Next Article in Journal
From 3D Point Cloud to an Intelligent Model Set for Cultural Heritage Conservation
Next Article in Special Issue
Cadmium Yellow Pigments in Oil Paintings: Optical Degradation Studies Utilizing 3D Fluorescence Mapping Supported by Raman Spectroscopy and Colorimetry
Previous Article in Journal
Urban Heritage Facility Management: A Conceptual Framework for the Provision of Urban-Scale Support Services in Norwegian World Heritage Sites
 
 
Font Type:
Arial Georgia Verdana
Font Size:
Aa Aa Aa
Line Spacing:
Column Width:
Background:
Article

Microclimate-Monitoring: Examining the Indoor Environment of Greek Museums and Historical Buildings in the Face of Climate Change

by
Efstathia Tringa
1,*,
Dimitris Kavroudakis
2 and
Konstantia Tolika
1
1
Department of Meteorology and Climatology, School of Geology, Faculty of Sciences, Aristotle University of Thessaloniki, 54124 Thessaloniki, Greece
2
Department of Geography, University of the Aegean, 81100 Mytilene, Greece
*
Author to whom correspondence should be addressed.
Heritage 2024, 7(3), 1400-1418; https://doi.org/10.3390/heritage7030067
Submission received: 29 January 2024 / Revised: 3 March 2024 / Accepted: 6 March 2024 / Published: 9 March 2024

Abstract

The preservation of cultural artifacts within museums and historical buildings requires control of microclimatic conditions, and the constantly evolving climate certainly poses a challenge to maintaining recommended conditions. Focused on the Archaeological Museum of Delphi and the Church of Acheiropoietos in Greece, our study evaluates the hygrothermal behavior of these buildings with a specific emphasis on the preservation of cultural heritage objects hosted there. An innovative approach to the real-time analysis of data is utilized, aiming to achieve a timely detection of extreme temperature and humidity levels. A one-year monitoring campaign was carried out to achieve a detailed assessment of the indoor climate in selected museums and historical buildings in Greece. The monitoring campaign was performed using dataloggers that were set to measure and record temperature (T) and relative humidity (RH) values hourly. The results allowed for the detection of extreme temperature and relative humidity values, pinpointing the time period that requires more attention. The museum’s heating, ventilation, and air conditioning (HVAC) systems provide temperature control for visitor comfort, but the temperature still rises in summer, highlighting the impact of external climate factors. The church’s lack of HVAC systems widens the temperature range compared to the museum, but significant hourly fluctuations are not observed, underlining the building’s high thermal mass and inertia. Both buildings demonstrate a significant response to changes in outdoor temperature, emphasizing the need for future adaptation to climate change. The HMRhs and PRD indices indicate minimal microclimate risk in both buildings for temperature and RH, reducing the probability of material damage. The church’s slightly higher HMRhs index values, attributed to relative humidity, increases susceptibility due to sensitive materials. Overall, the study highlights the importance of managing microclimatic conditions in historical buildings and proposes careful adaptations for the protection of cultural heritage.

1. Introduction

The primary purpose of museums is to collect, preserve, interpret, and exhibit objects and materials of cultural, historical, and scientific significance to educate and inspire visitors [1,2]. Historical buildings and museum antiquities serve as cultural evidence from the past that must be properly preserved for future generations. However, the indoor microclimate of buildings plays a crucial role in preserving cultural heritage. Due to the delicate nature of the exhibits, the indoor environment of a museum should meet specific hygrothermal and air quality requirements [3]. Environmental factors that can affect cultural heritage include temperature, relative humidity, air quality, light, and vibration [4,5]. Changes in these factors can lead to mechanical, chemical, and biological decay of the interiors of the objects and collections they contain [6,7]. Camuffo and Bernardi [8] indicated that fluctuations in temperature and relative humidity can cause stress to the materials, leading to cumulative and irreversible changes in their physical and chemical properties, accelerating the deterioration process and eventual failure of the materials.
Therefore, understanding the factors that influence indoor climate and regularly monitoring climate fluctuations is important [6,9]. According to the literature, the indoor climate of a building is influenced by various factors, including the outdoor climate, the dimensions and structure of the building, the materials used for its construction, and the hydrogeology of the underlying soil [10]. These factors can impact the temperature and humidity levels within the building, which, in turn, affect the microclimate and preservation of objects and collections. A building constructed with materials of high thermal mass can reduce heat flow fluctuations and thus maintain more stable climatic conditions [11]. In addition, the natural ventilation, the presence of people, and the heating system induce fluctuations in indoor environments which may put the heritage conservation at risk [12,13,14]. For example, the presence of visitors can cause an increase in air temperature (due to sensible heat gains, primarily emitted by convection), leading to an increase in relative humidity as well [15]. In the past, many studies have tried to determine the best conservation and protection strategy for artworks housed in museums, churches, etc. [16,17,18]. Overall, these studies highlight the importance of monitoring and regulating the indoor microclimate of museums to ensure the long-term preservation of cultural heritage objects.
To assess the indoor climate of museums, many studies employ monitoring strategies to gather data that identify trends, patterns, and anomalies in the museum microclimate [6,19,20,21]. The data collected from these methods can provide insights for the effectiveness of the museums’ climate control systems and help identify areas where improvements may be necessary to ensure the preservation of cultural heritage objects. For example, Schito et al. [22] applied microclimate indices during a four-month monitoring campaign at the Palazzo Blu Museum in Pisa in 2016, revealing a generally acceptable instantaneous microclimate. They emphasized that the improvement of the HVAC (heating, ventilation, and air conditioning) system is essential to avoid high thermal-hygrometric daily durations. Later, Sciurpi et al. [23] conducted one year of microclimatic monitoring in a museum in Florence and found that the temperature and relative humidity conditions were not reasonably acceptable for the preservation of the exhibited objects, suggesting possible solutions. Similarly, after microclimate monitoring in the indoor environment of a museum in Romania, Camelia et al. [21] stressed the need for better preservation of exhibits, as well as a healthier environment for workers, restorers, and visitors.
In addition, recent research has also focused on monitoring the microclimate of churches which often differ significantly from modern museums in terms of their structure. The unique microclimates created by massive walls, high ceilings, and limited windows can have both positive and negative impacts on the preservation of cultural heritage objects [24,25]. By carefully monitoring and controlling the indoor environment, it is possible to reduce the rate of deterioration and prolong the lifespan of these important cultural treasures. Other studies have indicated that uncontrolled installation and the use of heating systems can lead to the deterioration of building interiors and adversely affect their historic climates [12,26]. This underlines the importance of regulating the indoor climate to mitigate the harmful effects of artificial heating and other environmental factors on cultural heritage. However, as mentioned, maintaining a comfortable indoor environment for occupants can sometimes conflict with the requirements for preserving cultural property. Thus, a reasonable compromise between the needs of occupants and the requirements for cultural property conservation is important [4,6].
As previously mentioned, the outdoor environment can have a significant impact on the indoor climate of museums and historical buildings, posing new adaptation challenges for museum directors and boards. Changes in outdoor climate, such as temperature fluctuations and increased humidity levels, can impact the indoor environment of museums. The Intergovernmental Panel on Climate Change (IPCC) has warned that climate change is likely to increase the risk of mold and insect infestations in museums and other cultural institutions. This is because warmer temperatures and higher humidity levels create favorable conditions for mold and insect growth [27]. Several studies and reports have explored this issue in depth [27,28], noting the potential impacts of future climate change on the preservation of museum collections and emphasizing the need for adaptation measures to mitigate these impacts.
The Greek area in which this work focuses is a country with a rich cultural heritage spanning thousands of years and a profound influence on Western art, literature, philosophy, and politics. According to the Hellenic Ministry of Culture and Sports, Greece has over 150 archaeological museums, each with its own unique collection of artifacts and exhibits. However, Greece is expected to face new threats from climate change, which will pose new challenges to museum managers, directors, and the government. According to the IPCC, Europe, including Greece, is expected to experience a significant temperature rise, with estimates ranging from 2.2 °C to 5.1 °C by the end of the century [29]. Recent projections suggest a 3.6 °C temperature increase by the end of the 21st century [30]. Generally, Georgoulias et al. [31] have shown that the average temperature in Greece is expected to increase in the future, and precipitation to decrease, leading to a warmer and drier climate. Similarly, Kostopoulou and Giannakopoulos [32] also found in their recent work on extreme wet and dry conditions in Greece that the annual precipitation is estimated to decrease by 15–40% and the number of consecutive dry days by 40–80% during 2071–2100 under the RCP8.5 scenario. These environmental changes could potentially impact public health, thermal comfort, tourism, and agriculture [33,34,35,36]. To address these challenges, museums must collaborate with experts to develop strategies for adapting to changing climate and minimizing the impact on their collections. UNESCO [37] recognizes the potential impact of climate change on cultural heritage sites and calls for increased awareness and action to protect these sites from climate change effects. In our previous work [38], we focused on the impacts of climate change on cultural heritage in outdoor environments for both the present and the future in two Greek areas with high cultural value: Thessaloniki and Delphi. The results indicated that increasing temperature would result in a riskier climate for the monuments with a higher risk of damage. On the other hand, the results regarding relative humidity varied according to the season.
Nevertheless, since the cultural heritage preserved in museums or historical buildings is exposed to the risk of damage and deterioration, due to the microclimatic conditions characteristic of the environment that hosts it, this study focuses on analyzing the indoor environments of specific historical buildings and museums in Thessaloniki and Delphi, Greece. Recognizing the increasing threat posed by climate change to cultural heritage, this study raises the following key questions: How do fluctuations in outdoor climate impact the indoor climate of museums and historical buildings in Greece? And what are the implications for the cultural heritage they accommodate? The primary objective of this work is the assessment of the suitability of internal microclimates, with an emphasis on early warning for extreme conditions. A one-year monitoring campaign was carried out, aiming to provide a detailed assessment of the indoor climate in selected museums and historical buildings in Greece. Striving to actively contribute to the timely mitigation of extreme temperature and humidity values, our study proposes an innovative real-time data analysis approach. To assess the risk of indoor climates and estimate the risk of damage to antiquities, HMRhs and PRD indices were applied. Furthermore, anticipating that future climate change will exert additional pressure on museums’ efforts to maintain stable climatic conditions, we endeavored to examine the trend of internal temperature in relation to outdoor conditions. These findings could be helpful in guiding preservation strategies, informing adaptive measures, and enhancing the resilience of cultural heritage institutions in the face of evolving climate challenges.
The innovation of the work lies in the fact that the proposed methodology allows for the detection of extreme temperature and relative humidity values, accurately identifying the time period requiring more attention. The study’s approach to data analysis in real-time opens new horizons for predicting and promptly responding to extreme temperature and humidity values.

2. Materials and Methods

2.1. Case Studies

The Archaeological Museum of Delphi in Delphi and the Church of Acheiropoietos in Thessaloniki were selected for the analysis of their indoor climates (Figure 1). The study was carried out in the rooms of the buildings where, according to the boards, there is a greater need for climate control. The Archaeological Museum of Delphi is a significant cultural institution situated near the ancient sanctuary of Delphi in Greece. Established in 1903 and expanded over the years, the museum showcases a diverse collection of artifacts discovered in Delphi [39]. Its architecture blends modernist and traditional Greek styles, offering stunning views of the surrounding landscape. In terms of construction materials, the Archaeological Museum of Delphi is made mainly of stone and concrete, while metal and glass are used for details of the building such as doors and windows. The museum is typically organized into multiple exhibition halls or galleries, each focusing on the different aspects of ancient Delphi’s history, culture, and art. Inside, visitors can explore exhibition halls filled with sculptures, pottery, and jewelry that provide insights into the ancient sanctuary’s religious and cultural significance. The microclimate of the museum is typically maintained by HVAC systems that provide heating, cooling, and ventilation. For the best protection of the artifacts, the museum utilizes showcases designed to preserve the monuments, providing protection from dust and environmental factors. We focused on “the beginnings of the sanctuary and the early offerings—I”, which is the first hall of the museum (Figure 2). This hall exhibits antiquities made of inorganic material (mainly copper) with inside and outside display cases. According to the museum directors and boards, the microclimate in this hall requires special attention because it is located at the museum’s entrance, and the frequent opening of the door, as well as the congestion created by tourists, affect it.
The Church of Acheiropoietos is a historic Byzantine church located in Thessaloniki, Greece. Dating back to the 5th century, the Church of Acheiropoietos is not only one of the oldest churches in the city but also a UNESCO world heritage monument [40]. The church’s architectural style reflects the early Christian period and has undergone modifications and restorations over the years [41]. The building has a large hall, with an impressively high ceiling. The church’s exterior features intricate Byzantine brickwork, including arches, niches, decorative motifs, and wooden detailing on the ceiling. Original mosaic, frescoes, and paintings adorn the interior surroundings of the church. The church lacks HVAC systems for climate control and instead relies on heating devices, presumably utilized to offer localized warmth during colder periods, and the insulating effects of its stone structure to maintain a stable temperature. The focus in this case is the chapel located within the Church of Acheiropoietos.

2.2. Data

A one-year monitoring campaign was carried out to achieve a detailed assessment of the indoor climate of the Archaeological Museum of Delphi and the Church of Acheiropoietos. The monitoring campaign was performed using dataloggers that were set to measure and record temperature (T) and relative humidity (RH) values hourly. The sensors were located at 2 m height in places where they did not disturb the exposition of monuments and were not exposed to theft or damage (e.g., on walls, on showcases, under the exhibition tables). Detailed information regarding the sensors employed in this study can be found in Table 1. The sensors were installed inside the buildings in June 2022 and continue to record data up to the present day. However, the initial two months of recorded data were excluded from the analysis due to errors caused by factors such as sensor stabilization and equilibration. The study period for both the Archaeological Museum of Delphi and the Church of Acheiropoietos spans from 1 August 2022 to 31 July 2023.
Additionally, to comprehend the relationship between the indoor and outdoor climates, hourly data of T and RH were utilized for the outdoor environment. Regarding the Thessaloniki region, where the Church of Acheiropoietos is located, data from the meteorological station at the Aristotle University of Thessaloniki (AUTH) were utilized. Similarly, fifth-generation ECMWF reanalysis ERA5-Land data were employed for the Delphi region and the Archaeological Museum of Delphi.

2.3. Methodology

2.3.1. Estimation of Extreme Values

A custom methodology was used which identifies extreme values in the real-time data. Trying to efficiently and effectively engage in the early warning of temperature and humidity extreme values, we propose a new way of analyzing real-time data. Analysis of data was conducted using a customized R script that we developed, which generates plots, graphs, and annotates them accordingly based on limits.
Initially, the hourly data were observed for a year, and heat maps were created to identify missing data and understand the overall annual trend. Very few missing values were found/observed (2 times of single hour observations), which have been filled accordingly (previous hour values). It was essential to handle missing data appropriately in order to ensure the integrity and reliability of our analysis. Additionally, heat maps help to understand the general trend of the seasonal patterns. The observed seasonal patterns refer to expected fluctuations in data that occur at specific intervals: daily, monthly, and yearly. This identification of the overall annual trend (winter–summer) helps to identify the temperature/humidity pattern of the site. Recognizing patterns and anomalies in the data are essential for understanding underlying phenomena and identifying unusual events that may require further investigation.
Furthermore, the normality of the values was examined using the Normal Q-Q plot (Quantile-Quantile). This is a powerful graphical tool to assess whether temperature/humidity values follow a normal distribution, providing a visual comparison between the quantiles of the observed data and the quantiles of a theoretical normal distribution. Additionally, using Normal Q-Q plot, we needed to examine any possible asymmetry and tail heaviness in the data (Skewness and Kurtosis). Then, the standard deviation approach was used to identify extreme events. Using the “3 × Standard Deviation” threshold, we have identified a number of extreme values throughout the year. This approach provides a quantifiable way to assess the variability or dispersion of data points around the mean. In the context of identifying extreme events, the standard deviation of temperature/humidity values is employed in conjunction with the mean to determine the spread of values around the average value and identify observations that significantly deviate from the average.
The Z-score calculation was also applied to both temperature and relative humidity values in the dataset. The standard score (Z-score) is a measure that quantifies how far a data point is from the overall mean in terms of standard deviations. The following formula depicts the calculation of the Z-score of a data point χ in a dataset with mean μ and standard deviation σ:
z = χ μ σ
Then, after converting the data to Z-scores, the deviation of the data from the overall mean of the site was calculated.
Finally, to capture extreme fluctuations in the hourly dataset, observations were compared pairwise. Each observation has been compared against a previous-hour observation. Comparing each observation pairwise against the previous-hour observation in an hourly dataset helps to capture extreme fluctuations and identify changes in the dataset over time. This type of analysis can reveal patterns, trends, and anomalies at a finer temporal resolution, especially when dealing with time series data. By comparing each observation with the previous-hour observation, you focus on hourly changes in the dataset. This is particularly useful for capturing short-term fluctuations, patterns, or events that might be missed when looking at larger time intervals. Hourly comparisons of T and RH enable the identification of short-term trends and anomalies that may result in coarser time resolutions. These pairwise comparisons allow the capture of temporal patterns, such as cyclic or recurring fluctuations, within the hourly data. This can be crucial for understanding the temporal dynamics of indoor environmental conditions. This approach offers high temporal resolution, enabling the detection of short-term trends and anomalies that might be missed in coarser analyses.

2.3.2. Heritage Microclimate Risk and Predicted Risk of Damage Indices

The Heritage Microclimate Risk (HMR) index and the Predicted Risk of Damage (PRD) index were utilized to evaluate the suitability of the indoor microclimate and to assess the damage risk. The HMR index depends on the indoor microclimate, and it allows for the assessment of risk to which cultural heritage exposed within a room is caused by the indoor microclimate. In this study, the historical HMR index (HMRhs) was applied, and the thresholds for this index were determined based on the indoor data series, excluding any “scattered values”. When the index takes the value of minus one (−1), the risk condition is relative to the “lower threshold”, while when the index takes the value plus one (+1), the risk condition is relative to the “higher threshold”. More information on index equations is available in the study by Fabbri and Bonora [42]. The PRD index depends on the HMR and the material type (inorganic, organic, paintings, etc.).
H M R h s = H M R e n v h s + H M R f l u c h s 2
P R D = 1 0.95   ×   e ( a × H M R 4 b × H M R 2 )   ( % )

3. Results

3.1. Estimation of Extreme Values

To comprehend the daily, monthly, seasonal, and annual temperature fluctuations, we generated heat maps for each building. In Figure 3, the heat map for the Archaeological Museum of Delphi is presented on the left, and for the Church of Acheiropoietos is on the right. Each diagram illustrates the hourly temperature throughout the one-year monitoring campaign for the studied rooms of the buildings. The results provide significant information regarding the thermal behavior of the two buildings and enabled us to identify temperature patterns and comprehend their thermal behavior.
The dark-purple and light-yellow colors in the Acheiropoietos church signal a broader range of temperatures, suggesting the presence of more extreme temperatures compared to the Delphi Museum building, possibly due to the lack of heating and cooling systems. Specifically, the temperature range in the chapel of the church for the monitoring campaign year is 8.0 to 33.4 °C, whereas the temperature range for room I in the Delphi Museum is 16.0 to 28.2 °C. The examination of the monthly temperature fluctuations reveals distinctive patterns between the two structures. The Delphi Museum consistently records its lowest temperatures in February and January, whereas the Acheiropoietos church experiences prolonged periods of low temperatures from December to March, with temperatures less than 17.8 °C during this timeframe. The month with the lowest average temperature in the Delphi Museum is January (17.9 °C), while in the Acheiropoietos church, it is February (11.4 °C). The highest temperatures were recorded in July at both buildings. The average indoor temperature in the Delphi Museum during the month of July is 27.2 °C, while in the Acheiropoietos church, it is 30.0 °C. However, the church also noted equally high temperatures in August (average temperature 29.4 °C). In the building of the Delphi Museum, it is observed that during the evening and early morning hours, regardless of the month or season, the temperature is lower. Additionally, there is a daily increase in temperature around 9 a.m. Generally, higher temperature values are noted in the period roughly between 9 p.m. and 5 a.m., during the museum’s operating hours, with the causes varying with the season. Conversely, the Church of Acheiropoietos exhibits minimal daily temperature variation, without pronounced fluctuations as the ones observed in the museum.
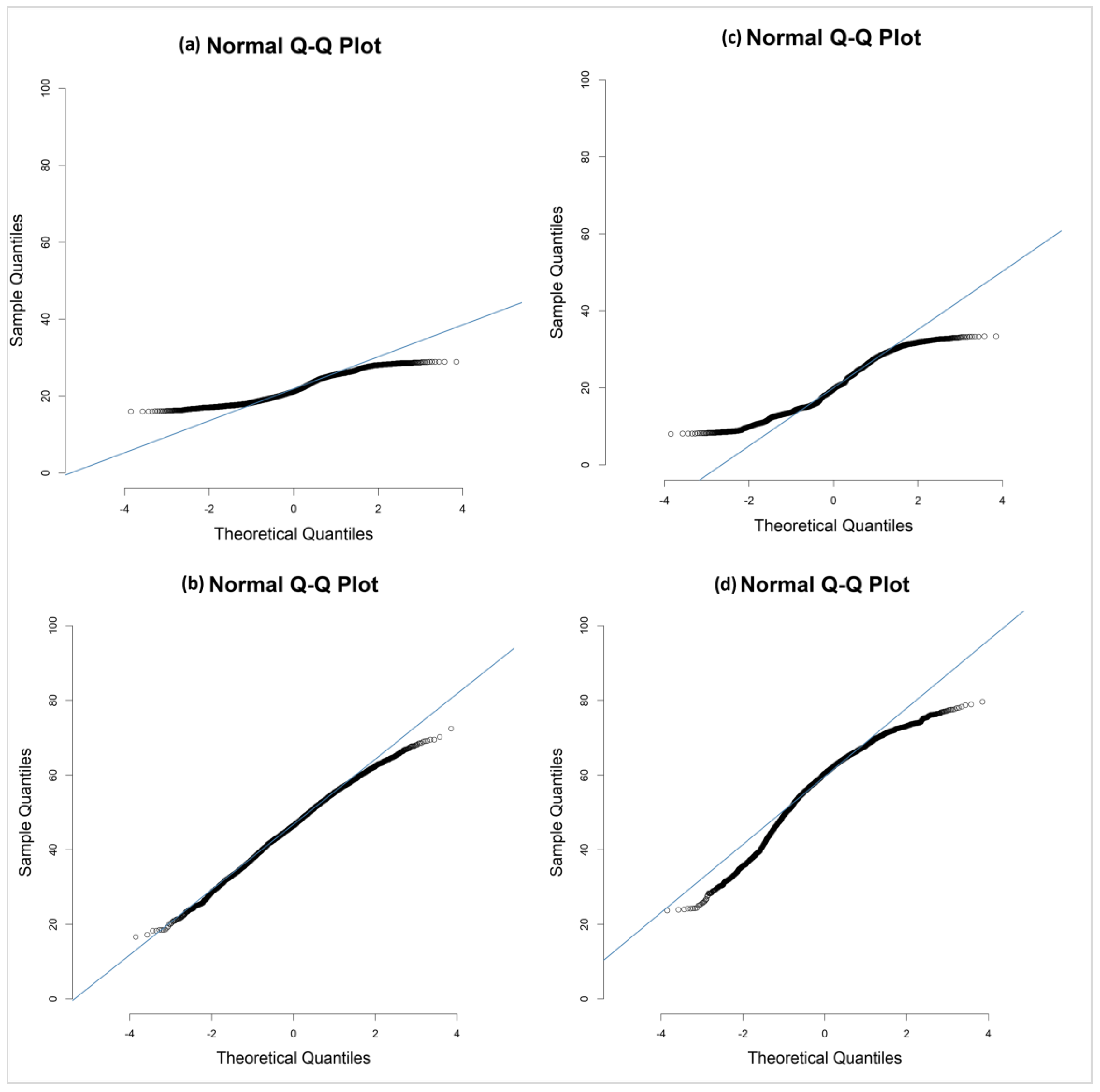
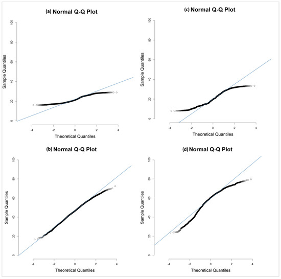
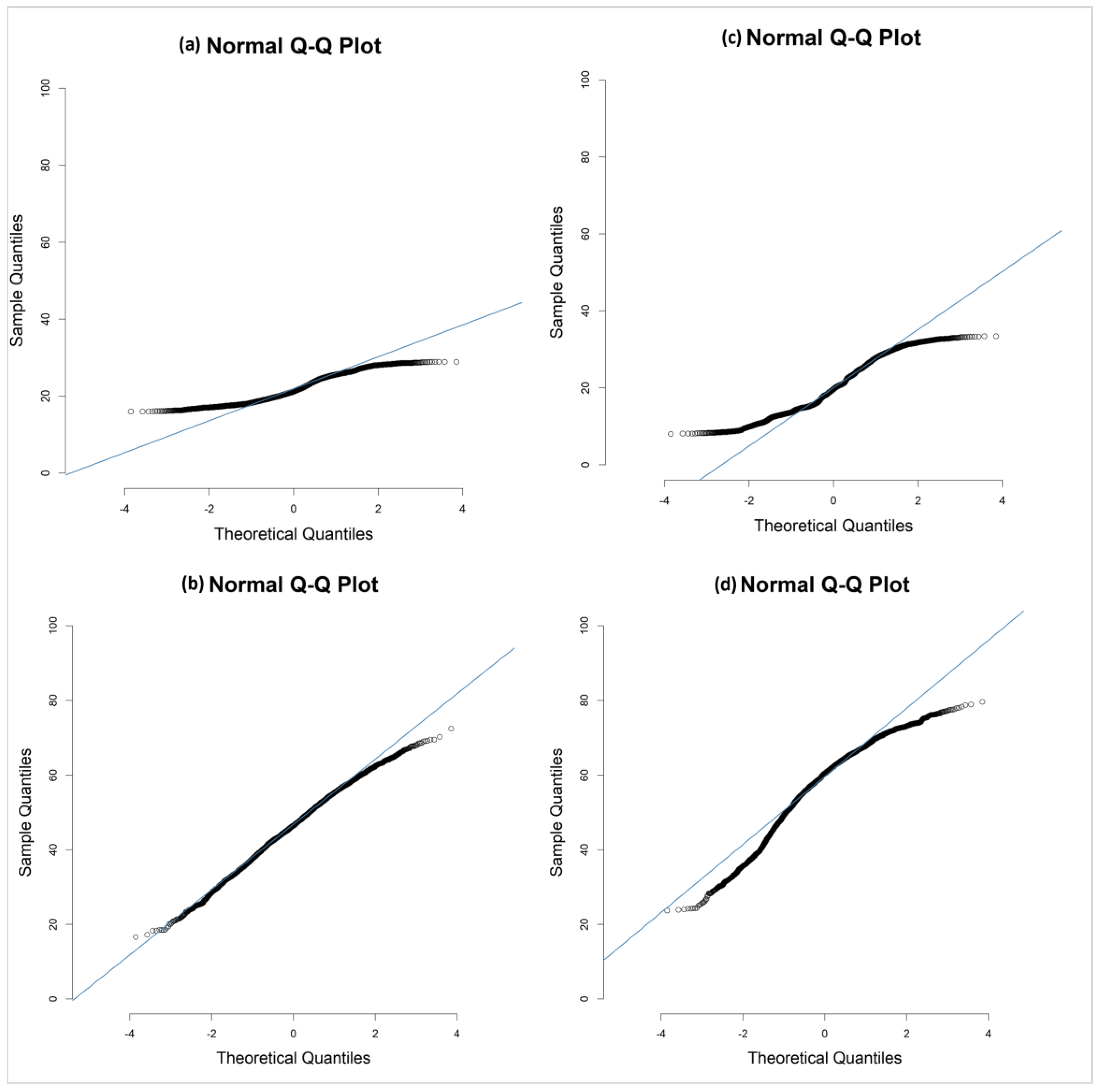
A comprehensive study was conducted to assess the normality of values through the utilization of graphical representations known as Normal Q-Q plots. In our case, Q-Q plots are utilized to compare the humidity distribution in the Delphi Museum and the Church of Acheiropoietos (Figure 4). Generally, the points in Figure 4 closely follow the straight line, which indicates that the data are approximately normally distributed. Regarding temperature, a similar distribution of data points is observed in both buildings, but there is a greater deviation at the extremes of the distribution. The increased deviation at the extremes indicates a higher variability in the extreme temperature values. This suggests the possibility of unpredictable and extreme temperature conditions in these buildings, beyond the usual mean values. Regarding relative humidity, differences are observed in the distribution of data points between the two buildings. The Delphi Museum exhibits a distribution of points closely aligned with the line, with minimal deviations at the extremes. This indicates that RH conditions within the museum are more stable and predictable. In contrast, there is a divergence at the extremes of the humidity distribution in the case of the church. This suggests greater variations in relative humidity conditions, rendering them more unstable and potentially less predictable. This could be attributed to factors influencing extreme indoor climatic conditions such as extreme weather phenomena in the outdoor environment. However, it is important to note that although the Q-Q plots offer valuable insights, they do not provide a comprehensive overview of the temperature and relative humidity distributions in the two buildings. Therefore, a more thorough analysis of the internal climate conditions and extreme values follow below.
In Figure 5, “3 × Standard Deviation” and Z-scores were calculated to estimate the deviation of temperature and relative humidity from the overall mean and identify outliers throughout the entire year. This approach allows for the assessment of the variability or dispersion of the data points around the mean. The identification of outliers signifies cases where the observed values deviate significantly from the expected or average conditions, allowing for a nuanced understanding of climatic dynamics within the studied buildings. The temperature results for the Delphi Museum reveal a notable occurrence of above normal events in July where the temperature markedly surpasses the annual average, marked by 152 outliers. The results for the Acheiropoietos church indicate fewer outliers compared to the museum (52 outliers). However, it is worth noting that these reappear in July. The temperature results suggest that both the museum and the church experience above normal temperature events, particularly in July, where temperatures spike significantly above the yearly average.
Regarding RH, the Museum of Delphi displays a markedly lower average relative humidity compared to the Church of Acheiropoietos. The first records an RH level of 46.4%, while the latter shows 58.8%, signifying a more humid climate. The museum exhibits a total of 350 outliers from the mean RH, with both positive and negative deviations. A series of above-normal values occur during December, May, and June due to positive deviations, resulting from significantly higher humidity compared to the annual average. Conversely, low humidity values appear to be more scattered throughout the year, peaking in February and April. In the second study area, 475 outliers were identified, primarily associated with negative deviations. The majority of extreme events are concentrated in the months of July to October, with fewer occurrences recorded in February and April. This suggests a distinct pattern of humidity variations in the church, with notable differences compared to the museum.
In the subsequent analysis, the hourly observations were compared pairwise, and extreme hourly changes were identified. Figure 6 illustrates these outliers for both case studies, emphasizing the hourly differences in temperature and RH. In general, the average hourly temperature seemed to be close to zero, suggesting a lack of substantial average deviations. However, a wide variation in the dataset is detected, necessitating a closer, hour-by-hour examination. Examining the results from Figure 6, specifically for the Delphi Museum, it becomes evident that certain extreme events (181 outliers) occur when comparing hourly temperature data against preceding hours, particularly from December to July, with a peak in December. The largest percentage of the extreme hourly events related to temperature increase occur between 8:30 and 9:30 am, mainly from November to March. This corresponds to the observations in the heat map (Figure 3), indicating a daily temperature rise during the morning hours. It is clear that fewer outliers were recorded in the church (45 outliers), mainly in the month of November. Similarly, to temperature, the RH average of the hourly difference was close to zero, 144 outliers beyond the three-standard-deviation mark in the museum were found, and 191 outliers in the church were found, indicating a significant variability in humidity levels. In the museum, these outliers are scattered without following a specific pattern, suggesting abrupt fluctuations in humidity throughout the year. Conversely, for the church, it seems that most outliers are recorded during the months of July to September, implying specific periods of pronounced humidity variations. Overall, the deviations from the mean are more scattered in the museum compared to the church, designating those environmental conditions, such as temperature and humidity, as more “unstable” in the museum.

3.2. Temporal Analysis of Indoor and Outdoor Thermo-Hygrometric Conditions. How Could Changes in Outdoor Climate Affect the Indoor Enviromental Conditions of the Buildings under Study?

To gain a holistic insight into a building’s hygrothermal behavior, it is crucial to comprehend not only its indoor microclimate but also its interaction with the outdoor environment. Therefore, hourly variations of both internal and outdoor temperatures were examined for both sites (Figure 7).
Overall, it was observed that the indoor temperature trends align with the outdoor temperature trends. The internal temperature of the Archaeological Museum of Delphi and the Church of Acheiropoietos exhibit average fluctuations of 6.5 and 3.3 °C higher than the outdoor temperature, respectively. This suggests that the average temperature of the church is relatively closer to the outside temperature compared to the other building, given the absence of climate control (HVAC systems). In the summer, the museum appears to be cooler compared to the outdoor environment, remaining below 30 °C even when outdoor temperatures reach 40 °C. However, without an HVAC system, the indoor temperature of the church seems to steadily rise with external temperatures, sometimes reaching 35 °C. Further insights into the thermal characteristics of each building are provided by temperature percentiles. For the museum, the 95th percentile temperature is 27 °C, indicating the upper range of extreme temperatures, while the 5th percentile is 17 °C, representing lower extreme temperatures. In contrast, the church exhibits a broader temperature range, with a 95th percentile temperature of 30 °C and a 5th percentile temperature of 12 °C. The church’s wider temperature range reflects its heightened sensitivity to extreme climatic conditions.
Contrarily, the indoor relative humidity (RH) trend in the Archaeological Museum of Delphi does not exhibit any similarity to the trend of outdoor RH. Additionally, the average indoor RH levels of the Archaeological Museum of Delphi and the Church of Acheiropoietos fluctuate, on average, by 23.2 and 8.4 units, respectively, lower than the outdoor RH. For the Archaeological Museum of Delph, the 95th percentile RH is 60%, with the 5th percentile at 32%. For the church, the 95th percentile RH is 72%, and the 5th percentile is 39%. It is observed that the church exhibits a wider range of humidity levels compared to the museum. The fact that the church has a higher humidity range may have significant implications for the preservation of objects and materials. These RH percentile values provide additional information to the understanding of each building’s hygrothermal behavior, highlighting the variability in humidity conditions and emphasizing the need to consider both indoor and outdoor factors in the preservation of cultural heritage sites.
Figure 8 displays scatter plots between indoor and outdoor temperature for the Archaeological Museum of Delphi (Figure 8a,c) and for the Church of Acheiropoietos (Figure 8b,d). These plots were constructed with the aim of anticipating potential changes. The R-value represents the correlation strength and direction between indoor and outdoor temperatures, offering valuable insights into the thermal dynamics of each building. An R-value close to zero implies a minimal influence of the independent variable (outdoor temperature) on the internal temperature (dependent variable). Specifically, both buildings under study indicate a strong positive correlation between indoor and outdoor temperature. The R-value is 0.861 for the museum and 0.7792 for the church, indicating a significant tendency for the indoor temperature to increase when the outdoor temperature increases.
The equivalent RH R-values for the museum and the church are 0.1286 and 0.3434, respectively. The R-value of 0.1286 for the Delphi Museum indicates a weak correlation, suggesting minimal influence of outdoor conditions on indoor humidity, while the 0.3434 value found for Acheiropoietos shows a slightly stronger positive correlation, and a more pronounced tendency for indoor humidity to increase with the respected outdoor increase. Overall, the results highlight a variety in the hygrothermal behavior of both buildings, with a strong (weak) positive correlation between indoor and outdoor temperatures (relative humidity).

3.3. Heritage Microclimate Risk (Historical) and Predicted Damage Risk Indices

It is well-known that unsuitable microclimate conditions can lead to the deterioration, discoloration, or other forms of degradation of antiquities and artworks. Thus, the Heritage Microclimate Risk and Predicted Damage Risk indices were used in order to assess the appropriateness of microclimates and to evaluate the risk of potential damage. According to the directors and conservators of the antiquities at the Archaeological Museum of Delphi, regular checks are carried out on both the assets and values housed within, as well as the preservation conditions of the buildings themselves. To date, no signs of deterioration have been discovered in either museum. For the Church of Acheiropoietos, we considered that the assets of the values and the paintings have adapted to the microclimatic conditions of their environment. For the reasons mentioned above, both HMRhs.low and HMRhs.high were computed from time series collected from the environmental monitoring sensors in the museums rather than from standard reports [42].
Figure 9 depicts the results of the HMRhs and PRD indices which were applied for inorganic, organic, mixed, and painted materials/objects because these materials are predominant in the two buildings under study. The results of HMRhsenv and HMRhsfluc for the temperature parameter in the Archaeological Museum of Delphi are, respectively, −0.06 and +0.11, indicating a minimum microclimate risk. Consequently, as per Figure 9, the total HMRhs index value of −0.03 corresponds to a potential damage probability of 5.0%, 5.1%, 5.1%, and 5.1% for inorganic, organic, mixed, and painted materials/objects, respectively, suggesting a reduced probability of damage. Similarly, for the Church of Acheiropoietos, the HMRhsenv is −0.1 and the HMRhsfluc is 0.0 leading to an HMRhs index = −0.05. Additionally, there is a reduced probability of damage as well: 5.0%, 5.3%, 5.3%, and 5.1%. As in the case of the Archaeological Museum of Delphi, the Acheiropoietos Church’s negative values (−) for the HMRhs index indicate that the average temperatures are closer to the lower limit of the time series data. This could suggest that in both cases, the risk is more linked to low temperatures rather than high temperatures.
In the case of RH, the HMRhs index for the museum is almost zero (+0.005) (HMRenv historical = 0.03 and HMRfluc historical = 0.005) and the PRD index is set at 5% because according to the literature [42], no indoor environments is entirely free from the risk of damage for the conservation of any type of material. The slightly higher HMRhs index of +0.11 (HMRenv historical = 0.22 and HMRfluc historical = 0.0) attributed to the RH in the Acheiropoietos Church appears to primarily impact the mixed materials and the paintings adorning the church’s surroundings, indicating predicted a risk of damage of 7.2% and 6.6%, respectively. Overall, the indoor microclimate of the rooms under study at the Archaeological Museum of Thessaloniki and Delphi can guarantee the preventive conservation of the antiquities hosted there.

4. Discussion

The overarching goal of museums is to host, preserve, and safeguard cultural and historical content, including the antiquities found within them. Undoubtedly, environmental monitoring is a key activity to evaluate both the quality of indoor spaces and the preservation of the artworks hosted in those historical building [16]. Recognizing the rich cultural heritage of Greece and the importance of its protection and transmission to future generations, this research focuses on studying the indoor climates of a modern museum and an ancient church in Greece. The objective is to examine the hygrothermal behavior of the buildings under study and propose a customized methodology for the early detection of extreme conditions, with the ultimate goal of safeguarding cultural heritage in the face of a constantly changing climate.
The results reveal a normal temperature behavior of the two buildings, with higher temperatures recorded during the summer months and lower temperatures during the winter. Nevertheless, the absence of HVAC systems in the Church of Acheiropoietos leads to a boarder range of temperatures (8.0 to 33.4 °C) compared to Room I of the Delphi Museum (16.0 to 28.2 °C), where the climate is controlled with HVAC systems. Additionally, a daily temperature increase was observed around 9 p.m. in the museum room, with temperatures remaining at higher levels until the early afternoon. This is because museums, beyond their crucial role in preserving cultural heritage, aim to provide optimal conditions for their visitors [43]. However, Camuffo et al. [44] conducted environmental monitoring in four European museums and reported that although such a practice is acceptable for human habitation, it can be dangerous for artifact preservation due to changes in the temporal and spatial gradients of temperature and RH. To address this issue, the Archaeological Museum of Delphi and some other museums have implemented the use of showcases, thereby enhancing environmental conditions. Regarding the outliers, both buildings exhibited a similar pattern with significant instances of above normal temperatures, especially in July, with temperatures significantly surpassing the overall annual average. This suggests that there are more unstable and potentially less predictable temperature conditions during this month in both buildings, indicating the need for improved temperature control. Additionally, regarding relative humidity (RH), the Delphi Museum maintains a significantly lower average humidity (46.4%) compared to the church (58.8%), which is characterized by a more humid climate. Extreme events in the museum are associated with both negative and high RH values, in contrast to the church where they are mainly linked to low RH levels. These variations may be attributed to solar heating, local microclimate characteristics, and a building’s construction materials, especially in the cases where there are no heating and cooling systems as in the case of the church [25,36]. As mentioned in the methodology, the museum’s Room I is the first space at the museum entrance and is affected by frequent door openings, as well as the frequent congregation of tourists before dispersing into the subsequent rooms. These were the primary concerns raised by the museum authorities, who sought the analysis of the climate in this area. Indeed, Ferdyn-Grygierek et al. [15], in their study for hygrothermal risk in museums buildings, showed that the cooling system was able to compensate for an increase in temperature caused by the presence of a large group of people, but was not able to maintain constant RH even nine hours after visitors had left. In general, the comparison of hourly temperature values indicated that the average difference in hourly temperatures seems to be close to zero, suggesting a lack of significant deviations for both buildings. However, further analysis revealed some deviations from the mean in both examined parameters and buildings. Regarding the museum, heating and cooling systems, along with the accumulation of visitors and the impact of the door, can contribute to these extreme events. On the other hand, despite the wider temperature range of the church with more extreme values, fewer extreme events were recorded in hourly fluctuations, indicating the resilience and adaptability of the architectural features of the church. Aste et al. [16], in their work on microclimatic monitoring in the Milan Cathedral, found similar results and explain that the high inertia of the cathedral’s envelope allows the maintenance of almost stable temperature values during daily cycles and causes gradual and mitigated changes in relation to external conditions throughout the seasons.
The examination of the relationship between internal and external thermo-hygrometric conditions revealed that both buildings exhibit a strong response to changes in external temperature while showing a less pronounced reaction to variations in external humidity. This suggests that internal microclimatic conditions are directly influenced by outdoor climatic conditions, raising concerns about the potential impact of future climate change. The results of HMRhs and PRD indices show that both buildings are characterized by minimum microclimate risk for both temperature and RH, leading to a reduced probability of damage for all materials studied (inorganic, organic, mixed, and paintings). Nonetheless, the slightly higher HMRhs index resulting from RH in the church of Acheiropoietos appears to primarily impact the mixed materials and the paintings that adorn the church’s surroundings. Therefore, it would be useful to emphasize the microclimatic conditions of the Church of Acheiropoietos due to the presence of more sensitive materials. Recognizing the vulnerability of objects to projected climate change in historical buildings, it is generally suggested that the indoor microclimate be constantly monitored along with suitable cleaning conditions, proper ventilation, and natural ventilation, and often opening doors and windows [21] Therefore, as we move forward, it becomes crucial to not only address the immediate concerns, but also to establish a framework for continuous monitoring and adaptive conservation practices to ensure the long-term resilience of the Church of Acheiropoietos against the potential challenges posed by a changing climate.

5. Conclusions

In the present research, a one-year monitoring campaign was conducted in order to investigate the indoor climate of a museum and a historical building in Greece. This study proposes a new real-time data analysis method for detecting indoor extreme temperature and relative humidity values, aiming for timely warnings. To assess the suitability of the microclimate within buildings and to estimate the potential risk of damage to cultural artifacts, the HMRhs and PRD indices were applied. In addition to the findings mentioned above, this research emphasizes the significance of long-term monitoring in understanding the seasonal variations and trends in indoor microclimates. The year-long study allowed a comprehensive assessment of how temperature and humidity fluctuate during different seasons, shedding light on patterns that might not be apparent in shorter monitoring periods. This extended monitoring period enhances our ability to develop more robust preservation strategies that account for the nuanced interplay of environmental factors.
Overall, this study underlines the importance of microclimate monitoring in preserving artifacts within museums and historic structures. It enables the prompt identification of extreme temperature and humidity values, allowing for effective intervention. The impact of the outdoor environment on indoor climatic conditions persists, even with HVAC systems in place. Notably, the role of building materials and architecture are crucial in mitigating sudden fluctuations. Looking ahead, the study highlights the potential significant impacts of future climate change on the internal environment of museums and historical buildings, presenting new challenges. Real-time data analysis provides valuable insights for artifact preservation, enabling proactive adaptation to environmental challenges. The proposed approach facilitates a thorough understanding of climate change effects on indoor conditions, empowering museums to implement targeted measures for preservation.
Furthermore, our study advocates for the integration of advanced technologies, such as sensor networks and machine learning algorithms, to further refine the real-time data analysis process. By leveraging these technological advancements, museums and historical buildings can move beyond basic monitoring and prediction to proactive intervention. This approach involves not only identifying extreme values but also predicting potential future fluctuations based on historical data. Implementing these technologies aligns with the broader trend of incorporating innovative solutions in heritage conservation, ensuring a more dynamic and adaptive approach to artifact preservation.
We intend to continue with microclimate monitoring within museums and historical buildings and enhance the methodology for early detection of extreme values. Simultaneously focusing on future climate conditions and providing detailed information to museum authorities constitutes a crucial aspect in ensuring the effective protection of cultural artifacts.

Author Contributions

Conceptualization, E.T., D.K. and K.T.; methodology, E.T., D.K. and K.T.; validation, E.T. and D.K.; formal analysis, E.T.; investigation, E.T. and D.K.; data curation, E.T. and D.K.; writing—original draft preparation, E.T.; writing—review and editing, E.T., D.K. and K.T.; visualization, E.T. and D.K.; supervision, K.T. All authors have read and agreed to the published version of the manuscript.

Funding

The research work was supported by the Hellenic Foundation for Research and Innovation (HFRI) under the 3rd Call for HFRI PhD Fellowships (Fellowship Number: 6527).

Data Availability Statement

The ERA5 dataset is available online at https://cds.climate.copernicus.eu/ (accessed on 28 November 2023). The dataset derived from Aristotle University of Thessaloniki (AUTH) is available on request from the corresponding author.

Acknowledgments

We would like to express our sincere gratitude to the staff of the Ephorate of Antiquities of Thessaloniki City and the Ephorate of Antiquities of Phocis for allowing us to install the climate data recording sensors for the implementation of our monitoring campaign. Special thanks to Konstantinos Raptis from the Ephorate of Antiquities of Thessaloniki City, and to Athanasia Psalti and to Christos Pantermakis of the Ephorate of Antiquities of Phocis, for their excellent collaboration and guidance. Your advice and assistance were crucial for the successful execution of this research.

Conflicts of Interest

The authors declare no conflicts of interest.

References

  1. ICOM. International Council of Museums; ICOM: Prague, Czech Republic, 2022. [Google Scholar]
  2. Macdonald, S. (Ed.) A Companion to Museum Studies; Blackwell Companions in Cultural Studies; Blackwell Pub: Malden, MA, USA, 2006; ISBN 978-1-4051-0839-3. [Google Scholar]
  3. Hu, T.; Jia, W.; Cao, J.; Huang, R.; Li, H.; Liu, S.; Ma, T.; Zhu, Y. Indoor Air Quality at Five Site Museums of Yangtze River Civilization. Atmos. Environ. 2015, 123, 449–454. [Google Scholar] [CrossRef]
  4. Pavlogeorgatos, G. Environmental Parameters in Museums. Build. Environ. 2003, 38, 1457–1462. [Google Scholar] [CrossRef]
  5. Camuffo, D. Microclimate for Cultural Heritage: Measurement, Risk Assessment, Conservation, Restoration, and Maintenance of Indoor and Outdoor Monuments, 3rd ed.; Elsevier: Amsterdam, The Netherlands; Cambridge, MA, USA, 2019; ISBN 978-0-444-64106-9. [Google Scholar]
  6. Corgnati, S.P.; Fabi, V.; Filippi, M. A Methodology for Microclimatic Quality Evaluation in Museums: Application to a Temporary Exhibit. Build. Environ. 2009, 44, 1253–1260. [Google Scholar] [CrossRef]
  7. Sesana, E.; Gagnon, A.S.; Ciantelli, C.; Cassar, J.; Hughes, J.J. Climate Change Impacts on Cultural Heritage: A Literature Review. WIREs Clim. Chang. 2021, 12, e710. [Google Scholar] [CrossRef]
  8. Camuffo, D.; Bernardi, A. Study of the Microclimate of the Hall of the Giants in the Carrara Palace in Padua. Stud. Conserv. 1995, 40, 237–249. [Google Scholar] [CrossRef]
  9. Sciurpi, F.; Carletti, C.; Cellai, G.; Pierangioli, L. Environmental Monitoring and Microclimatic Control Strategies in “La Specola” Museum of Florence. Energy Build. 2015, 95, 190–201. [Google Scholar] [CrossRef]
  10. Camuffo, D.; della Valle, A. Church Heating: A Balance between Conservation and Thermal Comfort; The Getty Conservation Institute: Los Angeles, CA, USA, 2007. [Google Scholar]
  11. Verbeke, S.; Audenaert, A. Thermal Inertia in Buildings: A Review of Impacts across Climate and Building Use. Renewable and Sustainable Energy Reviews 2018, 82, 2300–2318. [Google Scholar] [CrossRef]
  12. Camuffo, D.; Pagan, E.; Bernardi, A.; Becherini, F. The Impact of Heating, Lighting and People in Re-Using Historical Buildings: A Case Study. J. Cult. Herit. 2004, 5, 409–416. [Google Scholar] [CrossRef]
  13. Camuffo, D.; Pagan, E.; Rissanen, S.; Bratasz, Ł.; Kozłowski, R.; Camuffo, M.; Della Valle, A. An Advanced Church Heating System Favourable to Artworks: A Contribution to European Standardisation. J. Cult. Herit. 2010, 11, 205–219. [Google Scholar] [CrossRef]
  14. Frontczak, M.; Wargocki, P. Literature Survey on How Different Factors Influence Human Comfort in Indoor Environments. Build. Environ. 2011, 46, 922–937. [Google Scholar] [CrossRef]
  15. Ferdyn-Grygierek, J.; Kaczmarczyk, J.; Blaszcok, M.; Lubina, P.; Koper, P.; Bulinska, A. Hygrothermal Risk in Museum Buildings Located in Moderate Climate. Energies 2020, 13, 344. [Google Scholar] [CrossRef]
  16. Aste, N.; Adhikari, R.S.; Buzzetti, M.; Della Torre, S.; Del Pero, C.; Huerto C, H.E.; Leonforte, F. Microclimatic Monitoring of the Duomo (Milan Cathedral): Risks-Based Analysis for the Conservation of Its Cultural Heritage. Build. Environ. 2019, 148, 240–257. [Google Scholar] [CrossRef]
  17. Cacciotti, R.; Kaiser, A.; Sardella, A.; De Nuntiis, P.; Drdácký, M.; Hanus, C.; Bonazza, A. Climate Change-Induced Disasters and Cultural Heritage: Optimizing Management Strategies in Central Europe. Clim. Risk Manag. 2021, 32, 100301. [Google Scholar] [CrossRef]
  18. Lucchi, E. Environmental Risk Management for Museums in Historic Buildings through an Innovative Approach: A Case Study of the Pinacoteca Di Brera in Milan (Italy). Sustainability 2020, 12, 5155. [Google Scholar] [CrossRef]
  19. Efthymiou, C.; Barmparesos, N.; Tasios, P.; Ntouros, V.; Zoulis, V.; Karlessi, T.; Salmerón Lissén, J.M.; Assimakopoulos, M.N. Indoor Environmental Quality Evaluation Strategy as an Upgrade (Renovation) Measure in a Historic Building Located in the Mediterranean Zone (Athens, Greece). Appl. Sci. 2021, 11, 10133. [Google Scholar] [CrossRef]
  20. ElAdl, M.; Fathy, F.; Morsi, N.K.; Nessim, A.; Refat, M.; Sabry, H. Managing Microclimate Challenges for Museum Buildings in Egypt. Ain Shams Eng. J. 2022, 13, 101529. [Google Scholar] [CrossRef]
  21. Ilieș, D.C.; Marcu, F.; Caciora, T.; Indrie, L.; Ilieș, A.; Albu, A.; Costea, M.; Burtă, L.; Baias, Ș.; Ilieș, M.; et al. Investigations of Museum Indoor Microclimate and Air Quality. Case Study from Romania. Atmosphere 2021, 12, 286. [Google Scholar] [CrossRef]
  22. Schito, E.; Testi, D.; Grassi, W. A Proposal for New Microclimate Indexes for the Evaluation of Indoor Air Quality in Museums. Buildings 2016, 6, 41. [Google Scholar] [CrossRef]
  23. Sciurpi, F.; Carletti, C.; Cellai, G.; Piselli, C. Assessment of the Suitability of Non-Air-Conditioned Historical Buildings for Artwork Conservation: Comparing the Microclimate Monitoring in Vasari Corridor and La Specola Museum in Florence. Appl. Sci. 2022, 12, 11632. [Google Scholar] [CrossRef]
  24. Varas-Muriel, M.J.; Fort, R.; Martínez-Garrido, M.I.; Zornoza-Indart, A.; López-Arce, P. Fluctuations in the Indoor Environment in Spanish Rural Churches and Their Effects on Heritage Conservation: Hygro-Thermal and CO2 Conditions Monitoring. Build. Environ. 2014, 82, 97–109. [Google Scholar] [CrossRef]
  25. Maroy, K.; Steeman, M.; De Backer, L.; Janssens, A.; De Paepe, M. Conservation Climate Analysis of a Church Containing Valuable Artworks. Energy Procedia 2015, 78, 1269–1274. [Google Scholar] [CrossRef]
  26. Bratasz, Ł.; Kozłowski, R.; Camuffo, D.; Pagan, E. Impact of Indoor Heating on Painted Wood—Monitoring the Altarpiece in the Church of Santa Maria Maddalena in Rocca Pietore, Italy. Stud. Conserv. 2007, 52, 199–210. [Google Scholar] [CrossRef]
  27. Huijbregts, Z.; Kramer, R.P.; Martens, M.H.J.; van Schijndel, A.W.M.; Schellen, H.L. A Proposed Method to Assess the Damage Risk of Future Climate Change to Museum Objects in Historic Buildings. Build. Environ. 2012, 55, 43–56. [Google Scholar] [CrossRef]
  28. Leissner, J.; Kilian, R.; Kotova, L.; Jacob, D.; Mikolajewicz, U.; Broström, T.; Ashley-Smith, J.; Schellen, H.L.; Martens, M.; van Schijndel, J.; et al. Climate for Culture: Assessing the Impact of Climate Change on the Future Indoor Climate in Historic Buildings Using Simulations. Herit. Sci. 2015, 3, 38. [Google Scholar] [CrossRef]
  29. IPCC. IPCC Fifth Assessment Report: Climate Change 2014, Working Group II: Impacts, Adaptation and Vulnerability; IPCC: Geneva, Switzerland, 2014; Available online: https://www.ipcc.ch/report/ar5/wg2/ (accessed on 10 December 2023).
  30. Velikou, K.; Tolika, K.; Anagnostopoulou, C.; Zanis, P. Sensitivity Analysis of RegCM4 Model: Present Time Simulations over the Mediterranean. Theor. Appl. Climatol. 2019, 136, 1185–1208. [Google Scholar] [CrossRef]
  31. Georgoulias, A.K.; Akritidis, D.; Kalisoras, A.; Kapsomenakis, J.; Melas, D.; Zerefos, C.S.; Zanis, P. Climate change projections for Greece in the 21st century from high-resolution EURO-CORDEX RCM simulations. Atmos. Res. 2022, 271, 106049. [Google Scholar] [CrossRef]
  32. Kostopoulou, E.; Giannakopoulos, C. Projected Changes in Extreme Wet and Dry Conditions in Greece. Climate 2023, 11, 49. [Google Scholar] [CrossRef]
  33. Bosello, F.; Roson, R.; Tol, R.S.J. Economy-Wide Estimates of the Implications of Climate Change: Human Health. Ecol. Econ. 2006, 58, 579–591. [Google Scholar] [CrossRef]
  34. Malhi, G.S.; Kaur, M.; Kaushik, P. Impact of Climate Change on Agriculture and Its Mitigation Strategies: A Review. Sustainability 2021, 13, 1318. [Google Scholar] [CrossRef]
  35. Scott, D.; Hall, C.M.; Gössling, S. Tourism and Climate Change: Impacts, Adaptation and Mitigation; Contemporary Geographies of Leisure, Tourism and Mobility; Routledge: London, UK; New York, NY, USA, 2012; ISBN 978-0-415-66885-9. [Google Scholar]
  36. Kambezidis, H.D.; Psiloglou, B.E.; Varotsos, K.V.; Gianakopoulos, C. Climate Change and Thermal Comfort in Greece. Climate 2021, 9, 10. [Google Scholar] [CrossRef]
  37. UNESCO. Policy Documents on Climate Action for World Heritage 2023; UNESCO: Paris, France, 2023. [Google Scholar]
  38. Tringa, E.; Tolika, K. Analysis of the Outdoor Microclimate and the Effects on Greek Cultural Heritage Using the Heritage Microclimate Risk (HMR) and Predicted Risk of Damage (PRD) Indices: Present and Future Simulations. Atmosphere 2023, 14, 663. [Google Scholar] [CrossRef]
  39. The Archaeological Site of Delphi. Available online: https://delphi.culture.gr/ (accessed on 25 February 2024).
  40. Paleochristian and Byzantine Monuments of Thessalonika. Available online: https://whc.unesco.org/en/list/456/ (accessed on 25 February 2024).
  41. OΔΥΣΣΕΥΣ Ministry of Culture and Sports. Available online: http://odysseus.culture.gr/ (accessed on 25 February 2024).
  42. Fabbri, K.; Bonora, A. Two New Indices for Preventive Conservation of the Cultural Heritage: Predicted Risk of Damage and Heritage Microclimate Risk. J. Cult. Herit. 2021, 47, 208–217. [Google Scholar] [CrossRef]
  43. Elkadi, H.; Al-Maiyah, S.; Fielder, K.; Kenawy, I.; Martinson, D.B. The Regulations and Reality of Indoor Environmental Standards for Objects and Visitors in Museums. Renew. Sustain. Energy Rev. 2021, 152, 111653. [Google Scholar] [CrossRef]
  44. Camuffo, D. Environmental Monitoring in Four European Museums. Atmos. Environ. 2001, 35, 127–140. [Google Scholar] [CrossRef]
Figure 1. Geographical distribution of the museum and historical building under study. The geographical coordinates and the altitude are provided for each station. Source: Google Earth.
Figure 1. Geographical distribution of the museum and historical building under study. The geographical coordinates and the altitude are provided for each station. Source: Google Earth.
Heritage 07 00067 g001
Figure 2. For each building, the hall under study, where the sensor is located, is marked in red. Sources: Ephorate of Antiquities of Phocis (for the Archaeological Museum of Delphi), Ephorate of Antiquities of Thessaloniki City, and Hellenic Ministry of Culture—Hellenic Organization of Cultural Resources Development (for the Church of Acheiropoietos).
Figure 2. For each building, the hall under study, where the sensor is located, is marked in red. Sources: Ephorate of Antiquities of Phocis (for the Archaeological Museum of Delphi), Ephorate of Antiquities of Thessaloniki City, and Hellenic Ministry of Culture—Hellenic Organization of Cultural Resources Development (for the Church of Acheiropoietos).
Heritage 07 00067 g002
Figure 3. Hourly temperature for a year for (a) the Archaeological Museum of Delphi on the left and for (b) the Church of Acheiropoietos on the right. Temperatures below 15 °C are represented with a dark-purple color, and temperatures above 30 °C with a light-yellow color. The missing data are represented with a white color.
Figure 3. Hourly temperature for a year for (a) the Archaeological Museum of Delphi on the left and for (b) the Church of Acheiropoietos on the right. Temperatures below 15 °C are represented with a dark-purple color, and temperatures above 30 °C with a light-yellow color. The missing data are represented with a white color.
Heritage 07 00067 g003
Figure 4. Evaluation of normality for the hourly dataset using a Normal Q-Q plot. Up are the results for the temperature for (a) the Archaeological Museum of Delphi and (b) for the Church of Acheiropoietos and down are the results for the RH for (c) the Archaeological Museum of Delphi and (d) for the Church of Acheiropoietos.
Figure 4. Evaluation of normality for the hourly dataset using a Normal Q-Q plot. Up are the results for the temperature for (a) the Archaeological Museum of Delphi and (b) for the Church of Acheiropoietos and down are the results for the RH for (c) the Archaeological Museum of Delphi and (d) for the Church of Acheiropoietos.
Heritage 07 00067 g004
Figure 5. Extreme observations by using deviation from the overall mean of the case study (Z-Scores). Top figures are the results for the temperature for (a) the Archaeological Museum of Delphi and for (c) the Church of Acheiropoietos, and bottom figures are the results for the RH for (b) the Archaeological Museum of Delphi and (d) for the Church of Acheiropoietos. Outliers exceeding two standard deviations are highlighted in red.
Figure 5. Extreme observations by using deviation from the overall mean of the case study (Z-Scores). Top figures are the results for the temperature for (a) the Archaeological Museum of Delphi and for (c) the Church of Acheiropoietos, and bottom figures are the results for the RH for (b) the Archaeological Museum of Delphi and (d) for the Church of Acheiropoietos. Outliers exceeding two standard deviations are highlighted in red.
Heritage 07 00067 g005
Figure 6. Hourly difference outliers. Top figures are the results for the temperature for (a) the Archaeological Museum of Delphi and (c) for the Church of Acheiropoietos and bottom figures are the results for the RH for (b) the Archaeological Museum of Delphi and (d) for the Church of Acheiropoietos. Outliers exceeding three standard deviations are highlighted in red.
Figure 6. Hourly difference outliers. Top figures are the results for the temperature for (a) the Archaeological Museum of Delphi and (c) for the Church of Acheiropoietos and bottom figures are the results for the RH for (b) the Archaeological Museum of Delphi and (d) for the Church of Acheiropoietos. Outliers exceeding three standard deviations are highlighted in red.
Heritage 07 00067 g006
Figure 7. Hourly fluctuations for indoor (blue color) and outdoor (grey color) temperatures and RH. Top figures are the results for the temperature for (a) the Archaeological Museum of Delphi and (c) for the Church of Acheiropoietos and bottom figures are the results for the RH for (b) the Archaeological Museum of Delphi and (d) for the Church of Acheiropoietos, for the period 1 August 2022–31 July 2023. The 5th and 95th percentiles are represented with red lines.
Figure 7. Hourly fluctuations for indoor (blue color) and outdoor (grey color) temperatures and RH. Top figures are the results for the temperature for (a) the Archaeological Museum of Delphi and (c) for the Church of Acheiropoietos and bottom figures are the results for the RH for (b) the Archaeological Museum of Delphi and (d) for the Church of Acheiropoietos, for the period 1 August 2022–31 July 2023. The 5th and 95th percentiles are represented with red lines.
Heritage 07 00067 g007
Figure 8. Scatter plots between indoor and outdoor temperature and RH. Top graphs are the results for the temperature for (a) the Archaeological Museum of Delphi and (c) for the Church of Acheiropoietos and bottom graphs are the results for the RH for (b) the Archaeological Museum of Delphi and (d) for the Church of Acheiropoietos, for the period 1 August 2022–31 July 2023. The trend line represented by a dashed red line.
Figure 8. Scatter plots between indoor and outdoor temperature and RH. Top graphs are the results for the temperature for (a) the Archaeological Museum of Delphi and (c) for the Church of Acheiropoietos and bottom graphs are the results for the RH for (b) the Archaeological Museum of Delphi and (d) for the Church of Acheiropoietos, for the period 1 August 2022–31 July 2023. The trend line represented by a dashed red line.
Heritage 07 00067 g008
Figure 9. HMRhs and PRD indices for temperature and RH. Top figures are the results for the temperature for (a) the Archaeological Museum of Delphi and for (c) the Church of Acheiropoietos and bottom figures are the results for the RH for (b) the Archaeological Museum of Delphi and for (d) the Church of Acheiropoietos, for the period 1 August 2022–31 July 2023.
Figure 9. HMRhs and PRD indices for temperature and RH. Top figures are the results for the temperature for (a) the Archaeological Museum of Delphi and for (c) the Church of Acheiropoietos and bottom figures are the results for the RH for (b) the Archaeological Museum of Delphi and for (d) the Church of Acheiropoietos, for the period 1 August 2022–31 July 2023.
Heritage 07 00067 g009
Table 1. General specifications of sensors “Extech RHT20”.
Table 1. General specifications of sensors “Extech RHT20”.
Extech RHT20
ManufacturerExtech Instruments
Relative Humidity0 to 100%
Relative Humidity Basic Accuracy±3% (40 to 60%), ±3.5% (20 to 40 and 60 to 80%), ±5% (0 to 20 and 80 to 100%)
Relative Humidity Max Resolution0.10%
Temperature (Air)−40 to 70 °C (−40 to 158 °F)
Temperature (Air) Basic Accuracy±1.8 °F (14 to 104 °F), ±3.6 °F (all other ranges), ±1.0 °C (−10 to 40 °C), ±2.0 °C (all other ranges)
Temperature (Air) Max Resolution0.1 °C/°F
Disclaimer/Publisher’s Note: The statements, opinions and data contained in all publications are solely those of the individual author(s) and contributor(s) and not of MDPI and/or the editor(s). MDPI and/or the editor(s) disclaim responsibility for any injury to people or property resulting from any ideas, methods, instructions or products referred to in the content.

Share and Cite

MDPI and ACS Style

Tringa, E.; Kavroudakis, D.; Tolika, K. Microclimate-Monitoring: Examining the Indoor Environment of Greek Museums and Historical Buildings in the Face of Climate Change. Heritage 2024, 7, 1400-1418. https://doi.org/10.3390/heritage7030067

AMA Style

Tringa E, Kavroudakis D, Tolika K. Microclimate-Monitoring: Examining the Indoor Environment of Greek Museums and Historical Buildings in the Face of Climate Change. Heritage. 2024; 7(3):1400-1418. https://doi.org/10.3390/heritage7030067

Chicago/Turabian Style

Tringa, Efstathia, Dimitris Kavroudakis, and Konstantia Tolika. 2024. "Microclimate-Monitoring: Examining the Indoor Environment of Greek Museums and Historical Buildings in the Face of Climate Change" Heritage 7, no. 3: 1400-1418. https://doi.org/10.3390/heritage7030067

APA Style

Tringa, E., Kavroudakis, D., & Tolika, K. (2024). Microclimate-Monitoring: Examining the Indoor Environment of Greek Museums and Historical Buildings in the Face of Climate Change. Heritage, 7(3), 1400-1418. https://doi.org/10.3390/heritage7030067

Article Metrics

Back to TopTop