fluorescence Intensity Measurements. Available online: https://www.bmglabtech.com/en/fluorescence-intensity/ (accessed on 14 December 2022).
- Timbs, J. Curiosities of London: Exhibiting the Most Rare and Remarkable Objects of Interest in the Metropolis; with Nearly Sixty Years Personal Recollection, 2nd ed.; John Camden Hotten: London, UK, 1867; Available online: https://books.google.co.uk/books?id=FaMMAAAAIAAJ (accessed on 19 August 2024).
- Watson, J. (Ed.) British and Foreign Building Stones, a Descriptive Catalogue of the Specimens in the Sedgwick Museum, Cambridge; Cambridge University Press: Cambridge, UK, 1911. [Google Scholar]
- Bignell, E.; Restored Stone Features Revealed at Wentworth Woodhouse. Stone Specialist. Available online: https://www.stonespecialist.com/news/market-intelligence/restored-stone-features-revealed-wentworth-woodhouse (accessed on 8 April 2024).
- BS EN 14066:2013; Natural Stone Test Methods. Determination of Resistance to Ageing by Thermal Shock, British Standards Institution: London, UK, 2013.
- Sassoni, E.; Naidu, S.; Scherer, G.W. The use of hydroxyapatite as a new inorganic consolidant for damaged carbonate stones. J. Cult. Herit. 2011, 12, 346–355. [Google Scholar] [CrossRef]
- Murru, A.; Freire-Lista, D.M.; Fort, R.; Varas-Muriel, M.J.; Meloni, P. Evaluation of post-thermal shock effects in Carrara marble and Santa Caterina di Pittinuri limestone. Constr. Build. Mater. 2018, 186, 1200–1211. [Google Scholar] [CrossRef]
- Ban, M.; Baragona, A.J.; Ghaffari, E.; Weber, J.; Rohatsch, A. Artificial ageing techniques on various lithotypes for testing of stone consolidant. In Science and Art: A Future for Stone, Proceedings of the 13th International Congress on the Deterioration and Conservation of Stone, Paisley, Scotland, 6–10 September 2016; University of the West of Scotland: Glasgow, UK, 2016; pp. 253–260. [Google Scholar]
- Freire-Lista, D.M.; Fort, R.; Varas-Muriel, M.J. Thermal stress-induced microcracking in building granite. Eng. Geol. 2016, 206, 83–93. [Google Scholar] [CrossRef]
- Abdelhamid, M.M.A.; Mousa, B.G.; Waqas, H.; Elkotb, M.A.; Eldin, S.M.; Munir, I.; Ali, R.; Galal, A.M. Artificial Thermal Quenching and Salt Crystallization Weathering Processes for the Assessment of Long-Term Degradation Characteristics of Some Sedimentary Rocks, Egypt. Minerals 2022, 12, 1393. [Google Scholar] [CrossRef]
- Yu, L.; Peng, H.W.; Zhang, Y.; Li, G.-w. Mechanical test of granite with multiple water–thermal cycles. Geotherm. Energy 2021, 9, 2. [Google Scholar] [CrossRef]
- Torabi-Kaveh, M.; Heidari, M.; Mohseni, H.; Ménendez, B. Role of petrography in durability of limestone used in construction of Persepolis complex subjected to artificial accelerated ageing tests. Environ. Earth Sci. 2019, 78, 297. [Google Scholar] [CrossRef]
- BS EN 1925:1999; Natural Stone Test Methods. Determination of Water Absorption Coefficient by Capillarity, British Standards Institution: London, UK, 2013.
- BS EN 1936:2006; Natural Stone Test Methods. Determination of Real Density and Apparent Density, and of Total and Open Porosity, British Standards Institution: London, UK, 2013.
- BS EN 13755:2008; Natural Stone Test Methods. Determination of Water Absorption at Atmospheric Pressure, British Standards Institution: London, UK, 2013.
- Ghobadi, M.H.; Babazadeh, R. Experimental Studies on the Effects of Cyclic Freezing-Thawing, Salt Crystallization, and Thermal Shock on the Physical and Mechanical Characteristics of Selected Sandstones. Rock Mech. Rock Eng. 2015, 48, 1001–1016. [Google Scholar] [CrossRef]
- CCAP. Available online: https://www.ccap.ac.uk/ (accessed on 16 December 2022).
- Macedo, M.F.; Miller, A.Z.; Dionísio, A.; Saiz-Jimenez, C. Biodiversity of cyanobacteria and green algae on monuments in the Mediterranean Basin: An overview. Microbiology 2009, 115, 3476–3490. [Google Scholar] [CrossRef] [PubMed]
- Escadeillas, G.; Bertron, A.; Ringot, E.; Blanc, P.J.; Dubose, A. Accelerated testing of biological stain growth on externalconcrete walls. Part 2: Quantification of growths. Mater. Struct. 2009, 42, 937–945. [Google Scholar] [CrossRef]
- CIE. Colorimetry; CIE: Vienna, Austria, 2004. [Google Scholar] [CrossRef]
- UNESCO. Determination of Photosynthetic Pigments in Sea-Water, 1st ed.; Imprimerie Rolland-Paris: Paris, France, 1966; Available online: https://unesdoc.unesco.org/ark:/48223/pf0000071612 (accessed on 19 August 2024).
- Shoaf, W.T.; Lium, B.W. Improved extraction of chlorophyll a and b from algae using dimethyl sulfoxide. Limnol. Oceanogr. 1976, 21, 926–928. [Google Scholar] [CrossRef]
- Jeffrey, S.W.; Humphrey, G.F. New spectrophotometric equations for determining chlorophylls a, b, c1 and c2 in higher plants, algae and natural phytoplankton. Biochem. Physiol. Pflanz. 1975, 167, 191–194. [Google Scholar] [CrossRef]
- Albion Stone. JORDANS BASEBED. 2019. Available online: https://www.albionstone.com/application/files/6616/5106/7435/Jordans_Basebed_2021.pdf (accessed on 19 August 2024).
- Skipper, P.J.A.; Skipper, L.K. Characterisation of Primary and Secondary Stone Bioreceptivity; Historic England: Swindon, UK, 2024; Available online: https://historicengland.org.uk/research/results/reports/ (accessed on 19 August 2024).
- Jefferson, D.; Henry, A. Sourcing Stone for Historic Building Repair; Historic England: Swindon, UK, 2016; Available online: https://historicengland.org.uk/advice/technical-advice/buildings/building-materials-for-historic-buildings/ (accessed on 19 August 2024).
- Doehne, E.; Price, C.A. Stone Conservation: An Overview of Current Research, 2nd ed.; Getty Publications: Los Angeles, CA, USA, 2010; ISBN 978-1-60606-046-9. [Google Scholar]




| Mineral Composition | Unweathered Volume (%) | Weathered Volume (%) |
|---|---|---|
| Chlorite group | 1.2 | 1.6 |
| Magnetite and hematite | 0.4 | 1.2 |
| Glauconite | 0.4 | 0.0 |
| Iron oxides/hydroxides | 1.8 | 0.7 |
| Calcium sulphate | 3.0 | 2.0 |
| Dolomite | 14.4 | 11.5 |
| Ferroan calcite | 1.3 | 0.5 |
| Howley Park Sandstone Bioreceptivity as per Vázquez-Nion et al. [34] Calculation | Howley Park Sandstone Bioreceptivity with Non-Inoculated Control Based on Revised Methodology | |||
|---|---|---|---|---|
| Unweathered | Weathered | Unweathered | Weathered | |
| BIgrowth | 0.18 | 0.47 | 0.18 | 0.47 |
| BIcolour | 4.50 | 4.76 | 1.30 | 1.66 |
| BI | 1.62 | 1.90 | 0.56 | 0.87 |
| Jordans Basebed Limestone | Howley Park Sandstone | Foggintor Granite | ||||
|---|---|---|---|---|---|---|
| Primary (Unweathered) | Secondary (Weathered) | Primary (Unweathered) | Secondary (Weathered) | Primary (Unweathered) | Secondary (Weathered) | |
| BIgrowth | 1.20 | 1.73 | 0.18 | 0.47 | 0.27 | 0.73 |
| BIcolour | 9.06 | 9.25 | 1.30 | 1.66 | 0.91 | 1.24 |
| BI | 3.82 | 4.24 | 0.56 | 0.87 | 0.48 | 0.90 |
| Water Absorption Coefficient by Capillarity | Open Porosity | Surface Roughness | ||
|---|---|---|---|---|
| Jordans Basebed limestone | Unweathered | 0.99 | 0.93 | 0.97 |
| Weathered | 0.99 | 0.87 | 0.91 | |
| Howley Park sandstone | Unweathered | 0.96 | 0.99 | 0.98 |
| Weathered | 0.94 | 0.88 | 0.93 | |
| Foggintor granite | Unweathered | 0.93 | 0.99 | 0.81 |
| Weathered | 0.95 | 0.99 | 0.99 | |
| Bioreceptivity Level | Qualitative Description | Primary Bioreceptivity | Secondary Bioreceptivity |
|---|---|---|---|
| 0–1.99 | Very low bioreceptivity | Howley Park sandstone Foggintor granite | Howley Park sandstone Foggintor granite |
| 2–3.99 | Low bioreceptivity | Jordans basebed limestone | |
| 4–5.99 | Moderate bioreceptivity | Jordans Basebed limestone | |
| 6–7.99 | High bioreceptivity | ||
| Greater than 8 | Very high bioreceptivity |
Disclaimer/Publisher’s Note: The statements, opinions and data contained in all publications are solely those of the individual author(s) and contributor(s) and not of MDPI and/or the editor(s). MDPI and/or the editor(s) disclaim responsibility for any injury to people or property resulting from any ideas, methods, instructions or products referred to in the content. |
© 2024 by the authors. Licensee MDPI, Basel, Switzerland. This article is an open access article distributed under the terms and conditions of the Creative Commons Attribution (CC BY) license (https://creativecommons.org/licenses/by/4.0/).
Share and Cite
Skipper, P.J.A.; Skipper, L.K. Measuring the Primary and Secondary Bioreceptivity of Stone and Their Implications for Heritage Conservation. Heritage 2024, 7, 5103-5119. https://doi.org/10.3390/heritage7090241
Skipper PJA, Skipper LK. Measuring the Primary and Secondary Bioreceptivity of Stone and Their Implications for Heritage Conservation. Heritage. 2024; 7(9):5103-5119. https://doi.org/10.3390/heritage7090241
Chicago/Turabian StyleSkipper, Philip J. A., and Lynda K. Skipper. 2024. "Measuring the Primary and Secondary Bioreceptivity of Stone and Their Implications for Heritage Conservation" Heritage 7, no. 9: 5103-5119. https://doi.org/10.3390/heritage7090241
APA StyleSkipper, P. J. A., & Skipper, L. K. (2024). Measuring the Primary and Secondary Bioreceptivity of Stone and Their Implications for Heritage Conservation. Heritage, 7(9), 5103-5119. https://doi.org/10.3390/heritage7090241

